2018 Vol. 30, No. 4
Recommend Articles
column
- 高功率激光与光学
- 本期封面及目录
- Research Letter
- High Power Laser and Optic
- ICF and Laser Plasma
- High Power Microwave
- Terahertz Technology
- Complex Electromagnetic Environment
- Particle Beams Technology
- Pulsed Power Technology
- Accelerator Technology
- Nuclear Science and Engineering
- Applications of Laser and Particle Beams
Display Method:
2018,
30.
2018,
30: 040101.
doi: 10.11884/HPLPB201830.180042
Abstract:
In this paper, laser speckle and interference fringe were effectively restrained by the use of diffractive optical element for smoothing beam, multimode fiber and the lens coupling expander technology. The vignette phenomenon on the imaging plane was eliminated while taking the picture of objective illuminated by wide-view parallel-light. Based on this research, the ϕ300 mm wide-view laser uniform illumination and the clear imaging of objective were realized, and it was successfully used in precise physical experiments of cylindrical implosion compression, space junk and so on. The successful combination of high-speed photography technology and laser illumination will effectively restrain the excessive exposure caused by intensive self-illumination in precise physical experiments, and improve the quality of imaging. Consequently, the image boundary of physical phenomenon will be clearer and easier to interprete and recognize.
In this paper, laser speckle and interference fringe were effectively restrained by the use of diffractive optical element for smoothing beam, multimode fiber and the lens coupling expander technology. The vignette phenomenon on the imaging plane was eliminated while taking the picture of objective illuminated by wide-view parallel-light. Based on this research, the ϕ300 mm wide-view laser uniform illumination and the clear imaging of objective were realized, and it was successfully used in precise physical experiments of cylindrical implosion compression, space junk and so on. The successful combination of high-speed photography technology and laser illumination will effectively restrain the excessive exposure caused by intensive self-illumination in precise physical experiments, and improve the quality of imaging. Consequently, the image boundary of physical phenomenon will be clearer and easier to interprete and recognize.
2018,
30: 041001.
doi: 10.11884/HPLPB201830.170124
Abstract:
A high energy, high beam quality short-pulse diode-pumped Nd: YAG master oscillator power-amplifier (MOPA) laser with two amplifier stages is demonstrated. The two-rod birefringence compensation is used as beam quality control measure, which presents a short-pulse energy of 40 mJ with a beam quality value of M2=1.2 at a repetition rate of 400 Hz. The MOPA system delivers a short-pulse energy of 712.5 mJ with a pulse width of 12.4 ns.The method of spherical aberration compensation has improved the beam quality, a M2 factor of 2.3 and an optical-to-optical efficiency of 27.7% are obtained at the maximum laser out power. The laser has obtained 1.4 J output energy with polarization integration.
A high energy, high beam quality short-pulse diode-pumped Nd: YAG master oscillator power-amplifier (MOPA) laser with two amplifier stages is demonstrated. The two-rod birefringence compensation is used as beam quality control measure, which presents a short-pulse energy of 40 mJ with a beam quality value of M2=1.2 at a repetition rate of 400 Hz. The MOPA system delivers a short-pulse energy of 712.5 mJ with a pulse width of 12.4 ns.The method of spherical aberration compensation has improved the beam quality, a M2 factor of 2.3 and an optical-to-optical efficiency of 27.7% are obtained at the maximum laser out power. The laser has obtained 1.4 J output energy with polarization integration.
2018,
30: 041002.
doi: 10.11884/HPLPB201830.170452
Abstract:
The effect of the gain medium position in the resonator on the external second harmonic generation (SHG) conversion efficiency was studied. A MgO-doped periodically poled LiNbO3 crystal (MgO: PPLN) was utilized to achieve a 532-nm green-light laser outside the resonator of a mode-locked diode-pumped Nd: YVO4 1064-nm laser. We theoretically and experimentally verified that increasing the mirror/crystal separation could reduce the longitudinal mode number, narrow the linewidth and stabilize the mode locked pulse owing to the spatial burning hole effect. These phenomena would further affect the SHG conversion efficiency.The experimental results show that, increasing the mirror/crystal separation could promote the SHG conversion efficiency with the fixed focus length, especially at the higher pump power. The theoretical analysis and experimental results have reference significance for improving the SHG efficiency of the external end-pumped mode-locked laser.
The effect of the gain medium position in the resonator on the external second harmonic generation (SHG) conversion efficiency was studied. A MgO-doped periodically poled LiNbO3 crystal (MgO: PPLN) was utilized to achieve a 532-nm green-light laser outside the resonator of a mode-locked diode-pumped Nd: YVO4 1064-nm laser. We theoretically and experimentally verified that increasing the mirror/crystal separation could reduce the longitudinal mode number, narrow the linewidth and stabilize the mode locked pulse owing to the spatial burning hole effect. These phenomena would further affect the SHG conversion efficiency.The experimental results show that, increasing the mirror/crystal separation could promote the SHG conversion efficiency with the fixed focus length, especially at the higher pump power. The theoretical analysis and experimental results have reference significance for improving the SHG efficiency of the external end-pumped mode-locked laser.
2018,
30: 041003.
doi: 10.11884/HPLPB201830.170387
Abstract:
The wavelengths of 1064 nm and 532 nm of the pulsed Nd: YAG laser were used to irradiate the fused silica to study the interaction between different wavelengths of laser with fused silica. The laser induced damage characteristics in fused silica surface were researched under separate of simultaneous irradiation of 1064 nm and 532 nm wavelengths. Testing the damage probability under different energy density, we obtained the damage probability curves and typical damage morphologies. The results show that the initial damage threshold under simultaneous irradiation with 1064 nm and 532 nm is always less than that under single wavelength irradiation. Add a certain amount of 532 nm laser to 1064 nm laser, fused silica improves the absorption efficiency for 1064 nm. The damage density of fused silica increases under double wavelength simultaneous irradiation. The reason is that the surface defects of fused silica have different absorption mechanisms for different wavelengths.
The wavelengths of 1064 nm and 532 nm of the pulsed Nd: YAG laser were used to irradiate the fused silica to study the interaction between different wavelengths of laser with fused silica. The laser induced damage characteristics in fused silica surface were researched under separate of simultaneous irradiation of 1064 nm and 532 nm wavelengths. Testing the damage probability under different energy density, we obtained the damage probability curves and typical damage morphologies. The results show that the initial damage threshold under simultaneous irradiation with 1064 nm and 532 nm is always less than that under single wavelength irradiation. Add a certain amount of 532 nm laser to 1064 nm laser, fused silica improves the absorption efficiency for 1064 nm. The damage density of fused silica increases under double wavelength simultaneous irradiation. The reason is that the surface defects of fused silica have different absorption mechanisms for different wavelengths.
2018,
30: 041004.
doi: 10.11884/HPLPB201830.170397
Abstract:
The heat transfer performance of deionized water flowing in the large length/width ratio pin-fin micro channel was experimentally studied with two different ratios of channel to fin. The results show that, when the Reyonolds number is less than 650 and the inlet temperature is fixed at 40 ℃, the channel can achieve a heat dissipation of 21.32 W/cm2 and the maximum wall temperature is below 77 ℃. The thermal properties of the channel can be summarized as follows for a fixed Reyonolds number: the wall temperature increases with the heating power and along with the flow direction; the local Nusselt number decreases along with the flow direction, then increases, and gradually tends to a fixed value. In the case of a long pin-fin channel, the entrance channel effect can be neglected, the average Nusselt number is independent with heating power, and only increases with Reyonolds number. Based on these results, a new correlation is proposed to evaluate heat transfer performance of pin-fins, which considers the Nusselt number as a function of the channel/fin ratio, Reyonolds number and Prandtl number.
The heat transfer performance of deionized water flowing in the large length/width ratio pin-fin micro channel was experimentally studied with two different ratios of channel to fin. The results show that, when the Reyonolds number is less than 650 and the inlet temperature is fixed at 40 ℃, the channel can achieve a heat dissipation of 21.32 W/cm2 and the maximum wall temperature is below 77 ℃. The thermal properties of the channel can be summarized as follows for a fixed Reyonolds number: the wall temperature increases with the heating power and along with the flow direction; the local Nusselt number decreases along with the flow direction, then increases, and gradually tends to a fixed value. In the case of a long pin-fin channel, the entrance channel effect can be neglected, the average Nusselt number is independent with heating power, and only increases with Reyonolds number. Based on these results, a new correlation is proposed to evaluate heat transfer performance of pin-fins, which considers the Nusselt number as a function of the channel/fin ratio, Reyonolds number and Prandtl number.
2018,
30: 041005.
doi: 10.11884/HPLPB201830.170483
Abstract:
A 440 nm solid-state blue laser produced by a periodically poled lithium niobate (PPLN) crystal based on cascaded third-harmonic generation (THG) is introduced. According to Sellmeier equation and phase-matching conditions of second-harmonic generation (SHG) and sum-frequency generation (SFG), two different poling periods of PPLN were designed to realize SHG and SFG at the same working temperature, and then the cascaded THG can be realized through SHG and SFG. The fundamental laser was produced by Nd: YAG, and had a 110 ns pulse width at 400 Hz pulse repetition rate with a measured beam quality of Mx2=1.81 and My2=2.65. It was coupled in PPLN and the 660 nm and 440 nm laser were detected after it passed through the crystal. The maximum output power of 440 nm laser was 2.4 mW where the working temperature was 55.5 ℃, and the power of 1319 nm laser was 530 mW. It is proved that a cascaded THG 440 nm blue laser can be realized by this method and it can realize a high power and high efficiency blue laser after optimization.
A 440 nm solid-state blue laser produced by a periodically poled lithium niobate (PPLN) crystal based on cascaded third-harmonic generation (THG) is introduced. According to Sellmeier equation and phase-matching conditions of second-harmonic generation (SHG) and sum-frequency generation (SFG), two different poling periods of PPLN were designed to realize SHG and SFG at the same working temperature, and then the cascaded THG can be realized through SHG and SFG. The fundamental laser was produced by Nd: YAG, and had a 110 ns pulse width at 400 Hz pulse repetition rate with a measured beam quality of Mx2=1.81 and My2=2.65. It was coupled in PPLN and the 660 nm and 440 nm laser were detected after it passed through the crystal. The maximum output power of 440 nm laser was 2.4 mW where the working temperature was 55.5 ℃, and the power of 1319 nm laser was 530 mW. It is proved that a cascaded THG 440 nm blue laser can be realized by this method and it can realize a high power and high efficiency blue laser after optimization.
2018,
30: 042001.
doi: 10.11884/HPLPB201830.170311
Abstract:
The morphology on the surface of hollow glass mircospheres(HGMs) in inflating process was investigated in this work. The experimental results indicate that the main factors influencing the surface of HGM include temperature and pressure, and higher temperature and pressure contributed to the formation of surface morphology. After the appearance of the erosion-like surface morphology, the surface roughness of HGMs increased significantly. However, after some time of storage, the surface roughness of HGMs decreased. The reason for erosion is crystallization and phase separation in essence. The components of crystal mainly consist of the elements of Na and B. The converse transfer of the elements of Na and B causes the decrease of surface roughness of HGMs.
The morphology on the surface of hollow glass mircospheres(HGMs) in inflating process was investigated in this work. The experimental results indicate that the main factors influencing the surface of HGM include temperature and pressure, and higher temperature and pressure contributed to the formation of surface morphology. After the appearance of the erosion-like surface morphology, the surface roughness of HGMs increased significantly. However, after some time of storage, the surface roughness of HGMs decreased. The reason for erosion is crystallization and phase separation in essence. The components of crystal mainly consist of the elements of Na and B. The converse transfer of the elements of Na and B causes the decrease of surface roughness of HGMs.
2018,
30: 042002.
doi: 10.11884/HPLPB201830.170352
Abstract:
PS/AlNPs composite fibers were prepared by adding AlNPs into PS to finish the simulation study of conductive matrix materials for Z-pinch: deuterated polystyrene/nano-aluminum (DPS/AlNPs). The effects of temperature and shear rate on the rheological properties, the relationship between the structural changes, the flow condition of composites melt and the properties of PS/AlNPs, as well as the morphology, thermal stability and mechanical properties of PS/AlNPs fiber were investigated. The results show that the PS/AlNPs melt is a typical shear thinning non-Newtonian fluid, and the apparent viscosity of the melt is negatively correlated with the temperature. The composite possesses non-Newtonian index of between 0.462 and 0.546 at 240-260 ℃, the coefficient of viscosity of about 1.8 to 2.1, and the activation energy of viscous flow sitting between 77.2 and 104.6 kJ mol-1, showing its good spinnability. The PS shows its ability to coat AlNPs very well and prohibits the AlNPs being oxided, giving birth to a PS/AlNPs fiber possessing smooth surface. The fiber has the biggest elongation at break and the highest breaking strength when the content of AlNPs is 1% and 5%, respectively.
PS/AlNPs composite fibers were prepared by adding AlNPs into PS to finish the simulation study of conductive matrix materials for Z-pinch: deuterated polystyrene/nano-aluminum (DPS/AlNPs). The effects of temperature and shear rate on the rheological properties, the relationship between the structural changes, the flow condition of composites melt and the properties of PS/AlNPs, as well as the morphology, thermal stability and mechanical properties of PS/AlNPs fiber were investigated. The results show that the PS/AlNPs melt is a typical shear thinning non-Newtonian fluid, and the apparent viscosity of the melt is negatively correlated with the temperature. The composite possesses non-Newtonian index of between 0.462 and 0.546 at 240-260 ℃, the coefficient of viscosity of about 1.8 to 2.1, and the activation energy of viscous flow sitting between 77.2 and 104.6 kJ mol-1, showing its good spinnability. The PS shows its ability to coat AlNPs very well and prohibits the AlNPs being oxided, giving birth to a PS/AlNPs fiber possessing smooth surface. The fiber has the biggest elongation at break and the highest breaking strength when the content of AlNPs is 1% and 5%, respectively.
2018,
30: 043001.
doi: 10.11884/HPLPB201830.170333
Abstract:
One way to evaluate high power microwave's effect to computers in the building is proposed. Finite-difference Time-domain method is used to compute the electromagnetic field in the building and we can get the greatest field of every point in the building. The volume ratio which is greater than the effect threshold equals the computer's effect probability. An experiment was carried out to test the method. The computer's effect ratio difference between the experiment and the computation is less than 20%. By changing the incident field intensity, the relation between the computer effect ratio and the incident was analyzed. The experimental results agree well with theoretical calculation results.
One way to evaluate high power microwave's effect to computers in the building is proposed. Finite-difference Time-domain method is used to compute the electromagnetic field in the building and we can get the greatest field of every point in the building. The volume ratio which is greater than the effect threshold equals the computer's effect probability. An experiment was carried out to test the method. The computer's effect ratio difference between the experiment and the computation is less than 20%. By changing the incident field intensity, the relation between the computer effect ratio and the incident was analyzed. The experimental results agree well with theoretical calculation results.
2018,
30: 043002.
doi: 10.11884/HPLPB201830.170444
Abstract:
RF breakdown of the metallic high frequency structures is an important reason of power decrease and pulse shortening; it is also an important limitation of the development of high power microwave (HPM) to higher power and longer pulse. The physical process of RF breakdown is pretty complicated, and the experiment research of RF breakdown is hard to conduct, thus simulation research becomes an important method. We simulated the influence of plasma on the performance of an X-band RBWO and a Ka-band RBWO by setting electron and ion emission from the surface of SWSs. The simulation results show that the formation of plasma in back SWSs will influence the performance of RBWO by influencing the electron beam. When the plasma consists of light ions and electrons, it will bring stronger influence on the beam wave interaction, leading to power decrease in a high degree. The breakdown plasma has a bigger influence on the Ka-band RBWO than X-band RBWO.
RF breakdown of the metallic high frequency structures is an important reason of power decrease and pulse shortening; it is also an important limitation of the development of high power microwave (HPM) to higher power and longer pulse. The physical process of RF breakdown is pretty complicated, and the experiment research of RF breakdown is hard to conduct, thus simulation research becomes an important method. We simulated the influence of plasma on the performance of an X-band RBWO and a Ka-band RBWO by setting electron and ion emission from the surface of SWSs. The simulation results show that the formation of plasma in back SWSs will influence the performance of RBWO by influencing the electron beam. When the plasma consists of light ions and electrons, it will bring stronger influence on the beam wave interaction, leading to power decrease in a high degree. The breakdown plasma has a bigger influence on the Ka-band RBWO than X-band RBWO.
2018,
30: 043003.
doi: 10.11884/HPLPB201830.170460
Abstract:
In order to enhance the sensitivity of high power microwave detector and reduce the impact of ambient temperature, research of hot-carriers detector in liquid nitrogen was carried out. Kovar alloy was used in the BJ-100 waveguide HPM detector to enhance the ability of resisting temperature change. The binding force is bigger than 4.9 N in the test. Sensitivity experiments of the HPM detector at room temperature and in liquid nitrogen were conducted using the microwave source. Waveform of the HPM detector is consistent with that of the Schottky detector. The relative sensitivity of the HPM detector in liquid nitrogen is 20 times higher than that in the room temperature under the constant current, and the output voltage amplitude can be above 1 V.
In order to enhance the sensitivity of high power microwave detector and reduce the impact of ambient temperature, research of hot-carriers detector in liquid nitrogen was carried out. Kovar alloy was used in the BJ-100 waveguide HPM detector to enhance the ability of resisting temperature change. The binding force is bigger than 4.9 N in the test. Sensitivity experiments of the HPM detector at room temperature and in liquid nitrogen were conducted using the microwave source. Waveform of the HPM detector is consistent with that of the Schottky detector. The relative sensitivity of the HPM detector in liquid nitrogen is 20 times higher than that in the room temperature under the constant current, and the output voltage amplitude can be above 1 V.
2018,
30: 043004.
doi: 10.11884/HPLPB201830.170443
Abstract:
A linear array antenna with high power-handling capacity is designed in this article, which is feed through slots of rectangle wave-guide. A new cambered slot coupling structure is applied in the antenna, which radiation element is a small antenna, and one dimension beam scanning is realized by rotating the inner conductor of the helical line to adjust the phase of the radiation element. The theoretical design is accomplished according to the equivalent transmission theory, the simulation results indicate that: one 3200.00 mm long array antenna has the gain of 27.50 dB at the frequency of 8.40 GHz, and the axial ratio is 0.51 dB. The power-capacity is about 90 MW, and the efficiency of the antenna is 97.10%. The reflectance is below -24 dB, and the beam scanning is ±38°.
A linear array antenna with high power-handling capacity is designed in this article, which is feed through slots of rectangle wave-guide. A new cambered slot coupling structure is applied in the antenna, which radiation element is a small antenna, and one dimension beam scanning is realized by rotating the inner conductor of the helical line to adjust the phase of the radiation element. The theoretical design is accomplished according to the equivalent transmission theory, the simulation results indicate that: one 3200.00 mm long array antenna has the gain of 27.50 dB at the frequency of 8.40 GHz, and the axial ratio is 0.51 dB. The power-capacity is about 90 MW, and the efficiency of the antenna is 97.10%. The reflectance is below -24 dB, and the beam scanning is ±38°.
2018,
30: 043005.
doi: 10.11884/HPLPB201830.170419
Abstract:
In order to reduce the high temperature damage caused by atmospheric friction, aircraft radar antenna will generally be equipped with radome or dielectric window. In this paper, the bandgap characteristic of the electromagnetic bandgap (EBG) structure and the bandwidth and the good matching characteristics of the ladder-type microstrip antenna are combined to design an EBG structure ladder-type microstrip antenna with dielectric window, and then the antenna radiation characteristics and the effect of dielectric window on them are calculated and analyzed. The results show that the bandgap produced by the EBG structure can restrict the propagation of the surface wave of the antenna and improve the bandwidth and gain performance of the antenna. The structure can also reduce the mutual coupling effect between the antenna and the dielectric window, which can provide a theoretical reference for the design and application of the EBG structure ladder-type microstrip antenna with dielectric window.
In order to reduce the high temperature damage caused by atmospheric friction, aircraft radar antenna will generally be equipped with radome or dielectric window. In this paper, the bandgap characteristic of the electromagnetic bandgap (EBG) structure and the bandwidth and the good matching characteristics of the ladder-type microstrip antenna are combined to design an EBG structure ladder-type microstrip antenna with dielectric window, and then the antenna radiation characteristics and the effect of dielectric window on them are calculated and analyzed. The results show that the bandgap produced by the EBG structure can restrict the propagation of the surface wave of the antenna and improve the bandwidth and gain performance of the antenna. The structure can also reduce the mutual coupling effect between the antenna and the dielectric window, which can provide a theoretical reference for the design and application of the EBG structure ladder-type microstrip antenna with dielectric window.
2018,
30: 043101.
doi: 10.11884/HPLPB201830.170399
Abstract:
The resonance process of free electrons and external electric fields in noble metal (Ag) is described by using the polarization current difference equation. The difference equation is combined with the Maxwell equation. The finite-difference time-domain (FDTD) method is used. Based on the particle-in-cell (PIC) simulation software CHIPIC3D, the PIC simulation of the electron-excited surface plasmon polaritons (SPPs) is realized. Through simulating the SPPs excited by 100 keV electrons moving parallel to the surface of silver films, the field strength and mode of SPPs are observed and analyzed, and the simulation results are verified.
The resonance process of free electrons and external electric fields in noble metal (Ag) is described by using the polarization current difference equation. The difference equation is combined with the Maxwell equation. The finite-difference time-domain (FDTD) method is used. Based on the particle-in-cell (PIC) simulation software CHIPIC3D, the PIC simulation of the electron-excited surface plasmon polaritons (SPPs) is realized. Through simulating the SPPs excited by 100 keV electrons moving parallel to the surface of silver films, the field strength and mode of SPPs are observed and analyzed, and the simulation results are verified.
2018,
30: 043102.
doi: 10.11884/HPLPB201830.170309
Abstract:
Using the Z transform finite difference time domain method (Z-FDTD), we calculated Terahertz wave's transmission characteristics in plasma sheath, acquired the Terahertz wave power transmission and reflection coefficients with the change of the EM frequencies in the plasma sheath, analyzed the relationship of Terahertz wave transmission characteristics and plasma structure parameters (sheath thickness, collision frequency and the electron density), and discussed the method of using Terahertz wave to solve the "blackout" phenomenon. The results show that Terahertz wave can improve the communication in plasma sheath and provide an effective way to solve the "blackout" problem.
Using the Z transform finite difference time domain method (Z-FDTD), we calculated Terahertz wave's transmission characteristics in plasma sheath, acquired the Terahertz wave power transmission and reflection coefficients with the change of the EM frequencies in the plasma sheath, analyzed the relationship of Terahertz wave transmission characteristics and plasma structure parameters (sheath thickness, collision frequency and the electron density), and discussed the method of using Terahertz wave to solve the "blackout" phenomenon. The results show that Terahertz wave can improve the communication in plasma sheath and provide an effective way to solve the "blackout" problem.
2018,
30: 043201.
doi: 10.11884/HPLPB201830.170377
Abstract:
Focusing on intelligentizing characterization for battlefield electromagnetic operational environment, firstly, the relations between cognitive operations and operational art are introduced, and operations in electromagnetic domain, electromagnetic spectrum operations and their correlated operations in the air, land, maritime, and space domains are analyzed. And then, based on the viewpoint of cognitive science and artificial intelligence, the requirements of the military tactical picture, common tactical picture and common operational picture for the characterization of battlefield electromagnetic operational environment are proposed. The real meanings of the layered cognition and intelligentized characterization, used for different commanders and staffs in full operation cycle, of battlefield electromagnetic operational environment are pointed out. Finally, the vision for intelligentizing battlefield electromagnetic operational environment characterization is set.
Focusing on intelligentizing characterization for battlefield electromagnetic operational environment, firstly, the relations between cognitive operations and operational art are introduced, and operations in electromagnetic domain, electromagnetic spectrum operations and their correlated operations in the air, land, maritime, and space domains are analyzed. And then, based on the viewpoint of cognitive science and artificial intelligence, the requirements of the military tactical picture, common tactical picture and common operational picture for the characterization of battlefield electromagnetic operational environment are proposed. The real meanings of the layered cognition and intelligentized characterization, used for different commanders and staffs in full operation cycle, of battlefield electromagnetic operational environment are pointed out. Finally, the vision for intelligentizing battlefield electromagnetic operational environment characterization is set.
2018,
30: 044001.
doi: 10.11884/HPLPB201830.170248
Abstract:
Numerical calculation and analysis of proton radiation effects on CCD based on Monte Carlo method were developed by Geant4, a 3-D Monte Carlo code. The projected ranges and Bragg peaks of protons in Si and SiO2 were calculated and the results were in good agreement with the reference data. The ionizing energy losses of protons in SiO2 and non-ionizing energy losses in Si were also calculated and the results were in good agreement with the reference data. The detailed geometry model of the pixel of CCD was established. The ionizing energy deposition and non-ionizing energy deposition in the sensitive region of CCD caused by protons at different energy were calculated. The proton radiation effects on CCD were analyzed by combining experiment results and the numerical calculation. The achievements of this paper provide a basis of theories for CCD radiation degradation mechanisms and radiation damage evaluation study.
Numerical calculation and analysis of proton radiation effects on CCD based on Monte Carlo method were developed by Geant4, a 3-D Monte Carlo code. The projected ranges and Bragg peaks of protons in Si and SiO2 were calculated and the results were in good agreement with the reference data. The ionizing energy losses of protons in SiO2 and non-ionizing energy losses in Si were also calculated and the results were in good agreement with the reference data. The detailed geometry model of the pixel of CCD was established. The ionizing energy deposition and non-ionizing energy deposition in the sensitive region of CCD caused by protons at different energy were calculated. The proton radiation effects on CCD were analyzed by combining experiment results and the numerical calculation. The achievements of this paper provide a basis of theories for CCD radiation degradation mechanisms and radiation damage evaluation study.
2018,
30: 044002.
doi: 10.11884/HPLPB201830.170388
Abstract:
A new ultrafast pulse neutron detector based on MCP is introduced. The γ-ray sensitivity of the detector was investigated through simulation and experiment. A model of theoretical simulation was set up for γ-ray sensitivity calculation. In this model, the energy spectra and emitting angle distribution of electrons which were produced by different energy's γ-ray injecting into the different thickness' polyethylene were calculated through Monte Carlo methods. Then, the yields of secondary electrons produced by the single electron injecting into microchannel of MCP were also calculated through the experiential formula. The γ-ray sensitivity of the detector was finally obtained. The results shown that the γ-ray sensitivity of the detector was almost constant when the thickness of polyethylene was above a certain value. Some experiments were performed to test the γ-ray sensitivity at the standard gamma ray sources of Northwest Institute of Nuclear Technology. The simulated results agree with the results of experiments considering the uncertainties.
A new ultrafast pulse neutron detector based on MCP is introduced. The γ-ray sensitivity of the detector was investigated through simulation and experiment. A model of theoretical simulation was set up for γ-ray sensitivity calculation. In this model, the energy spectra and emitting angle distribution of electrons which were produced by different energy's γ-ray injecting into the different thickness' polyethylene were calculated through Monte Carlo methods. Then, the yields of secondary electrons produced by the single electron injecting into microchannel of MCP were also calculated through the experiential formula. The γ-ray sensitivity of the detector was finally obtained. The results shown that the γ-ray sensitivity of the detector was almost constant when the thickness of polyethylene was above a certain value. Some experiments were performed to test the γ-ray sensitivity at the standard gamma ray sources of Northwest Institute of Nuclear Technology. The simulated results agree with the results of experiments considering the uncertainties.
2018,
30: 045001.
doi: 10.11884/HPLPB201830.170417
Abstract:
Solid state linear transformer driver(LTD) is a new high frequency pulsed power generator with unique performance. This article presents an experimental research based on the basic characteristics of LTD in detail. The measurement includes three parts: the correlation between the output pulsed width and the control signal pulsed width, the signal delay and dispersion on the LTD module, and the energy efficiency analysis of the LTD system under different conditions. The result of the experiment provides us a more detailed and in-depth understanding of LTD. Simultaneously, it gives important reference data for enhancing and improving the technical level of LTD.
Solid state linear transformer driver(LTD) is a new high frequency pulsed power generator with unique performance. This article presents an experimental research based on the basic characteristics of LTD in detail. The measurement includes three parts: the correlation between the output pulsed width and the control signal pulsed width, the signal delay and dispersion on the LTD module, and the energy efficiency analysis of the LTD system under different conditions. The result of the experiment provides us a more detailed and in-depth understanding of LTD. Simultaneously, it gives important reference data for enhancing and improving the technical level of LTD.
2018,
30: 045002.
doi: 10.11884/HPLPB201830.170360
Abstract:
The paper presents a design of high voltage pulse generator based on high voltage switch formed by a stack of metal oxide semiconductor field-effect transistor (MOSFET). Two pulses at both ends of out metal layer in transmission line are generated by the self-matched transmission line circuit using high voltage switch made by many opto-isolator triggering MOSFETs in series. Then, a higher power pulse with amplitude of 20 kV on 200 Ω load, duration of about 40 ns and repetition frequency of 20 kHz is generated by the technique that transmission line transformers (TLTs) synthesize two pulses. An emulational circuit model is designed after the structure of pulse generation device is analyzed. The distortion of output pulse is analyzed by the model. Factors influencing the output pulse waveform are discussed. A reference for optimizing output pulse is put forward.
The paper presents a design of high voltage pulse generator based on high voltage switch formed by a stack of metal oxide semiconductor field-effect transistor (MOSFET). Two pulses at both ends of out metal layer in transmission line are generated by the self-matched transmission line circuit using high voltage switch made by many opto-isolator triggering MOSFETs in series. Then, a higher power pulse with amplitude of 20 kV on 200 Ω load, duration of about 40 ns and repetition frequency of 20 kHz is generated by the technique that transmission line transformers (TLTs) synthesize two pulses. An emulational circuit model is designed after the structure of pulse generation device is analyzed. The distortion of output pulse is analyzed by the model. Factors influencing the output pulse waveform are discussed. A reference for optimizing output pulse is put forward.
2018,
30: 045003.
doi: 10.11884/HPLPB201830.170341
Abstract:
A large LTD device capable of delivering about 50 MA pulsed current to load consists of hundreds of thousands of capacitors, switches and trigger units. To achieve high reliability of such an enormous system is quite difficult with the series system reliability model, the required reliability of each switch is almost impossible to realize. The main fault modes of LTD device are switch prefire and trigger unit fault. The switch prefire will result in the failure of the LTD cavity where the prefire occurs. The fault of trigger unit would affect more LTD cavities because one trigger unit triggers several LTD cavities. The key to achieve high reliability level and meet the required performance, it is key that some fault LTD cavities are allowed and the number of fault LTD cavities is limited in different place. In this paper a reliability model of the LTD system is built from a conceptual design of the LTD device. The number of the fault LTD cavities would be strictly limited in the system, module and layer in the reliability model. For a given system reliability, the reliability values of switch and trigger unit are calculated by Monte-Carlo method. The method of fault isolation is also analyzed.
A large LTD device capable of delivering about 50 MA pulsed current to load consists of hundreds of thousands of capacitors, switches and trigger units. To achieve high reliability of such an enormous system is quite difficult with the series system reliability model, the required reliability of each switch is almost impossible to realize. The main fault modes of LTD device are switch prefire and trigger unit fault. The switch prefire will result in the failure of the LTD cavity where the prefire occurs. The fault of trigger unit would affect more LTD cavities because one trigger unit triggers several LTD cavities. The key to achieve high reliability level and meet the required performance, it is key that some fault LTD cavities are allowed and the number of fault LTD cavities is limited in different place. In this paper a reliability model of the LTD system is built from a conceptual design of the LTD device. The number of the fault LTD cavities would be strictly limited in the system, module and layer in the reliability model. For a given system reliability, the reliability values of switch and trigger unit are calculated by Monte-Carlo method. The method of fault isolation is also analyzed.
2018,
30: 045004.
doi: 10.11884/HPLPB201830.170393
Abstract:
Bipolar pulsed power supply is one of the key equipment in magnetron sputtering system. Based on the working principle and technical characteristics of magnetron sputtering, a bipolar pulsed power supply with output voltage of 0-800 V, pulse width of 20-200 μs, frequency of 0-60 Hz, maximum pulse current of 150 A was developed, and the experimental results for the power supply with the water resistance load and the plasma load were obtained. The charging to the energy storage capacitor in the bipolar pulsed power supply was controlled by the DSP control mode. Integrating FPGA, PLC and touch screen man-machine exchange system, the bipolar pulses were got. A large number of experimental demonstration shows that the power supply solves the problems of plasma load discharge et al., and the designed bipolar pulsed power supply achieves the desired sputtering effect and fulfills the requirements of the technical index.
Bipolar pulsed power supply is one of the key equipment in magnetron sputtering system. Based on the working principle and technical characteristics of magnetron sputtering, a bipolar pulsed power supply with output voltage of 0-800 V, pulse width of 20-200 μs, frequency of 0-60 Hz, maximum pulse current of 150 A was developed, and the experimental results for the power supply with the water resistance load and the plasma load were obtained. The charging to the energy storage capacitor in the bipolar pulsed power supply was controlled by the DSP control mode. Integrating FPGA, PLC and touch screen man-machine exchange system, the bipolar pulses were got. A large number of experimental demonstration shows that the power supply solves the problems of plasma load discharge et al., and the designed bipolar pulsed power supply achieves the desired sputtering effect and fulfills the requirements of the technical index.
2018,
30: 045005.
doi: 10.11884/HPLPB201830.170203
Abstract:
Touches off the parallel connected pulse forming lines one by one, use silicon diodes to isolates the high voltage pulses, several single square pulses can be combined to form a MHz repetition rate multi-pulses string. The structure of the confluence box, which the silicon diodes are putted into, affects the life-time of diodes and the pulses' risetime of accelerate voltage clearly. This paper describes the simulations and high-voltage experiments to study the correlation between the confluent structure and the pulses confluent effect, and introduces the final confluent system of the three-pulses LIA "Dragon II".
Touches off the parallel connected pulse forming lines one by one, use silicon diodes to isolates the high voltage pulses, several single square pulses can be combined to form a MHz repetition rate multi-pulses string. The structure of the confluence box, which the silicon diodes are putted into, affects the life-time of diodes and the pulses' risetime of accelerate voltage clearly. This paper describes the simulations and high-voltage experiments to study the correlation between the confluent structure and the pulses confluent effect, and introduces the final confluent system of the three-pulses LIA "Dragon II".
2018,
30: 045006.
doi: 10.11884/HPLPB201830.170369
Abstract:
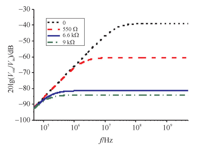
A self-integrating capacitive divider has been designed to measure the high voltage pulse transmitting in a cable with rising time of 1ns. The frequency characteristics have been analysed by the equivalent circuit that comprises stray parameters of capacitive divider. The main factor affecting the lower limiting frequency is the time constant, i.e., the product of the capacitance of the low-voltage arm capacitor and the resistance of the equivalent load. The upper limiting frequency is chiefly impacted by some stray parameters which stem from the stray inductance of the low-voltage arm capacitor and the stray capacitance of the compensated resistor. To extend the lower limiting frequency the time constant should be increased by enhancing the capacitance or the resistance, however, this often results in the debasement of the upper limiting frequency. Different compensating resistors have been designed. The amplitude-frequency response of the capacitive dividers were measured by network analyzer, meanwhile, experiment with square pulse response was also performed as a contrast. The results indicate that the upper limit of frequency response for capacitive divider with 550 Ω compensating resistance exceeds 2 GHz, however the lower limit is insufficient and about 1.8 MHz. If the compensating resistor is tuned to 6.6 kΩ, the corresponding capacitive divider will have a bandwidth of 0.17-700 MHz which satisfies the demand of measurement.
A self-integrating capacitive divider has been designed to measure the high voltage pulse transmitting in a cable with rising time of 1ns. The frequency characteristics have been analysed by the equivalent circuit that comprises stray parameters of capacitive divider. The main factor affecting the lower limiting frequency is the time constant, i.e., the product of the capacitance of the low-voltage arm capacitor and the resistance of the equivalent load. The upper limiting frequency is chiefly impacted by some stray parameters which stem from the stray inductance of the low-voltage arm capacitor and the stray capacitance of the compensated resistor. To extend the lower limiting frequency the time constant should be increased by enhancing the capacitance or the resistance, however, this often results in the debasement of the upper limiting frequency. Different compensating resistors have been designed. The amplitude-frequency response of the capacitive dividers were measured by network analyzer, meanwhile, experiment with square pulse response was also performed as a contrast. The results indicate that the upper limit of frequency response for capacitive divider with 550 Ω compensating resistance exceeds 2 GHz, however the lower limit is insufficient and about 1.8 MHz. If the compensating resistor is tuned to 6.6 kΩ, the corresponding capacitive divider will have a bandwidth of 0.17-700 MHz which satisfies the demand of measurement.
2018,
30: 045007.
doi: 10.11884/HPLPB201830.170347
Abstract:
The electric pulse discharge experimental platform of 20 kV/40 kJ was set up and the impact fracture test of large cement sample was carried out. In order to simulate the actual working conditions, the discharge electrode was put into an insulated sleeve with perforation. While discharging in water, the directional impact pressure wave was produced in the rock sample, and the shock wave acted on the rock layer to produce cracks. The experimental results show that when the shock wave produced by the repeated electric pulse discharge acted on the big cement sample, it caused cracks on a certain scale, and the cracks on the rock sample surface are symmetrical. There was a certain energy loss when the shock wave moved through the insulating sleeve and part of the shock wave pressure was applied to the insulating sleeve, but the insulating sleeve did not deform during the discharging. The damage of electric pulse discharge on insulating sleeve is minimal.
The electric pulse discharge experimental platform of 20 kV/40 kJ was set up and the impact fracture test of large cement sample was carried out. In order to simulate the actual working conditions, the discharge electrode was put into an insulated sleeve with perforation. While discharging in water, the directional impact pressure wave was produced in the rock sample, and the shock wave acted on the rock layer to produce cracks. The experimental results show that when the shock wave produced by the repeated electric pulse discharge acted on the big cement sample, it caused cracks on a certain scale, and the cracks on the rock sample surface are symmetrical. There was a certain energy loss when the shock wave moved through the insulating sleeve and part of the shock wave pressure was applied to the insulating sleeve, but the insulating sleeve did not deform during the discharging. The damage of electric pulse discharge on insulating sleeve is minimal.
2018,
30: 045101.
doi: 10.11884/HPLPB201830.170303
Abstract:
In this article, a feasible switchyard design is proposed for the Shanghai soft X-ray Free Electron Laser (SXFEL) facility. In the proposed scheme, a switchyard is used to transport the electron beam to different undulator lines. Three-dimensional start-to-end simulations have been carried out to research the beam dynamic during transportation. The results show that the emittance of the electron beam increases less than 8%, meanwhile, the peak current, the energy spread and the bunch length are not spoiled as the beam passes through the switchyard. The microbunching instability of the beam and the jitter of the linear accelerator (linac) are analyzed as well.
In this article, a feasible switchyard design is proposed for the Shanghai soft X-ray Free Electron Laser (SXFEL) facility. In the proposed scheme, a switchyard is used to transport the electron beam to different undulator lines. Three-dimensional start-to-end simulations have been carried out to research the beam dynamic during transportation. The results show that the emittance of the electron beam increases less than 8%, meanwhile, the peak current, the energy spread and the bunch length are not spoiled as the beam passes through the switchyard. The microbunching instability of the beam and the jitter of the linear accelerator (linac) are analyzed as well.
2018,
30: 045102.
doi: 10.11884/HPLPB201830.170415
Abstract:
A Kirkpatrick Baez mirror imaging system has been designed and installed to measure the beam transverse profile and emittance of SSRF storage ring. The new system could be interchangeable with the original X-pinhole system. Two orthogonal cylindrical mirrors are used to image the dipole source point in the horizontal and vertical directions. Hard X-ray with peak energy of 20.5 keV will be focused at the X-ray scintillator camera. Aberration and point spread function which would cause image blur are evaluated. The system commissioning and optimization have been done. The electron transverse beam size has been measured precisely with horizontal 75.9 μm and vertical 20.2 μm. The system stability is less than 0.1 μm.
A Kirkpatrick Baez mirror imaging system has been designed and installed to measure the beam transverse profile and emittance of SSRF storage ring. The new system could be interchangeable with the original X-pinhole system. Two orthogonal cylindrical mirrors are used to image the dipole source point in the horizontal and vertical directions. Hard X-ray with peak energy of 20.5 keV will be focused at the X-ray scintillator camera. Aberration and point spread function which would cause image blur are evaluated. The system commissioning and optimization have been done. The electron transverse beam size has been measured precisely with horizontal 75.9 μm and vertical 20.2 μm. The system stability is less than 0.1 μm.
2018,
30: 046001.
doi: 10.11884/HPLPB201830.170378
Abstract:
The high-speed vacuum ultraviolet (VUV) imaging system on the Experimental Advanced Superconducting Tokamak (EAST) is an optic system with both high temporal and spatial resolutions, and it can selectively measure VUV photons with a wavelength of 13.5 nm, which mainly come from the impurities line emission from the plasma. It is being developed for edge plasma studies and has been operated routinely during the 2016 EAST experiment campaign. In this work, effect on the VUV intensity of basic plasma parameters (i.e. plasma density, light impurities and neutral beam injection(NBI) heating power) is analyzed. The VUV intensity increases with the increases of the NBI heating power, the electron density and impurity (carbon and lithium) concentration, which is qualitatively consistent with the prediction. In addition, the contribution to the VUV intensity of the C5+ ions generated though the charge exchange recombination process during the neutral beam injection has been estimated, and it indicates that this effect can be neglected.
The high-speed vacuum ultraviolet (VUV) imaging system on the Experimental Advanced Superconducting Tokamak (EAST) is an optic system with both high temporal and spatial resolutions, and it can selectively measure VUV photons with a wavelength of 13.5 nm, which mainly come from the impurities line emission from the plasma. It is being developed for edge plasma studies and has been operated routinely during the 2016 EAST experiment campaign. In this work, effect on the VUV intensity of basic plasma parameters (i.e. plasma density, light impurities and neutral beam injection(NBI) heating power) is analyzed. The VUV intensity increases with the increases of the NBI heating power, the electron density and impurity (carbon and lithium) concentration, which is qualitatively consistent with the prediction. In addition, the contribution to the VUV intensity of the C5+ ions generated though the charge exchange recombination process during the neutral beam injection has been estimated, and it indicates that this effect can be neglected.
2018,
30: 046002.
doi: 10.11884/HPLPB201830.170222
Abstract:
Radiation shielding calculation of nuclear facilities has always been one of the difficulties in engineering application of Monte Carlo method for its large scale calculation and deep penetration characteristics. Two international benchmarks, published by OECD, Winfrith Iron/Water Benchmark Experiment(ASPIS), were simulated based on the three-dimensional Monte Carlo transport code JMCT, accompanied by a visual modeling tool JLAMT. The simulation includes detailed modeling and shielding calculation. Calculated results were compared with experimental data, also with almost same results achieved by MCNP. The comparisons show that the calculated results agree well with the experimental data. The maximum deviation of JMCT and MCNP is below 20% and the average deviation is less than 10%. It is proved that JMCT code suits well for shielding simulation and deep penetration problems.
Radiation shielding calculation of nuclear facilities has always been one of the difficulties in engineering application of Monte Carlo method for its large scale calculation and deep penetration characteristics. Two international benchmarks, published by OECD, Winfrith Iron/Water Benchmark Experiment(ASPIS), were simulated based on the three-dimensional Monte Carlo transport code JMCT, accompanied by a visual modeling tool JLAMT. The simulation includes detailed modeling and shielding calculation. Calculated results were compared with experimental data, also with almost same results achieved by MCNP. The comparisons show that the calculated results agree well with the experimental data. The maximum deviation of JMCT and MCNP is below 20% and the average deviation is less than 10%. It is proved that JMCT code suits well for shielding simulation and deep penetration problems.
2018,
30: 046003.
doi: 10.11884/HPLPB201830.170435
Abstract:
A sparse representation based method for nuclide spectrum feature extraction is proposed. The essence of this method is to decompose the energy spectrum on the best distinguishable sparse atom. The sparse decomposition method is used to decompose the nuclide energy spectrum, and the decomposition coefficient vector is taken as the feature to represent the energy spectrum. The classification model is established by the pattern recognition algorithm to realize the nuclide identification. The main difference from the traditional sparse decomposition method is that we decompose the energy spectrum in accordance with the sparse atoms in the sequential order in sparse dictionary. In the experiments, 6 kinds of radionuclide including 241Am, 133Ba, 60Co, 137Cs, 131I and 152Eu, 1200 energy spectra are used and the average nuclide identification accuracy on 7 different pattern recognition algorithms is 91.71%. The results of statistical tests show that the proposed algorithm performs significantly better than two traditional nuclide spectrum feature extraction methods.
A sparse representation based method for nuclide spectrum feature extraction is proposed. The essence of this method is to decompose the energy spectrum on the best distinguishable sparse atom. The sparse decomposition method is used to decompose the nuclide energy spectrum, and the decomposition coefficient vector is taken as the feature to represent the energy spectrum. The classification model is established by the pattern recognition algorithm to realize the nuclide identification. The main difference from the traditional sparse decomposition method is that we decompose the energy spectrum in accordance with the sparse atoms in the sequential order in sparse dictionary. In the experiments, 6 kinds of radionuclide including 241Am, 133Ba, 60Co, 137Cs, 131I and 152Eu, 1200 energy spectra are used and the average nuclide identification accuracy on 7 different pattern recognition algorithms is 91.71%. The results of statistical tests show that the proposed algorithm performs significantly better than two traditional nuclide spectrum feature extraction methods.
2018,
30: 049001.
doi: 10.11884/HPLPB201830.170044
Abstract:
In this paper, 343 nm femtosecond laser and as a comparison, 1030 nm femtosecond and 1064 nm nanosecond lasers were used for improving water vapor permeability (WVP) of polyurethane (PU) synthetic leather. The morphologies of micro-hole were comparatively studied via a scanning electron microscope (SEM) and a 3D laser scanning microscope. The results indicated that 343 nm femtosecond laser was optimal to obtain excellent and small drilled micro through-holes. Moreover, analysis of interaction mechanism between laser beam and PU film revealed that the micro-drilling by 343 nm femtosecond laser exhibited photochemical ablation only, micro-drilling by 1030 nm femtosecond laser caused both photochemical and photothermal ablation, while micro-holes drilled by 1064 nm nanosecond laser resulted in photothermal ablation. By measuring the WVP and tensile resistance of the laser-drilled leather, it was concluded that the higher micro-hole density, the higher WVP value and lower tensile resistance, and the increase of pulse overlap led to an increase of WVP and a decrease of tensile resistance. The diameter of micro-hole decreased from 45 μm to 30 μm and taper of micro-hole increased from 0.7° to 12.1° with pulse overlap decreased from 91.7% to 50%. And, the highest WVP growth ratio was 306% at 2550 per sq. cm and the pulse overlap was 91.7%.
In this paper, 343 nm femtosecond laser and as a comparison, 1030 nm femtosecond and 1064 nm nanosecond lasers were used for improving water vapor permeability (WVP) of polyurethane (PU) synthetic leather. The morphologies of micro-hole were comparatively studied via a scanning electron microscope (SEM) and a 3D laser scanning microscope. The results indicated that 343 nm femtosecond laser was optimal to obtain excellent and small drilled micro through-holes. Moreover, analysis of interaction mechanism between laser beam and PU film revealed that the micro-drilling by 343 nm femtosecond laser exhibited photochemical ablation only, micro-drilling by 1030 nm femtosecond laser caused both photochemical and photothermal ablation, while micro-holes drilled by 1064 nm nanosecond laser resulted in photothermal ablation. By measuring the WVP and tensile resistance of the laser-drilled leather, it was concluded that the higher micro-hole density, the higher WVP value and lower tensile resistance, and the increase of pulse overlap led to an increase of WVP and a decrease of tensile resistance. The diameter of micro-hole decreased from 45 μm to 30 μm and taper of micro-hole increased from 0.7° to 12.1° with pulse overlap decreased from 91.7% to 50%. And, the highest WVP growth ratio was 306% at 2550 per sq. cm and the pulse overlap was 91.7%.

Email alert
RSS
