2021 Vol. 33, No. 6
				Recommend Articles
			
			
                Display Method:
    			
	    		
	    		
	    		
	    		
  				
   			
    	
		            2021,
		            : 1-2.
		             
	            	
				
		            2021,
		            33: 1-1.
		             
	            	
				
		            2021,
		            33: 065001.
		             
	            	doi: 10.11884/HPLPB202133.210190 
   					
				
		        Abstract: 
The studies on discharges in liquid dielectrics have been continuously gaining great attentions in the field of high voltage and insulation engineering. Profound understandings of the characteristics and mechanism of micro/nano-second pulsed discharge in liquids are prerequisites to the innovation and breakthrough of various cutting-edge applications, e.g., optimized electrical equipment design, deep ocean explorations, advanced material synthesis. In this review, we summarize the recent progress in the investigations of characteristics and mechanisms of micro/nano-second pulsed streamer discharge in liquid dielectrics. Fundamental characteristics of streamer discharge are elucidated including discharge modes and transition, branching characteristic, and breakdown. The contributing factors on the streamer characteristics, such as liquid conductivity, pressure, dissolved gas, impurities and additives, are analyzed. Prevailing mechanisms of initiation and propagation of streamer discharge in liquids as well as their application scenarios are discussed, including bubble theory, direct impact ionization, field molecular ionization, electrostriction, etc. Further, we expect the prospects and challenges of liquid discharge to enlighten fundamental researches and engineering applications in the relevant fields.
		       
		        
		        
		        
			  
			The studies on discharges in liquid dielectrics have been continuously gaining great attentions in the field of high voltage and insulation engineering. Profound understandings of the characteristics and mechanism of micro/nano-second pulsed discharge in liquids are prerequisites to the innovation and breakthrough of various cutting-edge applications, e.g., optimized electrical equipment design, deep ocean explorations, advanced material synthesis. In this review, we summarize the recent progress in the investigations of characteristics and mechanisms of micro/nano-second pulsed streamer discharge in liquid dielectrics. Fundamental characteristics of streamer discharge are elucidated including discharge modes and transition, branching characteristic, and breakdown. The contributing factors on the streamer characteristics, such as liquid conductivity, pressure, dissolved gas, impurities and additives, are analyzed. Prevailing mechanisms of initiation and propagation of streamer discharge in liquids as well as their application scenarios are discussed, including bubble theory, direct impact ionization, field molecular ionization, electrostriction, etc. Further, we expect the prospects and challenges of liquid discharge to enlighten fundamental researches and engineering applications in the relevant fields.
		            2021,
		            33: 065002.
		             
	            	doi: 10.11884/HPLPB202133.210083 
   					
				
		        Abstract: 
The repetitively pulsed streamer discharge is a critical enabling factor in many advanced low-temperature plasma applications. However, the streamer discharge exhibits complex instabilities and memory effect phenomena under high-frequency repetitive pulses. Fundamental discharge evolution mechanisms and regulation methods are not thoroughly understood, which significantly affects the application safety and regulation efficiency of discharge properties. In this paper, evolution phenomena and mechanisms of repetitively pulsed streamer discharge are reviewed, strong nonlinearity and progressive evolution features are summarized for repetitively pulsed streamer discharge, different memory effect agents and their influential mechanisms on initiation and propagation of subsequent streamers are discussed, effects of pulse waveform parameters on repetitively pulsed streamer discharge are outlined, and several research challenges are proposed regarding evolution mechanisms of repetitively pulsed streamer discharge, which would be helpful for revealing mechanisms of pulsed discharge plasmas.
		       
		        
		        
		        
			  
			The repetitively pulsed streamer discharge is a critical enabling factor in many advanced low-temperature plasma applications. However, the streamer discharge exhibits complex instabilities and memory effect phenomena under high-frequency repetitive pulses. Fundamental discharge evolution mechanisms and regulation methods are not thoroughly understood, which significantly affects the application safety and regulation efficiency of discharge properties. In this paper, evolution phenomena and mechanisms of repetitively pulsed streamer discharge are reviewed, strong nonlinearity and progressive evolution features are summarized for repetitively pulsed streamer discharge, different memory effect agents and their influential mechanisms on initiation and propagation of subsequent streamers are discussed, effects of pulse waveform parameters on repetitively pulsed streamer discharge are outlined, and several research challenges are proposed regarding evolution mechanisms of repetitively pulsed streamer discharge, which would be helpful for revealing mechanisms of pulsed discharge plasmas.
		            2021,
		            33: 065003.
		             
	            	doi: 10.11884/HPLPB202133.210114 
   					
				
		        Abstract: 
An all-solid-state LC-Marx generator based on magnetic switch has been proposed and analyzed by theory, simulation and experiment. This system is controlled by 1 MOSFET and magnetic switches that are made by 1 magnetic core. It has dimensions of 130 mm (diameter) and 60 mm (height), which almost not change with the stage increase. The capacitors could be charged to 1.82 times source voltage according to the principle of resonant charging. Five-stage LC-Marx generator could obtain a peak output voltage of −10.9 kV with rise time of 80 ns when the source voltage of 950 V is applied, and the energy efficiency is 30.43% on 500 Ω. The generator has been tested under 30 kHz that could work steadily. It could output higher voltage when used for atmospheric discharge.
		       
		        
		        
		        
			  
			An all-solid-state LC-Marx generator based on magnetic switch has been proposed and analyzed by theory, simulation and experiment. This system is controlled by 1 MOSFET and magnetic switches that are made by 1 magnetic core. It has dimensions of 130 mm (diameter) and 60 mm (height), which almost not change with the stage increase. The capacitors could be charged to 1.82 times source voltage according to the principle of resonant charging. Five-stage LC-Marx generator could obtain a peak output voltage of −10.9 kV with rise time of 80 ns when the source voltage of 950 V is applied, and the energy efficiency is 30.43% on 500 Ω. The generator has been tested under 30 kHz that could work steadily. It could output higher voltage when used for atmospheric discharge.
		            2021,
		            33: 065004.
		             
	            	doi: 10.11884/HPLPB202133.210078 
   					
				
		        Abstract: 
Aiming at the application demand of bipolar pulse voltage DBD discharge, an all-solid-state bipolar nanosecond pulse forming topology based on linear transformer driver (LTD) is proposed. The control circuit of each switch does not require additional high voltage isolated power supply in the operating state. In theory, it can achieve unlimited stacking of modules like the traditional unipolar LTD to obtain higher voltage bipolar pulse output. Each module integrates same number of energy storage capacitors with opposite voltage polarity, which makes the magnetic core's exciting current alternate between positive and negative directions under different pulse polarity, thus effectively improves the utilization rate of the magnetic core, and does not need an additional magnetic flux reset circuit. Finally, a modular compact bipolar LTD principle verification prototype was developed. The key parameters of the prototype are as follows: amplitude 0 to ±2 kV, pulse width of top flat 50 ns−200 ns, burst repetition frequency 500 kHz. All the pulse parameters can be flexibly adjusted through the host computer.
		       
		        
		        
		        
			  
			Aiming at the application demand of bipolar pulse voltage DBD discharge, an all-solid-state bipolar nanosecond pulse forming topology based on linear transformer driver (LTD) is proposed. The control circuit of each switch does not require additional high voltage isolated power supply in the operating state. In theory, it can achieve unlimited stacking of modules like the traditional unipolar LTD to obtain higher voltage bipolar pulse output. Each module integrates same number of energy storage capacitors with opposite voltage polarity, which makes the magnetic core's exciting current alternate between positive and negative directions under different pulse polarity, thus effectively improves the utilization rate of the magnetic core, and does not need an additional magnetic flux reset circuit. Finally, a modular compact bipolar LTD principle verification prototype was developed. The key parameters of the prototype are as follows: amplitude 0 to ±2 kV, pulse width of top flat 50 ns−200 ns, burst repetition frequency 500 kHz. All the pulse parameters can be flexibly adjusted through the host computer.
		            2021,
		            33: 065005.
		             
	            	doi: 10.11884/HPLPB202133.210008 
   					
				
		        Abstract: 
A nanosecond pulse generator with alternating output voltage polarity is developed, and the study of plasma generated by bipolar nanosecond pulse discharge is carried out. The generator first cuts DC voltage into a voltage pulse through solid-state switches IGBT, and uses a saturable pulse transformer to boost the voltage and shorten the pulse rising edge. The generator can output two pulses with opposite polarities in one cycle, and the timing can be flexibly controlled. By choosing devices with proper parameters, two bipolar nanosecond pulse generators with optimized output parameters are developed: ① The peak voltage is 10 kV, and the pulse repetition frequency in burst mode is 500 kHz (interval between positive and negative pulses is 2 μs), with continuous repetition frequency of 1 kHz; ② The peak voltage is 25 kV, with 200 kHz burst frequency, and the continuous frequency is 600 Hz. The operating performance of the generators is tested, and it is found that the temperature of the generators tends to increase to a stable point during long-duration(more than half an hour) operation. When the 10 kV generator continuously works at 1 kHz, its highest temperature is 50.5 ℃. For the 25 kV generator continuously working at 600 Hz, the highest temperature point is 60 ℃. The result of using the generators to drive the wire-to-plate electrode and the surface dielectric barrier discharge proves that the generators can be used to generate large-area plasma in atmospheric air.
		       
		        
		        
		        
			  
			A nanosecond pulse generator with alternating output voltage polarity is developed, and the study of plasma generated by bipolar nanosecond pulse discharge is carried out. The generator first cuts DC voltage into a voltage pulse through solid-state switches IGBT, and uses a saturable pulse transformer to boost the voltage and shorten the pulse rising edge. The generator can output two pulses with opposite polarities in one cycle, and the timing can be flexibly controlled. By choosing devices with proper parameters, two bipolar nanosecond pulse generators with optimized output parameters are developed: ① The peak voltage is 10 kV, and the pulse repetition frequency in burst mode is 500 kHz (interval between positive and negative pulses is 2 μs), with continuous repetition frequency of 1 kHz; ② The peak voltage is 25 kV, with 200 kHz burst frequency, and the continuous frequency is 600 Hz. The operating performance of the generators is tested, and it is found that the temperature of the generators tends to increase to a stable point during long-duration(more than half an hour) operation. When the 10 kV generator continuously works at 1 kHz, its highest temperature is 50.5 ℃. For the 25 kV generator continuously working at 600 Hz, the highest temperature point is 60 ℃. The result of using the generators to drive the wire-to-plate electrode and the surface dielectric barrier discharge proves that the generators can be used to generate large-area plasma in atmospheric air.
		            2021,
		            33: 065006.
		             
	            	doi: 10.11884/HPLPB202133.200323 
   					
				
		        Abstract: 
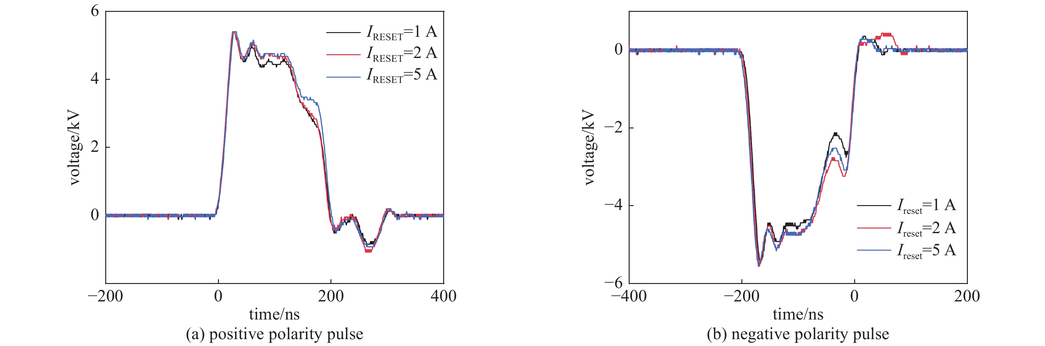
In the application of tumor ablation with pulsed electric field, bipolar pulses can ablate tumors more homogeneously than unipolar pulses. However, it is difficult to generate bipolar high voltage nanosecond or sub-microsecond pulses due to the strong electromagnetic interference and strict requirements of control precision. In this paper, a bipolar Solid-State Linear Transformer Driver (SSLTD) is designed. The SSLTD is composed of many LTD modules with the same structure and their secondary windings are reversely connected in series to generate bipolar narrow pulses over the load. To generate stable pulses, the reset of the pulsed transformers is the key technique in bipolar SSLTD. Through the resistive load experiments, the influence of the forms of reset current on the reset effect is compared and analyzed, and the influence of the voltage amplitude, pulse width, interval between positive and negative pulses, the number of parallel switches in each module, and the reset current amplitude on the output pulses is analyzed. Experimental results show that the designed bipolar SSLTD can generate repetitive bipolar nanosecond pulses with voltage amplitude up to 5 kV, adjustable pulse widths of 80−400 ns, the rising and falling 20−50 ns over 500 Ω load. Besides, reverse series DC reset circuit which is simple in structure has a better reset effect than pulsed reset circuit. The bipolar SSLTD can generate nanosecond pulses with any polarity and has many advantages such as compact size, modularity, low electric stress.
		       
		        
		        
		        
			  
			In the application of tumor ablation with pulsed electric field, bipolar pulses can ablate tumors more homogeneously than unipolar pulses. However, it is difficult to generate bipolar high voltage nanosecond or sub-microsecond pulses due to the strong electromagnetic interference and strict requirements of control precision. In this paper, a bipolar Solid-State Linear Transformer Driver (SSLTD) is designed. The SSLTD is composed of many LTD modules with the same structure and their secondary windings are reversely connected in series to generate bipolar narrow pulses over the load. To generate stable pulses, the reset of the pulsed transformers is the key technique in bipolar SSLTD. Through the resistive load experiments, the influence of the forms of reset current on the reset effect is compared and analyzed, and the influence of the voltage amplitude, pulse width, interval between positive and negative pulses, the number of parallel switches in each module, and the reset current amplitude on the output pulses is analyzed. Experimental results show that the designed bipolar SSLTD can generate repetitive bipolar nanosecond pulses with voltage amplitude up to 5 kV, adjustable pulse widths of 80−400 ns, the rising and falling 20−50 ns over 500 Ω load. Besides, reverse series DC reset circuit which is simple in structure has a better reset effect than pulsed reset circuit. The bipolar SSLTD can generate nanosecond pulses with any polarity and has many advantages such as compact size, modularity, low electric stress.
		            2021,
		            33: 065007.
		             
	            	doi: 10.11884/HPLPB202133.210086 
   					
				
		        Abstract: 
The experimental platform of bipolar high-voltage pulse power supply with an output voltage amplitude of 0−20 kV and pulse repetition rate of 0.25−20 kHz is constructed. The influence of parasitic parameters of the pulse transformer and load characteristics on the output pulse waveform is studied. By the complex frequency domain analysis method, the effects of parasitic parameters of the transformer on the rising edge, flat top, and falling edge of the output pulse wave are analyzed theoretically, which are further indirectly verified by changing the winding scheme of the transformer. It is found that the larger the distributed capacitance and leakage inductance of the transformer are, the longer the rising time and falling time of the voltage pulse are, and the larger the overshoot voltage is. An optimization winding scheme of the pulse transformer is proposed in that the secondary winding is evenly and densely wound, the primary winding is evenly and loosely wound, and the number of turns is as high as possible. Furthermore, the influence of load characteristics on the output high-voltage pulse waveform is analyzed. (1) When the resistance increases (5−50 kΩ), the overshoot voltage increases, and the rising time and falling time of the voltage pulse decreases. (2) When a resistor is connected in series with small capacitors, the overshoot voltage increases significantly. If the capacitance is higher than a certain value, the output pulse waveform will be the same as that in the case of a pure resistor. (3) When a resistor is connected in series with an inductor, the falling time of the voltage pulse becomes longer.
		       
		        
		        
		        
			  
			The experimental platform of bipolar high-voltage pulse power supply with an output voltage amplitude of 0−20 kV and pulse repetition rate of 0.25−20 kHz is constructed. The influence of parasitic parameters of the pulse transformer and load characteristics on the output pulse waveform is studied. By the complex frequency domain analysis method, the effects of parasitic parameters of the transformer on the rising edge, flat top, and falling edge of the output pulse wave are analyzed theoretically, which are further indirectly verified by changing the winding scheme of the transformer. It is found that the larger the distributed capacitance and leakage inductance of the transformer are, the longer the rising time and falling time of the voltage pulse are, and the larger the overshoot voltage is. An optimization winding scheme of the pulse transformer is proposed in that the secondary winding is evenly and densely wound, the primary winding is evenly and loosely wound, and the number of turns is as high as possible. Furthermore, the influence of load characteristics on the output high-voltage pulse waveform is analyzed. (1) When the resistance increases (5−50 kΩ), the overshoot voltage increases, and the rising time and falling time of the voltage pulse decreases. (2) When a resistor is connected in series with small capacitors, the overshoot voltage increases significantly. If the capacitance is higher than a certain value, the output pulse waveform will be the same as that in the case of a pure resistor. (3) When a resistor is connected in series with an inductor, the falling time of the voltage pulse becomes longer.
		            2021,
		            33: 065008.
		             
	            	doi: 10.11884/HPLPB202133.210020 
   					
				
		        Abstract: 
In this paper, a nanosecond pulse power supply is employed to excite the gas-liquid discharge in atmospheric air, and the discharge characteristics, plasma characteristics and the composition of activated water under different pulse parameters are studied. The results show that the discharge consists of three stages in one pulse period, among which the two discharges that occur during the pulse duration and the falling edge are stronger, and the discharge on the rising edge is weaker. When the pulse voltage increases, the discharge current, average power, luminous intensity and spectra intensity all gradually increase. When the frequency increases, the discharge current is almost unchanged, but the power increases significantly, the discharge luminous and spectra intensity also increase. The increase of the voltage rising edge time will weaken the discharge intensity, and the corresponding luminous intensity and spectra intensity will be weakened. The increase of the voltage falling edge enhances the discharge, and the luminous intensity and emission spectra intensity increase. When the pulse voltage, frequency and falling edge time increase, the concentration of H2O2,\begin{document}${\rm{NO}}_2^ - $\end{document} ![]()
![]()
\begin{document}${\rm{NO}}_3^ - $\end{document} ![]()
![]()
		       
		        
		        
		        
			  
			In this paper, a nanosecond pulse power supply is employed to excite the gas-liquid discharge in atmospheric air, and the discharge characteristics, plasma characteristics and the composition of activated water under different pulse parameters are studied. The results show that the discharge consists of three stages in one pulse period, among which the two discharges that occur during the pulse duration and the falling edge are stronger, and the discharge on the rising edge is weaker. When the pulse voltage increases, the discharge current, average power, luminous intensity and spectra intensity all gradually increase. When the frequency increases, the discharge current is almost unchanged, but the power increases significantly, the discharge luminous and spectra intensity also increase. The increase of the voltage rising edge time will weaken the discharge intensity, and the corresponding luminous intensity and spectra intensity will be weakened. The increase of the voltage falling edge enhances the discharge, and the luminous intensity and emission spectra intensity increase. When the pulse voltage, frequency and falling edge time increase, the concentration of H2O2,
		            2021,
		            33: 065009.
		             
	            	doi: 10.11884/HPLPB202133.210113 
   					
				
		        Abstract: 
To increase the production of unconventional oil and gas fields, the electric pulse resonance technology of reservoir was studied. The natural frequency of the reservoir was detected by electric pulse, and the discharge frequency was adjusted quickly and accurately by voltage and current loop. A prototype of the resonance stimulation device was developed for field operation, a preliminary construction process was formed, and field experiments were carried out. The results show that the impact range of the shock wave can reach 400−500 m, and the improvement effect of the reservoir fracture is obvious. The application prospect of the device is very broad.
		       
		        
		        
		        
			  
			To increase the production of unconventional oil and gas fields, the electric pulse resonance technology of reservoir was studied. The natural frequency of the reservoir was detected by electric pulse, and the discharge frequency was adjusted quickly and accurately by voltage and current loop. A prototype of the resonance stimulation device was developed for field operation, a preliminary construction process was formed, and field experiments were carried out. The results show that the impact range of the shock wave can reach 400−500 m, and the improvement effect of the reservoir fracture is obvious. The application prospect of the device is very broad.
		            2021,
		            33: 065010.
		             
	            	doi: 10.11884/HPLPB202133.210103 
   					
				
		        Abstract: 
Electrical explosion of wires (EEW) driven by pulse current can produce plasmas with high energy density, and is accompanied by electromagnetic pulses, strong shock waves, etc., therefore it is widely adopted in Z-pinch, electrothermal chemical weapons, oil and gas exploitation and other fields. Compared to pure metal, alloy has characteristics of the high resistivity, adjustable composition, and complex phase transitions. It has great potential in regulating parameters of EEW. This paper presents an experimental study on exploding Cu, Ni, and Cu-Ni alloy (constantan) wires in atmospheric air under a microsecond time-scale pulsed current. Through the diagnoses of electrical parameters and self-emission images, the discharge characteristics and spatial-temporal evolution of explosion products were obtained. Features of the alloy wire explosion in phase transition and plasma were acquired as well. Experiments revealed that in the early stage of EEW, the high resistivity of the alloy could improve the energy deposition efficiency, namely 52% for Cu, 74% for Ni, and 78% for Cu-Ni, while after the explosion, performance of the alloy wire was closer to that of the Ni wire. The initial expansion rate of the plasma channel reached 5 mm/μs level but then decayed. The expansion process of alloy wire endured longer, and the average resistivity went up slowly after the breakdown. Also, a correlation was found between plasma radiation and metal aerosol in spatial scale. Especially, the alloy aerosol has crossed striation features (10−1 mm), but it is more uniform than Cu aerosol generally.
		       
		        
		        
		        
			  
			Electrical explosion of wires (EEW) driven by pulse current can produce plasmas with high energy density, and is accompanied by electromagnetic pulses, strong shock waves, etc., therefore it is widely adopted in Z-pinch, electrothermal chemical weapons, oil and gas exploitation and other fields. Compared to pure metal, alloy has characteristics of the high resistivity, adjustable composition, and complex phase transitions. It has great potential in regulating parameters of EEW. This paper presents an experimental study on exploding Cu, Ni, and Cu-Ni alloy (constantan) wires in atmospheric air under a microsecond time-scale pulsed current. Through the diagnoses of electrical parameters and self-emission images, the discharge characteristics and spatial-temporal evolution of explosion products were obtained. Features of the alloy wire explosion in phase transition and plasma were acquired as well. Experiments revealed that in the early stage of EEW, the high resistivity of the alloy could improve the energy deposition efficiency, namely 52% for Cu, 74% for Ni, and 78% for Cu-Ni, while after the explosion, performance of the alloy wire was closer to that of the Ni wire. The initial expansion rate of the plasma channel reached 5 mm/μs level but then decayed. The expansion process of alloy wire endured longer, and the average resistivity went up slowly after the breakdown. Also, a correlation was found between plasma radiation and metal aerosol in spatial scale. Especially, the alloy aerosol has crossed striation features (10−1 mm), but it is more uniform than Cu aerosol generally.
		            2021,
		            33: 065011.
		             
	            	doi: 10.11884/HPLPB202133.210148 
   					
				
		        Abstract: 
In this paper, the basic properties of the atmospheric pressure Ar plasma jet with three different electrode structures are comparatively studied using a two-dimensional axisymmetric fluid model. The results show that the introduction of the grounded ring electrode affects the jet propagation both inside and outside the dielectric tube. Inside the dielectric tube, the grounded ring electrode increases the radial electric field near the inner surface of the tube, leading to the increase of the electron density and jet propagation length. However, it has a slight effect on the electric field and electron density near the central axis. Outside the dielectric tube, the introduction of the grounded ring electrode results in the reduction of the electric field both in axial and radial directions. This inevitably causes the decrease of the jet propagation length and a contraction of the jet channel radius. For the bare needle electrode structure, the removal of the medium wrapped around the needle electrode increases the electric field due to the elevated plasma potential. This makes the increase of the jet propagation length. The peak electron density in the jet channel increases about one order of magnitude. Meanwhile, the electron density in the whole channel is relatively higher in the bare needle electrode structure. In addition, the production and transport of the main active particles under the three electrode structures are comparatively studied.
		       
		        
		        
		        
			  
			In this paper, the basic properties of the atmospheric pressure Ar plasma jet with three different electrode structures are comparatively studied using a two-dimensional axisymmetric fluid model. The results show that the introduction of the grounded ring electrode affects the jet propagation both inside and outside the dielectric tube. Inside the dielectric tube, the grounded ring electrode increases the radial electric field near the inner surface of the tube, leading to the increase of the electron density and jet propagation length. However, it has a slight effect on the electric field and electron density near the central axis. Outside the dielectric tube, the introduction of the grounded ring electrode results in the reduction of the electric field both in axial and radial directions. This inevitably causes the decrease of the jet propagation length and a contraction of the jet channel radius. For the bare needle electrode structure, the removal of the medium wrapped around the needle electrode increases the electric field due to the elevated plasma potential. This makes the increase of the jet propagation length. The peak electron density in the jet channel increases about one order of magnitude. Meanwhile, the electron density in the whole channel is relatively higher in the bare needle electrode structure. In addition, the production and transport of the main active particles under the three electrode structures are comparatively studied.
		            2021,
		            33: 065012.
		             
	            	doi: 10.11884/HPLPB202133.200320 
   					
				
		        Abstract: 
The application of Inductively Coupled Plasma (ICP) can cause a wide range high density plasma and has great advantages in electromagnetic wave attenuation. Studying the process of interaction between ICP and electromagnetic wave, we established the electromagnetic wave propagation in inhomogeneous plasma, adopted hierarchical model for the diagnosis of the interaction of plasma and electromagnetic wave, and studied the electromagnetic wave attenuation under different conditions of input power. The experiment method of inductively coupled plasma for attenuation electromagnetic wave was proposed. Based on the model of plasma covering over the metal plate, the arch system for measurement of microwave reflectivity of plasma was established. The interaction of closed-plasma and electromagnetic wave with a bandwidth of 4−8 GHz was studied, the effect on microwave reflection of different rf power was evaluated analyzed, and the experimental measurement and calculation results were analyzed. The experimental results show that the inductively coupled plasma attenuates the electromagnetic wave in 5.92−6.8 GHz band obviously by power regulation.
		       
		        
		        
		        
			  
			The application of Inductively Coupled Plasma (ICP) can cause a wide range high density plasma and has great advantages in electromagnetic wave attenuation. Studying the process of interaction between ICP and electromagnetic wave, we established the electromagnetic wave propagation in inhomogeneous plasma, adopted hierarchical model for the diagnosis of the interaction of plasma and electromagnetic wave, and studied the electromagnetic wave attenuation under different conditions of input power. The experiment method of inductively coupled plasma for attenuation electromagnetic wave was proposed. Based on the model of plasma covering over the metal plate, the arch system for measurement of microwave reflectivity of plasma was established. The interaction of closed-plasma and electromagnetic wave with a bandwidth of 4−8 GHz was studied, the effect on microwave reflection of different rf power was evaluated analyzed, and the experimental measurement and calculation results were analyzed. The experimental results show that the inductively coupled plasma attenuates the electromagnetic wave in 5.92−6.8 GHz band obviously by power regulation.
		            2021,
		            33: 065013.
		             
	            	doi: 10.11884/HPLPB202133.210071 
   					
				
		        Abstract: 
The post-arc residual plasma of the vacuum arcs in the breaking process is an important parameter, which is used to indicate the breaking capacity of the vacuum circuit breakers. Based on the basic principle of the electron saturation region for the probe diagnostics, the paper proposes a measuring method of electron density in residual plasma. The structure and principle of the method are analyzed. The probe structure and control system of the probe diagnostics are designed. The electron density of the residual plasma is measured by the single probe based on the dismountable vacuum chamber. The vacuum arcs development is observed by the high speed camera. The influence of the current magnitude and contact structure on the decay process of the residual plasma is investigated. Finally, the validity of the measurement method is verified by comparing with other diagnostic methods, which provides a low-cost and effective diagnostic method for future research on the micro-characteristics of vacuum circuit breakers.
		       
		        
		        
		        
			  
			The post-arc residual plasma of the vacuum arcs in the breaking process is an important parameter, which is used to indicate the breaking capacity of the vacuum circuit breakers. Based on the basic principle of the electron saturation region for the probe diagnostics, the paper proposes a measuring method of electron density in residual plasma. The structure and principle of the method are analyzed. The probe structure and control system of the probe diagnostics are designed. The electron density of the residual plasma is measured by the single probe based on the dismountable vacuum chamber. The vacuum arcs development is observed by the high speed camera. The influence of the current magnitude and contact structure on the decay process of the residual plasma is investigated. Finally, the validity of the measurement method is verified by comparing with other diagnostic methods, which provides a low-cost and effective diagnostic method for future research on the micro-characteristics of vacuum circuit breakers.
		            2021,
		            33: 065014.
		             
	            	doi: 10.11884/HPLPB202133.210116 
   					
				
		        Abstract: 
The breaking capacity of vacuum circuit breakers limits its application in the field of high-voltage and high-current breaking. Obtaining plasma parameters in the arcing process is very important for improving the breaking capacity of VCB. The emission spectroscopy is used to diagnose the plasma parameters in the vacuum arc in this paper. The axial distribution of electron temperature, electron density, and spectral line intensity in the vacuum arc under different current amplitude conditions is studied. The relationship between the diffusion process of different particles in the vacuum arc and the diameter of the arc column is analyzed based on the high-speed pictures of the vacuum arc. The electron temperature is 8000−10 000 K, and the electron density is 1019−1020 m−3. The electron temperature and electron density gradually decrease from the cathode to the anode. The intensity of the copper atomic line is mainly concentrated at the two poles, while the intensity of the monovalent copper ion line gradually increases from the cathode to the anode. The radial distribution of the copper atomic line intensity presents a flat-top wave distribution, and the monovalent copper ion line intensity presents a Gaussion-like distribution. The spectral range of copper atoms is slightly larger than the diameter of the arc column, and the spectral range of monovalent copper ions is slightly smaller than the diameter of the arc column. The diffusion speed of the two particles is different.
		       
		        
		        
		        
			  
			The breaking capacity of vacuum circuit breakers limits its application in the field of high-voltage and high-current breaking. Obtaining plasma parameters in the arcing process is very important for improving the breaking capacity of VCB. The emission spectroscopy is used to diagnose the plasma parameters in the vacuum arc in this paper. The axial distribution of electron temperature, electron density, and spectral line intensity in the vacuum arc under different current amplitude conditions is studied. The relationship between the diffusion process of different particles in the vacuum arc and the diameter of the arc column is analyzed based on the high-speed pictures of the vacuum arc. The electron temperature is 8000−10 000 K, and the electron density is 1019−1020 m−3. The electron temperature and electron density gradually decrease from the cathode to the anode. The intensity of the copper atomic line is mainly concentrated at the two poles, while the intensity of the monovalent copper ion line gradually increases from the cathode to the anode. The radial distribution of the copper atomic line intensity presents a flat-top wave distribution, and the monovalent copper ion line intensity presents a Gaussion-like distribution. The spectral range of copper atoms is slightly larger than the diameter of the arc column, and the spectral range of monovalent copper ions is slightly smaller than the diameter of the arc column. The diffusion speed of the two particles is different.
		            2021,
		            33: 065015.
		             
	            	doi: 10.11884/HPLPB202133.210084 
   					
				
		        Abstract: 
Oxygen is a kind of indispensable component in graphite-electrode spark-gap switch, and it is used to oxidize the graphite vapor formed by the graphite electrode under the impact of high-temperature arcs to prevent the graphite vapor from condensing into solid powder after the arc is extinguished, thus to avoid damage to the switch. To increase the oxidation ratio of the graphite vapor, the influence of background gas composition and oxygen concentration on graphite oxidation reaction is studied in this paper. The effect of dilution gases N2, Ar, and He on characteristics of the oxidation reaction are studied. Meanwhile, on the basis of the traditional air-like gas (80%N2+20%O2), the carbon oxidation ratio in the case with 40% and 60% oxygen concentration are studied. According to the thermodynamic parameters and transport coefficients of different gases, the arc temperature characteristics are obtained through the magnetohydrodynamic calculation. The thermal energy intensity at the interface between the arc and the electrode is used as the basis for evaluating the mass loss rate of the graphite electrode. Experimental results show that as the oxygen concentration increases, the oxidation ratio of graphite vapor gradually increases. However when the oxygen concentration is higher than 40%, there is a risk of combustion of the graphite electrode. When the oxygen concentration is kept at 20%, the mass-loss rate of the electrode is smaller when Ar is used as the dilution gas, and the carbon vapor is oxidized more fully in the arc. This indicates that compared with the traditional insulation gas, replacing the dilution gas with Ar or increasing the oxygen concentration to around 40% can both improve the carbon-oxygen reaction efficiency and reduce the residual carbon impurities of the graphite-electrode spark-gap switch.
		       
		        
		        
		        
			  
			Oxygen is a kind of indispensable component in graphite-electrode spark-gap switch, and it is used to oxidize the graphite vapor formed by the graphite electrode under the impact of high-temperature arcs to prevent the graphite vapor from condensing into solid powder after the arc is extinguished, thus to avoid damage to the switch. To increase the oxidation ratio of the graphite vapor, the influence of background gas composition and oxygen concentration on graphite oxidation reaction is studied in this paper. The effect of dilution gases N2, Ar, and He on characteristics of the oxidation reaction are studied. Meanwhile, on the basis of the traditional air-like gas (80%N2+20%O2), the carbon oxidation ratio in the case with 40% and 60% oxygen concentration are studied. According to the thermodynamic parameters and transport coefficients of different gases, the arc temperature characteristics are obtained through the magnetohydrodynamic calculation. The thermal energy intensity at the interface between the arc and the electrode is used as the basis for evaluating the mass loss rate of the graphite electrode. Experimental results show that as the oxygen concentration increases, the oxidation ratio of graphite vapor gradually increases. However when the oxygen concentration is higher than 40%, there is a risk of combustion of the graphite electrode. When the oxygen concentration is kept at 20%, the mass-loss rate of the electrode is smaller when Ar is used as the dilution gas, and the carbon vapor is oxidized more fully in the arc. This indicates that compared with the traditional insulation gas, replacing the dilution gas with Ar or increasing the oxygen concentration to around 40% can both improve the carbon-oxygen reaction efficiency and reduce the residual carbon impurities of the graphite-electrode spark-gap switch.
		            2021,
		            33: 065016.
		             
	            	doi: 10.11884/HPLPB202133.210100 
   					
				
		        Abstract: 
In this paper, plasma gradient etching of alumina/epoxy resin surface is realized by combining plasma surface etching method and gradient modification method. Scanning electron microscope (SEM), surface profiler, X-ray photoelectron spectroscopy (XPS), high resistance meter, flashover voltage and surface potential measurement system were used to compare the surface morphology, chemical elements and electrical parameters of untreated, uniform plasma etching and gradient plasma etching samples, and the mechanism of improving the surface flashover performance by gradient plasma etching was studied. The results show that plasma surface etching can improve the surface roughness of epoxy resin, increase the surface conductivity, shallow the trap energy level and increase the surface flashover voltage. The enhancement of flashover voltage by plasma gradient etching is better than that by plasma uniform etching, and the maximum increase is 26.5% compared with the untreated sample. The analysis shows that the electric field distribution of the needle-needle electrodes can be separated into the high field intensity region (near the triple junction) and the low field intensity region (between the electrodes). Speeding up the surface charge dissipation rate in the high field intensity region and properly controlling the surface charge migration rate in the low field intensity region can improve the overall surface flashover performance of the sample to the greatest extent.
		       
		        
		        
		        
			  
			In this paper, plasma gradient etching of alumina/epoxy resin surface is realized by combining plasma surface etching method and gradient modification method. Scanning electron microscope (SEM), surface profiler, X-ray photoelectron spectroscopy (XPS), high resistance meter, flashover voltage and surface potential measurement system were used to compare the surface morphology, chemical elements and electrical parameters of untreated, uniform plasma etching and gradient plasma etching samples, and the mechanism of improving the surface flashover performance by gradient plasma etching was studied. The results show that plasma surface etching can improve the surface roughness of epoxy resin, increase the surface conductivity, shallow the trap energy level and increase the surface flashover voltage. The enhancement of flashover voltage by plasma gradient etching is better than that by plasma uniform etching, and the maximum increase is 26.5% compared with the untreated sample. The analysis shows that the electric field distribution of the needle-needle electrodes can be separated into the high field intensity region (near the triple junction) and the low field intensity region (between the electrodes). Speeding up the surface charge dissipation rate in the high field intensity region and properly controlling the surface charge migration rate in the low field intensity region can improve the overall surface flashover performance of the sample to the greatest extent.
		            2021,
		            33: 065017.
		             
	            	doi: 10.11884/HPLPB202133.210021 
   					
				
		        Abstract: 
To improve the effect of plasma on the surface modification of polymer materials and optimize the hydrophilic treatment conditions, the hydrophilic modification of polypropylene (PP) by AC and nanosecond pulse argon dielectric barrier discharge (DBD) was studied. The discharge characteristics of AC DBD and nanosecond pulse DBD were systematically compared by using electrical and optical diagnostic.The results show that the DBD excited by nanosecond power supply has higher instantaneous discharge power, better discharge uniformity and higher energy efficiency. The optimal content of H2O in hydrophilic treatment of PP was determined by measuring the intensity of OH. The hydrophilic modification of PP was carried out by using DBD driven by AC and nanosecond pulse power supply, respectively. The water contact angle of PP was measured under different conditions. The surface physical morphology and chemical composition of PP were analyzed by atomic force microscopy (AFM) and Fourier transform infrared spectroscopy (FTIR).The result shows that, after DBD treatment, the water contact angle of PP surface was obviously reduced, the surface roughness increased significantly, and the number of hydrophilic oxygen-containing groups, hydroxyl (−OH) and carbonyl groups (C=O), increased significantly. Compared with the AC power supply treatment, the modification effect of nanosecond pulse DBD treatment is obviously better, by which the water contact angle of the treated material surface is about 5° lower and the surface roughness is larger. In addition, the water contact angle of PP was further reduced about 4° and the surface roughness was significantly improved with the addition of water vapor. The results have significant value for optimizing the experimental conditions and treatment effect of surface modification of DBD polymer materials.
		       
		        
		        
		        
			  
			To improve the effect of plasma on the surface modification of polymer materials and optimize the hydrophilic treatment conditions, the hydrophilic modification of polypropylene (PP) by AC and nanosecond pulse argon dielectric barrier discharge (DBD) was studied. The discharge characteristics of AC DBD and nanosecond pulse DBD were systematically compared by using electrical and optical diagnostic.The results show that the DBD excited by nanosecond power supply has higher instantaneous discharge power, better discharge uniformity and higher energy efficiency. The optimal content of H2O in hydrophilic treatment of PP was determined by measuring the intensity of OH. The hydrophilic modification of PP was carried out by using DBD driven by AC and nanosecond pulse power supply, respectively. The water contact angle of PP was measured under different conditions. The surface physical morphology and chemical composition of PP were analyzed by atomic force microscopy (AFM) and Fourier transform infrared spectroscopy (FTIR).The result shows that, after DBD treatment, the water contact angle of PP surface was obviously reduced, the surface roughness increased significantly, and the number of hydrophilic oxygen-containing groups, hydroxyl (−OH) and carbonyl groups (C=O), increased significantly. Compared with the AC power supply treatment, the modification effect of nanosecond pulse DBD treatment is obviously better, by which the water contact angle of the treated material surface is about 5° lower and the surface roughness is larger. In addition, the water contact angle of PP was further reduced about 4° and the surface roughness was significantly improved with the addition of water vapor. The results have significant value for optimizing the experimental conditions and treatment effect of surface modification of DBD polymer materials.
		            2021,
		            33: 065018.
		             
	            	doi: 10.11884/HPLPB202133.210106 
   					
				
		        Abstract: 
As a common insulating material, epoxy resin under high-voltage direct current electric field is prone to accumulate charges on its surface, causing electric field distortion, resulting in a decrease in the insulation performance of the material and affecting the reliability of the power system. To improve the charge characteristics and insulation properties of the gas-solid interface, based on the atmospheric pressure plasma jet technology, plasma gradient silicon deposition were conducted on the epoxy resin surface. The surface physical and chemical properties, surface conductivity, surface charge dissipation and creeping pressure characteristics of epoxy resin before and after modification were measured by multiple parameters. The experimental results show that the gradient modification has a significant effect on the physical morphology and chemical composition of the material surface. The conductivity of different regions has achieved a gradient distribution, which speeds up the dissipation of surface charges and reduces the surface trap energy level; The flashover voltage of the subsequent samples can increase by 30.16% along the surface. In summary, the plasma surface gradient silicon deposition treatment can improve the electrical properties of the epoxy resin surface, and has broad application prospects in the insulation design of high-voltage DC equipment.
		       
		        
		        
		        
			  
			As a common insulating material, epoxy resin under high-voltage direct current electric field is prone to accumulate charges on its surface, causing electric field distortion, resulting in a decrease in the insulation performance of the material and affecting the reliability of the power system. To improve the charge characteristics and insulation properties of the gas-solid interface, based on the atmospheric pressure plasma jet technology, plasma gradient silicon deposition were conducted on the epoxy resin surface. The surface physical and chemical properties, surface conductivity, surface charge dissipation and creeping pressure characteristics of epoxy resin before and after modification were measured by multiple parameters. The experimental results show that the gradient modification has a significant effect on the physical morphology and chemical composition of the material surface. The conductivity of different regions has achieved a gradient distribution, which speeds up the dissipation of surface charges and reduces the surface trap energy level; The flashover voltage of the subsequent samples can increase by 30.16% along the surface. In summary, the plasma surface gradient silicon deposition treatment can improve the electrical properties of the epoxy resin surface, and has broad application prospects in the insulation design of high-voltage DC equipment.
		            2021,
		            33: 065019.
		             
	            	doi: 10.11884/HPLPB202133.210102 
   					
				
		        Abstract: 
The modification effect of plasma on the material will be weakened with the storage time, that is, it shows a certain timeliness, which limits further development of plasma modification technology. To explore ageing behavior of plasma dielectric barrier discharge (DBD) fluorinated epoxy resin, the surface fluorination of epoxy resin was realized by plasma dielectric barrier discharge. Scanning electron microscopy (SEM), surface profilometer, X-ray photoelectron spectroscopy (XPS), contact angle tester, high resistance meter, flashover voltage and surface potential testing system were used to characterize the physical morphology, chemical composition and electrical properties of epoxy resin surface before modification as well as being placed in 25 ℃ aging box for 0−30 d after modification. The experimental results show that fluoride grafting on the surface of epoxy resin is realized by DBD fluorination modification, which reduces the surface energy, surface resistivity and trap level of epoxy resin, thus speeds up the surface potential decay rate and increases the flashover voltage along the surface. After storage of 30 d, the fluorine content decreased, the surface energy increased, the attenuation rate of surface potential slowed down slightly, and the flashover voltage also decreased, but it is still higher than that of the untreated sample.
		       
		        
		        
		        
			  
			The modification effect of plasma on the material will be weakened with the storage time, that is, it shows a certain timeliness, which limits further development of plasma modification technology. To explore ageing behavior of plasma dielectric barrier discharge (DBD) fluorinated epoxy resin, the surface fluorination of epoxy resin was realized by plasma dielectric barrier discharge. Scanning electron microscopy (SEM), surface profilometer, X-ray photoelectron spectroscopy (XPS), contact angle tester, high resistance meter, flashover voltage and surface potential testing system were used to characterize the physical morphology, chemical composition and electrical properties of epoxy resin surface before modification as well as being placed in 25 ℃ aging box for 0−30 d after modification. The experimental results show that fluoride grafting on the surface of epoxy resin is realized by DBD fluorination modification, which reduces the surface energy, surface resistivity and trap level of epoxy resin, thus speeds up the surface potential decay rate and increases the flashover voltage along the surface. After storage of 30 d, the fluorine content decreased, the surface energy increased, the attenuation rate of surface potential slowed down slightly, and the flashover voltage also decreased, but it is still higher than that of the untreated sample.
		            2021,
		            33: 065020.
		             
	            	doi: 10.11884/HPLPB202133.210051 
   					
				
		        Abstract: 
In this paper, discharge characteristics, plasma generation and propagation characteristics of pulsed metal ion plasma thruster (PMIPT) using different anode structures are reviewed. First of all, a PMIPT using an exposed anode structure with an insulating sleeve (EASIS) is discussed. Differences in plasma generation and propagation characteristics between the EASIS-PMIPT and the PMIPT using an exposed anode structure without an insulating sleeve (EAS-PMIPT) are analyzed. Results show that the insulating sleeve blocks radial diffusion of generated charged particles near cathode, and improves the ejection performance of plasma. In addition, it is found that a large number of charged particles enters anode during discharge with an exposed anode (EA). Then, a PMIPT using an insulated anode structure (IAS) is discussed. Results indicate that peak density of plasma ejected along axial direction of insulating sleeve is further increased by using an IAS. However, compared with the PMIPT with an EA, production of plasma is reduced. Furthermore, a PMIPT using an IAS with a micropore (IASM) is discussed. It is revealed that, compared with the PMIPT with an EA, plasma peak density and propagation velocity when adopting an IASM increase by 12.6 times and 3.9 times respectively. Eventually, PMIPT structures with a spiral anode structure (SpAS) and a multi-anode structure (MAS) are discussed respectively. Results show that for the two thrusters, directional ejection performance of plasma plumes are effectively improved by using the self-magnetic field and electric field during discharge respectively. This study will provide support for improvement of metal plasma ejection performance and the design of a PMIPT.
		       
		        
		        
		        
			  
			In this paper, discharge characteristics, plasma generation and propagation characteristics of pulsed metal ion plasma thruster (PMIPT) using different anode structures are reviewed. First of all, a PMIPT using an exposed anode structure with an insulating sleeve (EASIS) is discussed. Differences in plasma generation and propagation characteristics between the EASIS-PMIPT and the PMIPT using an exposed anode structure without an insulating sleeve (EAS-PMIPT) are analyzed. Results show that the insulating sleeve blocks radial diffusion of generated charged particles near cathode, and improves the ejection performance of plasma. In addition, it is found that a large number of charged particles enters anode during discharge with an exposed anode (EA). Then, a PMIPT using an insulated anode structure (IAS) is discussed. Results indicate that peak density of plasma ejected along axial direction of insulating sleeve is further increased by using an IAS. However, compared with the PMIPT with an EA, production of plasma is reduced. Furthermore, a PMIPT using an IAS with a micropore (IASM) is discussed. It is revealed that, compared with the PMIPT with an EA, plasma peak density and propagation velocity when adopting an IASM increase by 12.6 times and 3.9 times respectively. Eventually, PMIPT structures with a spiral anode structure (SpAS) and a multi-anode structure (MAS) are discussed respectively. Results show that for the two thrusters, directional ejection performance of plasma plumes are effectively improved by using the self-magnetic field and electric field during discharge respectively. This study will provide support for improvement of metal plasma ejection performance and the design of a PMIPT.
		            2021,
		            33: 065021.
		             
	            	doi: 10.11884/HPLPB202133.210118 
   					
				
		        Abstract: 
High purity graphite with purity above 99.9%, as an industrial raw material, plays an important role in the high-tech field. The existing physical and chemical methods of graphite purification technology has high cost serious damage to equipment and environment by acid and alkali, and complex processes. Thus the development of an excellent and effective graphite purification technology has become a research hotspot in recent years at home and abroad. A purification method of flaky graphite by arc plasma is established in this paper. The characteristics of high temperature which can be produced quickly by using arc plasma is used to treat the flaky graphite samples with a purity of 94.18% from Jixi City of Heilongjiang Province, under high temperature. The results show that the optimal discharge parameters are air flow rate 25 L/min, current 400 A and power 10 kW. At this point, the surface temperature of the arc plasma is up to 3350 ℃. Scanning electron microscope is used to compare the microstructure of graphite samples before and after arc processing to find the characteristics of shredding and breaking of graphite samples. The graphite purity and impurities are analysed according to national standard chemical analysis method of GB/T 3521 2008. After arc treatment, the purity of graphite is increased to 99.21%.
		       
		        
		        
		        
			  
			High purity graphite with purity above 99.9%, as an industrial raw material, plays an important role in the high-tech field. The existing physical and chemical methods of graphite purification technology has high cost serious damage to equipment and environment by acid and alkali, and complex processes. Thus the development of an excellent and effective graphite purification technology has become a research hotspot in recent years at home and abroad. A purification method of flaky graphite by arc plasma is established in this paper. The characteristics of high temperature which can be produced quickly by using arc plasma is used to treat the flaky graphite samples with a purity of 94.18% from Jixi City of Heilongjiang Province, under high temperature. The results show that the optimal discharge parameters are air flow rate 25 L/min, current 400 A and power 10 kW. At this point, the surface temperature of the arc plasma is up to 3350 ℃. Scanning electron microscope is used to compare the microstructure of graphite samples before and after arc processing to find the characteristics of shredding and breaking of graphite samples. The graphite purity and impurities are analysed according to national standard chemical analysis method of GB/T 3521 2008. After arc treatment, the purity of graphite is increased to 99.21%.
 
		         
					
 Email alert
Email alert RSS
RSS 
				  
	
	