2020 Vol. 32, No. 2
Display Method:
2020,
32: 1-2.
2020,
32: 025002.
doi: 10.11884/HPLPB202032.200040
Abstract:
This paper begins with the concept of pulsed power science and technology, briefly introduces the Chinese history of pulsed power science and technology, which, according to the construction process of high power pulse accelerator, can be divided into three stages: self-dependent startup, accelerated growth, innovation and invention; principally describes the national progress and applications of pulsed power science and technology with an international perspective, such as X-ray flash photography, Z-pinch, high-power microwave, electromagnetic emission and industrial applications; presents the development trend of pulse power technology in the future and ends with suggestions for its domestic development as follows: vigorously developing advanced radiation source technology, putting more concerns on explosive magnetic compression technology, strengthening explorations into high power microwaves, nuclear hardening and electromagnetic emission for more breakthroughs, and increasing collaborative innovations and application promotions.
This paper begins with the concept of pulsed power science and technology, briefly introduces the Chinese history of pulsed power science and technology, which, according to the construction process of high power pulse accelerator, can be divided into three stages: self-dependent startup, accelerated growth, innovation and invention; principally describes the national progress and applications of pulsed power science and technology with an international perspective, such as X-ray flash photography, Z-pinch, high-power microwave, electromagnetic emission and industrial applications; presents the development trend of pulse power technology in the future and ends with suggestions for its domestic development as follows: vigorously developing advanced radiation source technology, putting more concerns on explosive magnetic compression technology, strengthening explorations into high power microwaves, nuclear hardening and electromagnetic emission for more breakthroughs, and increasing collaborative innovations and application promotions.
2020,
32: 025003.
doi: 10.11884/HPLPB202032.190375
Abstract:
As a core part, the performance of a high-current electron beam source is inevitably essential for high-power sources and accelerators. The attractive features are high-electric field vacuum interface, high quality high current density electron emission, and high peak thermal load collector, which are compatible with high repetition rate operations. This paper presents an optimized ceramic insulation structure with hold-off voltage pulse of 600 kV, 100 ns, and 5 Hz. Mechanisms and surface improvements are developed. Large-scale, well-aligned SiC nano-wires as high-current, pulsed electron beam emitters are explored. They show an superior advantage on cathode lifetime and emission quality. In addition the thermal control and cooling methods for a repetitively operated high current collector are gathered, and the specially designed device can work stably with a heat flux of 1012 W/m2. These efforts make solid contributions to the HPM sources for practical use.
As a core part, the performance of a high-current electron beam source is inevitably essential for high-power sources and accelerators. The attractive features are high-electric field vacuum interface, high quality high current density electron emission, and high peak thermal load collector, which are compatible with high repetition rate operations. This paper presents an optimized ceramic insulation structure with hold-off voltage pulse of 600 kV, 100 ns, and 5 Hz. Mechanisms and surface improvements are developed. Large-scale, well-aligned SiC nano-wires as high-current, pulsed electron beam emitters are explored. They show an superior advantage on cathode lifetime and emission quality. In addition the thermal control and cooling methods for a repetitively operated high current collector are gathered, and the specially designed device can work stably with a heat flux of 1012 W/m2. These efforts make solid contributions to the HPM sources for practical use.
Simulation method of quadruple-level circuit model for stack and vacuum section of Julong-I facility
2020,
32: 025004.
doi: 10.11884/HPLPB202032.190330
Abstract:
The quadruple-level circuit model for stack and vacuum section of Julong-I facility was established. To avoid complicated two-dimensional circuit simulation, the prediction-correction method was used to deal with the distribution of currents at the entrance of the quadruple-level insulation stack. The accuracy and efficiency were both ensured by this method. By applying this model to the FCM-PTS code coupled with the snow-plow model for the Z-pinch load, the current for each level of the outer magnetic insulation transmission line was obtained, while the coincidence of load currents between simulation and experiment was also improved.
The quadruple-level circuit model for stack and vacuum section of Julong-I facility was established. To avoid complicated two-dimensional circuit simulation, the prediction-correction method was used to deal with the distribution of currents at the entrance of the quadruple-level insulation stack. The accuracy and efficiency were both ensured by this method. By applying this model to the FCM-PTS code coupled with the snow-plow model for the Z-pinch load, the current for each level of the outer magnetic insulation transmission line was obtained, while the coincidence of load currents between simulation and experiment was also improved.
2020,
32: 025005.
doi: 10.11884/HPLPB202032.190328
Abstract:
Gallium Arsenide Photoconductive Semiconductor Switch (GaAs-PCSS) has outstanding features, such as, fast response, high repetition, low jitter and high-power capacity. Multi-channel design can effectively reduce the damage from high current in nonlinear mode and improve switch’s lifetime. In this paper, on the solid-state pulse forming line experimental platform, multiple GaAs-PCSSs are connected in parallel as one switch through a special fixture, and different trigger signals are applied to each of them, in order to study the necessary conditions for GaAs-PCSS multi-channel synchronous conduction. The results show that, firstly, by the same trigger signals, the on-current is successfully divided into 4 GaAs-PCSS channels; secondly, by different trigger signals, the delay time difference and trigger energy difference must be lower than 1 ns and 20 μJ respectively, if an effective current diversion is expected; thirdly, split and integrated multi-channel GaAs-PCSS structures are designed, and the integrated 20-channel GaAs-PCSS was slightly damaged after 7 000 shots.
Gallium Arsenide Photoconductive Semiconductor Switch (GaAs-PCSS) has outstanding features, such as, fast response, high repetition, low jitter and high-power capacity. Multi-channel design can effectively reduce the damage from high current in nonlinear mode and improve switch’s lifetime. In this paper, on the solid-state pulse forming line experimental platform, multiple GaAs-PCSSs are connected in parallel as one switch through a special fixture, and different trigger signals are applied to each of them, in order to study the necessary conditions for GaAs-PCSS multi-channel synchronous conduction. The results show that, firstly, by the same trigger signals, the on-current is successfully divided into 4 GaAs-PCSS channels; secondly, by different trigger signals, the delay time difference and trigger energy difference must be lower than 1 ns and 20 μJ respectively, if an effective current diversion is expected; thirdly, split and integrated multi-channel GaAs-PCSS structures are designed, and the integrated 20-channel GaAs-PCSS was slightly damaged after 7 000 shots.
2020,
32: 025006.
doi: 10.11884/HPLPB202032.190326
Abstract:
Strong electromagnetic radiation is produced when the three-electrode gas spark switch works. In this paper, firstly, theoretical analysis of the on-current and electromagnetic radiation of the switch is carried out, then the switch is simulated by CST software and the breakdown field strength of which is calculated. Secondly, the on-current and far-field radiation field strength of the three-electrode gas spark switch are measured experimentally, and the results are summarized and analyzed. Finally, the strong electromagnetic radiation of the switch is suppressed with electromagnetic shielding method effectively. The research results can provide reference for electromagnetic radiation and protection of pulse power devices.
Strong electromagnetic radiation is produced when the three-electrode gas spark switch works. In this paper, firstly, theoretical analysis of the on-current and electromagnetic radiation of the switch is carried out, then the switch is simulated by CST software and the breakdown field strength of which is calculated. Secondly, the on-current and far-field radiation field strength of the three-electrode gas spark switch are measured experimentally, and the results are summarized and analyzed. Finally, the strong electromagnetic radiation of the switch is suppressed with electromagnetic shielding method effectively. The research results can provide reference for electromagnetic radiation and protection of pulse power devices.
2020,
32: 025007.
doi: 10.11884/HPLPB202032.190332
Abstract:
A distributed energy storage (DES) electromagnetic railgun has the advantage of higher efficiency, compared with a breech-fed railgun. A railgun with a caliber of 60 mm×80 mm is designed. In order to stabilize the current waveform, current feed-in points are set along the length of the gun, and the armature position is diagnosed and the pulse power system is triggered by real-time feedback signal to test the performance of the DES railgun. The resistance gradient is calculated by finite element analysis: the coupling field of current field and magnetic field is applied to the rectangular rail-armature model established in the 3D magnetic field of COMSOL. Based on the platform of MATLAB SIMULINK, the power circuit of capacitive energy storage pulse power supply module is established. The impedance models of rail and armature are established according to the non-linear time-varying dynamic characteristics of DES electromagnetic railgun, and the forward electromagnetic force and sliding friction force are calculated to construct the motion equation of armature. The armature-railgun module is built by signal circuit, and the two isolated networks connected through SIMULINK measurement module. The variable step-size ode23tb solver calculate the railgun current and exit velocity. A 4.16 MJ DES electromagnetic railgun is designed. The results show that with 10.8 kV pre-charging voltage of the capacitance, a 3 m long DES electromagnetic railgun can accelerate the 1 kg projectile to 1.4 km/s. Compared with the breech-fed electromagnetic railgun, the launching efficiency of the system can be increased by about 3%.
A distributed energy storage (DES) electromagnetic railgun has the advantage of higher efficiency, compared with a breech-fed railgun. A railgun with a caliber of 60 mm×80 mm is designed. In order to stabilize the current waveform, current feed-in points are set along the length of the gun, and the armature position is diagnosed and the pulse power system is triggered by real-time feedback signal to test the performance of the DES railgun. The resistance gradient is calculated by finite element analysis: the coupling field of current field and magnetic field is applied to the rectangular rail-armature model established in the 3D magnetic field of COMSOL. Based on the platform of MATLAB SIMULINK, the power circuit of capacitive energy storage pulse power supply module is established. The impedance models of rail and armature are established according to the non-linear time-varying dynamic characteristics of DES electromagnetic railgun, and the forward electromagnetic force and sliding friction force are calculated to construct the motion equation of armature. The armature-railgun module is built by signal circuit, and the two isolated networks connected through SIMULINK measurement module. The variable step-size ode23tb solver calculate the railgun current and exit velocity. A 4.16 MJ DES electromagnetic railgun is designed. The results show that with 10.8 kV pre-charging voltage of the capacitance, a 3 m long DES electromagnetic railgun can accelerate the 1 kg projectile to 1.4 km/s. Compared with the breech-fed electromagnetic railgun, the launching efficiency of the system can be increased by about 3%.
2020,
32: 025008.
doi: 10.11884/HPLPB202032.190294
Abstract:
Multi-winding dry rectifier transformer is an important equipment for high voltage power supply in Tokamak heating system. Its excellent performance is directly related to the output quality of high voltage power supply. Carrying out research on power loss and heat dissipation of transformers, reducing the performance impact of transformers due to temperature rise, is very important to ensure the good working condition of the transformer. In this paper, the relationship between thermophysical properties and temperature is fitted by MATLAB. The convective heat transfer and thermal radiation of the transformer are analyzed and calculated by the equations. In the case of natural convection and heat radiation of the air, the temperature of the transformer cannot be controlled within a temperature range that satisfies the performance, and the temperature rise is about 200 ℃. In the case of forced air convection, the good heat dissipation of the transformer is realized, and finally the forced air cooling at a wind speed of 2 m/s is achieved, and the temperature rise of the transformer is less than 75 ℃, ensuring the good working condition of the transformer. The article further uses ANSYS to analyze the temperature field distribution of the transformer. Forced air cooling reduces the overall temperature and allows heat to be released to the surrounding atmosphere more quickly, reducing the damage of the transformer under high temperature.
Multi-winding dry rectifier transformer is an important equipment for high voltage power supply in Tokamak heating system. Its excellent performance is directly related to the output quality of high voltage power supply. Carrying out research on power loss and heat dissipation of transformers, reducing the performance impact of transformers due to temperature rise, is very important to ensure the good working condition of the transformer. In this paper, the relationship between thermophysical properties and temperature is fitted by MATLAB. The convective heat transfer and thermal radiation of the transformer are analyzed and calculated by the equations. In the case of natural convection and heat radiation of the air, the temperature of the transformer cannot be controlled within a temperature range that satisfies the performance, and the temperature rise is about 200 ℃. In the case of forced air convection, the good heat dissipation of the transformer is realized, and finally the forced air cooling at a wind speed of 2 m/s is achieved, and the temperature rise of the transformer is less than 75 ℃, ensuring the good working condition of the transformer. The article further uses ANSYS to analyze the temperature field distribution of the transformer. Forced air cooling reduces the overall temperature and allows heat to be released to the surrounding atmosphere more quickly, reducing the damage of the transformer under high temperature.
2020,
32: 025009.
doi: 10.11884/HPLPB202032.190327
Abstract:
This paper presents the design of an all-solid state pulse generator based on a fractional-turn ratio saturable pulse transformer which, as the key component, takes the roles of magnetic switch, pulse forming device, voltage boosting device, etc. Preliminary experimental results show that a quasi-square pulse with the amplitude of 14.4 kV and the pulse width of 194 ns are obtained while the DC voltage source supply is 100 V. Hence, it is feasible to apply this technology to construct a generator outputting pulses with the pulse width of several hundred nanoseconds. This study can provide a guidance to construct a MW level solid state pulse generator module.
This paper presents the design of an all-solid state pulse generator based on a fractional-turn ratio saturable pulse transformer which, as the key component, takes the roles of magnetic switch, pulse forming device, voltage boosting device, etc. Preliminary experimental results show that a quasi-square pulse with the amplitude of 14.4 kV and the pulse width of 194 ns are obtained while the DC voltage source supply is 100 V. Hence, it is feasible to apply this technology to construct a generator outputting pulses with the pulse width of several hundred nanoseconds. This study can provide a guidance to construct a MW level solid state pulse generator module.
2020,
32: 025010.
doi: 10.11884/HPLPB202032.190390
Abstract:
Organic compounds (especially dyes compounds) are major pollutants in the industrial wastewater and have gained a great concern due to their hazardous influence on the environment and mankind’s health. A multiple pin-plane type pulsed corona discharge reactor was used to degrade Brilliant Crocein(Acid Red 73, AR73) continuously. The reactor was energized by a repetitive TLT based nanosecond pulsed power source. The source can produce pulses with a peak voltage of 50 kV, a pulse width of 40 ns, and a risetime of 20 ns at a repetition rate of up to 500 Hz. To evaluate the discharge performance, residual dye concentration and hydrogen peroxide (H2O2) were analyzed by UV spectrophotometry. The high voltage of 44.26 kV amplitude and frequency of 200 Hz were applied to the needles while wastewater film was used as the ground electrode. When the initial concentration of AR73 was 30 mg/L and the flow rate was 3.4 L/min, the degradation percentage of AR73 could reach up to 83.20% after 30 minutes of treatment with the needle-water distance of 30 mm. Under this condition, the input energy per pulse was 11.73 mJ, the concentration of H2O2 was up to 47.36 μmol/L, and the energy yield for 50% dye removal was 31.07 g·kW−1·h−1. Increasing the discharge voltage could further increase the degradation rate of AR73, and the active species generation in the solution was enhanced, but the energy efficiency decreased.
Organic compounds (especially dyes compounds) are major pollutants in the industrial wastewater and have gained a great concern due to their hazardous influence on the environment and mankind’s health. A multiple pin-plane type pulsed corona discharge reactor was used to degrade Brilliant Crocein(Acid Red 73, AR73) continuously. The reactor was energized by a repetitive TLT based nanosecond pulsed power source. The source can produce pulses with a peak voltage of 50 kV, a pulse width of 40 ns, and a risetime of 20 ns at a repetition rate of up to 500 Hz. To evaluate the discharge performance, residual dye concentration and hydrogen peroxide (H2O2) were analyzed by UV spectrophotometry. The high voltage of 44.26 kV amplitude and frequency of 200 Hz were applied to the needles while wastewater film was used as the ground electrode. When the initial concentration of AR73 was 30 mg/L and the flow rate was 3.4 L/min, the degradation percentage of AR73 could reach up to 83.20% after 30 minutes of treatment with the needle-water distance of 30 mm. Under this condition, the input energy per pulse was 11.73 mJ, the concentration of H2O2 was up to 47.36 μmol/L, and the energy yield for 50% dye removal was 31.07 g·kW−1·h−1. Increasing the discharge voltage could further increase the degradation rate of AR73, and the active species generation in the solution was enhanced, but the energy efficiency decreased.
2020,
32: 025011.
doi: 10.11884/HPLPB202032.190380
Abstract:
To reveal the influence of the formation and development of gas-phase streamer channel on liquid discharge between pin-plane electrodes, a numerical model of the transformer-oil discharge in the pin-plane electrode system is built based on the continuity equations of free charge carriers, which are coupled with the Poisson’s equation. The gas-phase processes during the streamer development process is also taken into consideration, including impact ionization and the increase in the mobility of free charge carriers in the gas-phase relative to the liquid-phase in the streamer channel. The Heaviside function is used to switch the simulation model between gas-phase and liquid-phase. The initial and propagation progress of streamer discharge under nano-second pulse voltage is simulated using the model. Simulating results show that the electric field at the streamer body is significantly reduced and the electric field at the head of the streamer is further enhanced with the addition of such low density gas-phase region. The propagation speed of the streamer in two-phase model is also faster than that of the ordinary liquid-phase model.
To reveal the influence of the formation and development of gas-phase streamer channel on liquid discharge between pin-plane electrodes, a numerical model of the transformer-oil discharge in the pin-plane electrode system is built based on the continuity equations of free charge carriers, which are coupled with the Poisson’s equation. The gas-phase processes during the streamer development process is also taken into consideration, including impact ionization and the increase in the mobility of free charge carriers in the gas-phase relative to the liquid-phase in the streamer channel. The Heaviside function is used to switch the simulation model between gas-phase and liquid-phase. The initial and propagation progress of streamer discharge under nano-second pulse voltage is simulated using the model. Simulating results show that the electric field at the streamer body is significantly reduced and the electric field at the head of the streamer is further enhanced with the addition of such low density gas-phase region. The propagation speed of the streamer in two-phase model is also faster than that of the ordinary liquid-phase model.
2020,
32: 025012.
doi: 10.11884/HPLPB202032.0358
Abstract:
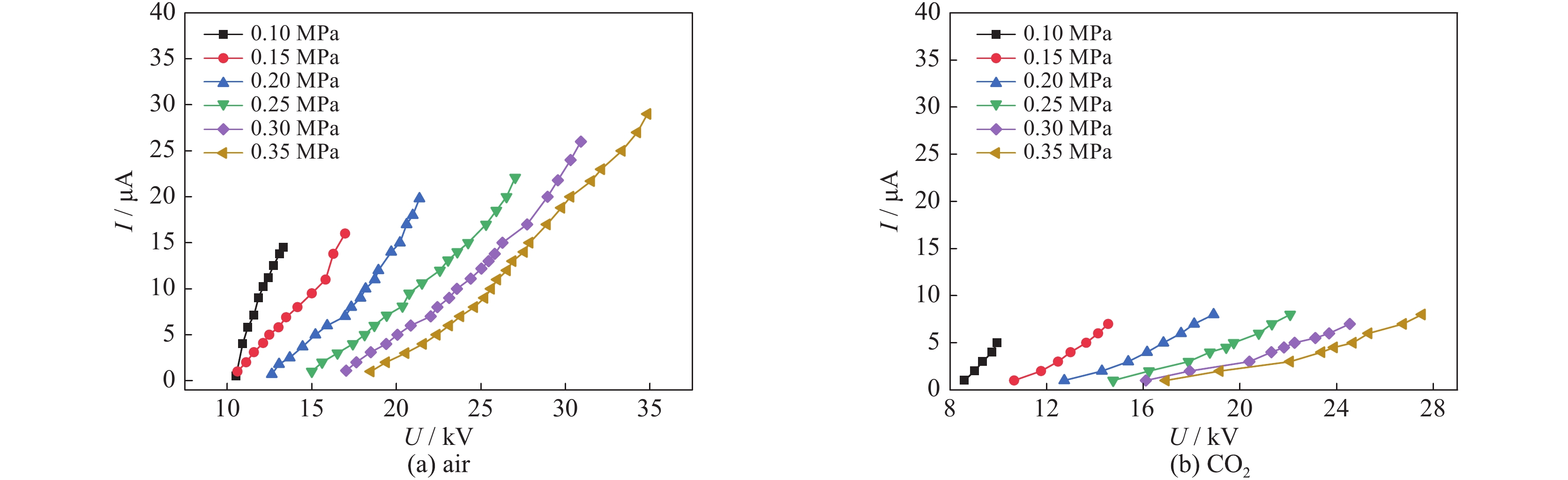
The fast linear transformer drive (FLTD) is a new type of pulse power source developing rapidly in recent years. It usually adopts multi-gap gas switch (MGS) as its primary switch. The corona discharge for voltage balance was proposed to improve the switch breakdown performance. However, great difference of corona discharge in different gases may exist and affect the performance of MGSs. In this paper, the effects of needle electrode in air on single-gap corona discharge characteristics are studied. The size of corona needle electrode is determined. Then, the corona discharge characteristics in N2, CO2, SF6/N2 and C4F7N/N2 are studied. The breakdown voltage of the 6-gap gas switch and its stability with the gas type and pressure are studied. The experimental results show that the corona current is high in N2. The corona current in air is lower and the corona discharge is stable in air. The addition of electric negative gas will greatly reduce the corona current. When air and N2 are used as the switch gas, the breakdown voltage of the switch increases linearly with the increase of gas pressure, but there is a low breakdown voltage sometimes. When electric negative gas is mixed with N2, the breakdown voltage is significantly higher. When the pressure of 1%SF6/99%N2 mixed gas is 0.18 MPa, the breakdown voltage is about 197.33 kV and the ratio of the standard deviation to the breakdown voltage is 1.50%.When 1% C4F7N/99%N2 mixed gas is 0.15 MPa. The breakdown voltage is about 190.42 kV, and the standard deviation is 0.55%. This indicates that the mixed gas of C4F7N and N2 has a significant effect on improving the breakdown voltage stability of multi-gap gas switch.
The fast linear transformer drive (FLTD) is a new type of pulse power source developing rapidly in recent years. It usually adopts multi-gap gas switch (MGS) as its primary switch. The corona discharge for voltage balance was proposed to improve the switch breakdown performance. However, great difference of corona discharge in different gases may exist and affect the performance of MGSs. In this paper, the effects of needle electrode in air on single-gap corona discharge characteristics are studied. The size of corona needle electrode is determined. Then, the corona discharge characteristics in N2, CO2, SF6/N2 and C4F7N/N2 are studied. The breakdown voltage of the 6-gap gas switch and its stability with the gas type and pressure are studied. The experimental results show that the corona current is high in N2. The corona current in air is lower and the corona discharge is stable in air. The addition of electric negative gas will greatly reduce the corona current. When air and N2 are used as the switch gas, the breakdown voltage of the switch increases linearly with the increase of gas pressure, but there is a low breakdown voltage sometimes. When electric negative gas is mixed with N2, the breakdown voltage is significantly higher. When the pressure of 1%SF6/99%N2 mixed gas is 0.18 MPa, the breakdown voltage is about 197.33 kV and the ratio of the standard deviation to the breakdown voltage is 1.50%.When 1% C4F7N/99%N2 mixed gas is 0.15 MPa. The breakdown voltage is about 190.42 kV, and the standard deviation is 0.55%. This indicates that the mixed gas of C4F7N and N2 has a significant effect on improving the breakdown voltage stability of multi-gap gas switch.
2020,
32: 025013.
doi: 10.11884/HPLPB202032.190331
Abstract:
This paper presents the design details and experiment results of a 4 MV facility developed for flash X-ray radiography in Northwest Institute of Nuclear Technology (NINT). The facility is based on the technology of an induction voltage adder (IVA) driving a rod pinch diode (RPD). The facility mainly consists of the prime power source, induction voltage adder, and RPD. The prime power source consists of two 3.2 MV low-inductance Marx generators and four deionized-water coaxial lines. Each Marx generator charges two 6 Ω, 30 ns pulse forming lines (PFLs) in less than 370 ns. There exist two-stage pulse compressions for each pulseline, providing four forward waves with peak voltages of 1 MV at current of 160 kA with a duration time of 60 ns. Four electrically-triggered SF6 gas switches serve as energy transfer switches from PFLs to outlines, and then four self-breakdown water switch are used to sharpen the risetime and reduce the prepulse. The IVA consists of four-stage induction cavities stacked in series, each of which almost operates at 1.5 MV voltage. A vacuum insulated transmission line (without magnetic insulation) is used for power addition. The RPD is chosen to create X rays through bremsstrahlung. At present, the IVA could produce a 4.3 MV voltage with a risetime (10%-90%) of 21 ns and a FWHM time of 70 ns. The diode current is about 85 kA, and the FWHM time of X rays is about 55 ns. The delay time from Marx trigger to the X-ray output is about 749 ns, with a standard deviation of about 7 ns. With a 2-mm diameter tungsten rod used, the X-ray dose is about 15.5 rad (LiF) at 1 m straight ahead, and the spot size is about 1.4 mm.
This paper presents the design details and experiment results of a 4 MV facility developed for flash X-ray radiography in Northwest Institute of Nuclear Technology (NINT). The facility is based on the technology of an induction voltage adder (IVA) driving a rod pinch diode (RPD). The facility mainly consists of the prime power source, induction voltage adder, and RPD. The prime power source consists of two 3.2 MV low-inductance Marx generators and four deionized-water coaxial lines. Each Marx generator charges two 6 Ω, 30 ns pulse forming lines (PFLs) in less than 370 ns. There exist two-stage pulse compressions for each pulseline, providing four forward waves with peak voltages of 1 MV at current of 160 kA with a duration time of 60 ns. Four electrically-triggered SF6 gas switches serve as energy transfer switches from PFLs to outlines, and then four self-breakdown water switch are used to sharpen the risetime and reduce the prepulse. The IVA consists of four-stage induction cavities stacked in series, each of which almost operates at 1.5 MV voltage. A vacuum insulated transmission line (without magnetic insulation) is used for power addition. The RPD is chosen to create X rays through bremsstrahlung. At present, the IVA could produce a 4.3 MV voltage with a risetime (10%-90%) of 21 ns and a FWHM time of 70 ns. The diode current is about 85 kA, and the FWHM time of X rays is about 55 ns. The delay time from Marx trigger to the X-ray output is about 749 ns, with a standard deviation of about 7 ns. With a 2-mm diameter tungsten rod used, the X-ray dose is about 15.5 rad (LiF) at 1 m straight ahead, and the spot size is about 1.4 mm.
2020,
32: 025014.
doi: 10.11884/HPLPB202032.190298
Abstract:
In this paper, the working principle of drift step recovery diode (DSRD) is introduced. The relation between the device parameters and switching characteristic is revealed by studying the physics processes inside DSRD. The analyses show that the rising rate of output pulse is proportional to the electric field breakdown threshold and saturated drift velocity of carrier. Large breakdown threshold and low doping level are benefitial to improve the maximum operation voltage, but the switching time will be increased also. In general, high breakdown threshold is necessary for DSRD with excellent performance. In addition, for the expanding of the diffusion zone over time, the pre-pulse can be reduced with short pumping time, which is obvious when forward current time is larger than 200 ns. To obtain an ideal pulse front, the injected charge should be exhausted as soon as the backward current just achieves maximum. By a simple pumping circuit, a fast pulse generator based on DSRD with the rise time of about 4 ns and the amplitude of 8 kV was designed, which can be used to trigger the fast ionization diode.
In this paper, the working principle of drift step recovery diode (DSRD) is introduced. The relation between the device parameters and switching characteristic is revealed by studying the physics processes inside DSRD. The analyses show that the rising rate of output pulse is proportional to the electric field breakdown threshold and saturated drift velocity of carrier. Large breakdown threshold and low doping level are benefitial to improve the maximum operation voltage, but the switching time will be increased also. In general, high breakdown threshold is necessary for DSRD with excellent performance. In addition, for the expanding of the diffusion zone over time, the pre-pulse can be reduced with short pumping time, which is obvious when forward current time is larger than 200 ns. To obtain an ideal pulse front, the injected charge should be exhausted as soon as the backward current just achieves maximum. By a simple pumping circuit, a fast pulse generator based on DSRD with the rise time of about 4 ns and the amplitude of 8 kV was designed, which can be used to trigger the fast ionization diode.
2020,
32: 025015.
doi: 10.11884/HPLPB202032.190280
Abstract:
As thyristor valve is the core equipment of quench protection system of large fusion device, the design and optimization of its snubber circuit parameters are related to the safety and reliability of the valve and even the whole quench protection system. So far, most of the design and optimization of snubber circuit parameters are based on DC steady-state conditions. However, there are few literatures on parameter optimization under impulse conditions. In this paper, the buffer circuit parameters of thyristor valve are designed and optimized under the pulse condition of superconducting magnet quench protection system. Based on the exponential model of thyristor reverse recovery current, the current mathematical model at the turn-off time is established. The relationship between the key parameters is obtained through experiments, and the reverse recovery model of thyristor current is established in Matlab according to thyristor performance and system requirements. Considering the performance requirements such as current drop rate at turn-off time, peak reverse recovery voltage and the cost, a parameter design and optimization method of thyristor snubber circuit under pulse condition is proposed. The model of quench protection system is built in Matlab, the simulation results show that compared with the original parameters, the optimal parameters reduce 11% of the peak reverse recovery voltage and 43% of the peak reverse recovery voltage change rate. At the same time, the manufacturing cost of the circuit is reduced to 1/7 of the original one.
As thyristor valve is the core equipment of quench protection system of large fusion device, the design and optimization of its snubber circuit parameters are related to the safety and reliability of the valve and even the whole quench protection system. So far, most of the design and optimization of snubber circuit parameters are based on DC steady-state conditions. However, there are few literatures on parameter optimization under impulse conditions. In this paper, the buffer circuit parameters of thyristor valve are designed and optimized under the pulse condition of superconducting magnet quench protection system. Based on the exponential model of thyristor reverse recovery current, the current mathematical model at the turn-off time is established. The relationship between the key parameters is obtained through experiments, and the reverse recovery model of thyristor current is established in Matlab according to thyristor performance and system requirements. Considering the performance requirements such as current drop rate at turn-off time, peak reverse recovery voltage and the cost, a parameter design and optimization method of thyristor snubber circuit under pulse condition is proposed. The model of quench protection system is built in Matlab, the simulation results show that compared with the original parameters, the optimal parameters reduce 11% of the peak reverse recovery voltage and 43% of the peak reverse recovery voltage change rate. At the same time, the manufacturing cost of the circuit is reduced to 1/7 of the original one.
2020,
32: 025016.
doi: 10.11884/HPLPB202032.190346
Abstract:
Thyristors have the advantages of good control characteristics, long life and low noise. At present, in the application of pulse power technology, the use of high-power thyristors instead of traditional gas switches is a research trend. Thyristors are used under high voltage, high current, and repetitive operating conditions, requiring careful selection and combination of switch components. Based on the failure mechanism of thyristors, the theoretical analysis, simulation calculation and experimental research on the heating of thyristor components under high voltage, high current, high di/dt, high du/dt and repetitive frequency are carried out. The use conditions of the thyristor components in repetitive frequency pulse power system thus have a theoretical basis. As the operating voltage, current, and frequency of the thyristor increase, the thermal loss of the thyristor increases and the heating of the thyristor becomes more serious. To ensure the safe and stable operation of the thyristor, the junction temperature needs to be kept within a safe range, and it cannot work at repetitive frequencies for a long time.
Thyristors have the advantages of good control characteristics, long life and low noise. At present, in the application of pulse power technology, the use of high-power thyristors instead of traditional gas switches is a research trend. Thyristors are used under high voltage, high current, and repetitive operating conditions, requiring careful selection and combination of switch components. Based on the failure mechanism of thyristors, the theoretical analysis, simulation calculation and experimental research on the heating of thyristor components under high voltage, high current, high di/dt, high du/dt and repetitive frequency are carried out. The use conditions of the thyristor components in repetitive frequency pulse power system thus have a theoretical basis. As the operating voltage, current, and frequency of the thyristor increase, the thermal loss of the thyristor increases and the heating of the thyristor becomes more serious. To ensure the safe and stable operation of the thyristor, the junction temperature needs to be kept within a safe range, and it cannot work at repetitive frequencies for a long time.
2020,
32: 025017.
doi: 10.11884/HPLPB202032.190311
Abstract:
The peaking capacitor used for pulse compression in electromagnetic pulse (EMP) simulator often uses the laminate structure of electrodes and thin film dielectrics to achieve insulation at high voltage, and the surface flashover is the main insulation failure mode of the peaking capacitor. In this paper, the effect of key structural parameters of the peaking capacitor and the gas pressure on its surface flashover performance were experimentally studied under the condition that the insulation gas was SF6 and the risetime of the applied voltage was approximately 30 ns. The experimental results show that: (1) the electrode thickness, the interspace around the electrodes and the surface coating ceuld not significantly change the surface flashover voltage of the laminated structure; (2) increasing the gas pressure could improve the flashover performance at low gas pressure; (3) the flashover voltage is nearly proportional to the number of polymer film layers; (4) the flashover voltage could be increased remarkably by increasing the extension length of the polymer film dielectrics. Based on the streamer theory, the above results are analyzed and discussed. It is considered that in inhomogeneous field the flashover initiates in the strengthened field region but the formation and development of the flashover channel is mainly determined by the background field on the flashover path. Therefore, reducing the electrical field at the triple point has little effect on the flashover performance but reducing the field on the flashover path can improve the flashover voltage of the laminated structure significantly.
The peaking capacitor used for pulse compression in electromagnetic pulse (EMP) simulator often uses the laminate structure of electrodes and thin film dielectrics to achieve insulation at high voltage, and the surface flashover is the main insulation failure mode of the peaking capacitor. In this paper, the effect of key structural parameters of the peaking capacitor and the gas pressure on its surface flashover performance were experimentally studied under the condition that the insulation gas was SF6 and the risetime of the applied voltage was approximately 30 ns. The experimental results show that: (1) the electrode thickness, the interspace around the electrodes and the surface coating ceuld not significantly change the surface flashover voltage of the laminated structure; (2) increasing the gas pressure could improve the flashover performance at low gas pressure; (3) the flashover voltage is nearly proportional to the number of polymer film layers; (4) the flashover voltage could be increased remarkably by increasing the extension length of the polymer film dielectrics. Based on the streamer theory, the above results are analyzed and discussed. It is considered that in inhomogeneous field the flashover initiates in the strengthened field region but the formation and development of the flashover channel is mainly determined by the background field on the flashover path. Therefore, reducing the electrical field at the triple point has little effect on the flashover performance but reducing the field on the flashover path can improve the flashover voltage of the laminated structure significantly.
2020,
32: 025018.
doi: 10.11884/HPLPB202032.190378
Abstract:
Referring to the Scorpio-1 prototype, the 1 MV X-ray system for radiography was redesigned. According to the reliability requirements, it has a reliability design of the system elements, including Marx generator, field distortion switch, pulse forming line, pulse transmission line and rod-pinch diode. Moreover, the experimental tests on the reliability of the system, including time jitter and stability of X-ray, were performed. According to the experimental results, the system operates stable and continuous outputs more than 81 shots. The following technical parameters of the system were achieved: time jitter less than 146 ns, X-ray dose 0.75−1.40 R at 1 m right in front of the system and reliability up to 98%.
Referring to the Scorpio-1 prototype, the 1 MV X-ray system for radiography was redesigned. According to the reliability requirements, it has a reliability design of the system elements, including Marx generator, field distortion switch, pulse forming line, pulse transmission line and rod-pinch diode. Moreover, the experimental tests on the reliability of the system, including time jitter and stability of X-ray, were performed. According to the experimental results, the system operates stable and continuous outputs more than 81 shots. The following technical parameters of the system were achieved: time jitter less than 146 ns, X-ray dose 0.75−1.40 R at 1 m right in front of the system and reliability up to 98%.
2020,
32: 025019.
doi: 10.11884/HPLPB202032.190336
Abstract:
The X-ray tube is a key component of an X-ray source. An X-ray tube used for a compact nanosecond pulsed X-ray source is described in this paper. The X-ray tube is a sealed transmission target X-ray diode. Its cathode is acomb structure formed from thin tungsten sheets with thickness of 50 μm, while its target is made of a 100 μm-thick titanium film. The X-ray dose at a distance of 20 cm from the diode is 20 mR per pulse while the diode voltage is 512 kV. In this case, the full width at half maximum of the X-ray pulse is about 5 ns.
The X-ray tube is a key component of an X-ray source. An X-ray tube used for a compact nanosecond pulsed X-ray source is described in this paper. The X-ray tube is a sealed transmission target X-ray diode. Its cathode is acomb structure formed from thin tungsten sheets with thickness of 50 μm, while its target is made of a 100 μm-thick titanium film. The X-ray dose at a distance of 20 cm from the diode is 20 mR per pulse while the diode voltage is 512 kV. In this case, the full width at half maximum of the X-ray pulse is about 5 ns.
2020,
32: 025020.
doi: 10.11884/HPLPB202032.190387
Abstract:
Drift step recovery diode (DSRD) has a great application prospect in pulse power technology for its notably short switching-off time, high repetition rate and large working current. In this paper, a DSRD pump circuit topology based on magnetic saturation transformer is studied. The topology is small, light and reliable. According to the operating requirements of DSRD, a pump circuit was designed. It consists of a power MOSFET primary switch and a magnetic saturation transformer with boost and saturation characteristics. The circuit was simulated by Pspice software, which confirmed the principles of the circuit. Based on the simulation analysis, a prototype was designed and its circuit experiment was implemented. The experiment indicates that when the charging voltage is 800 V, the pulse amplitude on resistor load of 50 Ω is larger than 7 kV, the rise time is less than 4.2 ns (10%−90%) and the FWHM is about 10 ns.
Drift step recovery diode (DSRD) has a great application prospect in pulse power technology for its notably short switching-off time, high repetition rate and large working current. In this paper, a DSRD pump circuit topology based on magnetic saturation transformer is studied. The topology is small, light and reliable. According to the operating requirements of DSRD, a pump circuit was designed. It consists of a power MOSFET primary switch and a magnetic saturation transformer with boost and saturation characteristics. The circuit was simulated by Pspice software, which confirmed the principles of the circuit. Based on the simulation analysis, a prototype was designed and its circuit experiment was implemented. The experiment indicates that when the charging voltage is 800 V, the pulse amplitude on resistor load of 50 Ω is larger than 7 kV, the rise time is less than 4.2 ns (10%−90%) and the FWHM is about 10 ns.
2020,
32: 025021.
doi: 10.11884/HPLPB202032.190309
Abstract:
The output signal of B-dot probe in the cavity increases at low frequency. The first-order correction method of “a characteristic flux-penetration time” is analyzed. According to the analysis, the method of compensation with integrator is proposed. Frequency response experiments were carried out for B-dot installed in the electrodes of coaxial and radial lines. The results show that when the RC time constant of the integrator is equal to the characteristic flux-penetration time, the measurements of B-dot coincide with the standard current signal. Therefore, for the B-dot probe in the cavity, this is the principle of selecting the RC constant of the integrator. The compensated test results are obtained directly by hardware, thus it is more convenient to operate than the software correction method.
The output signal of B-dot probe in the cavity increases at low frequency. The first-order correction method of “a characteristic flux-penetration time” is analyzed. According to the analysis, the method of compensation with integrator is proposed. Frequency response experiments were carried out for B-dot installed in the electrodes of coaxial and radial lines. The results show that when the RC time constant of the integrator is equal to the characteristic flux-penetration time, the measurements of B-dot coincide with the standard current signal. Therefore, for the B-dot probe in the cavity, this is the principle of selecting the RC constant of the integrator. The compensated test results are obtained directly by hardware, thus it is more convenient to operate than the software correction method.
2020,
32: 025022.
doi: 10.11884/HPLPB202032.190297
Abstract:
Graphene has attracted great interest for its distinctive band structure and physical properties. Results from previous studies show that a graphene cathode can provide stable field emission and intense emission in vacuum. This paper presents two metal matrix graphene film cathodes prepared by different methods. One is a copper/graphene matrix cathode grown by chemical vapor deposition, the other is a stainless steel/graphene matrix cathode transferred by substrate corrosion. The surface morphology of the graphene films on these two cathodes was examined using a scanning electron microscope (SEM) and Raman spectroscopy. The thickness and uniformity of the graphene film was evaluated. Gas spark switches based on these two cathodes were developed. The impulse-breakdown characteristics of these switches in a quasi-uniform electric field were studied. When the gap length is 5 mm and the gas pressure is 0.6 MPa, the average breakdown voltage (UBD) for copper/graphene matrix cathode is nearly 85.9 kV, and the voltage jitter is 3.2%; the average UBD for stainless steel/graphene matrix cathode is nearly 59.8 kV, and the voltage jitter is 2.4%. According to preliminary analysis, the surface state of the cathode and the quality of the graphene film directly affect the breakdown stability of the gas switch.
Graphene has attracted great interest for its distinctive band structure and physical properties. Results from previous studies show that a graphene cathode can provide stable field emission and intense emission in vacuum. This paper presents two metal matrix graphene film cathodes prepared by different methods. One is a copper/graphene matrix cathode grown by chemical vapor deposition, the other is a stainless steel/graphene matrix cathode transferred by substrate corrosion. The surface morphology of the graphene films on these two cathodes was examined using a scanning electron microscope (SEM) and Raman spectroscopy. The thickness and uniformity of the graphene film was evaluated. Gas spark switches based on these two cathodes were developed. The impulse-breakdown characteristics of these switches in a quasi-uniform electric field were studied. When the gap length is 5 mm and the gas pressure is 0.6 MPa, the average breakdown voltage (UBD) for copper/graphene matrix cathode is nearly 85.9 kV, and the voltage jitter is 3.2%; the average UBD for stainless steel/graphene matrix cathode is nearly 59.8 kV, and the voltage jitter is 2.4%. According to preliminary analysis, the surface state of the cathode and the quality of the graphene film directly affect the breakdown stability of the gas switch.
2020,
32: 025023.
doi: 10.11884/HPLPB202032.190304
Abstract:
This article introduces the severe fire situation in China, and clarifies the limitations of the existing fire-fighting solutions. In view of the limited range and the limitation of the use of pyrotechnics, it is proposed to use the electromagnetic coil launcher to launch the fire-extinguishing bomb to extinguish fire. Based on the current filament circuit model, a 10-stage electromagnetic coil launcher is designed. Pulse capacitor is used as the initial energy source and the coil is discharged sequentially by a crowbar circuit. The 7.2 kg projectile could be accelerated to the maximum speed of 171 m/s and the muzzle speed of 154 m/s. The efficiency will be over 15%. It shows that the electromagnetic coil launcher can meet the launching needs of fire-fighting project's needs. An intelligent unmanned electromagnetic launch fire-fighting system is proposed. The intelligent command and control system dispatches drones to collect fire information, then formulates fire-fighting strategies. The unmanned electromagnetic fire-extinguishing vehicle will be controlled to launch fire-extinguishing bombs to achieve accurate and efficient fire extinguishing. The system will adjust the fire extinguishing plan according to the evaluation results of fire extinguishing efficiency until the task is completed.
This article introduces the severe fire situation in China, and clarifies the limitations of the existing fire-fighting solutions. In view of the limited range and the limitation of the use of pyrotechnics, it is proposed to use the electromagnetic coil launcher to launch the fire-extinguishing bomb to extinguish fire. Based on the current filament circuit model, a 10-stage electromagnetic coil launcher is designed. Pulse capacitor is used as the initial energy source and the coil is discharged sequentially by a crowbar circuit. The 7.2 kg projectile could be accelerated to the maximum speed of 171 m/s and the muzzle speed of 154 m/s. The efficiency will be over 15%. It shows that the electromagnetic coil launcher can meet the launching needs of fire-fighting project's needs. An intelligent unmanned electromagnetic launch fire-fighting system is proposed. The intelligent command and control system dispatches drones to collect fire information, then formulates fire-fighting strategies. The unmanned electromagnetic fire-extinguishing vehicle will be controlled to launch fire-extinguishing bombs to achieve accurate and efficient fire extinguishing. The system will adjust the fire extinguishing plan according to the evaluation results of fire extinguishing efficiency until the task is completed.
2020,
32: 025024.
doi: 10.11884/HPLPB202032.190325
Abstract:
As an important part of the spacecraft power system, solar cells require high conversion efficiency and reliability and a longer service life. By using an anti-irradiation glass coverslip, the protection of the solar cell against particle radiation can be enhanced, the service life of the solar cell can be prolonged, and the spacecraft can obtain a reliable energy supply. Borosilicate glass is an ideal glass cover material for solar cells. In this paper, Monte Carlo method is combined with SRIM software to study the physical mechanism of damage of proton irradiated borosilicate glass. Combining the theory of particles-matters interaction with the basic formula, based on analyzing the stopping power, ionization energy loss and displacement energy loss of protons in different borosilicate glass, and the generation of vacancies, the physical mechanism of the damage was analyzed. The results show that the proton irradiation damage with energy of 30−120 keV mainly occurs on the surface of borosilicate glass; proton deposition and vacancies distribution follow the Bragg curve; ionization energy loss is the main part of energy loss, which increases with the increase of incident energy, leading to ionization and excitation of electrons; displacement energy loss increases with the decrease of energy in the glass, which leads to the vacancy defects of boron, oxygen and silicon. Ionization effect and defects are important reasons for the formation of color center in borosilicate glass.
As an important part of the spacecraft power system, solar cells require high conversion efficiency and reliability and a longer service life. By using an anti-irradiation glass coverslip, the protection of the solar cell against particle radiation can be enhanced, the service life of the solar cell can be prolonged, and the spacecraft can obtain a reliable energy supply. Borosilicate glass is an ideal glass cover material for solar cells. In this paper, Monte Carlo method is combined with SRIM software to study the physical mechanism of damage of proton irradiated borosilicate glass. Combining the theory of particles-matters interaction with the basic formula, based on analyzing the stopping power, ionization energy loss and displacement energy loss of protons in different borosilicate glass, and the generation of vacancies, the physical mechanism of the damage was analyzed. The results show that the proton irradiation damage with energy of 30−120 keV mainly occurs on the surface of borosilicate glass; proton deposition and vacancies distribution follow the Bragg curve; ionization energy loss is the main part of energy loss, which increases with the increase of incident energy, leading to ionization and excitation of electrons; displacement energy loss increases with the decrease of energy in the glass, which leads to the vacancy defects of boron, oxygen and silicon. Ionization effect and defects are important reasons for the formation of color center in borosilicate glass.

Email alert
RSS
