2019 Vol. 31, No. 10
Display Method:
2019,
31: 1-3.
2019,
31: 103201.
doi: 10.11884/HPLPB201931.190248
Abstract:
This paper presents the characteristics of complex electromagnetic environment, introduces the more complex electromagnetic environment under cyberspace countermeasures, analyzes the attack on early warning radars by hazards deception jamming in complex electromagnetic environment in detail, and discusses the protective measures to strengthen cyberspace security of radar warning system. In addition, it puts forward three points of view about relations of cyberspace countermeasures and complex electromagnetic environment.
This paper presents the characteristics of complex electromagnetic environment, introduces the more complex electromagnetic environment under cyberspace countermeasures, analyzes the attack on early warning radars by hazards deception jamming in complex electromagnetic environment in detail, and discusses the protective measures to strengthen cyberspace security of radar warning system. In addition, it puts forward three points of view about relations of cyberspace countermeasures and complex electromagnetic environment.
2019,
31: 103202.
doi: 10.11884/HPLPB201931.190247
Abstract:
The space environment in which the spacecraft located in orbit is complex and changeable. Environmental factors such as high-energy electrons, plasma environment, low pressure, large temperature difference and so on can cause electrostatic charge-discharge effects on the spacecrafts, which seriously affects the safety of the spacecraft. Based on the experimental data and cases at home and abroad, this paper analyzes the spacecraft faults caused by the space environment, introduces the research progress of the effect on spacecraft electrostatic charging-discharging in the space environment from the aspects of numerical simulation software, ground analogy technology, strong electromagnetic field induced discharging and protection technology. It finally presents prospects of the research gap and future research direction in China. The research indicates that progress has been made in the research of spacecraft charge-discharge effect protection technology in China. The next step is to focus on new tasks such as space station, deep space exploration and lunar exploration, and further expand the research on the mechanism of spacecraft charge-discharge effect and new protection technologies under space environment, so as to provide technical support for improving the safety and reliability of spacecraft in China.
The space environment in which the spacecraft located in orbit is complex and changeable. Environmental factors such as high-energy electrons, plasma environment, low pressure, large temperature difference and so on can cause electrostatic charge-discharge effects on the spacecrafts, which seriously affects the safety of the spacecraft. Based on the experimental data and cases at home and abroad, this paper analyzes the spacecraft faults caused by the space environment, introduces the research progress of the effect on spacecraft electrostatic charging-discharging in the space environment from the aspects of numerical simulation software, ground analogy technology, strong electromagnetic field induced discharging and protection technology. It finally presents prospects of the research gap and future research direction in China. The research indicates that progress has been made in the research of spacecraft charge-discharge effect protection technology in China. The next step is to focus on new tasks such as space station, deep space exploration and lunar exploration, and further expand the research on the mechanism of spacecraft charge-discharge effect and new protection technologies under space environment, so as to provide technical support for improving the safety and reliability of spacecraft in China.
2019,
31: 103203.
doi: 10.11884/HPLPB201931.190233
Abstract:
In recent years, with the wide application of a large number of frequency devices, the electromagnetic environment in space has become increasingly complex. The complex electromagnetic environment not only affects the performance of vehicle, but also threatens the viability of vehicle. The impact of electromagnetic environment on the vehicle cannot be underestimated, especially for the high-intensity electromagnetic pulse. The destructive ability of high-intensity electromagnetic pulse far exceeds the general electronic interference, which will cause the failure or damage of the vehicle's electronic and electrical components, seriously affecting the effective operation of the vehicle's maneuverability and safety performance. This paper systematically introduces the high-intensity electromagnetic environment that a vehicle may encounter, protection route of vehicle, analysis of electromagnetic environment effect and specific electromagnetic hardening measures adopted for the vehicle, for the purpose of improving the adaptability of vehicle to high-intensity electromagnetic environment.
In recent years, with the wide application of a large number of frequency devices, the electromagnetic environment in space has become increasingly complex. The complex electromagnetic environment not only affects the performance of vehicle, but also threatens the viability of vehicle. The impact of electromagnetic environment on the vehicle cannot be underestimated, especially for the high-intensity electromagnetic pulse. The destructive ability of high-intensity electromagnetic pulse far exceeds the general electronic interference, which will cause the failure or damage of the vehicle's electronic and electrical components, seriously affecting the effective operation of the vehicle's maneuverability and safety performance. This paper systematically introduces the high-intensity electromagnetic environment that a vehicle may encounter, protection route of vehicle, analysis of electromagnetic environment effect and specific electromagnetic hardening measures adopted for the vehicle, for the purpose of improving the adaptability of vehicle to high-intensity electromagnetic environment.
2019,
31: 103204.
doi: 10.11884/HPLPB201931.190102
Abstract:
The epoxy resin is widely applied in the fields of national defense and economy because of its high bonding strength to the metallic and non-metallic surface after solidification. The carbon nanomaterials, especially the ordered structures of carbon nanomaterial with excellent structure and performance, are widely used in the research of new electromagnetic protection material. The combination of epoxy resin and the ordered structure carbon nanomaterials shows obvious advantage in the aspects of electromagnetic shielding effectiveness and mechanical property. On the basis of the epoxy resin/carbon nanotube electromagnetic shielding composite materials and the ordered carbon nanotube structures' researches, the ideal structure model with electromagnetic shielding property ≥82.96 dB in the range of 8-12 GHz is obtained through optimal design of electromagnetic simulation and structure fabrication of electrical conductivity three-dimensional network. This investigation provides guidance for researching electromagnetic shielding composite based on epoxy resin and carbon nanomaterials.
The epoxy resin is widely applied in the fields of national defense and economy because of its high bonding strength to the metallic and non-metallic surface after solidification. The carbon nanomaterials, especially the ordered structures of carbon nanomaterial with excellent structure and performance, are widely used in the research of new electromagnetic protection material. The combination of epoxy resin and the ordered structure carbon nanomaterials shows obvious advantage in the aspects of electromagnetic shielding effectiveness and mechanical property. On the basis of the epoxy resin/carbon nanotube electromagnetic shielding composite materials and the ordered carbon nanotube structures' researches, the ideal structure model with electromagnetic shielding property ≥82.96 dB in the range of 8-12 GHz is obtained through optimal design of electromagnetic simulation and structure fabrication of electrical conductivity three-dimensional network. This investigation provides guidance for researching electromagnetic shielding composite based on epoxy resin and carbon nanomaterials.
2019,
31: 103205.
doi: 10.11884/HPLPB201931.190204
Abstract:
In view of the situation that the ultra-high lightning rod systems are increasing, but the overall interception performances of them are difficult to be effectively evaluated by current standards, a numerical evaluation method for the interception performance of surface objects or devices is developed based on the subgrid technology. The numerical evaluation model of the interception performance for the ultra-high lightning rod system is proposed, and the numerical evaluation experiment for the interception performance of the typical ultra-high lightning rod systems is carried out. The results show that the interception probability at the top of the air-termination system is the highest, but other parts of the upper part of the air-termination system can also be subjected to side flash. The probability of side flash that occurs on the upper part of the air-termination system increases with the height increase of the side flash point. Moreover, the intensity of lightning or thundercloud can also affect the interception probability of different parts of the air-termination system. The smaller the intensity of lightning or thundercloud, the lower the interception probability of the top of the air-termination system, the greater the probability of side flash that occurs on the air-termination system. And the coverage of the side flash points will also gradually expand to the lower part of the air-termination system.
In view of the situation that the ultra-high lightning rod systems are increasing, but the overall interception performances of them are difficult to be effectively evaluated by current standards, a numerical evaluation method for the interception performance of surface objects or devices is developed based on the subgrid technology. The numerical evaluation model of the interception performance for the ultra-high lightning rod system is proposed, and the numerical evaluation experiment for the interception performance of the typical ultra-high lightning rod systems is carried out. The results show that the interception probability at the top of the air-termination system is the highest, but other parts of the upper part of the air-termination system can also be subjected to side flash. The probability of side flash that occurs on the upper part of the air-termination system increases with the height increase of the side flash point. Moreover, the intensity of lightning or thundercloud can also affect the interception probability of different parts of the air-termination system. The smaller the intensity of lightning or thundercloud, the lower the interception probability of the top of the air-termination system, the greater the probability of side flash that occurs on the air-termination system. And the coverage of the side flash points will also gradually expand to the lower part of the air-termination system.
2019,
31: 103206.
doi: 10.11884/HPLPB201931.190188
Abstract:
Aiming at the practical application requirement of recognizing and visualizing the characteristics of complex electromagnetic environment, a radar signal environment measurement system is designed based on layered cognitive concept. The system realizes the sensing measurement of signal parameters of multiple external radar emitters. At the same time, various physical quantities are visualized in layers along with the measurement process in the form of two-dimensional coordinates. The design and implementation of the system is expected to provide an effective technical reference for electromagnetic environment perception and analysis.
Aiming at the practical application requirement of recognizing and visualizing the characteristics of complex electromagnetic environment, a radar signal environment measurement system is designed based on layered cognitive concept. The system realizes the sensing measurement of signal parameters of multiple external radar emitters. At the same time, various physical quantities are visualized in layers along with the measurement process in the form of two-dimensional coordinates. The design and implementation of the system is expected to provide an effective technical reference for electromagnetic environment perception and analysis.
2019,
31: 103207.
doi: 10.11884/HPLPB201931.190175
Abstract:
Plasma characteristic is studied under conditions of microwave discharge in air with the microwave diagnostics technology. The plasma is cold, weakly ionized, no-uniform and collision with S band high power microwave. The transmission waveform with 9-15 GHz continuous wave passing the plasma region and pressure of 300 Pa is obtained and normalized. A discussion on the effect of various plasma parameters on transmitted power is presented. A parabolic plasma density profile is assumed across the Epstein Profile Model. The maximum plasma electron density is obtained by transmission waveform of various frequency. Characteristic study of microwave passing through the strong collision plasma provides significant technology support to applications of stealth technique and information blockage.
Plasma characteristic is studied under conditions of microwave discharge in air with the microwave diagnostics technology. The plasma is cold, weakly ionized, no-uniform and collision with S band high power microwave. The transmission waveform with 9-15 GHz continuous wave passing the plasma region and pressure of 300 Pa is obtained and normalized. A discussion on the effect of various plasma parameters on transmitted power is presented. A parabolic plasma density profile is assumed across the Epstein Profile Model. The maximum plasma electron density is obtained by transmission waveform of various frequency. Characteristic study of microwave passing through the strong collision plasma provides significant technology support to applications of stealth technique and information blockage.
2019,
31: 103208.
doi: 10.11884/HPLPB201931.190113
Abstract:
Effective protection can be conducted before an electronic system is measured through system-level ESD simulation. In this paper, the spice behavioral modeling for the transient voltage suppressor and IC pins are presented using the measured transmission line pulse (TLP) data. A system-level ESD simulation methodology is proposed, including the equivalent circuit model of ESD pulse source, S-parameter model of PCB board, TLP model of TVS protection diode, IC pins and co-simulation technology. A switch chip protect circuit is simulated and measured under IEC 61000-4-2 ESD stress. The good agreement between simulated and measured voltage waveforms demonstrates the effectiveness of the proposed simulation method.
Effective protection can be conducted before an electronic system is measured through system-level ESD simulation. In this paper, the spice behavioral modeling for the transient voltage suppressor and IC pins are presented using the measured transmission line pulse (TLP) data. A system-level ESD simulation methodology is proposed, including the equivalent circuit model of ESD pulse source, S-parameter model of PCB board, TLP model of TVS protection diode, IC pins and co-simulation technology. A switch chip protect circuit is simulated and measured under IEC 61000-4-2 ESD stress. The good agreement between simulated and measured voltage waveforms demonstrates the effectiveness of the proposed simulation method.
2019,
31: 103209.
doi: 10.11884/HPLPB201931.190168
Abstract:
In this paper, based on the "back-door" coupling problem of the electromagnetic pulse, the high-efficiency numerical simulation method based on CP-FDTD is proposed. On the basis of proving the accuracy of CP-FDTD, the detailed analysis of the incident electromagnetic field polarization direction, incident angle and calculation efficiency is carried out, and the applicability of CP-FDTD in the processing of complex slot electromagnetic pulse coupling is verified. By integrating the CP-FDTD algorithm into the self-developed software JEMS-FDTD, a numerical simulation method can be formed to efficiently analyze the shielding effectiveness of engineering complex slots, and it is applied to the shielding effectiveness analysis of engineering component structures.
In this paper, based on the "back-door" coupling problem of the electromagnetic pulse, the high-efficiency numerical simulation method based on CP-FDTD is proposed. On the basis of proving the accuracy of CP-FDTD, the detailed analysis of the incident electromagnetic field polarization direction, incident angle and calculation efficiency is carried out, and the applicability of CP-FDTD in the processing of complex slot electromagnetic pulse coupling is verified. By integrating the CP-FDTD algorithm into the self-developed software JEMS-FDTD, a numerical simulation method can be formed to efficiently analyze the shielding effectiveness of engineering complex slots, and it is applied to the shielding effectiveness analysis of engineering component structures.
2019,
31: 103210.
doi: 10.11884/HPLPB201931.190191
Abstract:
In the process of electromagnetic interference sources imaging testing using parabolic reflection, the diffraction phenomenon of the system leads to blurred and low resolution images. Interference sources have different resolution capabilities in different areas and frequencies, so it's difficult to enhance image resolution by using existed super-resolution algorithm. In order to realize the blind recovery of wideband electromagnetic images, a method based on convolutional neural network is proposed. Network training is the process which directly inputs a blurred image and reconstructs a high quality image without assuming any particular blur and noise model. Both experiment and simulation results demonstrate that the convolutional neural network blind recovery method outperforms other blind recovery calculations in different imaging regions of wide frequency band.
In the process of electromagnetic interference sources imaging testing using parabolic reflection, the diffraction phenomenon of the system leads to blurred and low resolution images. Interference sources have different resolution capabilities in different areas and frequencies, so it's difficult to enhance image resolution by using existed super-resolution algorithm. In order to realize the blind recovery of wideband electromagnetic images, a method based on convolutional neural network is proposed. Network training is the process which directly inputs a blurred image and reconstructs a high quality image without assuming any particular blur and noise model. Both experiment and simulation results demonstrate that the convolutional neural network blind recovery method outperforms other blind recovery calculations in different imaging regions of wide frequency band.
2019,
31: 103211.
doi: 10.11884/HPLPB201931.190230
Abstract:
Time-delay and direction of arrival are two important signal parameters in wireless positioning, radar detection, and target tracking applications. In this paper, a parabolic equation method is presented to simulate the propagation of pulse signals in the sea-to-land environment and to estimate the characteristic parameters of the signals considering irregular terrains and atmospheric refraction. A correlation function method is presented to extract the time-delay of the received signal from parabolic equation. Besides, a multiple signal classification algorithm is used to estimate the direction of arrival of signals, which provides a higher resolution compared with the traditional wave spectral method. Numerical examples are given to illustrate the correctness of the presented methods. Finally, with the presented methods, simulation experiments in a typical sea and land environment are presented to analyze the effects of evaporation duct on signal's delay and direction of arrival.
Time-delay and direction of arrival are two important signal parameters in wireless positioning, radar detection, and target tracking applications. In this paper, a parabolic equation method is presented to simulate the propagation of pulse signals in the sea-to-land environment and to estimate the characteristic parameters of the signals considering irregular terrains and atmospheric refraction. A correlation function method is presented to extract the time-delay of the received signal from parabolic equation. Besides, a multiple signal classification algorithm is used to estimate the direction of arrival of signals, which provides a higher resolution compared with the traditional wave spectral method. Numerical examples are given to illustrate the correctness of the presented methods. Finally, with the presented methods, simulation experiments in a typical sea and land environment are presented to analyze the effects of evaporation duct on signal's delay and direction of arrival.
2019,
31: 103212.
doi: 10.11884/HPLPB201931.190197
Abstract:
To accurately evaluate Beidou(BD)receiver's complex electromagnetic environment adaptive capacity, based on the analysis of the working mechanism and the easy attack of the receiver, BD receiver facing war complex electromagnetic environment is constructed, simulation on the effect of signal capture and tracking is carried out, and assessment method is studied.The relationship between the positioning success rate and communication success rate of a certain type of BD receiver and electromagnetic environment complexity is given, providing BD receiver application with important reference significance.
To accurately evaluate Beidou(BD)receiver's complex electromagnetic environment adaptive capacity, based on the analysis of the working mechanism and the easy attack of the receiver, BD receiver facing war complex electromagnetic environment is constructed, simulation on the effect of signal capture and tracking is carried out, and assessment method is studied.The relationship between the positioning success rate and communication success rate of a certain type of BD receiver and electromagnetic environment complexity is given, providing BD receiver application with important reference significance.
2019,
31: 103213.
doi: 10.11884/HPLPB201931.190200
Abstract:
Numerical simulation of electromagnetic pluses regional propagation is an important link in the analysis of electromagnetic environment effect, faced with technical challenges such as huge spatial scale, multiple radiation sources and complex geomorphology.This paper demonstrates a massively parallel 3 Dfull-wave electromagnetic field simulation program software JEMS-FDTD and its development progress.Based on the large-scale parallel FDTD method and adaptive mesh refinement technology, an efficient full-wave time-domain computation method for large-area electromagnetic pulse propagation is developed.The numerical simulation of regional propagation of electromagnetic pulse in 1000 square kilometers city has been realized.This work verifies the feasibility of the software in the simulation of electromagnetic pluses regional propagation.
Numerical simulation of electromagnetic pluses regional propagation is an important link in the analysis of electromagnetic environment effect, faced with technical challenges such as huge spatial scale, multiple radiation sources and complex geomorphology.This paper demonstrates a massively parallel 3 Dfull-wave electromagnetic field simulation program software JEMS-FDTD and its development progress.Based on the large-scale parallel FDTD method and adaptive mesh refinement technology, an efficient full-wave time-domain computation method for large-area electromagnetic pulse propagation is developed.The numerical simulation of regional propagation of electromagnetic pulse in 1000 square kilometers city has been realized.This work verifies the feasibility of the software in the simulation of electromagnetic pluses regional propagation.
2019,
31: 103214.
doi: 10.11884/HPLPB201931.190244
Abstract:
B-dot sensors are widely used in electromagnetic pulse(EMP)measurements due to their wide frequency band, small size, and good stability.There is a difference between any theoretical model and the actual situation, thus the B-dot sensor must be calibrated under the laboratory environment.Aiming at the shortcomings of traditional time-domain calibration methods, this paper proposes a frequency-domain calibration method based on OE model.The method uses the OE model transfer function of single input and single output to characterize the frequency response characteristics of the B-dot sensor, and then obtains the sensitivity coefficient of the frequency range in which the sensor actually works by partial linear regression.According to verification experiment, it can be determined that this method can effectively avoid the influence on calibration accuracy of overshoot or ringing caused by impedance mutation.
B-dot sensors are widely used in electromagnetic pulse(EMP)measurements due to their wide frequency band, small size, and good stability.There is a difference between any theoretical model and the actual situation, thus the B-dot sensor must be calibrated under the laboratory environment.Aiming at the shortcomings of traditional time-domain calibration methods, this paper proposes a frequency-domain calibration method based on OE model.The method uses the OE model transfer function of single input and single output to characterize the frequency response characteristics of the B-dot sensor, and then obtains the sensitivity coefficient of the frequency range in which the sensor actually works by partial linear regression.According to verification experiment, it can be determined that this method can effectively avoid the influence on calibration accuracy of overshoot or ringing caused by impedance mutation.
2019,
31: 103215.
doi: 10.11884/HPLPB201931.190132
Abstract:
The main objective of the air-gapped network electromagnetic attack means is to establish a hidden connection channel with the external Internet.In recent years, the methods and tools which connect airgapped network to Internet have been disclosed, and the corresponding analysis methods and detection methods have gradually been proposed by security teams at home and abroad.Comparing with network security vulnerabilities, electromagnetic vulnerabilities are defined as electromagnetic factors that can cause effect or damage to devices or systems.Taking physically isolated network as an example, electromagnetic vulnerabilities mainly refer to the hardware and system defects of the network.Using these defects, a covert channel through the implantation of malware can be established directly, which can break through physical isolation by sending and receiving electromagnetic signals.Through extensive vulnerability mining and verification, the classification method of electromagnetic vulnerabilities in air-gapped network is proposed from the aspects of physical signal type, information transmission direction, signal generation mechanism, vulnerability utilization mode and vulnerability detection method.The comprehensive reference of network security vulnerabilities, electromagnetic information security detection and air-gapped covert communication is provided.From the perspectives of deepening active detection, group intelligence vulnerability mining, network electromagnetic security integration, and big data monitoring, the establishment method of electromagnetic vulnerability database for air-gapped network is proposed.
The main objective of the air-gapped network electromagnetic attack means is to establish a hidden connection channel with the external Internet.In recent years, the methods and tools which connect airgapped network to Internet have been disclosed, and the corresponding analysis methods and detection methods have gradually been proposed by security teams at home and abroad.Comparing with network security vulnerabilities, electromagnetic vulnerabilities are defined as electromagnetic factors that can cause effect or damage to devices or systems.Taking physically isolated network as an example, electromagnetic vulnerabilities mainly refer to the hardware and system defects of the network.Using these defects, a covert channel through the implantation of malware can be established directly, which can break through physical isolation by sending and receiving electromagnetic signals.Through extensive vulnerability mining and verification, the classification method of electromagnetic vulnerabilities in air-gapped network is proposed from the aspects of physical signal type, information transmission direction, signal generation mechanism, vulnerability utilization mode and vulnerability detection method.The comprehensive reference of network security vulnerabilities, electromagnetic information security detection and air-gapped covert communication is provided.From the perspectives of deepening active detection, group intelligence vulnerability mining, network electromagnetic security integration, and big data monitoring, the establishment method of electromagnetic vulnerability database for air-gapped network is proposed.
2019,
31: 103216.
doi: 10.11884/HPLPB201931.190151
Abstract:
With the development of high power microwave technology, the threat of strong electromagnetic radiation attacks on electronic devices is becoming more and more serious.Higher requirements are placed on the protection and reinforcement.Near-space vehicles and their discharge effect are less considered currently while lacking the corresponding test environmental conditions.A method of combining the near-space environment with the high power microwave is proposed.Experiment is conducted with strong electromagnetic zone in the cylindrical vacuum tank using the MW-level S-band microwave source and the radiation focusing system.The microwave source is adjustable in repetitive frequency 1-1000 Hz and pulse width 20 ns-20 μs.The atmospheric simulation chamber is adjustable under pressure 10-3-105 Pa and temperature-40 ℃to 60 ℃ with effective volume over 4 m3.The center field intensity measured by small signal transmission is over 2 kV/cm.The experiment technology can be used to carry out the discharge breakdown research of near-space electronic system under high power microwave, which is helpful for the weak link analysis and protection reinforcement.
With the development of high power microwave technology, the threat of strong electromagnetic radiation attacks on electronic devices is becoming more and more serious.Higher requirements are placed on the protection and reinforcement.Near-space vehicles and their discharge effect are less considered currently while lacking the corresponding test environmental conditions.A method of combining the near-space environment with the high power microwave is proposed.Experiment is conducted with strong electromagnetic zone in the cylindrical vacuum tank using the MW-level S-band microwave source and the radiation focusing system.The microwave source is adjustable in repetitive frequency 1-1000 Hz and pulse width 20 ns-20 μs.The atmospheric simulation chamber is adjustable under pressure 10-3-105 Pa and temperature-40 ℃to 60 ℃ with effective volume over 4 m3.The center field intensity measured by small signal transmission is over 2 kV/cm.The experiment technology can be used to carry out the discharge breakdown research of near-space electronic system under high power microwave, which is helpful for the weak link analysis and protection reinforcement.
2019,
31: 103217.
doi: 10.11884/HPLPB201931.190186
Abstract:
Photonic Doppler velocimetry(PDV)is usually based on all-fiber mode, which is easy to operate and has become an important diagnostic technology for ultra-high pressure dynamic material properties experiments.The range and accuracy of velocity measurement are related to photoelectric converter and data acquisition instruments.When the optical signal reflected by the target returns to the photoelectric converter, the frequency of laser intensity is changed by Doppler effect.The PTS facility is an important platform for dynamic material properties experiments.The peak current is 5-8 MA and the 0-100%rise time is 300-750 ns.During the loading process, there is strong electromagnetic interference in the target chamber, whose frequency are 10-300 MHz.When the interference is coupled into the return optical signal, the velocity data will be covered.Using PTFE insulating film and conductive aluminium film coated velocity probe can suppress the interference of strong electromagnetic interference signal to optical signal, and greatly improve the validity of velocity measurement data.
Photonic Doppler velocimetry(PDV)is usually based on all-fiber mode, which is easy to operate and has become an important diagnostic technology for ultra-high pressure dynamic material properties experiments.The range and accuracy of velocity measurement are related to photoelectric converter and data acquisition instruments.When the optical signal reflected by the target returns to the photoelectric converter, the frequency of laser intensity is changed by Doppler effect.The PTS facility is an important platform for dynamic material properties experiments.The peak current is 5-8 MA and the 0-100%rise time is 300-750 ns.During the loading process, there is strong electromagnetic interference in the target chamber, whose frequency are 10-300 MHz.When the interference is coupled into the return optical signal, the velocity data will be covered.Using PTFE insulating film and conductive aluminium film coated velocity probe can suppress the interference of strong electromagnetic interference signal to optical signal, and greatly improve the validity of velocity measurement data.
2019,
31: 103218.
doi: 10.11884/HPLPB201931.190129
Abstract:
Electromagnetic leakage detection is very important in the area of network attack and defense system.Electromagnetic leakage detection can be divided into initiative detection and passive detection.The initiative detection mainly adopts the way to launch signal to special equipment and then detect current/voltage in specific location.When we get this useful information, we can get the knowledge of leakage information or other feature information of specific equipment.This article tries to build an equivalent model based on a kind of initiative conduct electromagnetic leakage source.According to the working frequencies, it builds two models: the equivalent antenna model and the equivalent circuit model.To verify the accuracy of these two models, the article provides theoretical analysis and simulation verification accordingly.The research of these equivalent models are beneficial for further study of electromagnetic leakage detection.
Electromagnetic leakage detection is very important in the area of network attack and defense system.Electromagnetic leakage detection can be divided into initiative detection and passive detection.The initiative detection mainly adopts the way to launch signal to special equipment and then detect current/voltage in specific location.When we get this useful information, we can get the knowledge of leakage information or other feature information of specific equipment.This article tries to build an equivalent model based on a kind of initiative conduct electromagnetic leakage source.According to the working frequencies, it builds two models: the equivalent antenna model and the equivalent circuit model.To verify the accuracy of these two models, the article provides theoretical analysis and simulation verification accordingly.The research of these equivalent models are beneficial for further study of electromagnetic leakage detection.
2019,
31: 103219.
doi: 10.11884/HPLPB201931.190238
Abstract:
A new perspective of the impaired limiter based on signal analysis is presented for the nonlinear effect of the limiter subjected to functional or physical damage.For this perspective, the modeling algorithm is proposed.Firstly, an amplitude-frequency response sequence of the impaired limiter is measured, and converted into a zero-mean real stationary sequence.Then, the autocorrelation function and the partial autocorrelation function of the sequence are calculated along with the estimated order of the auto-regressive moving average(ARMA)model which is estimated by least squares method, and verified by the Final Prediction Error(FPE)criterion.Experiment results agree well with theoretical analysis.
A new perspective of the impaired limiter based on signal analysis is presented for the nonlinear effect of the limiter subjected to functional or physical damage.For this perspective, the modeling algorithm is proposed.Firstly, an amplitude-frequency response sequence of the impaired limiter is measured, and converted into a zero-mean real stationary sequence.Then, the autocorrelation function and the partial autocorrelation function of the sequence are calculated along with the estimated order of the auto-regressive moving average(ARMA)model which is estimated by least squares method, and verified by the Final Prediction Error(FPE)criterion.Experiment results agree well with theoretical analysis.
2019,
31: 103220.
doi: 10.11884/HPLPB201931.190218
Abstract:
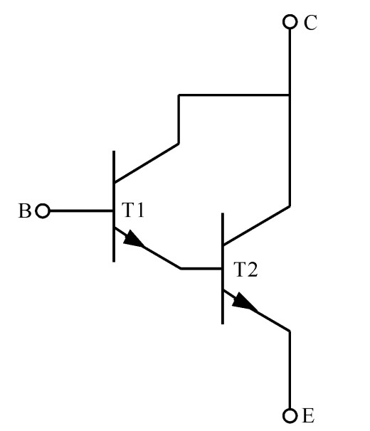
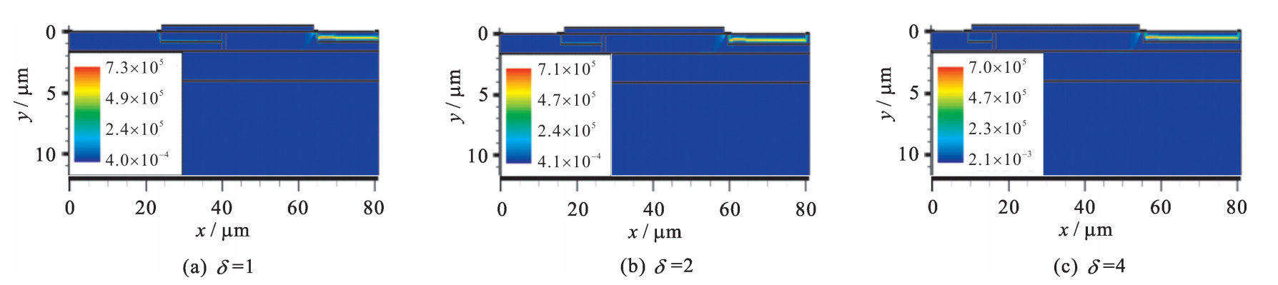
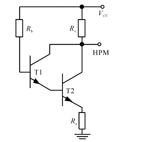
This paper presents a theoretical study on the influences of the device structure parameters on the damage progress of the silicon NPN monolithic composite transistor induced by injection power. The silicon NPN monolithic composite transistors (composed by two successive transistors, T1 and T2) with three different structural parameters are established utilizing the circuit simulator, Sentaurus-TCAD. The dependences of the damage energy threshold and the damage power threshold required to cause the device failure on the pulse-width are obtained. The results show that higher power threshold and more energy are needed to damage the device if the area of the T2 transistor is larger. A study of the damage mechanism is conducted based on the variation analysis of the distributions of the electric field, current density, and temperature in the device. It is found that the distributions of the electric field, current density, and temperature become more dispersed as the area of the T2 transistor increases. It is concluded that when the overall area of the silicon NPN monolithic composite transistor is constant, and as the area ratio of the T2 transistor and the T1 transistor increases, the device becomes less vulnerable to damage. Moreover, the emitter resistor Re has a significant effect on the burnout time. The simulated burnt spot position of the transistor is in good agreement with the experimental result.
This paper presents a theoretical study on the influences of the device structure parameters on the damage progress of the silicon NPN monolithic composite transistor induced by injection power. The silicon NPN monolithic composite transistors (composed by two successive transistors, T1 and T2) with three different structural parameters are established utilizing the circuit simulator, Sentaurus-TCAD. The dependences of the damage energy threshold and the damage power threshold required to cause the device failure on the pulse-width are obtained. The results show that higher power threshold and more energy are needed to damage the device if the area of the T2 transistor is larger. A study of the damage mechanism is conducted based on the variation analysis of the distributions of the electric field, current density, and temperature in the device. It is found that the distributions of the electric field, current density, and temperature become more dispersed as the area of the T2 transistor increases. It is concluded that when the overall area of the silicon NPN monolithic composite transistor is constant, and as the area ratio of the T2 transistor and the T1 transistor increases, the device becomes less vulnerable to damage. Moreover, the emitter resistor Re has a significant effect on the burnout time. The simulated burnt spot position of the transistor is in good agreement with the experimental result.
2019,
31: 103221.
doi: 10.11884/HPLPB201931.190143
Abstract:
Using the three dimensional and paralleled JMCT Monte Carlo code, the backscattered photoelectric yields and electron energy spectra are calculated for the cases that black body X-ray sources of temperatures of 1, 3, 5, 8 keV impact on the material surfaces of Al, SiO2 and Au respectively. The simulation results are consistent with the results in references, which verify the validity of the code. Then the typical photon-electron transport example in SGEMP for black body X-rays impacting on a cylinder cavity is calculated. Half of the side-face of the cylinder emits photoelectrons in the case that the black body X-rays of temperature 1 keV and fluence 1 J/m2 impact on the side-face of the cylinder. The photoelectron parameters of photoelectric yield, energy distribution and angular distribution related with azimuth are calculated. The results show that obliquely incident X-ray could induce higher photoelectric yields than normally incident X-ray and the distributions of photoelectrons are all very close to cosine distribution.
Using the three dimensional and paralleled JMCT Monte Carlo code, the backscattered photoelectric yields and electron energy spectra are calculated for the cases that black body X-ray sources of temperatures of 1, 3, 5, 8 keV impact on the material surfaces of Al, SiO2 and Au respectively. The simulation results are consistent with the results in references, which verify the validity of the code. Then the typical photon-electron transport example in SGEMP for black body X-rays impacting on a cylinder cavity is calculated. Half of the side-face of the cylinder emits photoelectrons in the case that the black body X-rays of temperature 1 keV and fluence 1 J/m2 impact on the side-face of the cylinder. The photoelectron parameters of photoelectric yield, energy distribution and angular distribution related with azimuth are calculated. The results show that obliquely incident X-ray could induce higher photoelectric yields than normally incident X-ray and the distributions of photoelectrons are all very close to cosine distribution.
2019,
31: 103222.
doi: 10.11884/HPLPB201931.190210
Abstract:
This paper presents a novel frequency selective surface with good transmissive property at high frequency and wideband absorption over lower band.The absorptive frequency selective surface structure is composed of a lossy layer and a bandpass layer.The analysis by the equivalent circuit method shows that the lossy layer should generate parallel resonance in the passband, so the specific equivalent circuit model is given and verified in Advanced Design System.In the design of the lossy layer, two lumped resistors are loaded into the metallic cross-type patch to divide it into two parts for parallel resonance.The bandpass layer is implemented using a lossless slot-type Frequency Selective Surface.The simulation results show that an insertion loss of 0.7 dB can be obtained at 12.75 GHz, and a wide absorption band from 4.8 GHz to 11.2 GHz is realized.A prototype was fabricated and tested, and the experimental results are in good agreement with the simulation results.
This paper presents a novel frequency selective surface with good transmissive property at high frequency and wideband absorption over lower band.The absorptive frequency selective surface structure is composed of a lossy layer and a bandpass layer.The analysis by the equivalent circuit method shows that the lossy layer should generate parallel resonance in the passband, so the specific equivalent circuit model is given and verified in Advanced Design System.In the design of the lossy layer, two lumped resistors are loaded into the metallic cross-type patch to divide it into two parts for parallel resonance.The bandpass layer is implemented using a lossless slot-type Frequency Selective Surface.The simulation results show that an insertion loss of 0.7 dB can be obtained at 12.75 GHz, and a wide absorption band from 4.8 GHz to 11.2 GHz is realized.A prototype was fabricated and tested, and the experimental results are in good agreement with the simulation results.

Email alert
RSS
