2021 Vol. 33, No. 10
Recommend Articles
Display Method:
2021,
: 1-2.
2021,
33: 101001.
doi: 10.11884/HPLPB202133.210101
Abstract:
Aiming at the requirements of the heat dissipation for high heat flux laser medium, an experimental platform was designed and built. The spray cooling of heat transfer enhancement experiment with different concentrations of sodium dodecyl sulfate aqueous solution as the working fluid was studied. The results show that within a specific range of heat flux density, as the heat flux density increases, the temperature of the heating surface does not rise but drops, which was named heat reversal. The heat reversal phenomenon increased the convective heat transfer coefficient by as much as 94.0%. The heat flux density range corresponding to heat reversal was 80−130 W/cm2, which had a weak relationship with concentration. This means that, in spray cooling, an increment in heat load can cause a temperature drop of the heated surface under certain circumstances. This phenomenon only occured when the heat flux density was gradually increasing, and it was not found in the process of reducing and adjusting the heat flux density. Surfactant boiling in the pool will also cause thermal reversal, but the specific reason remains to be studied.
Aiming at the requirements of the heat dissipation for high heat flux laser medium, an experimental platform was designed and built. The spray cooling of heat transfer enhancement experiment with different concentrations of sodium dodecyl sulfate aqueous solution as the working fluid was studied. The results show that within a specific range of heat flux density, as the heat flux density increases, the temperature of the heating surface does not rise but drops, which was named heat reversal. The heat reversal phenomenon increased the convective heat transfer coefficient by as much as 94.0%. The heat flux density range corresponding to heat reversal was 80−130 W/cm2, which had a weak relationship with concentration. This means that, in spray cooling, an increment in heat load can cause a temperature drop of the heated surface under certain circumstances. This phenomenon only occured when the heat flux density was gradually increasing, and it was not found in the process of reducing and adjusting the heat flux density. Surfactant boiling in the pool will also cause thermal reversal, but the specific reason remains to be studied.
2021,
33: 101002.
doi: 10.11884/HPLPB202133.210128
Abstract:
Asymmetric structure photonic crystal fibers are widely used. Its good polarization characteristics, flexible dispersion control ability and low limit loss quality play a key role in regulating and improving the performance of polarization fiber devices, nonlinear optical fibers, optical communication fibers, and fiber sensors. In this paper, high refractive index bismuth-germanium-gallium laser glass material is used and a photonic crystal fiber with an octagonal array and a rectangular lattice arrangement structure is designed. The core defect area cladding and outer cladding are all circular air holes. The simulation experiment data show that when the structural parameter M=0.5 and 0.6, the birefringence coefficients at the wavelength of 1.55 μm are 1.16×10−2 and 1.33×10−2, respectively; In the short-wave region of the near-infrared band, the dispersion range of rectangular lattice photonic crystal fiber is ±30 ps·nm−1·km−1 and −18−32 ps·nm−1·km−1, respectively. The dispersion slope is low. The dispersion curve has a zero dispersion point, which demonstrates good continuous spectrum control ability; When M=0.5, 0.6, in the band of 1.00−1.90 μm, the limit loss keeps in 10−7−10−9 dB·km−1 stably; At the wavelength of 1.55 μm, the limit loss are 2.32×10−7 and 1.62×10−8 dB·km−1, respectively.
Asymmetric structure photonic crystal fibers are widely used. Its good polarization characteristics, flexible dispersion control ability and low limit loss quality play a key role in regulating and improving the performance of polarization fiber devices, nonlinear optical fibers, optical communication fibers, and fiber sensors. In this paper, high refractive index bismuth-germanium-gallium laser glass material is used and a photonic crystal fiber with an octagonal array and a rectangular lattice arrangement structure is designed. The core defect area cladding and outer cladding are all circular air holes. The simulation experiment data show that when the structural parameter M=0.5 and 0.6, the birefringence coefficients at the wavelength of 1.55 μm are 1.16×10−2 and 1.33×10−2, respectively; In the short-wave region of the near-infrared band, the dispersion range of rectangular lattice photonic crystal fiber is ±30 ps·nm−1·km−1 and −18−32 ps·nm−1·km−1, respectively. The dispersion slope is low. The dispersion curve has a zero dispersion point, which demonstrates good continuous spectrum control ability; When M=0.5, 0.6, in the band of 1.00−1.90 μm, the limit loss keeps in 10−7−10−9 dB·km−1 stably; At the wavelength of 1.55 μm, the limit loss are 2.32×10−7 and 1.62×10−8 dB·km−1, respectively.
2021,
33: 101003.
doi: 10.11884/HPLPB202133.210151
Abstract:
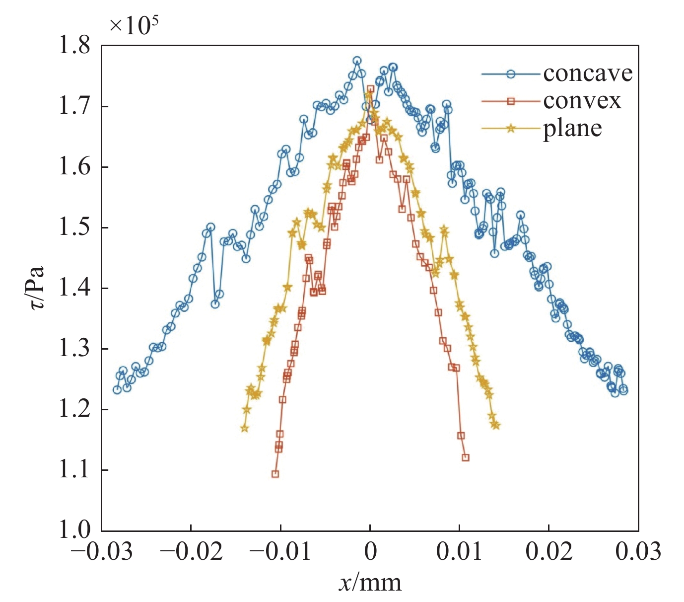
In the actual working process of magnetorheological polishing, the difference of the geometric characteristics of the polished area will have a great influence on the key parameters of the flow field creation. However, there is still a lack of research in this area, so this article establishes a three-dimensional model and experimental simulation for this problem. In studying the relationship between the geometric characteristics of the polished area and the key parameters of the flow field creation, first change the shape of the polished area to observe its influence on the shear stress and pressure in the flow field creation; when the shape of the polished area is the same, change the size of the polished area and observe its effect on the shear stress and pressure in the creation of the flow field. It is found that when the shape of the polished area differs, the shear stress is the largest when the polishing area is concave, while it is the smallest when the polished area is convex. When the polished area is convex, the shear stress on both sides of the polished area increases as the curvature of the polished area increases; when the polished area is concave, the shear stress on both sides of the polished area increases as the curvature of the polished area increases. When the shape of the polished area is different, the pressure is maximum when the polished area is concave, and the pressure is minimum when the polished area is convex. When the shape of the polished area is convex, the pressure at the polished area increases as the curvature of the polished area increases; when the shape of the polished area is concave, the pressure at the polished area decreases as the curvature of the polished area increases.
In the actual working process of magnetorheological polishing, the difference of the geometric characteristics of the polished area will have a great influence on the key parameters of the flow field creation. However, there is still a lack of research in this area, so this article establishes a three-dimensional model and experimental simulation for this problem. In studying the relationship between the geometric characteristics of the polished area and the key parameters of the flow field creation, first change the shape of the polished area to observe its influence on the shear stress and pressure in the flow field creation; when the shape of the polished area is the same, change the size of the polished area and observe its effect on the shear stress and pressure in the creation of the flow field. It is found that when the shape of the polished area differs, the shear stress is the largest when the polishing area is concave, while it is the smallest when the polished area is convex. When the polished area is convex, the shear stress on both sides of the polished area increases as the curvature of the polished area increases; when the polished area is concave, the shear stress on both sides of the polished area increases as the curvature of the polished area increases. When the shape of the polished area is different, the pressure is maximum when the polished area is concave, and the pressure is minimum when the polished area is convex. When the shape of the polished area is convex, the pressure at the polished area increases as the curvature of the polished area increases; when the shape of the polished area is concave, the pressure at the polished area decreases as the curvature of the polished area increases.
Analysis of stimulated Brillouin scattering in ICF hohlraum excited by multi-color incoherent lights
2021,
33: 102001.
doi: 10.11884/HPLPB202133.210159
Abstract:
To study the stimulated Brillouin scattering (SBS) and stimulated Raman scattering in inertial confinement fusion (ICF) hohlraum excited by multi-color incoherent light, in this paper a one-dimensional steady-state model is introduced and implemented by a numerical program. The physical pictures in which the stimulated scattering excited by individual lightrays can be coupled through sharing electrostatic wave and the physical factors affecting the spectrum of backward scattered light are analyzed. The simulation of SBS in a golden cylinderical hohlraum excited by two-color light with wavelength separation\begin{document}$ 0.3\;\mathrm{n}\mathrm{m} $\end{document} ![]()
![]()
shows that: SBS can be effectively suppressed by the two-color light, the spectrum of SBS splits into two peaks with separation of 0.3 nm, the SBS light corresponding to incident light of longer wavelength gets higher gain, and if the total intensity and bandwidth of lasers are both fixed, there exists a best number of beamlets to suppress SBS.
To study the stimulated Brillouin scattering (SBS) and stimulated Raman scattering in inertial confinement fusion (ICF) hohlraum excited by multi-color incoherent light, in this paper a one-dimensional steady-state model is introduced and implemented by a numerical program. The physical pictures in which the stimulated scattering excited by individual lightrays can be coupled through sharing electrostatic wave and the physical factors affecting the spectrum of backward scattered light are analyzed. The simulation of SBS in a golden cylinderical hohlraum excited by two-color light with wavelength separation
2021,
33: 103001.
doi: 10.11884/HPLPB202133.210197
Abstract:
A new type of unit that uses polarization conversion metasurfaces (PCM) to reduce the radar cross section (RCS) and maintain the radiation characteristics of slot antenna arrays is proposed. The PCM is composed of slotted rectangular patches arranged obliquely at 45°, which are placed on the upper surface of the slot array antenna. This paper analyzes the characteristics and principles of RCS reduction. Simulation and experimental results show that the single-site RCS reduction bandwidth of the slot antenna array with PCM is 8.0~21.8 GHz under the impact of x-polarized and y-polarized waves. At the same time, the antenna’s radiation characteristics are well maintained in terms of impedance bandwidth, gain, and radiation pattern.
A new type of unit that uses polarization conversion metasurfaces (PCM) to reduce the radar cross section (RCS) and maintain the radiation characteristics of slot antenna arrays is proposed. The PCM is composed of slotted rectangular patches arranged obliquely at 45°, which are placed on the upper surface of the slot array antenna. This paper analyzes the characteristics and principles of RCS reduction. Simulation and experimental results show that the single-site RCS reduction bandwidth of the slot antenna array with PCM is 8.0~21.8 GHz under the impact of x-polarized and y-polarized waves. At the same time, the antenna’s radiation characteristics are well maintained in terms of impedance bandwidth, gain, and radiation pattern.
Investigation on wide-angle scanning technology for high power resonant waveguide slot array antenna
2021,
33: 103002.
doi: 10.11884/HPLPB202133.210307
Abstract:
In traditional high-power slotted waveguide arrays, the mutual coupling between the adjacent slots seriously affects the wide-angle scanning ability of the array. To improve beam scanning ability, the scanning characteristics of the array has been analyzed. An isolation barrier has been introduced into the traditional slotted waveguide array to suppress the cross polarization caused by the inclined slots and improve the isolation of the elements. In this paper, an antenna array based on the rectangular waveguide with resonant slot in the narrow-wall has been proposed and designed, the simulation results show that the traditional structure can only scan to ±34° when S11≤−10 dB. But after loading the isolation barrier, the scanning range is expanded to ±45° with 2.3 dB gain reduction. Moreover, the power handling capacity of a single slotted waveguide is more than 330 MW, which indicates application potentials of this antenna in high power microwave (HPM) field.
In traditional high-power slotted waveguide arrays, the mutual coupling between the adjacent slots seriously affects the wide-angle scanning ability of the array. To improve beam scanning ability, the scanning characteristics of the array has been analyzed. An isolation barrier has been introduced into the traditional slotted waveguide array to suppress the cross polarization caused by the inclined slots and improve the isolation of the elements. In this paper, an antenna array based on the rectangular waveguide with resonant slot in the narrow-wall has been proposed and designed, the simulation results show that the traditional structure can only scan to ±34° when S11≤−10 dB. But after loading the isolation barrier, the scanning range is expanded to ±45° with 2.3 dB gain reduction. Moreover, the power handling capacity of a single slotted waveguide is more than 330 MW, which indicates application potentials of this antenna in high power microwave (HPM) field.
2021,
33: 103003.
doi: 10.11884/HPLPB202133.210105
Abstract:
Waveguide to coaxial line transtion is often used in RF measurement systems. To measure the network parameters of these RF devices with a vector network analyzer and other instruments, the transtion is indispensable to convert the waveguide ports of the RF devices to 50 Ω coaxial line which can directly access the network analyzer. The 648 MHz/WR1500 transformer designed in this paper is mainly used for the measurement of the superconducting linac RF devices at the China Spallation Neutron Source (CSNS) upgrading phase (CSNS-II). In this paper Chebyshev ridge ladder impedance transformation and probe coupling are adopted to complete waveguide to coaxial line transition. The ridge loaded waveguide and discontinuous coaxial line are analyzed respectively, and the optimal size is obtained. The designed transformer has the characteristics of low insertion loss, low VSWR and wide bandwidth to achieve high measurement accuracy. At last, the transition device is tested, and the test results are close to the simulation results, which can meet the requirements of being a measuring device.
Waveguide to coaxial line transtion is often used in RF measurement systems. To measure the network parameters of these RF devices with a vector network analyzer and other instruments, the transtion is indispensable to convert the waveguide ports of the RF devices to 50 Ω coaxial line which can directly access the network analyzer. The 648 MHz/WR1500 transformer designed in this paper is mainly used for the measurement of the superconducting linac RF devices at the China Spallation Neutron Source (CSNS) upgrading phase (CSNS-II). In this paper Chebyshev ridge ladder impedance transformation and probe coupling are adopted to complete waveguide to coaxial line transition. The ridge loaded waveguide and discontinuous coaxial line are analyzed respectively, and the optimal size is obtained. The designed transformer has the characteristics of low insertion loss, low VSWR and wide bandwidth to achieve high measurement accuracy. At last, the transition device is tested, and the test results are close to the simulation results, which can meet the requirements of being a measuring device.
2021,
33: 103004.
doi: 10.11884/HPLPB202133.210230
Abstract:
To study the representation of high altitude electromagnetic pulse effect in communication network from a hierarchical perspective, a network-level effect assessment method with hierarchical feature was proposed. A network effect test and simulation platform for wireless network was designed and developed. The platform employs a typically fully-connected network, in which the communication node is designed based on the framework of superheterodyne transceivers with operating on very high frequency ranges. The effect of pulse irradiation test on this network platform was tested and its effect mechanism was analyzed. The influence of node failure probability on network performance under different network scales was studied by using OPNET software. The following conclusions are drawn: (1) The equipment-level effect has a certain redundant fault-tolerance for the lower-level damage effect, which depends on the selection of effect assessment indicators and the function properties of the damaged components; (2) The network-level effect has a potential effect on the equipment-level effect, and the failure of individual nodes may cause serious degradation or even paralysis of the whole network.
To study the representation of high altitude electromagnetic pulse effect in communication network from a hierarchical perspective, a network-level effect assessment method with hierarchical feature was proposed. A network effect test and simulation platform for wireless network was designed and developed. The platform employs a typically fully-connected network, in which the communication node is designed based on the framework of superheterodyne transceivers with operating on very high frequency ranges. The effect of pulse irradiation test on this network platform was tested and its effect mechanism was analyzed. The influence of node failure probability on network performance under different network scales was studied by using OPNET software. The following conclusions are drawn: (1) The equipment-level effect has a certain redundant fault-tolerance for the lower-level damage effect, which depends on the selection of effect assessment indicators and the function properties of the damaged components; (2) The network-level effect has a potential effect on the equipment-level effect, and the failure of individual nodes may cause serious degradation or even paralysis of the whole network.
2021,
33: 103005.
doi: 10.11884/HPLPB202133.210169
Abstract:
Based on the integration of a transmissive metasurface lens with the circuit analog absorber, the design of a microwave composite material with characteristics of both transmissive wavefront conversion and out-of-band radar cross-section reduction is proposed and examined. With the refraction tuned by gradient phase compensation, the lens consisting of sub-wavelength spaced layers of periodic inclusions exhibits a reciprocal conversion between planar and spherical wavefronts. Moreover, the responses of the lens at the lower side of the wavefront conversion band are used to construct a circuit analog absorption profile containing one lossy layer. By using an aperture-coupled microstrip patch antenna element as the primary feeding antenna, main lobe gain enhancement over a wide band is observed as a result of the wavefront conversion of the composite material. In comparison with the lens, the introduction of the circuit analog absorption profile produces radar cross-section reduction over the bandwidths of 130.68% and 155.11% for TE and TM polarizations, respectively. The full-wave simulation and experimental measurement demonstrate the enhanced radiation gain and reduced radar cross-section and illustrate the validity of the composite material design with integrated absorption and focusing.
Based on the integration of a transmissive metasurface lens with the circuit analog absorber, the design of a microwave composite material with characteristics of both transmissive wavefront conversion and out-of-band radar cross-section reduction is proposed and examined. With the refraction tuned by gradient phase compensation, the lens consisting of sub-wavelength spaced layers of periodic inclusions exhibits a reciprocal conversion between planar and spherical wavefronts. Moreover, the responses of the lens at the lower side of the wavefront conversion band are used to construct a circuit analog absorption profile containing one lossy layer. By using an aperture-coupled microstrip patch antenna element as the primary feeding antenna, main lobe gain enhancement over a wide band is observed as a result of the wavefront conversion of the composite material. In comparison with the lens, the introduction of the circuit analog absorption profile produces radar cross-section reduction over the bandwidths of 130.68% and 155.11% for TE and TM polarizations, respectively. The full-wave simulation and experimental measurement demonstrate the enhanced radiation gain and reduced radar cross-section and illustrate the validity of the composite material design with integrated absorption and focusing.
2021,
33: 103006.
doi: 10.11884/HPLPB202133.210316
Abstract:
A two-dimensional electrothermal model of CMOS NAND gate is established by Sentaurus-TCAD, and the upset and damage effects and mechanisms of CMOS NAND gate are studied with the injection of electromagnetic pulse. The results show that under EMP injection, the output voltage and internal peak temperature of the device show a periodic “decline-rise”. After the EMP is removed, the output voltage stays at an abnormal value, the PMOS source current increases, the temperature keeps rising, and finally burn-out occurs in the PMOS source, due to the latch-up effect inside the device. As the pulse-width increases, the damage power threshold decreases and the damage energy threshold increases. The relationship between the pulse-width τ, the damage power threshold P and the damage energy threshold E is obtained by data fitting. The results can be used to evaluate the damage effect of EMP and provide guidance for device-level EMP anti-damage reinforcement design.
A two-dimensional electrothermal model of CMOS NAND gate is established by Sentaurus-TCAD, and the upset and damage effects and mechanisms of CMOS NAND gate are studied with the injection of electromagnetic pulse. The results show that under EMP injection, the output voltage and internal peak temperature of the device show a periodic “decline-rise”. After the EMP is removed, the output voltage stays at an abnormal value, the PMOS source current increases, the temperature keeps rising, and finally burn-out occurs in the PMOS source, due to the latch-up effect inside the device. As the pulse-width increases, the damage power threshold decreases and the damage energy threshold increases. The relationship between the pulse-width τ, the damage power threshold P and the damage energy threshold E is obtained by data fitting. The results can be used to evaluate the damage effect of EMP and provide guidance for device-level EMP anti-damage reinforcement design.
2021,
33: 103007.
doi: 10.11884/HPLPB202133.210132
Abstract:
In order to calculate the storing process and dumping process of energy in high quality factor resonant cavity, the input iris and the output coupling structure are modeled as a 2-port net and a 3-port net respectively, and an algorithm based on iteration is proposed according to the signal flow graph of the high quality factor resonant cavity. The algorithm is then used to design a high quality factor resonant cavity working around 2.92 GHz and based on rectangular waveguide of type BJ32. When the width of the input iris takes 20 mm and the width of the output iris takes 60 mm, the resonant frequency, the storing time, the pulse width of the output pulse, the peak output power gain and the energy efficiency are calculated to be 2.9198 GHz, 2.6 μs, 6.82 ns, 129.6 and 0.169, respectively.
In order to calculate the storing process and dumping process of energy in high quality factor resonant cavity, the input iris and the output coupling structure are modeled as a 2-port net and a 3-port net respectively, and an algorithm based on iteration is proposed according to the signal flow graph of the high quality factor resonant cavity. The algorithm is then used to design a high quality factor resonant cavity working around 2.92 GHz and based on rectangular waveguide of type BJ32. When the width of the input iris takes 20 mm and the width of the output iris takes 60 mm, the resonant frequency, the storing time, the pulse width of the output pulse, the peak output power gain and the energy efficiency are calculated to be 2.9198 GHz, 2.6 μs, 6.82 ns, 129.6 and 0.169, respectively.
2021,
33: 103008.
doi: 10.11884/HPLPB202133.210294
Abstract:
As a high-frequency interaction circuit of the klystron, the characteristics of the resonator have a decisive influence on the power, efficiency, gain and bandwidth of the klystron. This paper mainly introduces the design process and analysis of a Ka-band extended interaction klystron resonant cavity. Based on the multi-gap resonant cavity theory, the electromagnetic simulation software CST is used to analyze the influence of different structural dimensions of the resonant cavity on its characteristic parameters, such as quality factor, characteristic impedance, coupling coefficient and effective characteristic impedance. The physical structure model of the five-gap resonant cavity with a resonant frequency of 35 GHz is optimized, and the interaction simulation results are given, which provides an important reference and basis for the design of Ka-band distributed-action klystron and the calculation of high-frequency beam-wave interaction.
As a high-frequency interaction circuit of the klystron, the characteristics of the resonator have a decisive influence on the power, efficiency, gain and bandwidth of the klystron. This paper mainly introduces the design process and analysis of a Ka-band extended interaction klystron resonant cavity. Based on the multi-gap resonant cavity theory, the electromagnetic simulation software CST is used to analyze the influence of different structural dimensions of the resonant cavity on its characteristic parameters, such as quality factor, characteristic impedance, coupling coefficient and effective characteristic impedance. The physical structure model of the five-gap resonant cavity with a resonant frequency of 35 GHz is optimized, and the interaction simulation results are given, which provides an important reference and basis for the design of Ka-band distributed-action klystron and the calculation of high-frequency beam-wave interaction.
2021,
33: 104001.
doi: 10.11884/HPLPB202133.210164
Abstract:
To study the longitudinal motion characteristics of multi bunches in a storage ring, a bunch-by-bunch phase measurement system is developed at HLS-II. The system uses oscilloscope to collect BPM sum-signal directly, and take zero-crossing detection method combined with temporal difference (TD) method to extract the phase of bunch-by-bunch from BPM sum-signal. The system architecture, phase extraction method and some experimental results at HLS-II are introduced in this paper. In the experiment, through off-line analysis of the phase data of 5 ms bunch-by-bunch multi turns recorded by the system, the characteristic information of the synchrotron oscillation frequency, the longitudinal tuning value, the modes information of bunches oscillation and the growth rate of the oscillation mode are obtained. It is diagnosed that there are two strong longitudinal coupled-bunch unstable modes at HLS-II during the top-off constant-current operation, and the growth rates of the two oscillation modes are extracted. The results of bunch-by-bunch phase measurement and the analysis of longitudinal instability can provide references for machine study, longitudinal feedback system tuning and performance evaluation of high frequency RF system.
To study the longitudinal motion characteristics of multi bunches in a storage ring, a bunch-by-bunch phase measurement system is developed at HLS-II. The system uses oscilloscope to collect BPM sum-signal directly, and take zero-crossing detection method combined with temporal difference (TD) method to extract the phase of bunch-by-bunch from BPM sum-signal. The system architecture, phase extraction method and some experimental results at HLS-II are introduced in this paper. In the experiment, through off-line analysis of the phase data of 5 ms bunch-by-bunch multi turns recorded by the system, the characteristic information of the synchrotron oscillation frequency, the longitudinal tuning value, the modes information of bunches oscillation and the growth rate of the oscillation mode are obtained. It is diagnosed that there are two strong longitudinal coupled-bunch unstable modes at HLS-II during the top-off constant-current operation, and the growth rates of the two oscillation modes are extracted. The results of bunch-by-bunch phase measurement and the analysis of longitudinal instability can provide references for machine study, longitudinal feedback system tuning and performance evaluation of high frequency RF system.
2021,
33: 104002.
doi: 10.11884/HPLPB202133.210096
Abstract:
Control network is the reference of equipment installation and alignment, so the adjustment processing of control network is very important. In this paper, the data processing methods of separate plane and elevation adjustment and three-dimensional adjustment were studied in LINAC of China Spallation Neutron Source. Meanwhile, to make the data processing more simple and convenient, SA software was introduced to realize three-dimensional adjustment with the gravity orientation constrained. Through the comparison of different software and different data processing methods, correctness of the data processing of the control network is verified. Finally, the accuracy of the 200 m linear control network was better than 0.2 mm, which provides guidance for data processing of control network for alignment.
Control network is the reference of equipment installation and alignment, so the adjustment processing of control network is very important. In this paper, the data processing methods of separate plane and elevation adjustment and three-dimensional adjustment were studied in LINAC of China Spallation Neutron Source. Meanwhile, to make the data processing more simple and convenient, SA software was introduced to realize three-dimensional adjustment with the gravity orientation constrained. Through the comparison of different software and different data processing methods, correctness of the data processing of the control network is verified. Finally, the accuracy of the 200 m linear control network was better than 0.2 mm, which provides guidance for data processing of control network for alignment.
2021,
33: 104003.
doi: 10.11884/HPLPB202133.210145
Abstract:
In the study of pulsed X-ray radiation effect, it is necessary to integrate the information of time dimension into the simulation model, and then realize the numerical simulation of radiation effect based on time energy joint method, which provides a research idea for the simulation of transient pulsed radiation effect. The model of bremsstrahlung shooting is established, and the energy spectrum of outgoing pulsed X-ray is calculated. Combined with the radiation effect simulation model of radiation object, the energy deposition of alumina ceramic sample at different time and different incident depth was obtained.
In the study of pulsed X-ray radiation effect, it is necessary to integrate the information of time dimension into the simulation model, and then realize the numerical simulation of radiation effect based on time energy joint method, which provides a research idea for the simulation of transient pulsed radiation effect. The model of bremsstrahlung shooting is established, and the energy spectrum of outgoing pulsed X-ray is calculated. Combined with the radiation effect simulation model of radiation object, the energy deposition of alumina ceramic sample at different time and different incident depth was obtained.
2021,
33: 104004.
doi: 10.11884/HPLPB202133.210263
Abstract:
The W-1.5%La2O3-0.1%Y2O3-0.1%ZrO2 and W-1.5%La2O3-0.1%Y2O3-0.08%ZrH2 electron emission materials were prepared by the intermediate frequency induction heating sintering method. The density of the sintered sample is about 95.5%. The thermionic emission test results show that the zero field emission current density of the thermionic emission material sample added with zirconium hydride is greater than that of the sample added with zirconia. The analysis illustrates that the added zirconium hydride decomposes during sintering, and the active Zr can capture tungsten. The impurity oxygen in the grain boundary purifies the grain boundary, thereby improving electron emission; Vickers microhardness measurement shows that the hardness of the sample with zirconium hydride added is higher than that of the sample with zirconium oxide. Analysis shows that the addition of zirconium hydride effectively improves the bonding between the tungsten crystal grains and enhances the hardness of the tungsten electron-emitting material. The samples were characterized by SEM, EDS, XRD, metallographic microscope and other surface analysis equipment. The structure shows that the addition of zirconium hydride, compared with the addition of zirconia, not only decreases the size of tungsten grains from 13.63 μm to 11.63 μm, but also decreases the size of the rare earth phase from 1.87 μm to 1.66 μm. This change in organizational structure is conducive to electron emission.
The W-1.5%La2O3-0.1%Y2O3-0.1%ZrO2 and W-1.5%La2O3-0.1%Y2O3-0.08%ZrH2 electron emission materials were prepared by the intermediate frequency induction heating sintering method. The density of the sintered sample is about 95.5%. The thermionic emission test results show that the zero field emission current density of the thermionic emission material sample added with zirconium hydride is greater than that of the sample added with zirconia. The analysis illustrates that the added zirconium hydride decomposes during sintering, and the active Zr can capture tungsten. The impurity oxygen in the grain boundary purifies the grain boundary, thereby improving electron emission; Vickers microhardness measurement shows that the hardness of the sample with zirconium hydride added is higher than that of the sample with zirconium oxide. Analysis shows that the addition of zirconium hydride effectively improves the bonding between the tungsten crystal grains and enhances the hardness of the tungsten electron-emitting material. The samples were characterized by SEM, EDS, XRD, metallographic microscope and other surface analysis equipment. The structure shows that the addition of zirconium hydride, compared with the addition of zirconia, not only decreases the size of tungsten grains from 13.63 μm to 11.63 μm, but also decreases the size of the rare earth phase from 1.87 μm to 1.66 μm. This change in organizational structure is conducive to electron emission.
2021,
33: 105001.
doi: 10.11884/HPLPB202133.210082
Abstract:
Aiming at the requirement of synchronous triggering of large-scale switches in the all-solid-state linear transformer drive source (LTD), this paper designs an all-digital multi-channel pulse delay system based on the ZYNQ-7000 SoC platform. The paper introduces the functional modules of the system, and focuses on the analysis and design of three modules: time-to-digital converter (TDC), multi-channel pulse output and ARM core control. First of all, it elaborates on the principle of the tap delay method of the TDC module and the structure of the high-precision carry chain; Secondly, it uses a combination of coarse delay and fine delay to design a multi-channel pulse output module, which effectively improves the delay accuracy and range of the signal. The modular design also improves the scalability of the number of channels. This paper also describes the control flow of the ARM core, which realizes the control with fast response and high stability. Finally, the paper presents the simulation verification of the system and measurement of the cured device. The measurement results show that the system can achieve multiple delay outputs for external trigger signals. The system output signal pulse width is 1200 ns, with 1.8 V amplitude, and the delay step is 1 ns, the delay adjustment range is 0~4.29 s. The system output signal error is less than 1 ns.
Aiming at the requirement of synchronous triggering of large-scale switches in the all-solid-state linear transformer drive source (LTD), this paper designs an all-digital multi-channel pulse delay system based on the ZYNQ-7000 SoC platform. The paper introduces the functional modules of the system, and focuses on the analysis and design of three modules: time-to-digital converter (TDC), multi-channel pulse output and ARM core control. First of all, it elaborates on the principle of the tap delay method of the TDC module and the structure of the high-precision carry chain; Secondly, it uses a combination of coarse delay and fine delay to design a multi-channel pulse output module, which effectively improves the delay accuracy and range of the signal. The modular design also improves the scalability of the number of channels. This paper also describes the control flow of the ARM core, which realizes the control with fast response and high stability. Finally, the paper presents the simulation verification of the system and measurement of the cured device. The measurement results show that the system can achieve multiple delay outputs for external trigger signals. The system output signal pulse width is 1200 ns, with 1.8 V amplitude, and the delay step is 1 ns, the delay adjustment range is 0~4.29 s. The system output signal error is less than 1 ns.
2021,
33: 105002.
doi: 10.11884/HPLPB202133.210212
Abstract:
A novel pulse compression diode material was designed and developed based on semi-insulated gallium arsenide (SI-GaAs). A test circuit for its compression performance and repeat trigger performance was built. The results of the experiment show that, the rise time and pulse width of the input pulse can be compressed by approximately 270 times and 14 times, respectively, by using this switch. Besides, electrical pulses were obtained on a 50 Ω resistive load with 1.3 kV magnitude, 1.6 ns rise time, and 40.59 ns width. It was realized to stably work under a repetitive frequency of 1 kHz and the time of operation was 47 minutes, i.e., for a total of approximately two million triggers. To study the operation of the pulse compression diode, its static volt-ampere characteristics were tested. The analysis suggests that the electric field-enhanced capture and dissociation mechanism within the SI-GaAs material results in an enhanced withstand voltage at the beginning of voltage application. Therefore, the diode delayed breakdown during the experiment. The reverse dipole domain effect generates a traction mechanism that triggers a rapidly rising displacement current, which leads to an avalanche breakdown of the reverse bias junction. The diode then exhibits a transient negative resistance characteristic and a high voltage nanosecond electrical pulse is output on the load. The novel pulse compression diode does not require an additional pre-stage device to trigger fast pulses and can maintain a strong avalanche breakdown state by itself for a certain period of time. In summary, it has the advantages of small size and low cost, and it is an ideal switch for developing all-solid-state high repetition frequency nanosecond pulse generator.
A novel pulse compression diode material was designed and developed based on semi-insulated gallium arsenide (SI-GaAs). A test circuit for its compression performance and repeat trigger performance was built. The results of the experiment show that, the rise time and pulse width of the input pulse can be compressed by approximately 270 times and 14 times, respectively, by using this switch. Besides, electrical pulses were obtained on a 50 Ω resistive load with 1.3 kV magnitude, 1.6 ns rise time, and 40.59 ns width. It was realized to stably work under a repetitive frequency of 1 kHz and the time of operation was 47 minutes, i.e., for a total of approximately two million triggers. To study the operation of the pulse compression diode, its static volt-ampere characteristics were tested. The analysis suggests that the electric field-enhanced capture and dissociation mechanism within the SI-GaAs material results in an enhanced withstand voltage at the beginning of voltage application. Therefore, the diode delayed breakdown during the experiment. The reverse dipole domain effect generates a traction mechanism that triggers a rapidly rising displacement current, which leads to an avalanche breakdown of the reverse bias junction. The diode then exhibits a transient negative resistance characteristic and a high voltage nanosecond electrical pulse is output on the load. The novel pulse compression diode does not require an additional pre-stage device to trigger fast pulses and can maintain a strong avalanche breakdown state by itself for a certain period of time. In summary, it has the advantages of small size and low cost, and it is an ideal switch for developing all-solid-state high repetition frequency nanosecond pulse generator.
2021,
33: 105003.
doi: 10.11884/HPLPB202133.210170
Abstract:
Hydrogen thyratron still plays an important role in the field of high voltage and high current technology, how to adjust the working parameters of thyratron is an important topic in pulse modulation technology. The performance and life of thyratron depend on thyratron trigger to a great extent. To optimize the performance of thyratron and make it preionize more sufficiently, the high current pulse preionization technology is adopted by analyzing the thyratron triggering characteristics. A thyratron double pulse trigger based on kicker pulse power supply of China spallation neutron source is developed. The trigger has excellent performance such as nanosecond rising edge, low jitter and high current output. The effects of different reservoir heater current, cathode heater current and pre-ignition parameters on the thyratron state are studied, aiming at the problem of mis-conduction and leak conduction of thyratron, a detection circuit based on monostable circuit and CMOS gate circuit is developed, which can accurately analyze and predict the state of thyratron. Finally, the fault of kicker pulse power supply system is analyzed and summarized annually.
Hydrogen thyratron still plays an important role in the field of high voltage and high current technology, how to adjust the working parameters of thyratron is an important topic in pulse modulation technology. The performance and life of thyratron depend on thyratron trigger to a great extent. To optimize the performance of thyratron and make it preionize more sufficiently, the high current pulse preionization technology is adopted by analyzing the thyratron triggering characteristics. A thyratron double pulse trigger based on kicker pulse power supply of China spallation neutron source is developed. The trigger has excellent performance such as nanosecond rising edge, low jitter and high current output. The effects of different reservoir heater current, cathode heater current and pre-ignition parameters on the thyratron state are studied, aiming at the problem of mis-conduction and leak conduction of thyratron, a detection circuit based on monostable circuit and CMOS gate circuit is developed, which can accurately analyze and predict the state of thyratron. Finally, the fault of kicker pulse power supply system is analyzed and summarized annually.
2021,
33: 109001.
doi: 10.11884/HPLPB202133.210223
Abstract:
At present, numerical simulation is the main method for predicting residual stress produced by selective laser melting. However, due to different factors such as equipment, environment and powder, it is difficult to establish a practical numerical model. The accuracy of numerical simulation needs to be verified. Based on the strong ability of neural network in predicting multivariable and complex linear information processing, a model for predicting residual stress in selective laser melting (SLM) is established. SLM technology is used to print a considerable number of samples with different process parameters, and ultrasonic wave is used to detect the internal residual stress. Training samples of neural network are used to train the neural network model, and the neural network with predictive function is obtained. The process parameters of the validated samples are input into the neural network, and the predicted residual stress value is calculated, which is in accordance with the actual situation. The detection values were compared. The experimental results show that the deviation between the predicted value and the measured value is small and the accuracy is high, which verifies the effectiveness of the proposed method.The method of predicting residual stress by neural network can quickly determine the residual stress corresponding to laser melting process parameters in different selection areas, avoid setting process parameters with high residual stress, effectively shorten the cycle of preparing high-quality workpiece samples and reduce the cost.
At present, numerical simulation is the main method for predicting residual stress produced by selective laser melting. However, due to different factors such as equipment, environment and powder, it is difficult to establish a practical numerical model. The accuracy of numerical simulation needs to be verified. Based on the strong ability of neural network in predicting multivariable and complex linear information processing, a model for predicting residual stress in selective laser melting (SLM) is established. SLM technology is used to print a considerable number of samples with different process parameters, and ultrasonic wave is used to detect the internal residual stress. Training samples of neural network are used to train the neural network model, and the neural network with predictive function is obtained. The process parameters of the validated samples are input into the neural network, and the predicted residual stress value is calculated, which is in accordance with the actual situation. The detection values were compared. The experimental results show that the deviation between the predicted value and the measured value is small and the accuracy is high, which verifies the effectiveness of the proposed method.The method of predicting residual stress by neural network can quickly determine the residual stress corresponding to laser melting process parameters in different selection areas, avoid setting process parameters with high residual stress, effectively shorten the cycle of preparing high-quality workpiece samples and reduce the cost.

Email alert
RSS
