2019 Vol. 31, No. 4
Display Method:
2019,
31: 040000.
2019,
31: 040001.
doi: 10.11884/HPLPB201931.190070
Abstract:
Special power supply is one of the most active branch of power supply research. Compared with universal power supplies which have vast market, the development of special power supply technology depends on the requirement of physics, chemical, material science and engineering, environment protection, biomedicine, high-technology equipment, space technology and so on. Lately, promoting by the requirement of the national science project and high-technology equipment, the research of special power supplies progress markedly based on the comprehensive application of the new techniques of electrotechnics, material science, computer and so on. The foundation and market scale increase fast. This paper summarizes the development of the special power supplies briefly, based on the data provided by Institute of Fluid Physics, CAEP.
Special power supply is one of the most active branch of power supply research. Compared with universal power supplies which have vast market, the development of special power supply technology depends on the requirement of physics, chemical, material science and engineering, environment protection, biomedicine, high-technology equipment, space technology and so on. Lately, promoting by the requirement of the national science project and high-technology equipment, the research of special power supplies progress markedly based on the comprehensive application of the new techniques of electrotechnics, material science, computer and so on. The foundation and market scale increase fast. This paper summarizes the development of the special power supplies briefly, based on the data provided by Institute of Fluid Physics, CAEP.
2019,
31: 040002.
doi: 10.11884/HPLPB201931.190044
Abstract:
The development of the fourth generation diffraction-limited synchrotron radiation source (DLSR) is introduced. Many key technologies are involved in the initial stage. This paper mainly discusses the special power supply technologies involved in DLSR, including high-voltage nanosecond fast pulsed power for injection and extraction system, high-precision magnet power supply, bipolar dynamic corrector power supply, high-power klystron modulator, etc. The parameter requirements, key techniques and solutions of these power supplies are introduced respectively.
The development of the fourth generation diffraction-limited synchrotron radiation source (DLSR) is introduced. Many key technologies are involved in the initial stage. This paper mainly discusses the special power supply technologies involved in DLSR, including high-voltage nanosecond fast pulsed power for injection and extraction system, high-precision magnet power supply, bipolar dynamic corrector power supply, high-power klystron modulator, etc. The parameter requirements, key techniques and solutions of these power supplies are introduced respectively.
2019,
31: 040003.
doi: 10.11884/HPLPB201931.190043
Abstract:
As a key representative material for the third-generation wide bandgap semiconductors, silicon carbide (SiC) is a promising wide band gap semiconductor material and can be used for the fabrication of high-power and high-frequency electronics, due to its superior physical properties, such as high thermal conductivity, wide band gap and high critical breakdown field. In recent years, bulk growth of SiC single crystals and the fabrication of devices have made significant progress. The paper introduces the growth techniques for SiC bulk and presents the relationship between the on-state resistance and voltage or laser energy. It also analyses the failure of devices.
As a key representative material for the third-generation wide bandgap semiconductors, silicon carbide (SiC) is a promising wide band gap semiconductor material and can be used for the fabrication of high-power and high-frequency electronics, due to its superior physical properties, such as high thermal conductivity, wide band gap and high critical breakdown field. In recent years, bulk growth of SiC single crystals and the fabrication of devices have made significant progress. The paper introduces the growth techniques for SiC bulk and presents the relationship between the on-state resistance and voltage or laser energy. It also analyses the failure of devices.
2019,
31: 040004.
doi: 10.11884/HPLPB201931.180318
Abstract:
This paper presents the study of establishing the relevant discriminants of the internal intrinsic safety performance evaluation of Buck converter. Firstly, the arc discharge of a simple inductor circuit was taken as the research object. Based on the thermal ignition theory, the temperature field model of the continuous heat point heat source was adopted, and the spark discharge time threshold expression used to determine whether the spark can successfully ignite the gas mixture was obtained, which was based on the condition that whether the time interval that the initial combustion volume decreases from the highest value to the combustion temperature of the gas mixture is longer than the time of the chemical reaction. Secondly, based on the explosive test data, the expression of the inductive open arc discharge energy of Buck converter calculated by the equivalent resistance method and the discharge current linear model was corrected. Furthermore, the energy discriminant and discharge time discriminant of the intrinsic safety performance evaluation of the Buck converter were established. The verification results show the rationality of the critical value of the discharge time and the correctness of the established discriminants.
This paper presents the study of establishing the relevant discriminants of the internal intrinsic safety performance evaluation of Buck converter. Firstly, the arc discharge of a simple inductor circuit was taken as the research object. Based on the thermal ignition theory, the temperature field model of the continuous heat point heat source was adopted, and the spark discharge time threshold expression used to determine whether the spark can successfully ignite the gas mixture was obtained, which was based on the condition that whether the time interval that the initial combustion volume decreases from the highest value to the combustion temperature of the gas mixture is longer than the time of the chemical reaction. Secondly, based on the explosive test data, the expression of the inductive open arc discharge energy of Buck converter calculated by the equivalent resistance method and the discharge current linear model was corrected. Furthermore, the energy discriminant and discharge time discriminant of the intrinsic safety performance evaluation of the Buck converter were established. The verification results show the rationality of the critical value of the discharge time and the correctness of the established discriminants.
2019,
31: 040005.
doi: 10.11884/HPLPB201931.180361
Abstract:
The harmonic pollution on the power grid depends not only on the generation of nonlinear thyristor-based converter load, but also on the amplification of harmonics throughout the reactive power compensation system. At present, the harmonic current amplification formula is often used for the conduction evaluation, but it is difficult to characterize the mechanism of the whole spectrum conduction. Based on the Parseval-Rayleigh energy theorem criterion, a harmonic coefficient algorithm for nonlinear load is proposed. The calculation example of harmonic coefficient for the nonlinear load by MATLAB is analysed, and the correctness is validated by comparing with the measured data in the EAST experiment.
The harmonic pollution on the power grid depends not only on the generation of nonlinear thyristor-based converter load, but also on the amplification of harmonics throughout the reactive power compensation system. At present, the harmonic current amplification formula is often used for the conduction evaluation, but it is difficult to characterize the mechanism of the whole spectrum conduction. Based on the Parseval-Rayleigh energy theorem criterion, a harmonic coefficient algorithm for nonlinear load is proposed. The calculation example of harmonic coefficient for the nonlinear load by MATLAB is analysed, and the correctness is validated by comparing with the measured data in the EAST experiment.
2019,
31: 040006.
doi: 10.11884/HPLPB201931.180299
Abstract:
For the application demand of compact and miniaturized pulse source, the design technique of two-stage square pulse forming network(PFN) with mutual coupling inductors is developed. First, the decoupling conditions of this PFN are introduced. The corresponding output current expressions are derived using Laplace transform in the three commonly used network configurations. By using the Prony series expression of square pulse, the analytic expression is obtained by solving the nonlinear equations, and the parameters of each network element are worked out. The influence of the coupling inductors' coefficient in the circuit is studied. Then, the design method of two-stage PFN with mutual coupling inductors is proposed. The simulation results show that the output pulse with a certain width flat-top can be produced by using the designed PFN. With the ingenious design of mutual coupling inductors, the PFN producing square pulse can be conveniently realized.
For the application demand of compact and miniaturized pulse source, the design technique of two-stage square pulse forming network(PFN) with mutual coupling inductors is developed. First, the decoupling conditions of this PFN are introduced. The corresponding output current expressions are derived using Laplace transform in the three commonly used network configurations. By using the Prony series expression of square pulse, the analytic expression is obtained by solving the nonlinear equations, and the parameters of each network element are worked out. The influence of the coupling inductors' coefficient in the circuit is studied. Then, the design method of two-stage PFN with mutual coupling inductors is proposed. The simulation results show that the output pulse with a certain width flat-top can be produced by using the designed PFN. With the ingenious design of mutual coupling inductors, the PFN producing square pulse can be conveniently realized.
2019,
31: 040007.
doi: 10.11884/HPLPB201931.180385
Abstract:
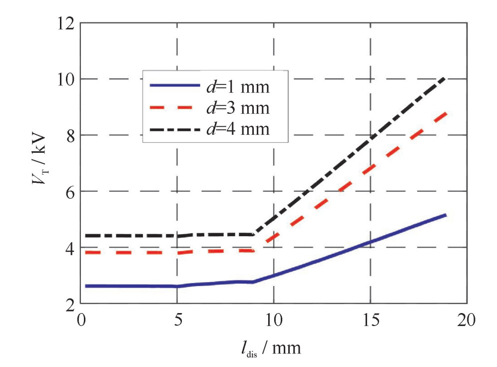
In order to achieve effective prediction of the equivalent parameters of dielectric barrier discharge piecewise model, discharge region is introduced as an intermediate variable in the proposed method. In this study, taking parallel ceramic rods as the reactor, the corresponding relationships between the equivalent capacitances of the reactor and the discharge region are obtained by Maxwell finite element simulation under constant voltage electrostatic field. With the help of electric field distribution, the estimation theories of how the critical parameters change over the gradual expansion process of the discharge region are explained, including the air gap first breakdown voltage, the peak value of the applied voltage and the air gap discharge maintaining voltage. Afterwards, the discharge power under various operating conditions can be calculated by Lissajous's figure method. Thus the quantitative relationship between the discharge region and each equivalent parameter is established, and the prediction is realized. An experiment for verification was performed with air gap distances of 1 mm, 3 mm, and 4 mm. It is shown that the predicted and the experimental curves of discharge maintaining voltage have some difference in the local variation trend, while the discharge power and the applied voltage peak prediction results are in good agreement with the measured ones.
In order to achieve effective prediction of the equivalent parameters of dielectric barrier discharge piecewise model, discharge region is introduced as an intermediate variable in the proposed method. In this study, taking parallel ceramic rods as the reactor, the corresponding relationships between the equivalent capacitances of the reactor and the discharge region are obtained by Maxwell finite element simulation under constant voltage electrostatic field. With the help of electric field distribution, the estimation theories of how the critical parameters change over the gradual expansion process of the discharge region are explained, including the air gap first breakdown voltage, the peak value of the applied voltage and the air gap discharge maintaining voltage. Afterwards, the discharge power under various operating conditions can be calculated by Lissajous's figure method. Thus the quantitative relationship between the discharge region and each equivalent parameter is established, and the prediction is realized. An experiment for verification was performed with air gap distances of 1 mm, 3 mm, and 4 mm. It is shown that the predicted and the experimental curves of discharge maintaining voltage have some difference in the local variation trend, while the discharge power and the applied voltage peak prediction results are in good agreement with the measured ones.
2019,
31: 040008.
doi: 10.11884/HPLPB201931.180363
Abstract:
Because of the working requirement of induction cell and efficient application of magnetic core, the magnetic core must be reset before the induction cell works. Reset can maximize the utilization of magnetic cores, reduce magnetic material consumption, and reduce the volume and cost of equipment. In this paper, the properties of magnetic materials are studied and analyzed. It is found that compared with the pulsed reset method, the direct current reset method has many advantages, such as low voltage, low current, little electrode erosion and low cost. According to the different import position of reset current, two direct current reset methods have been designed. Based on the theoretical analysis and numerical results, the implementation plans have been formulated.
Because of the working requirement of induction cell and efficient application of magnetic core, the magnetic core must be reset before the induction cell works. Reset can maximize the utilization of magnetic cores, reduce magnetic material consumption, and reduce the volume and cost of equipment. In this paper, the properties of magnetic materials are studied and analyzed. It is found that compared with the pulsed reset method, the direct current reset method has many advantages, such as low voltage, low current, little electrode erosion and low cost. According to the different import position of reset current, two direct current reset methods have been designed. Based on the theoretical analysis and numerical results, the implementation plans have been formulated.
2019,
31: 040009.
doi: 10.11884/HPLPB201931.180281
Abstract:
In this paper, the LCC resonant converter for high voltage applications is analyzed and studied. The equivalent model is derived by the fundamental approximation method. The large signal model of the resonant circuit is established. Based on the equivalent model and the large signal model, the LCC resonance is performed. A parameter design method is proposed after analyzing the steady-state characteristics of the converter. The method can realize zero voltage switching of the resonant converter while taking into account the influence of the resonant current on the efficiency. Based on the large-signal model, a small-signal model is established to obtain a transfer function between the output voltage and the input duty cycle, thereby establishing a closed-loop system and achieving a wide-range output voltage. The Simulink simulation verifies that the designed LCC resonant converter can realize ZVS switch with full load range, which verifies the feasibility of the design method.
In this paper, the LCC resonant converter for high voltage applications is analyzed and studied. The equivalent model is derived by the fundamental approximation method. The large signal model of the resonant circuit is established. Based on the equivalent model and the large signal model, the LCC resonance is performed. A parameter design method is proposed after analyzing the steady-state characteristics of the converter. The method can realize zero voltage switching of the resonant converter while taking into account the influence of the resonant current on the efficiency. Based on the large-signal model, a small-signal model is established to obtain a transfer function between the output voltage and the input duty cycle, thereby establishing a closed-loop system and achieving a wide-range output voltage. The Simulink simulation verifies that the designed LCC resonant converter can realize ZVS switch with full load range, which verifies the feasibility of the design method.
2019,
31: 040010.
doi: 10.11884/HPLPB201931.180357
Abstract:
The rated parameters of quench protection switch for China Fusion Engineering Experiment Reactor(CFETR) are up to 10 kV/±100 kA. In this paper, a hybrid DC switch is proposed to meet the requirements. The hybrid switch contains an innovative mechanical bypass switch with three levels contacts for conducting the continuous current, which can reduce the on-state time of solid-state switch. The bi-directional solid-state switch is composed of diode bridge and IGBTs. The analysis of junction temperature proves that the maximum allowable current of IGBTs can be improved. In addition, high current interruption experiments of the basic unit topology were carried out to verify the feasibility of the design.
The rated parameters of quench protection switch for China Fusion Engineering Experiment Reactor(CFETR) are up to 10 kV/±100 kA. In this paper, a hybrid DC switch is proposed to meet the requirements. The hybrid switch contains an innovative mechanical bypass switch with three levels contacts for conducting the continuous current, which can reduce the on-state time of solid-state switch. The bi-directional solid-state switch is composed of diode bridge and IGBTs. The analysis of junction temperature proves that the maximum allowable current of IGBTs can be improved. In addition, high current interruption experiments of the basic unit topology were carried out to verify the feasibility of the design.
2019,
31: 040011.
doi: 10.11884/HPLPB201931.180259
Abstract:
This paper introduces the architecture and characteristics of the static magnetic field testing platform, and describes the architecture of the acquisition monitoring system, which is composed of data acquisition management system and operation monitoring platform. According to the characteristics of the system, a data acquisition management system based on Qt and an operation monitoring platform based on EPICS are designed. The system realizes real-time control of static magnetic field testing platform, equipment status detection and monitoring, data acquisition, storage and inspection. The application runs stably and can meet the requirements of the static magnetic field testing platform for acquisition and monitoring.
This paper introduces the architecture and characteristics of the static magnetic field testing platform, and describes the architecture of the acquisition monitoring system, which is composed of data acquisition management system and operation monitoring platform. According to the characteristics of the system, a data acquisition management system based on Qt and an operation monitoring platform based on EPICS are designed. The system realizes real-time control of static magnetic field testing platform, equipment status detection and monitoring, data acquisition, storage and inspection. The application runs stably and can meet the requirements of the static magnetic field testing platform for acquisition and monitoring.
2019,
31: 040012.
doi: 10.11884/HPLPB201931.180265
Abstract:
An inverter type high voltage power supply is required for the acceleration of ITER neutral beam injector (NBI) system. The power supply employs three-phase three-level DC/DC converter as its basic component. This type of power supply can regulate the output voltage rapidly by the duty cycle modulation of the inverter switches. However, when the duty cycle is very small, the output ripple will be large. A new control strategy has been studied for the power supply, the output voltage is regulated by inverter duty cycle combining with adjusting the dc-link voltage. In order to verify the control strategy, a 200 kV/60 A Simulink model and a 400 V/6 A prototype have been established. Simulation and experimental results demonstrate that the topology with this control strategy can limit the voltage ripple while maintain the rapid voltage response.
An inverter type high voltage power supply is required for the acceleration of ITER neutral beam injector (NBI) system. The power supply employs three-phase three-level DC/DC converter as its basic component. This type of power supply can regulate the output voltage rapidly by the duty cycle modulation of the inverter switches. However, when the duty cycle is very small, the output ripple will be large. A new control strategy has been studied for the power supply, the output voltage is regulated by inverter duty cycle combining with adjusting the dc-link voltage. In order to verify the control strategy, a 200 kV/60 A Simulink model and a 400 V/6 A prototype have been established. Simulation and experimental results demonstrate that the topology with this control strategy can limit the voltage ripple while maintain the rapid voltage response.
2019,
31: 040013.
doi: 10.11884/HPLPB201931.180301
Abstract:
The super-synchronization speed control assemblies (SSSCAs) of two 80 MVA motor generators (MGs) in HL-2A Tokamak are introduced basically. The analog control system of each SSSCA will be digitalized. In this paper, basing on rotor cycloconverter circuit, the main control technology of the SSSCAs including vector control, voltage feedforward control and discontinuous-current compensation are analyzed. The simulation models of the SSSCA with control technology have been built by power simulation (PSIM). The simulation result shows that the control system models with these control algorithms can control the MG speed, the amplitude and frequency of the motor rotor current well to realize super synchronous speed regulation of the MG. The control algorithms can be used as an important reference for digitalizing the control system of the SSSCA.
The super-synchronization speed control assemblies (SSSCAs) of two 80 MVA motor generators (MGs) in HL-2A Tokamak are introduced basically. The analog control system of each SSSCA will be digitalized. In this paper, basing on rotor cycloconverter circuit, the main control technology of the SSSCAs including vector control, voltage feedforward control and discontinuous-current compensation are analyzed. The simulation models of the SSSCA with control technology have been built by power simulation (PSIM). The simulation result shows that the control system models with these control algorithms can control the MG speed, the amplitude and frequency of the motor rotor current well to realize super synchronous speed regulation of the MG. The control algorithms can be used as an important reference for digitalizing the control system of the SSSCA.
2019,
31: 040014.
doi: 10.11884/HPLPB201931.180366
Abstract:
The direct power injection method was used to study the effect of electromagnetic interference coupling on the power supply of typical audio power amplifier circuits. The electromagnetic interference coupling characteristics of typical audio power amplifier circuits were analyzed. The electromagnetic interference test platform based on the direct power injection method was designed to test the electromagnetic interference effect on the DC power signal of the circuit in the range of 0.1-1 GHz. The power thresholds for the critical distortion, typical distortion and full distortion of the circuit and their laws with the interference frequency were obtained. The results show that in the test frequency band, the distortion power threshold has the same relationship with the frequency under the three distortion states, and the difference of distortion power threshold is about 2 dBm. When the injection interference frequency is lower (100-300 MHz), the distortion power threshold is higher, and decreases with the increase of the frequency in the trend of power function approximately. When the injection interference frequency is higher than 300 MHz, the distortion power threshold tends to damped oscillation with the increase of the frequency. The use of electromagnetic interference can affect the normal operation of audio electronic devices, which provides a new thought for the study on ultra-wide spectrum electromagnetic interference effects of audio integrated circuits.
The direct power injection method was used to study the effect of electromagnetic interference coupling on the power supply of typical audio power amplifier circuits. The electromagnetic interference coupling characteristics of typical audio power amplifier circuits were analyzed. The electromagnetic interference test platform based on the direct power injection method was designed to test the electromagnetic interference effect on the DC power signal of the circuit in the range of 0.1-1 GHz. The power thresholds for the critical distortion, typical distortion and full distortion of the circuit and their laws with the interference frequency were obtained. The results show that in the test frequency band, the distortion power threshold has the same relationship with the frequency under the three distortion states, and the difference of distortion power threshold is about 2 dBm. When the injection interference frequency is lower (100-300 MHz), the distortion power threshold is higher, and decreases with the increase of the frequency in the trend of power function approximately. When the injection interference frequency is higher than 300 MHz, the distortion power threshold tends to damped oscillation with the increase of the frequency. The use of electromagnetic interference can affect the normal operation of audio electronic devices, which provides a new thought for the study on ultra-wide spectrum electromagnetic interference effects of audio integrated circuits.
2019,
31: 040015.
doi: 10.11884/HPLPB201931.190061
Abstract:
The high power constant current source is one of the key equipments of the high current linear induction accelerator (LIA) which outputs high power direct current to power the inductor. The requirement of the parameters such as instability, ripple coefficient is very strict. The serial linear dual-loop dual-parameters feedback control technical was applied in the design of the constant current source of Dragon-Ⅲ LIA to adjust the output current. In this device, the local control system based on the PLC controller, the remote control system based on the ARM controller and computer, and the communication system based on the Ethernet were comprehensively applied in the design of the control system, which made its stability very high as it operated under remote control model in high electromagnetic interference circumstance. As the resistance of the load change among 0.5-0.6 Ω and the current change among 50-170 A, the voltage drop of the transistor was restricted at 8 V±2 V, and the ripple coefficient and the drift of the current were less than 0.5‰.
The high power constant current source is one of the key equipments of the high current linear induction accelerator (LIA) which outputs high power direct current to power the inductor. The requirement of the parameters such as instability, ripple coefficient is very strict. The serial linear dual-loop dual-parameters feedback control technical was applied in the design of the constant current source of Dragon-Ⅲ LIA to adjust the output current. In this device, the local control system based on the PLC controller, the remote control system based on the ARM controller and computer, and the communication system based on the Ethernet were comprehensively applied in the design of the control system, which made its stability very high as it operated under remote control model in high electromagnetic interference circumstance. As the resistance of the load change among 0.5-0.6 Ω and the current change among 50-170 A, the voltage drop of the transistor was restricted at 8 V±2 V, and the ripple coefficient and the drift of the current were less than 0.5‰.
2019,
31: 040016.
doi: 10.11884/HPLPB201931.180386
Abstract:
Aiming at the problem of the third fundamental frequency fluctuation of the midpoint potential of VIENNA rectifier, the mathematical model of the midpoint current is established. The midpoint fluctuation form is analyzed, and the mathematical reason of midpoint fluctuation is pointed out by analysing the midpoint current mathematical model. To overcome the limitation of the traditional fixed adjustment factor control method to suppress neutral-point voltage fluctuation, a hybrid suppression method combining dynamic adjustment factor and capacitance deviation adjustment is proposed. This method realizes the automatic suppression of the midpoint potential fluctuation through looking for the tables for the deviation adjustment and the dynamic adjustment factor expression within the six sectors which is injected into the three-phase modulation waves, and further modified hybrid suppression method can effectively suppress the large fluctuation hybrid of the midpoint caused by asymmetry of the capacitance parameter and the unbalanced load. The experimental results verify the feasibility and validity of the strategy.
Aiming at the problem of the third fundamental frequency fluctuation of the midpoint potential of VIENNA rectifier, the mathematical model of the midpoint current is established. The midpoint fluctuation form is analyzed, and the mathematical reason of midpoint fluctuation is pointed out by analysing the midpoint current mathematical model. To overcome the limitation of the traditional fixed adjustment factor control method to suppress neutral-point voltage fluctuation, a hybrid suppression method combining dynamic adjustment factor and capacitance deviation adjustment is proposed. This method realizes the automatic suppression of the midpoint potential fluctuation through looking for the tables for the deviation adjustment and the dynamic adjustment factor expression within the six sectors which is injected into the three-phase modulation waves, and further modified hybrid suppression method can effectively suppress the large fluctuation hybrid of the midpoint caused by asymmetry of the capacitance parameter and the unbalanced load. The experimental results verify the feasibility and validity of the strategy.
2019,
31: 040017.
doi: 10.11884/HPLPB201931.190007
Abstract:
High Energy Photon Source (HEPS) is the next generation of high-brightness photon source based on storage ring planned in China. Its natural emittance of the beam is close to the diffraction limit. As a typical low emittance storage ring (LER), the dynamic aperture of HEPS is far smaller than the physical aperture. Hence the traditional off-axis cumulative injection can not meet the requirements, and only strip-line kicker based on in-line injection scheme can be used. In order to realize bunch-by-bunch control, HEPS requires injecting kicker electrical pulse with a bottom width (3%-3%) of less than 10 ns, a half width (50%-50%) of more than 4.5 ns, an amplitude of >+17.5 kV (50 Ω load) and a repetition frequency of more than 50 Hz. A prototype of bipolar fast pulsed power supply based on DSRD has been developed on the project of HEPS-TF. The performance of the prototype can produce a pulse at 50 Ω load with rise time (10%-90%) < 2.6 ns, fall time (90%-10%) < 3.2 ns, FWHM (50%-50%) > 5 ns, bottom width (3%-3%) < 10 ns, amplitude >18 kV. It can meet the requirement of on-axis swap-out injection which is the baseline injection scheme of HEPS.
High Energy Photon Source (HEPS) is the next generation of high-brightness photon source based on storage ring planned in China. Its natural emittance of the beam is close to the diffraction limit. As a typical low emittance storage ring (LER), the dynamic aperture of HEPS is far smaller than the physical aperture. Hence the traditional off-axis cumulative injection can not meet the requirements, and only strip-line kicker based on in-line injection scheme can be used. In order to realize bunch-by-bunch control, HEPS requires injecting kicker electrical pulse with a bottom width (3%-3%) of less than 10 ns, a half width (50%-50%) of more than 4.5 ns, an amplitude of >+17.5 kV (50 Ω load) and a repetition frequency of more than 50 Hz. A prototype of bipolar fast pulsed power supply based on DSRD has been developed on the project of HEPS-TF. The performance of the prototype can produce a pulse at 50 Ω load with rise time (10%-90%) < 2.6 ns, fall time (90%-10%) < 3.2 ns, FWHM (50%-50%) > 5 ns, bottom width (3%-3%) < 10 ns, amplitude >18 kV. It can meet the requirement of on-axis swap-out injection which is the baseline injection scheme of HEPS.
2019,
31: 040018.
doi: 10.11884/HPLPB201931.180269
Abstract:
A novel pulsed power supply with high energy efficiency using multiple capacitor banks discharging sequentially is investigated to generate the demanded pulsed current (flattop time 1-10 ms, minimum 24 kA) for the pulsed magnetic window technology. The electrical topology is designed and the relationships of power supply parameters, discharging branches and current ripples as well as their sensitivities to the variation of circuit loop parameters are analyzed. An optimized structure of six discharging branches is proposed and validated by the experiments. The turn-off reliability of the main discharging switches are improved by making them in series. The ability to endure the reverse voltage of crowbar diode when turning off is enhanced by a crowbar module consisting of two branches in parallel with three tandem diodes in each branch.
A novel pulsed power supply with high energy efficiency using multiple capacitor banks discharging sequentially is investigated to generate the demanded pulsed current (flattop time 1-10 ms, minimum 24 kA) for the pulsed magnetic window technology. The electrical topology is designed and the relationships of power supply parameters, discharging branches and current ripples as well as their sensitivities to the variation of circuit loop parameters are analyzed. An optimized structure of six discharging branches is proposed and validated by the experiments. The turn-off reliability of the main discharging switches are improved by making them in series. The ability to endure the reverse voltage of crowbar diode when turning off is enhanced by a crowbar module consisting of two branches in parallel with three tandem diodes in each branch.
2019,
31: 040019.
doi: 10.11884/HPLPB201931.190001
Abstract:
The basic principle and application of high-voltage pulse power supply are briefly described, the principle and characteristics of all-solid-state high-voltage pulse power supply are introduced. The history of semiconductor lithography and the need for excimer lasers as light sources in semiconductor lithography are reviewed. The application of all-solid-state high-voltage pulse power supply in excimer laser for lithography is emphasized. The high-power semiconductor switch combined with multi-stage magnetic pulse compression switch is used to replace the traditional thyristor-based high-voltage pulse power supply, and a long life operation of the excimer laser at a high repetition rate is achieved. The progress of the research on the all-solid-state high-voltage pulse power supply of excimer lasers in the past ten years of Anhui Institute of Optics and Fine Mechanics of Chinese Academy of Sciences is also introduced. Finally, the future demand for all-solid-state pulsed power sources for semiconductor lithography sources is expected.
The basic principle and application of high-voltage pulse power supply are briefly described, the principle and characteristics of all-solid-state high-voltage pulse power supply are introduced. The history of semiconductor lithography and the need for excimer lasers as light sources in semiconductor lithography are reviewed. The application of all-solid-state high-voltage pulse power supply in excimer laser for lithography is emphasized. The high-power semiconductor switch combined with multi-stage magnetic pulse compression switch is used to replace the traditional thyristor-based high-voltage pulse power supply, and a long life operation of the excimer laser at a high repetition rate is achieved. The progress of the research on the all-solid-state high-voltage pulse power supply of excimer lasers in the past ten years of Anhui Institute of Optics and Fine Mechanics of Chinese Academy of Sciences is also introduced. Finally, the future demand for all-solid-state pulsed power sources for semiconductor lithography sources is expected.
2019,
31: 040020.
doi: 10.11884/HPLPB201931.190002
Abstract:
Power source of magnetron sputtering coating is one of the key equipment in magnetron sputtering system. A power supply of magnetron sputtering with adjustable output voltage of 0-800 V, pulse width of 5-200 μs, frequency of 0-60 Hz and maximum pulse current of 150 A is developed according to the technical parameters of the sputtering treatment equipment for niobium and tin targets. The experimental results of the prepared power supply with the niobium target load and tin target load are given respectively. To solve the problems of unsuccessful sputtering of particles, inconsistent ionization time, poisoning of target surface and low sputtering efficiency in high power magnetron sputtering under repetitive frequency operation, a high power bipolar pulse forming circuit integrated with high voltage short pulse preionization is adopted. The gas pressure can realize sputtering coating with low pressure. This design has improved the sputtering efficiency of the target and reduced the surface roughness of the film. The results of experiments show that the prepared power supply achieves the ideal sputtering effect and meets the requirements of the index.
Power source of magnetron sputtering coating is one of the key equipment in magnetron sputtering system. A power supply of magnetron sputtering with adjustable output voltage of 0-800 V, pulse width of 5-200 μs, frequency of 0-60 Hz and maximum pulse current of 150 A is developed according to the technical parameters of the sputtering treatment equipment for niobium and tin targets. The experimental results of the prepared power supply with the niobium target load and tin target load are given respectively. To solve the problems of unsuccessful sputtering of particles, inconsistent ionization time, poisoning of target surface and low sputtering efficiency in high power magnetron sputtering under repetitive frequency operation, a high power bipolar pulse forming circuit integrated with high voltage short pulse preionization is adopted. The gas pressure can realize sputtering coating with low pressure. This design has improved the sputtering efficiency of the target and reduced the surface roughness of the film. The results of experiments show that the prepared power supply achieves the ideal sputtering effect and meets the requirements of the index.
2019,
31: 040021.
doi: 10.11884/HPLPB201931.180314
Abstract:
The pulse capacitor charging power supply is a key device in the pulse power technology. To study the higher precision high voltage pulse capacitor charging power supply, the paper analyzes the transfer function and its voltage and current transfer characteristics based on a novel double resonance topology. There are two resonance points in the double resonance circuit. According to this characteristic, a frequency modulation control method is proposed. That is, the charging phase and the high voltage holding phase, the first phase adopts the series resonant working mode, and the high voltage holding phase reduces the switching frequency to approach the second resonance point, thereby realizing dynamic compensation of the pulse capacitor self-discharge voltage drop, so that the charging accuracy and a large increase in high voltage stability of pulse capacitance at the same time can be ensured. Based on Matlab/simulink, the simulation model is built to verify the correctness of the frequency modulation method of the proposed dual resonance topology.
The pulse capacitor charging power supply is a key device in the pulse power technology. To study the higher precision high voltage pulse capacitor charging power supply, the paper analyzes the transfer function and its voltage and current transfer characteristics based on a novel double resonance topology. There are two resonance points in the double resonance circuit. According to this characteristic, a frequency modulation control method is proposed. That is, the charging phase and the high voltage holding phase, the first phase adopts the series resonant working mode, and the high voltage holding phase reduces the switching frequency to approach the second resonance point, thereby realizing dynamic compensation of the pulse capacitor self-discharge voltage drop, so that the charging accuracy and a large increase in high voltage stability of pulse capacitance at the same time can be ensured. Based on Matlab/simulink, the simulation model is built to verify the correctness of the frequency modulation method of the proposed dual resonance topology.
2019,
31: 040022.
doi: 10.11884/HPLPB201931.180321
Abstract:
The paper presents a design of high voltage pulse generator based on metal oxide semiconductor field-effect transistor (MOSFET).The high voltage and high repetition rate switch module by stacking many MOSFET in series was investigated to generate high voltage pulse. A pulse generator was designed by the switch module. An experiment setup stacking 15 MOSFETs whose Vds is 1 kV was set up in series. A high voltage pulse with amplitude of 10 kV on 500 Ω load, duration of about 100 ns and repeat frequency of 400 kHz was obtained. Because of the fine characteristic of compact-structure and high reliability, the high voltage switch module could be used in many type of pulse generator.
The paper presents a design of high voltage pulse generator based on metal oxide semiconductor field-effect transistor (MOSFET).The high voltage and high repetition rate switch module by stacking many MOSFET in series was investigated to generate high voltage pulse. A pulse generator was designed by the switch module. An experiment setup stacking 15 MOSFETs whose Vds is 1 kV was set up in series. A high voltage pulse with amplitude of 10 kV on 500 Ω load, duration of about 100 ns and repeat frequency of 400 kHz was obtained. Because of the fine characteristic of compact-structure and high reliability, the high voltage switch module could be used in many type of pulse generator.
2019,
31: 040023.
doi: 10.11884/HPLPB201931.180287
Abstract:
To measure high frequency auxiliary character of klystron, a high stability CW modulator is designed. The modulator's output voltage is 45 kV and output current is 9 A. 64 PSM(pulse step modulation) modules being connected in series have capability of both pulse and CW operation mode, and their output voltage can be adjusted from 500 μs pulse width to DC. Combined with step-modulation and cycle control strategy, high stability output is realized. Design of PSM module and multi-secondary transformer is given. Results of experiment prove that the modulator's output voltage stability is less than 0.1% and could turn off in less than 5 μs when arc takes place.
To measure high frequency auxiliary character of klystron, a high stability CW modulator is designed. The modulator's output voltage is 45 kV and output current is 9 A. 64 PSM(pulse step modulation) modules being connected in series have capability of both pulse and CW operation mode, and their output voltage can be adjusted from 500 μs pulse width to DC. Combined with step-modulation and cycle control strategy, high stability output is realized. Design of PSM module and multi-secondary transformer is given. Results of experiment prove that the modulator's output voltage stability is less than 0.1% and could turn off in less than 5 μs when arc takes place.
2019,
31: 040000.

Email alert
RSS
