2018 Vol. 30, No. 2
Recommend Articles
Display Method:
2018,
30.
2018,
30: 020101.
doi: 10.11884/HPLPB201830.170454
Abstract:
The idea of using a directional time-varying(rotating) driving magnetic field (the alternant theta-Z-pinch configuration) or the multi-nested theta-Z-pinch configuration to suppress magneto-Rayleigh-Taylor instabilities in a dynamic Z-pinch was proposed between 2014 and 2016. This paper reports the latest research progress on magneto-Rayleigh-Taylor instabilities in alternant/nested theta-Z-pinches. The magneto-Rayleigh-Taylor instability growth of a properly optimized alternant/nested theta-Z-pinch is significantly lower than that of a pure theta-pinch or Z-pinch. The instability is completely stabilized at a certain thickness of the liner. These show the bright potential of alternant/nested theta-Z-pinch for theta-Z-pinch liner inertial fusion.
The idea of using a directional time-varying(rotating) driving magnetic field (the alternant theta-Z-pinch configuration) or the multi-nested theta-Z-pinch configuration to suppress magneto-Rayleigh-Taylor instabilities in a dynamic Z-pinch was proposed between 2014 and 2016. This paper reports the latest research progress on magneto-Rayleigh-Taylor instabilities in alternant/nested theta-Z-pinches. The magneto-Rayleigh-Taylor instability growth of a properly optimized alternant/nested theta-Z-pinch is significantly lower than that of a pure theta-pinch or Z-pinch. The instability is completely stabilized at a certain thickness of the liner. These show the bright potential of alternant/nested theta-Z-pinch for theta-Z-pinch liner inertial fusion.
Research progress on miniaturization of high power repetition frequency Marx type pulse power source
2018,
30: 020201.
doi: 10.11884/HPLPB201830.170337
Abstract:
The circuit of a Marx generator is the simplest high voltage amplification circuit, the technical difficulties of Marx generator with high voltage, high current are fast rise time, low jitter, repetitive frequency and long time operating. In order to miniaturize the high power pulse system, we proposed a new method to generate high voltage rectangular wave pulses. Based on the cognition that the direct drive technology can improve energy efficiency and increase the output energy of unit volume, we integrated the low-voltage energy storage unit and pulse forming network into a module, which reduced the volume and weight greatly. This paper mainly introduces the important progress in the key technology of compact pulsed power system, including the energy storage and pulse forming integration technology, the low jitter and repetition frequency gas switch technology, the low jitter high energy trigger technology, the compact Marx generator technology and so on. At the same time, it presents several typical high power repetition frequency Marx type pulse power devices developed by the task group: The coaxial structure fast Marx generator, the pulsed power source based on kapton-film dielectric line, the modular low impedance compact Marx generator, and the 20 GW compact Marx type repetitive frequency pulsed power source. The research of key technology and its development status are discussed, which can provide reference for future development and application direction of the miniaturization of pulsed power sources.
The circuit of a Marx generator is the simplest high voltage amplification circuit, the technical difficulties of Marx generator with high voltage, high current are fast rise time, low jitter, repetitive frequency and long time operating. In order to miniaturize the high power pulse system, we proposed a new method to generate high voltage rectangular wave pulses. Based on the cognition that the direct drive technology can improve energy efficiency and increase the output energy of unit volume, we integrated the low-voltage energy storage unit and pulse forming network into a module, which reduced the volume and weight greatly. This paper mainly introduces the important progress in the key technology of compact pulsed power system, including the energy storage and pulse forming integration technology, the low jitter and repetition frequency gas switch technology, the low jitter high energy trigger technology, the compact Marx generator technology and so on. At the same time, it presents several typical high power repetition frequency Marx type pulse power devices developed by the task group: The coaxial structure fast Marx generator, the pulsed power source based on kapton-film dielectric line, the modular low impedance compact Marx generator, and the 20 GW compact Marx type repetitive frequency pulsed power source. The research of key technology and its development status are discussed, which can provide reference for future development and application direction of the miniaturization of pulsed power sources.
2018,
30: 021001.
doi: 10.11884/HPLPB201830.170344
Abstract:
The Energy Recovery Linac (ERL) can produce continuous electron bunches with low emittance at high average current. The photocathode electron gun needs high repetition rate, high average power drive laser system. Adopting advanced fiber laser technologies, especially using Yb-doped photonic crystal fiber in the laser system, a high repetition frequency, high average power laser system was set up. By using chirped pulse amplification (CPA) and optimizing the design, a 100 MHz oscillator and a 1.3 GHz oscillator were integrated into one laser system. The structure of the whole laser system can be simplified and easy to operate. The second harmonic generation (SHG) efficiencies of the laser system at two different repetition rates have already reached 50% and 30%, respectively. In addition, more than 5 W green light has been achieved, which meets the needs of test platform of photocathode at IHEP.
The Energy Recovery Linac (ERL) can produce continuous electron bunches with low emittance at high average current. The photocathode electron gun needs high repetition rate, high average power drive laser system. Adopting advanced fiber laser technologies, especially using Yb-doped photonic crystal fiber in the laser system, a high repetition frequency, high average power laser system was set up. By using chirped pulse amplification (CPA) and optimizing the design, a 100 MHz oscillator and a 1.3 GHz oscillator were integrated into one laser system. The structure of the whole laser system can be simplified and easy to operate. The second harmonic generation (SHG) efficiencies of the laser system at two different repetition rates have already reached 50% and 30%, respectively. In addition, more than 5 W green light has been achieved, which meets the needs of test platform of photocathode at IHEP.
2018,
30: 021002.
doi: 10.11884/HPLPB201830.170271
Abstract:
The ablation phenomena induced by high energy laser irradiation of carbon/carbon composites and the effect of vapor pressure on the ablation rate are investigated.First, the heat conduction model of the target irradiated by high power laser is set up based on Fourier law. The discontinuous region of Knudsen layer is described and the state parameters of the particles on both sides of discontinuities are analyzed by the Mott-smith approximation method. Then, combined with the mass continuity equation and the relation equation between vapor pressure and temperature equations, and the gas state equation to describe the vapor flow state, the numerical simulation about the relationship of the laser ablation rate of C/C composite material under the condition of vapor pressure with the power change is carried out. The results show that vapor pressure change will lead to the change of target vapor temperature in the process of high energy laser ablation of target, which will affect the ablation rate and make the rate change with power nonlinearly. It is very different from the linear variation when ignoring the vapor pressure. And this theoretically explains the difference between experimental data and theoretical results caused by ignoring the vapor pressure.
The ablation phenomena induced by high energy laser irradiation of carbon/carbon composites and the effect of vapor pressure on the ablation rate are investigated.First, the heat conduction model of the target irradiated by high power laser is set up based on Fourier law. The discontinuous region of Knudsen layer is described and the state parameters of the particles on both sides of discontinuities are analyzed by the Mott-smith approximation method. Then, combined with the mass continuity equation and the relation equation between vapor pressure and temperature equations, and the gas state equation to describe the vapor flow state, the numerical simulation about the relationship of the laser ablation rate of C/C composite material under the condition of vapor pressure with the power change is carried out. The results show that vapor pressure change will lead to the change of target vapor temperature in the process of high energy laser ablation of target, which will affect the ablation rate and make the rate change with power nonlinearly. It is very different from the linear variation when ignoring the vapor pressure. And this theoretically explains the difference between experimental data and theoretical results caused by ignoring the vapor pressure.
2018,
30: 021003.
doi: 10.11884/HPLPB201830.170296
Abstract:
The refractive index structure constant is estimated and compared with measured values from micro-thermometer by using the meteorological parameters of Chengdu and Maoming, such as temperature, humidity and wind speed on two altitudes. The estimated model adopts MARIAH algorithm, which is based on the Monin-Obukhov similarity theory. The result shows that it is feasible to calculate the structure parameter by MARIAH algorithm. The trend and order of magnitude of the estimated structure constant fit well to that of the measured data. The correlation coefficients between estimated and measured values of two places are 0.86 and 0.92 while the mean absolute error values are 0.410 and 0.414 respectively. Besides, the estimated structure constant of Maoming is one order of magnitude larger than that of Chengdu.
The refractive index structure constant is estimated and compared with measured values from micro-thermometer by using the meteorological parameters of Chengdu and Maoming, such as temperature, humidity and wind speed on two altitudes. The estimated model adopts MARIAH algorithm, which is based on the Monin-Obukhov similarity theory. The result shows that it is feasible to calculate the structure parameter by MARIAH algorithm. The trend and order of magnitude of the estimated structure constant fit well to that of the measured data. The correlation coefficients between estimated and measured values of two places are 0.86 and 0.92 while the mean absolute error values are 0.410 and 0.414 respectively. Besides, the estimated structure constant of Maoming is one order of magnitude larger than that of Chengdu.
2018,
30: 022001.
doi: 10.11884/HPLPB201830.170263
Abstract:
As an important component of the amplifier, the flash lamp pumping efficiency directly affects the amplifier efficiency. Compared with the traditional flash lamp, the new structure flash lamp with a vacuum bubble inside (annular flash lamp) is proved having the advantage of higher radiation efficiency. This paper studies the influences of different pressures and structures on the annular flash lamps' discharge, radiation and explosion characteristics. Results indicate that increasing the pressure and internal diameter of annular flash lamp can improve the radiation efficiency. The fluorescence from the neodymium glass can be improved by 22.3% of peak value and 15.7% of integral value. However, increasing the pressure and internal diameter will deduce the thermal load limit. It is experimentally demonstrated that the annular flash lamp with 26 664 Pa and internal diameter 30 mm has the highest radiation efficiency and can pass lifetime test.
As an important component of the amplifier, the flash lamp pumping efficiency directly affects the amplifier efficiency. Compared with the traditional flash lamp, the new structure flash lamp with a vacuum bubble inside (annular flash lamp) is proved having the advantage of higher radiation efficiency. This paper studies the influences of different pressures and structures on the annular flash lamps' discharge, radiation and explosion characteristics. Results indicate that increasing the pressure and internal diameter of annular flash lamp can improve the radiation efficiency. The fluorescence from the neodymium glass can be improved by 22.3% of peak value and 15.7% of integral value. However, increasing the pressure and internal diameter will deduce the thermal load limit. It is experimentally demonstrated that the annular flash lamp with 26 664 Pa and internal diameter 30 mm has the highest radiation efficiency and can pass lifetime test.
2018,
30: 023001.
doi: 10.11884/HPLPB201830.170324
Abstract:
Switch oscillator is one of the important methods for broadband high power electromagnetic pulse generation. This paper uses the switch excitation coaxial oscillator as an example, the theoretical calculation and simulation as the main means to study the following three relationships: the characteristics impedance of transmission line and switch oscillator energy storage, the characteristic impedance of the transmission line and the antenna impedance, the characteristic impedance of the transmission line and impedance of switch. The results show that the when characteristics impedance of the transmission line is smaller, the oscillator energy storage is higher; the antenna impedance and transmission line impedance ratio increases, the effective output cycle and quality factor increases, and the energy concentration increases, the spectrum bandwidth reduces, the energy efficiency increases first and then decreases; while the transmission line characteristic impedance is very small, the influence of the switch on the output signal is significant. With characteristic impedance of the transmission line decreasing, the center frequency of the output signal reduces, the quality factor decreases, energy concentration is weak and the bandwidth spectrum expands.
Switch oscillator is one of the important methods for broadband high power electromagnetic pulse generation. This paper uses the switch excitation coaxial oscillator as an example, the theoretical calculation and simulation as the main means to study the following three relationships: the characteristics impedance of transmission line and switch oscillator energy storage, the characteristic impedance of the transmission line and the antenna impedance, the characteristic impedance of the transmission line and impedance of switch. The results show that the when characteristics impedance of the transmission line is smaller, the oscillator energy storage is higher; the antenna impedance and transmission line impedance ratio increases, the effective output cycle and quality factor increases, and the energy concentration increases, the spectrum bandwidth reduces, the energy efficiency increases first and then decreases; while the transmission line characteristic impedance is very small, the influence of the switch on the output signal is significant. With characteristic impedance of the transmission line decreasing, the center frequency of the output signal reduces, the quality factor decreases, energy concentration is weak and the bandwidth spectrum expands.
2018,
30: 023002.
doi: 10.11884/HPLPB201830.170279
Abstract:
This paper introduces the studies on the relativistic multi-beam electron gun with different structures. The theoretic analysis and experimental results show that the spot distortion is obvious with fan-shaped multi-beam cathode due to the nonuniformity of the surface electric field. Furthermore, the fan-shaped beam rotation around the beam center, caused by the effect of space electromagnetic field, exasperates the beam distortion and reduces the transmission efficiency evidently. Whereas, the electric field on the surface of cylindrical multi-beam cathode is more uniform, which restrains the spot distortion. Meanwhile, the self-center rotation can not change the beam profile with the columned form. Considering the emission from the multi-cathode rods and cathode base, the transmission efficiency of the multi-beam is limited. In addition, the strong beam impaction on the multi-beam waveguide could lead to intense current transport cutoff. It is effective to increase the transmission efficiency by enlarging the inner radius of magnetic system. At present, the output power of multi-beam klystron can get to the order of gigawatt with multi-beam power 6.5 GW and transmission efficiency 89%.
This paper introduces the studies on the relativistic multi-beam electron gun with different structures. The theoretic analysis and experimental results show that the spot distortion is obvious with fan-shaped multi-beam cathode due to the nonuniformity of the surface electric field. Furthermore, the fan-shaped beam rotation around the beam center, caused by the effect of space electromagnetic field, exasperates the beam distortion and reduces the transmission efficiency evidently. Whereas, the electric field on the surface of cylindrical multi-beam cathode is more uniform, which restrains the spot distortion. Meanwhile, the self-center rotation can not change the beam profile with the columned form. Considering the emission from the multi-cathode rods and cathode base, the transmission efficiency of the multi-beam is limited. In addition, the strong beam impaction on the multi-beam waveguide could lead to intense current transport cutoff. It is effective to increase the transmission efficiency by enlarging the inner radius of magnetic system. At present, the output power of multi-beam klystron can get to the order of gigawatt with multi-beam power 6.5 GW and transmission efficiency 89%.
2018,
30: 023003.
doi: 10.11884/HPLPB201830.170343
Abstract:
The overmoded circular waveguide can achieved high power capacity, which will inevitably lead to high order mode. In order to monitor the output power and frequency spectrum of the X-band long pulse high power microwave source, an X-band high power microwave broadband mode selection directional coupler was designed by the simulation of CST software, which is used to couple TM01 mode and suppress the TM02 and TE11 mode. The sizes of waveguide and coupling hole were decided by the small coupling theory and phase superposition principle. At the central frequency range of 9.0-9.8 GHz, the simulation results show that the coupling degree of the coupler is about (-59.08±1) dB, the directivity of TM01 mode is more than 30 dB, the suppression of TE11 mode is more than 15 dB, and the suppression of TM02 mode is more than 30 dB, the power handling capacity is 2.5 GW.
The overmoded circular waveguide can achieved high power capacity, which will inevitably lead to high order mode. In order to monitor the output power and frequency spectrum of the X-band long pulse high power microwave source, an X-band high power microwave broadband mode selection directional coupler was designed by the simulation of CST software, which is used to couple TM01 mode and suppress the TM02 and TE11 mode. The sizes of waveguide and coupling hole were decided by the small coupling theory and phase superposition principle. At the central frequency range of 9.0-9.8 GHz, the simulation results show that the coupling degree of the coupler is about (-59.08±1) dB, the directivity of TM01 mode is more than 30 dB, the suppression of TE11 mode is more than 15 dB, and the suppression of TM02 mode is more than 30 dB, the power handling capacity is 2.5 GW.
2018,
30: 023004.
doi: 10.11884/HPLPB201830.170169
Abstract:
This paper is concerned with the comparison of two spectral Discontinuous Galerkin Time-Domain (DGTD) methods for the solution of Maxwell's equations in two-dimensional space. The first scheme is based on the conventional mass-lumping technique, where the same set of points are chosen for both the interpolation base functions and the numerical integration of coefficients. The second scheme is a newly proposed approach, called the Weight-Adjusted discontinuous Galerkin (WADG) method. Several numerical examples are presented to evaluate the performance of the two methods. It is shown that although the two methods need the same storage capacity, the WADG method has higher accuracy.
This paper is concerned with the comparison of two spectral Discontinuous Galerkin Time-Domain (DGTD) methods for the solution of Maxwell's equations in two-dimensional space. The first scheme is based on the conventional mass-lumping technique, where the same set of points are chosen for both the interpolation base functions and the numerical integration of coefficients. The second scheme is a newly proposed approach, called the Weight-Adjusted discontinuous Galerkin (WADG) method. Several numerical examples are presented to evaluate the performance of the two methods. It is shown that although the two methods need the same storage capacity, the WADG method has higher accuracy.
2018,
30: 023005.
doi: 10.11884/HPLPB201830.170282
Abstract:
Based on Rogers 5880 dielectric material, a radar front-end circular polarization microstrip antenna array for the vehicle collision avoidance system is designed, which adopts linear array structure and many quarter wave impedance converters to achieve impedance matching. Simulation and test results show that the impedance bandwidth of the antenna array (S11 < -10 dB) is from 23.45 GHz to 25.65 GHz, the biggest gain is 15.54 dB; and the AR(axial ratio) bandwidth is from 24.56GHz to 25GHz, the minimum AR is 1.25 dB. The first sidelobe level is -20 dB, E-plane half power beam width is 10°, H side lobe width is 75°, and the size of the dielectric material is 70.94 mm×14.72 mm×0.508 mm. With the advantages like high gain, low side lobe, small size, and stable performance, the practicability of array antenna is verified and it may be widely applied in automobile anti-collision radars.
Based on Rogers 5880 dielectric material, a radar front-end circular polarization microstrip antenna array for the vehicle collision avoidance system is designed, which adopts linear array structure and many quarter wave impedance converters to achieve impedance matching. Simulation and test results show that the impedance bandwidth of the antenna array (S11 < -10 dB) is from 23.45 GHz to 25.65 GHz, the biggest gain is 15.54 dB; and the AR(axial ratio) bandwidth is from 24.56GHz to 25GHz, the minimum AR is 1.25 dB. The first sidelobe level is -20 dB, E-plane half power beam width is 10°, H side lobe width is 75°, and the size of the dielectric material is 70.94 mm×14.72 mm×0.508 mm. With the advantages like high gain, low side lobe, small size, and stable performance, the practicability of array antenna is verified and it may be widely applied in automobile anti-collision radars.
2018,
30: 023101.
doi: 10.11884/HPLPB201830.170274
Abstract:
The THz device is a new type of microwave device which operates in the 0.1-10 THz frequency band, and it has important application value in the field of communication, imaging, detection and other military applications. Compared with the traditional vacuum microwave devices, the THz device has the characteristics of light load and high duty cycle. A high frequency pulsed power supply system has been developed for the experimental research on THz devices. The output voltage is 30 kV, the pulse current is 200 mA, the maximum frequency is 3 kHz and the pulse width is 10-100 μs. The main circuit adopts LC series resonant constant current charging technology to improve the reliability in the case of fire load. At the same time, a series pulse switch based on MOSFETs is developed to obtain fast pulse rise and fall time. A PLC and a computer have been used to realize the local and remote control. Relevant simulation and test show that the system output meets the load requirements, and the system can work stably in high frequency, load arc conditions.
The THz device is a new type of microwave device which operates in the 0.1-10 THz frequency band, and it has important application value in the field of communication, imaging, detection and other military applications. Compared with the traditional vacuum microwave devices, the THz device has the characteristics of light load and high duty cycle. A high frequency pulsed power supply system has been developed for the experimental research on THz devices. The output voltage is 30 kV, the pulse current is 200 mA, the maximum frequency is 3 kHz and the pulse width is 10-100 μs. The main circuit adopts LC series resonant constant current charging technology to improve the reliability in the case of fire load. At the same time, a series pulse switch based on MOSFETs is developed to obtain fast pulse rise and fall time. A PLC and a computer have been used to realize the local and remote control. Relevant simulation and test show that the system output meets the load requirements, and the system can work stably in high frequency, load arc conditions.
2018,
30: 024001.
doi: 10.11884/HPLPB201830.170211
Abstract:
In this paper, the spatiotemporal dynamics of hollow cathode discharge in helium is simulated by using the fluid model. The spatiotemporal distribution of electrons density, metastable helium atoms density, potential, electric field, direct ionization rate and step-wise ionization are calculated. In particular, the effects of metastable atoms and step-wise ionization on the discharge are discussed. The results show that the discharge is divided into five different discharge modes with the increase of current. In the first stage, the discharge is Townsend discharge mode, the current rises very slowly, and the charged particle density, metastable atom density and radial electric field are very weak. In the second stage, the current increases rapidly, and the discharge mode changes from the Townsend discharge to the hollow cathode discharge. The charged particle density, metastable atom density and radial electric field increase rapidly. The third stage reaches the quasi steady state, and the discharge current increases slowly, resulting in an obvious cathode sheath structure; The fourth stage is the formation stage of the hollow cathode effect, and transits to the steady state. The fifth stage is the steady-state discharge stage. The results also show that the metastable helium atoms and the stepwise ionization are weak in the initial stage of the discharge, and in the initial three stages, the formation of new electrons are dominated by ground ionization. With the development of the discharge, the stepwise ionization caused by the metastable atoms gradually approaches and exceeds the ground ionization, and the contribution rate to the total ionization is getting higher and higher.
In this paper, the spatiotemporal dynamics of hollow cathode discharge in helium is simulated by using the fluid model. The spatiotemporal distribution of electrons density, metastable helium atoms density, potential, electric field, direct ionization rate and step-wise ionization are calculated. In particular, the effects of metastable atoms and step-wise ionization on the discharge are discussed. The results show that the discharge is divided into five different discharge modes with the increase of current. In the first stage, the discharge is Townsend discharge mode, the current rises very slowly, and the charged particle density, metastable atom density and radial electric field are very weak. In the second stage, the current increases rapidly, and the discharge mode changes from the Townsend discharge to the hollow cathode discharge. The charged particle density, metastable atom density and radial electric field increase rapidly. The third stage reaches the quasi steady state, and the discharge current increases slowly, resulting in an obvious cathode sheath structure; The fourth stage is the formation stage of the hollow cathode effect, and transits to the steady state. The fifth stage is the steady-state discharge stage. The results also show that the metastable helium atoms and the stepwise ionization are weak in the initial stage of the discharge, and in the initial three stages, the formation of new electrons are dominated by ground ionization. With the development of the discharge, the stepwise ionization caused by the metastable atoms gradually approaches and exceeds the ground ionization, and the contribution rate to the total ionization is getting higher and higher.
2018,
30: 025001.
doi: 10.11884/HPLPB201830.170370
Abstract:
In linear induction accelerator, Z-pinch and other large pulsed power devices, the gas-filled spark gap switches as key components are widely used. Unreasonable insulation system may bring excessively high partial electric field and accumulated charges to the gas-filled spark gap switch. The surface flashover would occur while the gas-filled spark gap switches are working under long time or high frequency high voltage pulse. The surface flashover will directly affect the pulsed power devices. Hence, we discussed the mechanism of accumulated charge influence on surface flashover by finite-element electric-field analysis of gas-filled spark gap switch insulation system. The surface electric field strength of insulator and electrodes were reduced by optimizing the structure of insulator and shapes of electrode surface. The results show that: the electric field strength in anode triple junction was decreased from 9.4 kV/mm to 1.5 kV/mm, the electric field strength in cathode triple junction was decreased from 2.95 kV/mm to 0.98 kV/mm, the maximum electric field strength in insulator surface was decreased from 10.8 kV/mm to 4.95 kV/mm. The electric field distribution of optimized insulation system was more reasonable than that of original system, and the probability of surface flashover resulted by accumulated charges would be reduced.
In linear induction accelerator, Z-pinch and other large pulsed power devices, the gas-filled spark gap switches as key components are widely used. Unreasonable insulation system may bring excessively high partial electric field and accumulated charges to the gas-filled spark gap switch. The surface flashover would occur while the gas-filled spark gap switches are working under long time or high frequency high voltage pulse. The surface flashover will directly affect the pulsed power devices. Hence, we discussed the mechanism of accumulated charge influence on surface flashover by finite-element electric-field analysis of gas-filled spark gap switch insulation system. The surface electric field strength of insulator and electrodes were reduced by optimizing the structure of insulator and shapes of electrode surface. The results show that: the electric field strength in anode triple junction was decreased from 9.4 kV/mm to 1.5 kV/mm, the electric field strength in cathode triple junction was decreased from 2.95 kV/mm to 0.98 kV/mm, the maximum electric field strength in insulator surface was decreased from 10.8 kV/mm to 4.95 kV/mm. The electric field distribution of optimized insulation system was more reasonable than that of original system, and the probability of surface flashover resulted by accumulated charges would be reduced.
2018,
30: 025002.
doi: 10.11884/HPLPB201830.170134
Abstract:
Based on the experimental physics and industrial control system (EPICS), a servo power controller is designed to be inserted into the existing power supply for testing its function of measurement and control in real time. The power supply controller uses dead time modulation (DTM) technology to adjust the output current by tracking the external control signal. Zero current switching (ZCS) can work under DTM, thus the switching loss can be reduced and the power efficiency can be greatly improved under high frequencies. In this paper, the principle of the power supply and its controller are introduced, and the DTM method is studied and verified by Matlab simulation and experiment for developing control technology of Tokamak power supplier.
Based on the experimental physics and industrial control system (EPICS), a servo power controller is designed to be inserted into the existing power supply for testing its function of measurement and control in real time. The power supply controller uses dead time modulation (DTM) technology to adjust the output current by tracking the external control signal. Zero current switching (ZCS) can work under DTM, thus the switching loss can be reduced and the power efficiency can be greatly improved under high frequencies. In this paper, the principle of the power supply and its controller are introduced, and the DTM method is studied and verified by Matlab simulation and experiment for developing control technology of Tokamak power supplier.
2018,
30: 025003.
doi: 10.11884/HPLPB201830.170322
Abstract:
In order to solve the high quantity of heat accumulation problems of the electromagnetic rail launcher, the rail cooling is necessary. This paper presents the basic principles for setting cooling pipes inside the rail from two aspects of mechanical performance and electrical performance analysis.An electromagnetic field and structure field model is established, the finite element method is used for numerical calculation of rail's response to the pre-tightening force and the eletromagnetic force. Simulation results show that, the cooling pipe will cause material damage, which has negative influence on rail performance; the cooling pipe should be set as far as possible away from the shoulder and armature-rail interface connection. This paper also puts forward the laws of rail deformation and inductance gradient with cooling pipe in different locations.
In order to solve the high quantity of heat accumulation problems of the electromagnetic rail launcher, the rail cooling is necessary. This paper presents the basic principles for setting cooling pipes inside the rail from two aspects of mechanical performance and electrical performance analysis.An electromagnetic field and structure field model is established, the finite element method is used for numerical calculation of rail's response to the pre-tightening force and the eletromagnetic force. Simulation results show that, the cooling pipe will cause material damage, which has negative influence on rail performance; the cooling pipe should be set as far as possible away from the shoulder and armature-rail interface connection. This paper also puts forward the laws of rail deformation and inductance gradient with cooling pipe in different locations.
2018,
30: 025004.
doi: 10.11884/HPLPB201830.170389
Abstract:
Sub-nanosecond high energy X-ray source is widely used in calibration of time response characteristic and sensitivity of radiation detectors. A compact generator for sub-nanosecond X-ray pulse was developed, covering a floor area of 1.2 m×40 cm with weight of 142 kg. A coaxial pulsed transformer was designed using double conical windings and triple resonance transformer technology. A nanosecond pulse forming line and a self-break oil switch were employed, generating a high voltage pulse with peak value of 370 kV and pulse width of 3.8 ns. The voltage was then increased to 520 kV by multi-stage over-matched transmission lines, and the pulse width was sharpened to 0.5 ns via a peaking-chopping oil switch. The power of the pulse loaded across the AK gap of the X-ray tube was 1.8 GW. The X-ray tube, using a foil array cathode, was designed and analyzed on the basis of Child-Langmuir theory. Radiation with a peak energy flux rate of about 1×1016 MeV·cm-2·s-1 was generated at a distance of 20 cm, and the integral dose was 4.1 mR per pulse.
Sub-nanosecond high energy X-ray source is widely used in calibration of time response characteristic and sensitivity of radiation detectors. A compact generator for sub-nanosecond X-ray pulse was developed, covering a floor area of 1.2 m×40 cm with weight of 142 kg. A coaxial pulsed transformer was designed using double conical windings and triple resonance transformer technology. A nanosecond pulse forming line and a self-break oil switch were employed, generating a high voltage pulse with peak value of 370 kV and pulse width of 3.8 ns. The voltage was then increased to 520 kV by multi-stage over-matched transmission lines, and the pulse width was sharpened to 0.5 ns via a peaking-chopping oil switch. The power of the pulse loaded across the AK gap of the X-ray tube was 1.8 GW. The X-ray tube, using a foil array cathode, was designed and analyzed on the basis of Child-Langmuir theory. Radiation with a peak energy flux rate of about 1×1016 MeV·cm-2·s-1 was generated at a distance of 20 cm, and the integral dose was 4.1 mR per pulse.
2018,
30: 025005.
doi: 10.11884/HPLPB201830.170358
Abstract:
The ring pulse forming line which uses BaTiO3 material is developed. Material characteristics and the influence of electric field distribution on the electric strength of the pulse forming line are analyzed. Due to optimizations of structure design and material characteristics, the electric strength of the pulse forming line has been enhanced. A 37-stage compact Marx generator is designed based on the pulse forming line. The electric field intensity distributions of the configuration with inductances were simulated. According to the results of the simulation, the electric field of the configuration is uniform and gives an optimized contour dimension. In the experiment, when the PFL was charged at ±19 kV, the output voltage was more than 680 kV and the pulse width was about 65 ns on the matching load.
The ring pulse forming line which uses BaTiO3 material is developed. Material characteristics and the influence of electric field distribution on the electric strength of the pulse forming line are analyzed. Due to optimizations of structure design and material characteristics, the electric strength of the pulse forming line has been enhanced. A 37-stage compact Marx generator is designed based on the pulse forming line. The electric field intensity distributions of the configuration with inductances were simulated. According to the results of the simulation, the electric field of the configuration is uniform and gives an optimized contour dimension. In the experiment, when the PFL was charged at ±19 kV, the output voltage was more than 680 kV and the pulse width was about 65 ns on the matching load.
2018,
30: 025006.
doi: 10.11884/HPLPB201830.170390
Abstract:
It is a new way to obtain nanosecond high voltage pulse by employing inductive pulse forming line and voltage adder technology. In this paper, the basic principle of the generator is described, and two kinds of prototype pulse generators (single line and double line types) are fabricated by using coaxial cable and MOSFET switch to demonstrate this idea. The preliminary experiments, in the case of four module superposition, have achieved nanosecond short pulses (4 kV/20 A, 20 ns and 2 kV/20 A, 20 ns, respectively).
It is a new way to obtain nanosecond high voltage pulse by employing inductive pulse forming line and voltage adder technology. In this paper, the basic principle of the generator is described, and two kinds of prototype pulse generators (single line and double line types) are fabricated by using coaxial cable and MOSFET switch to demonstrate this idea. The preliminary experiments, in the case of four module superposition, have achieved nanosecond short pulses (4 kV/20 A, 20 ns and 2 kV/20 A, 20 ns, respectively).
2018,
30: 025007.
doi: 10.11884/HPLPB201830.170359
Abstract:
High intensity electromagnetic interference will be induced during the operation of the " Dragon-Ⅱ" linear induction accelerator, which will interfere the operation of the key equipments such as the constant current supply. The characteristics of the interference signal was analyzed throughly. Then the high reliability circuit for the constant-current supply was designed based on the comprehensive application of several techniques, such as the digital fiber communication system and the dual loops current and voltage feedback control system. Combined with the application of the common mode inductor, the isolation ground and the optical-electronically isolation module, the electromagnetic compatibility of the HL90 constant-current supply was improved greatly. The low ripple high current HL90 worked well in the high intensity interference circumstance. The coefficient of the ripple was less than 0.11%, the drift was less than 0.12% and the malfunction percentage was less than 0.01%. This is helpful for the success of the "Dragon-Ⅱ" LIA.
High intensity electromagnetic interference will be induced during the operation of the " Dragon-Ⅱ" linear induction accelerator, which will interfere the operation of the key equipments such as the constant current supply. The characteristics of the interference signal was analyzed throughly. Then the high reliability circuit for the constant-current supply was designed based on the comprehensive application of several techniques, such as the digital fiber communication system and the dual loops current and voltage feedback control system. Combined with the application of the common mode inductor, the isolation ground and the optical-electronically isolation module, the electromagnetic compatibility of the HL90 constant-current supply was improved greatly. The low ripple high current HL90 worked well in the high intensity interference circumstance. The coefficient of the ripple was less than 0.11%, the drift was less than 0.12% and the malfunction percentage was less than 0.01%. This is helpful for the success of the "Dragon-Ⅱ" LIA.
2018,
30: 025008.
doi: 10.11884/HPLPB201830.170329
Abstract:
Large-sized (Pb, Sr)Nb2O6-NaNbO3-SiO2 glass ceramic plate was fabricated via melt-quenching followed by controlled crystallization. Its dielectric properties and charge-discharge properties were investigated. The results show that the dielectric constant is about 340 and has good temperature and voltage stability. The output pulse width of glass-ceramic pulse forming line is about 89 ns, and shows good flatness and steep front edge. The charge-discharge lifetime of pulse forming line is larger than one million times under the charge voltage of 19 kV, discharge current of 4 kA and operating frequency of 1 kHz.
Large-sized (Pb, Sr)Nb2O6-NaNbO3-SiO2 glass ceramic plate was fabricated via melt-quenching followed by controlled crystallization. Its dielectric properties and charge-discharge properties were investigated. The results show that the dielectric constant is about 340 and has good temperature and voltage stability. The output pulse width of glass-ceramic pulse forming line is about 89 ns, and shows good flatness and steep front edge. The charge-discharge lifetime of pulse forming line is larger than one million times under the charge voltage of 19 kV, discharge current of 4 kA and operating frequency of 1 kHz.
2018,
30: 025101.
doi: 10.11884/HPLPB201830.170114
Abstract:
In the operation process of spallation neutron source injection system, the stripper foil is the key equipment to realize the conversion of negative hydrogen ions into proton injection. The nanometer to micrometer thick stripper foil is ultra-thin and fragile, and its installation and system vacuum attainment are much difficult, which is the focus of spallation neutron source research. This paper compares the present situation of the foils fixation with that of the foreign foils. The pressure distribution of the foil, as well as the pressure distribution of the diaphragm under different pressure difference between inlet and outlet, air disturbance around the foil and the system air flow, has been simulated by Fluent simulation. Finally, this paper gives a vacuum solution without sacrificing the stripper foil, which has obtained an ultrahigh vacuum environment for the system.
In the operation process of spallation neutron source injection system, the stripper foil is the key equipment to realize the conversion of negative hydrogen ions into proton injection. The nanometer to micrometer thick stripper foil is ultra-thin and fragile, and its installation and system vacuum attainment are much difficult, which is the focus of spallation neutron source research. This paper compares the present situation of the foils fixation with that of the foreign foils. The pressure distribution of the foil, as well as the pressure distribution of the diaphragm under different pressure difference between inlet and outlet, air disturbance around the foil and the system air flow, has been simulated by Fluent simulation. Finally, this paper gives a vacuum solution without sacrificing the stripper foil, which has obtained an ultrahigh vacuum environment for the system.
2018,
30: 025102.
doi: 10.11884/HPLPB201830.170304
Abstract:
The model of CT measurement for X-ray attenuation in metallic materials was established by using image Point Spread function(PSF) approximation, the numerical calculation on the gray scale amplitude perpendicular to the X-ray plane boundary was conducted by the measurement model, and the PSF curve was drawn. On this basis, the defects' quantitative evaluation model was presented according to the PSF curve for defects quantitative evaluation. The stainless steel sample containing artificial defects was analyzed by using the high-energy 6MeV industrial CT linear array detector system. The result shows that, compared with the traditional half-width defects measuring method, this method improves the accuracy of defects quantitative evaluation. This method provides a new and effective tool for high performance of quantitative evaluation on the defects in metallic materials.
The model of CT measurement for X-ray attenuation in metallic materials was established by using image Point Spread function(PSF) approximation, the numerical calculation on the gray scale amplitude perpendicular to the X-ray plane boundary was conducted by the measurement model, and the PSF curve was drawn. On this basis, the defects' quantitative evaluation model was presented according to the PSF curve for defects quantitative evaluation. The stainless steel sample containing artificial defects was analyzed by using the high-energy 6MeV industrial CT linear array detector system. The result shows that, compared with the traditional half-width defects measuring method, this method improves the accuracy of defects quantitative evaluation. This method provides a new and effective tool for high performance of quantitative evaluation on the defects in metallic materials.
2018,
30: 026001.
doi: 10.11884/HPLPB201830.170251
Abstract:
This paper presents a new method to obtain the time-dependent electron beam energy deposition at different anode target position. First, the electron beam energy should be discrete according to diode working time, so that the electron beam in each time period is considered to have one single energy value. Then the energy deposition profile at this position can be calculated accurately by Monte Carlo method while only the incidence angle here is available. The time-dependent energy deposition characteristics in r (radial) and z (depth) directions of a weak-pinched diode working at 600 kV and 7 Ω are analyzed. The results show that the energy deposition characteristics are related to the incidence angle in the case of the energy of the electron beam is confirmed in each time period. The experimental results are in good agreement with the simulation results, the deviations are less than 10%.The energy deposition at each position of the target surface is different due to the influence of the incident energy and the incidence angle. The energy deposition profile at a designated position is also time-dependent. Under the influence of the beam pinching, the incidence angle changes greatly with time at the position more than 25 mm away from the center of the target surface. When the incidence angle is less than 40°, the peak depth of the high current electron beam energy deposition is about 0.2 mm. When the incidence angle exceeds 40°, the energy deposition peak depth is reduced to about 0.1 mm. At the positions near the center of the target surface, the influence of the beam pinching is weakened. The energy deposition characteristics of these locations are closer to the case of the deposition with small incidence angles(< 40°).
This paper presents a new method to obtain the time-dependent electron beam energy deposition at different anode target position. First, the electron beam energy should be discrete according to diode working time, so that the electron beam in each time period is considered to have one single energy value. Then the energy deposition profile at this position can be calculated accurately by Monte Carlo method while only the incidence angle here is available. The time-dependent energy deposition characteristics in r (radial) and z (depth) directions of a weak-pinched diode working at 600 kV and 7 Ω are analyzed. The results show that the energy deposition characteristics are related to the incidence angle in the case of the energy of the electron beam is confirmed in each time period. The experimental results are in good agreement with the simulation results, the deviations are less than 10%.The energy deposition at each position of the target surface is different due to the influence of the incident energy and the incidence angle. The energy deposition profile at a designated position is also time-dependent. Under the influence of the beam pinching, the incidence angle changes greatly with time at the position more than 25 mm away from the center of the target surface. When the incidence angle is less than 40°, the peak depth of the high current electron beam energy deposition is about 0.2 mm. When the incidence angle exceeds 40°, the energy deposition peak depth is reduced to about 0.1 mm. At the positions near the center of the target surface, the influence of the beam pinching is weakened. The energy deposition characteristics of these locations are closer to the case of the deposition with small incidence angles(< 40°).
2018,
30: 026002.
doi: 10.11884/HPLPB201830.170226
Abstract:
Toxic and harmful elements of living garbage can easily cause soil and groundwater contamination around the landfill. In-situ monitoring of harmful elements in landfills can provide the necessary technical support for safe and stable operation of landfills. In this paper, a method for detecting harmful elements in landfill based on instantaneous gamma-ray neutron activation analysis is proposed. The research model of the detection device for the actual environment of gas pipeline in landfill is made by using polyethylene ball, glass ball and ultra-pure water mixture as dry refuse substitute for preparing different landfill samples. The Monte Carlo method was used to simulate the geometrical parameters of the optimized model and experimental research platform was constructed using an americium beryllium neutron source with an activity of 300 mCi and a 4 inch BGO detector. Monte Carlo simulation and experimental results show that the characteristic peak intensities of chlorine, manganese, nickel and chromium in the landfill are enhanced with the increase of the element bulk density, and there exists a good linear relationship.
Toxic and harmful elements of living garbage can easily cause soil and groundwater contamination around the landfill. In-situ monitoring of harmful elements in landfills can provide the necessary technical support for safe and stable operation of landfills. In this paper, a method for detecting harmful elements in landfill based on instantaneous gamma-ray neutron activation analysis is proposed. The research model of the detection device for the actual environment of gas pipeline in landfill is made by using polyethylene ball, glass ball and ultra-pure water mixture as dry refuse substitute for preparing different landfill samples. The Monte Carlo method was used to simulate the geometrical parameters of the optimized model and experimental research platform was constructed using an americium beryllium neutron source with an activity of 300 mCi and a 4 inch BGO detector. Monte Carlo simulation and experimental results show that the characteristic peak intensities of chlorine, manganese, nickel and chromium in the landfill are enhanced with the increase of the element bulk density, and there exists a good linear relationship.
2018,
30: 026003.
doi: 10.11884/HPLPB201830.170256
Abstract:
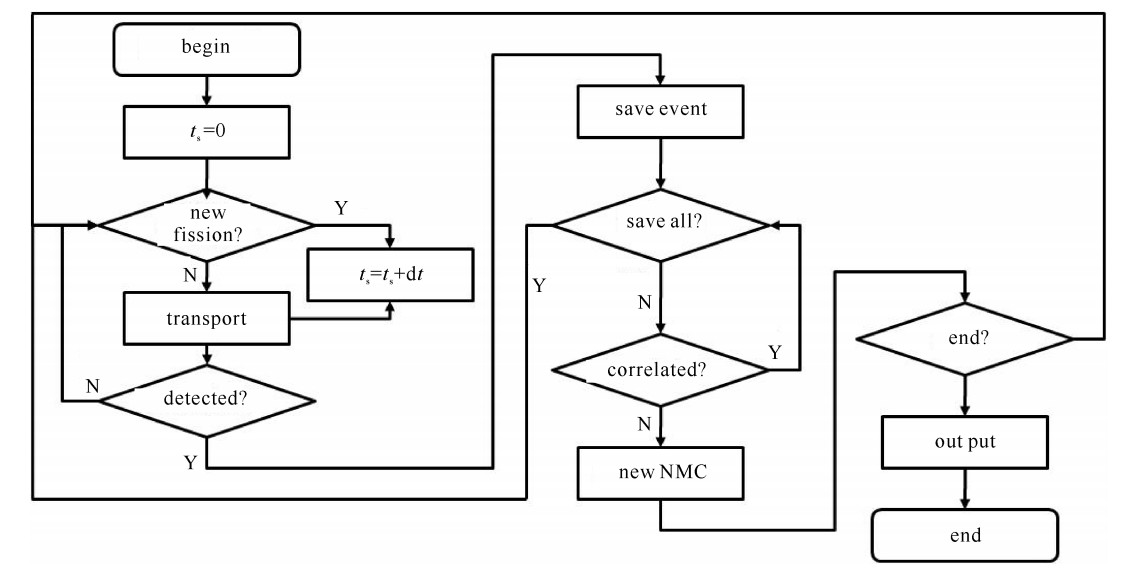
Neutron multiplicity counting (NMC) has been widely used in many fields related to non-destructive nuclear material measurement, such as nuclear material protection control and accounting, arms control verification and so on. Developing simulation tools, and carrying out numerical experiments are important means in the research on the application of NMC, which also become one important area of neutron transport simulation. This paper presents a new method to calculate NMC by sequential detection events simulation. By realizing the on-line NMC calculation, based on JMCT particle transport simulation code, the program to simulate neutron multiplicity counting, JMCT_NMC, was developed. This paper also presents some results of NMC calculation examples to test the code, and comparison of the time consumption of JMCT_NMC and traditional method. In JMCT_NMC code, by getting rid of the large data storage requirement, it is possible to simulate neutron multiplicity with large event number and high calculation efficiency.
Neutron multiplicity counting (NMC) has been widely used in many fields related to non-destructive nuclear material measurement, such as nuclear material protection control and accounting, arms control verification and so on. Developing simulation tools, and carrying out numerical experiments are important means in the research on the application of NMC, which also become one important area of neutron transport simulation. This paper presents a new method to calculate NMC by sequential detection events simulation. By realizing the on-line NMC calculation, based on JMCT particle transport simulation code, the program to simulate neutron multiplicity counting, JMCT_NMC, was developed. This paper also presents some results of NMC calculation examples to test the code, and comparison of the time consumption of JMCT_NMC and traditional method. In JMCT_NMC code, by getting rid of the large data storage requirement, it is possible to simulate neutron multiplicity with large event number and high calculation efficiency.
2018,
30: 026004.
doi: 10.11884/HPLPB201830.170223
Abstract:
For deep-penetration shielding calculation, Monte Carlo method (MC method) requires modeling a great number of particles to obtain reliable results, thus huge computation time is the main problem of the MC method. Source biasing and weight window technique effectively decrease the tally error of deep penetration problem. This paper studies the variance reduction (VR) method based on adjoint Discrete Ordinate (SN), generates source biasing factors and weight window parameters for the MC method by using the adjoint fluence rates of the SN method, and develops source sampling subroutine for JMCT. The VR method was verified at phaseⅠ of Qinshan Nuclear Power Plant measurements. It was applied to CAP1400 pressure vessel fast neutron fluence rate and cavity neutron and photon dose rate calculations. Numerical results show that the VR method based on SN increases calculation efficiency by 1~2 orders for deep-penetration shielding calculation with high precision compared with unbiased MC method.
For deep-penetration shielding calculation, Monte Carlo method (MC method) requires modeling a great number of particles to obtain reliable results, thus huge computation time is the main problem of the MC method. Source biasing and weight window technique effectively decrease the tally error of deep penetration problem. This paper studies the variance reduction (VR) method based on adjoint Discrete Ordinate (SN), generates source biasing factors and weight window parameters for the MC method by using the adjoint fluence rates of the SN method, and develops source sampling subroutine for JMCT. The VR method was verified at phaseⅠ of Qinshan Nuclear Power Plant measurements. It was applied to CAP1400 pressure vessel fast neutron fluence rate and cavity neutron and photon dose rate calculations. Numerical results show that the VR method based on SN increases calculation efficiency by 1~2 orders for deep-penetration shielding calculation with high precision compared with unbiased MC method.
2018,
30: 026005.
doi: 10.11884/HPLPB201830.170254
Abstract:
A leakage model based on B1 homogeneous equations has been implemented in continuous-energy Monte Carlo code TRIPOLI4. This leakage model algorithm iterates between the point-wise Monte Carlo simulation and a B1 homogeneous equation solver till reaching a final critical state in Monte Carlo simulation. The two advantages of our leakage model compared with the others are: we use critical flux spectrum to generate the multi-group constants for solving the B1 homogeneous equation; the leakage coefficients calculated are considered in point-wise Monte Carlo simulation. This leakage model is validated by a pre-designed numerical experiment simulated with continuous-energy TRIPOLI4 and the results obtained by this leakage model are proved to be more accurate by comparison with those from SERPENT leakage model and deterministic leakage model in ECCO code.
A leakage model based on B1 homogeneous equations has been implemented in continuous-energy Monte Carlo code TRIPOLI4. This leakage model algorithm iterates between the point-wise Monte Carlo simulation and a B1 homogeneous equation solver till reaching a final critical state in Monte Carlo simulation. The two advantages of our leakage model compared with the others are: we use critical flux spectrum to generate the multi-group constants for solving the B1 homogeneous equation; the leakage coefficients calculated are considered in point-wise Monte Carlo simulation. This leakage model is validated by a pre-designed numerical experiment simulated with continuous-energy TRIPOLI4 and the results obtained by this leakage model are proved to be more accurate by comparison with those from SERPENT leakage model and deterministic leakage model in ECCO code.
2018,
30: 029001.
doi: 10.11884/HPLPB201830.170374
Abstract:
The temperature detection of laser is an important subject in the field of laser, which affects its applications in engineering directly. The XL-800WF multi-function laser welding machine was used to irradiate the thick steel plate and the melting graphs were recorded. From the micrographs, we can measure the melting spot size and calculate the solidification time. According to the principle of the spread of laser irradiation temperature, we have built the heat conduction equation under ideal conditions and simulated the temperature evolution. Combining with the solidification time, we have derived the theoretical temperature value of XL-800WF laser.
The temperature detection of laser is an important subject in the field of laser, which affects its applications in engineering directly. The XL-800WF multi-function laser welding machine was used to irradiate the thick steel plate and the melting graphs were recorded. From the micrographs, we can measure the melting spot size and calculate the solidification time. According to the principle of the spread of laser irradiation temperature, we have built the heat conduction equation under ideal conditions and simulated the temperature evolution. Combining with the solidification time, we have derived the theoretical temperature value of XL-800WF laser.

Email alert
RSS
