2021 Vol. 33, No. 8
Wavefront sensing is an important part of adaptive optics system, which plays a key role in the fields of ground-based telescopes, laser transmission in atmosphere, wireless optical communication, laser nuclear fusion, and freeform surface optical measurement etc. Meanwhile, as a general advanced technology, deep learning has made revolutionary progress in many fields such as computer vision, natural language processing and so on. Using deep learning method to improve the wavefront sensor in adaptive optics system to achieve more accurate wavefront detection and adapt to more complex application scenarios is the development trend of adaptive optics, and also a new topic in the field of deep learning. This paper, introduces the application status of deep learning in adaptive optics wavefront sensing in detail. It also analyzes the research characteristics of different types of wavefront sensors, such as phase retrieval wavefront sensor and Shack-Hartmann wavefront sensor, and makes a summary at the end.
The problem of high-power laser beams propagating through the atmosphere will be encountered in applications, such as the ground-based laser space-debris cleaning, and transportation of the laser radiation produced by solar power from space orbits to the ground. In such applications, the laser power is well above the critical power for self-focusing in air. Therefore, it is important to study the self-focusing effect of high-power laser beams propagating through the inhomogeneous atmosphere. This paper reviews the research progress on self-focusing effect of high-power laser beams propagating upwards or downwards in the inhomogeneous atmosphere. The laser beam propagation model, the theoretical model, and the numerical and analytical methods are introduced. The influence of the self-focusing on the beam propagation characteristics and the beam quality is introduced, and the methods of optimizing the beam quality on the target are summarized. Furthermore, the effects of group-velocity dispersion and atmospheric turbulence on the beam quality are also introduced. Finally, some interesting questions for further research are put forward.
In chronological order, this paper summarizes the research progress and technical classification of adaptive optics technology in the application of wireless optical communication system at home and abroad. Then it introduces the work of Xi’an University of Technology in this field, including adaptive optics system with wavefront measurement, adaptive optics system with wavefront-less measurement, wavefront correction of liquid crystal spatial light modulator, wavefront correction of the combination of tilt mirror and deformable mirror, spatial optical fiber coupling adaptive optical wavefront correction, etc. The adaptive optics technology can effectively correct the distorted wavefront caused by atmospheric turbulence and improve the coupling efficiency and communication performance in wireless optical communication. Although these methods are not perfect in theoretical analysis and engineering practice, they can be regarded as useful exploration in this field.
In recent years, Adaptive Optics (AO) system is developing towards miniaturization and low cost. Because of its simple structure and wide application range, wavefront sensorless (WFSless) AO system has become a research hotspot in related fields. Under the condition that the hardware environment is determined, the system control algorithm determines the correction effect and convergence speed of WFSless AO system. The emerging deep learning and artificial neural network have injected new vitality into the control algorithms of WFSless AO system, and further promoted the theoretical and practical development of WFSless AO. On the basis of summarizing the previous control algorithms of WFSless AO system, the applications of convolution neural network (CNN), long-term memory neural network (LSTM) and deep reinforcement learning in WFSless AO system control in recent years are comprehensively introduced, and characteristics of various deep learning models in WFSless AO system are summarized. Applications of WFSless AO system in astronomical observation, microscopy, ophthalmoscopy, laser telecommunication and other fields are outlined.
Beam scanning technology based on optical phased arrays has great potential for applications in the fields of LIDAR, space optical communication, and optical switching. Among them, the microlens array optical phased array can modulate the tilted phase of multiple beams simultaneously through the relative displacement of micrometer scale between microlens arrays, so as to achieve large angle beam scanning, with the advantages of large emitting aperture, simple structure, small size, micro-inertia, etc. Several well-known institutions at home and abroad have conducted research on the microlens array optical phased array. This paper first introduces the scanning principle of microlens array optical phased array, then elaborates on its development status and application, and finally gives an outlook on the trend of its development.
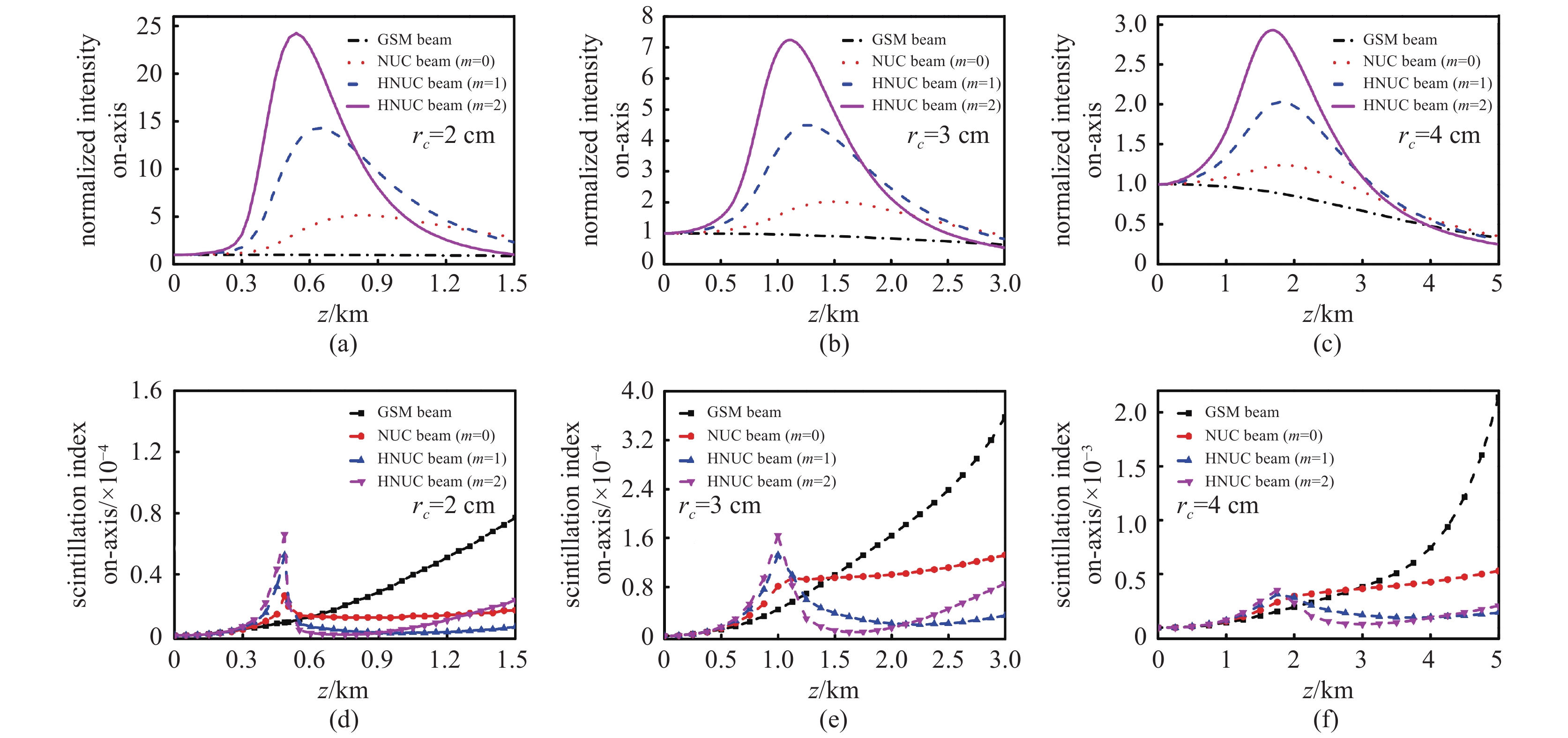
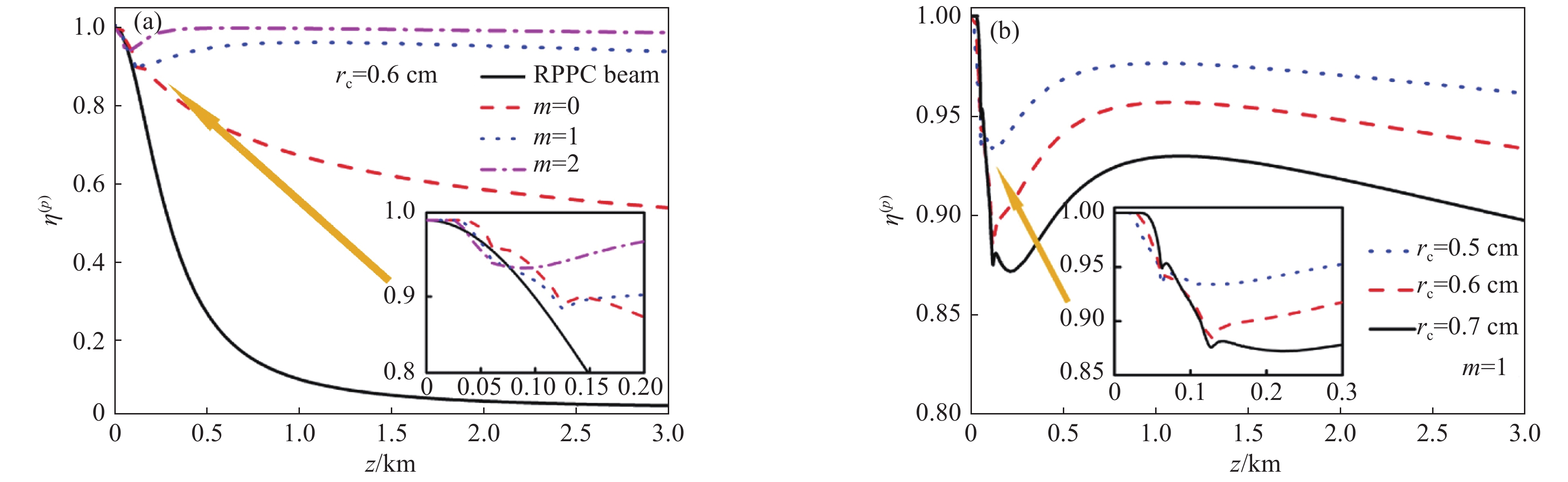
In recent years, optical fields manipulation has become a hot research topic and optical coherence manipulation can induce many novel physical effects. The laser beams with special correlation structure obtained by coherence control not only exhibit peculiar propagation characteristics, but also can effectively reduce the negative effects induced by atmospheric turbulence, such as intensity degradation, beam wander, scintillation and depolarization. Thus, these beams have applications prospects in free-space optical communications. In this paper, the basic theory of the construction of special correlation structure beams and the research methods as well as their development history are reviewed, and the propagation properties of special correlation structure beams in turbulent atmosphere in recent years are illustrated as examples.
Solid-state zigzag tube laser (SSZTL) is a new type of solid-state laser source with structural compactness, high gain, as well as direct transmitting. To solve the problem that the beam quality of the tube laser significantly degrades during long-distance propagation in atmosphere, the method for improving the beam quality of the tube laser based on the right-angle conical deformable mirror have been proposed. The beam correction model and the beam propagation model in atmosphere of the tube laser have been built up and the beam quality of the tube laser after long-distance propagation in atmosphere have been analyzed. Firstly, a scheme for obscuration ratio transformation of annular tube lasers have been provided, based on which the matching of the small-aperture large-obscuration-ratio tube laser and the large-aperture small-obscuration-ratio Cassegrain system have been accomplished. Then, the impacts of the beam quality of the tube laser source, the atmosphere turbulence effect and the thermal blooming effect on the propagation characteristics of SSZTLs have been numerically studied, and the mechanism of the beam quality degradation of the tube laser in the procedure of the long-distance propagation in atmosphere have been revealed. To improve the beam quality of the tube laser in far field, the right-angle conical deformable mirror have been used to correct the aberrations of the tube laser source and the phase distortions induced by the turbulence and thermal blooming effects in atmosphere. The results show that the beam quality of the laser source have been significantly improved after correction. Also, the Strehl ratio in far field have been obviously improved, especially used together with conventional deformable mirror.
Isoplanatic angle is an important parameter in atmospheric optics field, and it is important for astronomical site optics selection, and evaluation of adaptive compensation for effects of atmospheric turbulence. Past measurement techniques of isoplanatic angle in the world is analyzed, and fundamental measurement principle of isoplanatic angle is introduced. A three annuli mirror was designed and its usability and precision has been verified. Primary specifications was put forward and a prototype has been developed for high precision measurement of isoplanatic angles. The results show that the prototype an measure isoplanatic angle day and night.
The structure of optical path coupling transmission system between platforms and the realization method for optical axis stability control are introduced in this paper. The coupling correction system and detection control system are designed, and the dynamic range and modal simulation of the correction system are carried out, followed by the developent of the beam coupling transmission and control system after design optimization. After testing the performance parameters of the fast mirror, we carried out the platform coupling transmission and control experiments. When the shaking table was loaded with 0 dB vibration spectrum and the control system was open-loop, the X-axis jitter was 10.9″@RMS and the Y-axis jitter was 102.3″@RMS. When closed-loop, the X-axis jitter was 0.75″@RMS and the Y-axis jitter was 1.11″@RMS. Spectrum analysis shows that when the fast mirror optical axis coupling system is closed-loop, it has a good suppression effect on the optical axis jitter within 28 Hz. The suppression ratio is from −40 to −30 dB in the frequency range of 2~6 Hz with large open-loop residual error. The experimental results prove that the optical axis coupling control system has a good effect of suppressing and stabilizing the beam jitter in the process of beam transmission between platforms.
Phase diversity technology can directly use the intensity information of two or more images to reconstruct the wavefront information and high-resolution image of the target. It has the advantages of simple optical setup, low cost and suitable for extended targets. It has been widely used in system aberration detection and target image reconstruction of telescopes. The key point of phase diversity wavefront sensing is to solve the optimization problem of nonlinear cost function. It needs to avoid falling into local extremum and reduce the calculation time to meet the demand of real-time sensing of dynamic wavefronts. Meanwhile, regularization and denoising are usually needed to improve the quality of reconstructed image. This paper mainly introduces the basic principle of phase diversity technology, as well as the research progresses in recent years, and prospects for future development of this technology.
Detecting wavefront phase information is the key to realize adaptive optics wavefront compensation. Using convolutional neural network (CNN) instead of wavefront sensor for wavefront reconstruction, the system can be simple and easy to implement, and the reconstruction process is fast and real-time without iteration. To extract the wavefront features from the far field accurately, CNN needs to use a large number of samples for training in advance. In the study, according to the corresponding relationship between Zernike aberration coefficient of orders 4 to 30 and its far-field intensity, the sample data set was simulated, CNN was trained to predict the Zernike aberration coefficient of the distorted wavefront from an input far-field image, then reconstruct the original wavefront. The experimental results show that this method can restore the phase information of wavefront quickly and in real time. Compared with the original wavefront, the reconstructed wavefront has higher wavefront coincidence and smaller residual. It is expected to realize the closed-loop correction in practical adaptive optics systems.
The analysis of the lightning overvoltages of the distribution network is related to safe and reliable power supply of the power system, which needs to be paid attention to. However, the structure of the distribution network is complex, and an effective analysis is difficult to achieve through the use of classic transmission line equations. Therefore, in this paper, the electromagnetic topology method, which is suitable for the synchronous solution of the electromagnetic response at the junctions of the complex system, is introduced into the analysis of the lightning overvoltages in the distribution network. First, the BLT equation suitable for transmission line networks is provided and the construction methods of its elements are shown; then, the analysis process of electromagnetic topology is demonstrated in detail with an example of a complex distribution network, and the solution steps of the scattering matrix of the ideal junction are shown emphatically. The results show that the electromagnetic topology method is applicable to the analysis of the lightning overvoltages at the junction of the distribution network, as the calculation results are quite consistent with the results of CST, and the time consumed is much less than CST.
Sensitivity analysis of cable crosstalk to uncertain parameters is studied using stochastic reduced order model (SROM), and then the uncertainty of cable crosstalk is predicted. To verify the prediction, a three-conductor transmission line (TL) experiment system is established. Both near end and far end crosstalk (NEXT and FEXT) are tested. Then the measurement uncertainty is deduced according to the standard GB/Z 6113.401—2018/CISPR/TR 16-4-1:2009. Comparing the predicted uncertainty to the measured one, it is found that they have the same variation trends with frequency. Moreover, the measured uncertainty is within the range of the prediction. Therefore, the uncertainty prediction using SROM can be applied to predict the test uncertainty, which is instructive to the crosstalk measurement for both analysis model verification and experimental investigation.
Electron cooling method is used for the High Intensity heavy-ion Accelerator Facility (HIAF), in order to reduce the beam emittance and momentum spread of heavy ion beams, hence to improve the accuracy and luminosity of nuclear physics and atomic physics experiments. The magnetic field homogeneity of the cooling section is the key parameter related to the cooling effect. A new type of cooling section solenoid composed of several coils was used in the HIAF electron cooling device to produce a high parallelism magnetic field. In this paper, a device for the magnetic field axis measurement of high-precision coils is presented. The geometric symmetrical axis of the coil is measured by a positioning device. The radial and axial magnetic field distribution in the center plane of the coil is measured by the rotating Hall probes. Finally, the relative angle between the coil magnetic field axis and the geometric symmetrical axis is calculated by the measurement results. The accuracy of the measured angle is within ±0.10 mrad. The measured angle of the prototype coil is (1.28±0.10) mrad, which satisfies the physics requirement.
The interferometric measurement of the transverse beam size based on synchrotron radiation is a non-intercepting high precision measurement method. Compared with the imaging method, the interferometric method can measure smaller beam size and get better resolution. It is expected to obtain submicron resolution at shorter measurement wavelength, so it is widely used in synchrotron radiation sources. The upgraded scheme of current interference device in Hefei Light Source HLS-II is presented in this paper. It is proposed to replace the first focusing lens in the original interference light path with an RC structure focusing mirror, and the second single lens with a doublet lens. The design goal of this paper is to reduce dispersion and geometric aberration without changing the optical axis of the optical path, so as to improve the imaging quality of the optical path. The geometrical optical path design is used to evaluate the imaging quality of the optical path, and physical optical simulation is performed to obtain the interference fringes of the measurement system. The simulation results show that the radius of Airy spot is reduced by about 35%, the root mean square radius of dot array is reduced by about 99%, the wavefront difference is reduced by about 75%, and the cutoff frequency of MTF function is increased by about 65%, using a focusing mirror to replace the original focusing lens can greatly improve the image quality of the optical path.
The dynamic characteristic parameters of the Marx generator can be obtained by modal analysis. In this paper, the simulation analysis and modal experiment of the 32-stage modular Marx generator are conducted to evaluate its mechanical environment adaptability. Firstly, the finite element simulation model of the modular Marx generator is constructed, and the initial vibration modes are acquired. Secondly, under free boundary condition, the integral modal experiment, local modal experiment and transfer characteristic experiment are conducted respectively. In the end, the integral and local modal parameters are calculated. Results show that the 32-stage modular Marx generator has a first-order torsion at 23.58 Hz; the inherent frequency of local structure of the Marx generator is relatively high; the vibration transmissibility scopes on x, y and z axis are respectively 5−15, 6−10 and 10−35. These conclusions provide reference to design Marx generator in later engineering phase.
The performance of the neutral beam injection arc power supply seriously affects the stability of the arc discharge and the efficiency of the neutral beam heating. HL-2A device arc power supply adopts linear power supply technology based on thyristor phase-controlled voltage regulation and 12-pulse uncontrolled rectification; HL-2M test beam line device arc power supply adopts switching power supply technology based on super capacitor and IGBT full-controlled rectification. To optimize the performance of the power system, improve the arc discharge stability, the influence of sampling frequency on the stability of arc discharge is studied. By modeling the HL-2A and HL-2M power supply control systems, MATLAB is used to simulate the step response performance of the HL-2M arc current power supply control system and the HL-2A control system performance under different sampling frequencies, and analyze the impact of the sampling frequency on the system performance. Then, the ion source test platform is used to conduct arc discharge experiments at different sampling frequencies to verify the simulation results, and the experimental results are consistent with the simulation results. It is verified by experiments that the sampling frequency has great influence on the stability of arc discharge, while in the frequency adjustable range, increasing the sampling frequency can improve the performance of the control system and optimize the stability of arc discharge; the reason for the unstable arc discharge of HL-2A is the conduction characteristics of the thyristor and the filter circuit.
A special readout electronic system was developed to meet the needs of the 3He multiwire proportional chamber detector (MWPC) of multi-functional reflectance spectrometer (MR) of China Spallation Neutron Source (CSNS) . The system is mainly composed of core preamplifier board and trigger fan out board. Six preamplifier boards are used to digitize 142 analog signals of the detector. The neutron information is screened through the discrimination mechanism, and the effective neutron cases are packaged and sent to the back end. The trigger fan out board provides the T0 signal and trigger signal arriving at the same time to ensure the alignment of data. The readout electronics system has been tested in laboratory and beam conditions respectively. The test results show that the performance is better than the design requirements. At present, the MWPC detector has been successfully installed in the field of MR spectrometer, and has begun to operate stably.
Using the constructed electric field trap, Penning ion trap devices can constrain ions and are already applied in some research fields such as nuclear physics in which the mass of ions can be measured exactly and quantum computing in which the Penning traps can be a tool to story quantum bits. ANSYS, a finite element analysis (FEA) program, was employed to do the electric field calculations for Penning traps. And then, with the electric field from FEA program, we used the method of Runge_Kutta_Fehlberg to do simulations for the ion trapping process, and finally got the accurate results of ion tracking. Additionally, we carried out tracking simulations for practical traps which have ring electrodes with shapes different from the ideal Penning traps, and achieved similar simulation results. The way of the electric field calculation by FEA method, and the workflow for ion tracking will help a lot to build and run Penning traps and similar devices.
 
		         
					
 Email alert
Email alert RSS
RSS 
				  
	
	