2021 Vol. 33, No. 9
A short wavelength of 780 nm semiconductor laser has been designed and fabricated, and the mode locking by external cavity feedback has been studied. The epitaxial layers were prepared by the metal organic chemical vapor deposition technology. GaAsP and GaInP were used as the quantum well and waveguide layer, respectively. The confinement layers were AlGaInP material with low refractive index. Using the ultra-high vacuum cleavage and passivation technology, an amorphous ZnSe passivation layer was deposited on the laser cavity facets. For the original device the catastrophic optical damage (COD) occurred when the output power was 2.5 W. The ZnSe passivated device did not show COD phenomenon until 10.1 W. When the current was 10 A, the output power was 10.1 W, and the electro-optical conversion efficiency was 54%. Before and after the wavelength being locked by the volume Bragg grating (VBG), the full width at half maximum of the spectrum were 2.6 nm and 0.06 nm, respectively, and the wavelength range was about 230 pm through controlling the temperature of VBG.
The high-power solid-state laser facility puts forward stringent requirements for the additional wavefront distortion and attitude stability of the large-aperture mirror. While ensuring attitude stability, the peak-to-valley (PV) value of additional wavefront distortion caused by low-stress mounting is required to be less than λ/3 (wavelength λ=633 nm). In this paper, a mounting technology of large aperture mirror with three-point front support and eight point side fixing is proposed. The additional wavefront distortion caused by the mounting structure is simulated and experimentally studied. And the attitude stability of mirror under different working conditions is experimentally researched. The results show that the PV value of additional wavefront distortion introduced by this mounting method is about 23.6 nm, and the PV value of the mirror pointing under different conditions of vibration, shaking, and flipping is less than 50 μrad. The additional wavefront distortion and attitude stability meet the requirements of high-power lasers.
In view of the influence of ultrasonic vibration on the temperature field of laser ablation of aluminum surface, a three-dimensional numerical model was established, and the temperature field of ultrasonic vibration assisted laser ablation of metal aluminum was numerically simulated by using ANSYS software. By comparing the change of temperature field of two adjacent spots with time under different laser scanning speed and ultrasonic vibration frequency, it is found that the temperature, size and position of adjacent spots all change. The numerical results show that with the increase of laser scanning speed, the maximum temperature of laser scanning to the same position decreases, and the depth of craters becomes shallow. Due to the displacement of medium molecules caused by ultrasonic vibration, when the ultrasonic vibration frequency is 15 kHz, the temperature of the crater decreases significantly and the crater position is misplaced in the direction of vibration, which is conducive to the generation of a new laser action trajectory. These experimental results have a certain guiding effect on the design of ultrasonic vibration assisted laser control parameters.
We present a technical research experimentally demonstrating automated alignment on off-axis eight-pass laser amplifier. The mentioned technique aims to replace manual alignment method with automatic alignment system on the multipass complex laser amplifier, of which the efficiency, accuracy, and output beam quality would improve spectacularly. This technique realizes precise reference mark of pinhole spatial centre position in the spatial filter of the off-axis eight-pass laser amplifier via main laser lighting and image relaying system. The far-field facula is processed by edge detection so that the beam pointing centre is obtained. Based on the difference between the beam centre position and reference, we realizes closed loop automated alignment on the amplifier system via two-dimensionally controlling specific reflector frames. Additionally we indicate that the experimental results of the research fairly satisfied requirements for efficiency and accuracy of the off-axis eight-pass laser amplifier, and verified feasibility of the alignment technique applied in the amplifier as well.
A photonic crystal fiber (PCF) structure with low loss, broadband near-zero dispersion and high nonlinearity is proposed. The diameter of the air hole in the cladding increases gradually from the core to the cladding. The dispersion, loss and nonlinear characteristics of the PCF are analyzed by the multipole method through changing the air hole spacing, diameter and the number of air hole layers. Finally, the variation law of each characteristic is obtained and the optimal structure parameters of PCF are designed. The results show that the fiber has three zero dispersion points, the dispersion and dispersion slope is less than 0.27 ps·nm−1·km−1 and 0.008 ps·km−1·nm−2 respectively between 1.25 μm and 1.55 μm, and the loss is 0.021 dB/km at 1.55 μm. The nonlinear coefficients are 78.6 W−1·km−1, 60.4 W−1·km−1, and 38.2 W−1·km−1 at the femtosecond laser pumping wavelength 0.8 μm, 1.06 μm and 1.55 μm respectively.
A hermetically sealed X-ray framing tube with CsI photocathode is proposed to solve the problems of poor stability and low detection quantum efficiency brought by the open structure framing tube with Au photocathodes. Two microstrip photocathodes of 100 nm Au and 100 nm CsI are fabricated to compare their sensitivities under the same environmental conditions. The structure and the fabrication process of the sealed framing tube are described inthispaper. After fabrication, the sealed framing tube is tested to verify its performance. The measurement shows that exposure time of the proposed framing tube is 65 ps when gated by an ultrafast pulse with 200 ps width and −2.7 kV amplitude. At static mode, the image intensity of the CsI photocathode is 3.4 times that of the Au photocathode under the irradiation of non-monochromatic high energy X-ray source. Its static response intensity is reduced to 83% compared with the initial value after being stored in the laboratory air for 1000 h. These results indicate that the sealed framing tube with CsI photocathode can achieve higher detection efficiency and stability, and can effectively improve the quality and reliability of X-ray framing imaging.
To measure accurately the thickness and its distribution of capsule, the white light reflection spectrum measurement technology is studied. The basic principle of white light reflection spectrum and the corresponding data processing methods, such as the extreme value method, the peak fitting method and the interference order correction method, are analyzed. Based on the white light reflection spectrum and the precision rotary axis system, the measuring apparatus applied to determine the shell thickness and its distribution of the capsule is developed. The white light reflectance spectrum measurement, data processing and reliability verification experiments of GDP capsule are carried out and the circular thickness distribution curve of capsule is obtained. The research results show that the thickness and its distribution of capsule can be measured accurately by white light reflectance spectrum technology based on spectral peak fitting method and interference order correction method and the measurement error is less than 0.1 μm.
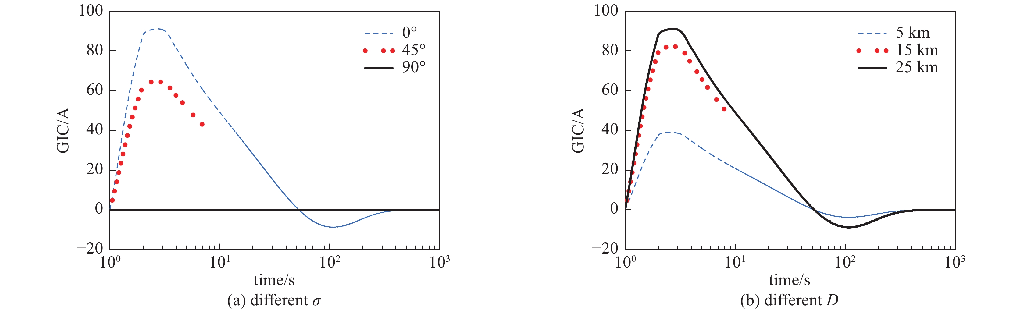
The late effect of high-altitude electromagnetic pulse (E3) will cause dramatic changes in the Earth's magnetic field and form a ground induced electric field. The induced electric field is equivalent to forming a loop between the excitation source and the ground long-distance conductor and the Earth, generating a geomagnetic induction current (GIC). GIC can cause DC bias of the transformer in the traction power supply system, thereby seriously threatening the safe operation of the traction power supply system. Based on the plane wave theory, the layered Earth conductivity model and the circuit model of the traction power supply system, this paper proposes the GIC algorithm of the traction power supply system under the action of E3, and takes the railway traction power supply system with return line direct power supply as an example. Calculating the system GIC situation shows that the GIC in the traction power supply system under this power supply mode is far greater than the withstand value of the transformer and other equipment in the system. The study provides support for further research on the effect of the traction power supply system under the action of E3, the selection of our domestic railway equipment, and disaster prevention.
To realize quick design of the gyro-klystron amplifiers, a kind of numerical simulation method based on the single mode self-consistent nonlinear theory of gyrotrons was investigated. The single mode theory can’t be used to match the disrupt boundary conditions of the input and the middle cavities of the gyro-klystrons, thus the input and the middle cavities can only be processed through single mode theory based on given field distributions. As for the output cavities with smooth boundaries at the power output ends, the single mode nonlinear simulation could be self-consistent. A millimeter wave two cavity gyro-klystron amplifier with reported detailed parameters was simulated using the developed single mode theory. The effectiveness of the numerical simulation was verified by comparing the simulation results with those obtained in a commercial particle in cell (PIC) simulation tool.
The large path loss limits the transmission distance of terahertz wireless communication in the atmosphere. To realize long-range transmission of terahertz waves between the ground and the satellite, the first and key step is to find low attenuation atmospheric transparent windows. In this paper, based on the characteristics of atmospheric distribution in China, atmospheric model (am) is used to compute and compare atmospheric absorption attenuation of terahertz waves in two representative cities, and obtain the most ideal ground-based site suitable for terahertz communication between the ground and the satellite in China. Subsequently, by means of real atmospheric data and layered transmission theory, the total path loss of terahertz communication between the ground and the satellite is calculated. Combined with the signal transmit power, antenna gain, Signal-to-Noise Ratio (SNR), noise power and the corresponding path loss threshold, the total usable bandwidth and atmospheric windows in the 10−15 THz frequency band are given. Moreover, by taking the High Altitude Platform as the terahertz communication relay link between the ground and the satellite, the usable atmospheric windows in the 1−15 THz frequency band with antenna gain of 0−100 dBi are given, which provide theoretical and numerical reference for the establishment of ground-satellite communication links and the selection of ground-based sites and communication frequency bands in China.
The commutation phenomena produced by cathode outgassing ionization is a possible factor to limit work performance of magnetically insulated transmission line oscillator (MILO), and also is the main obstacle to limit its repeat frequency. In this paper, physical modeling technology of MILO cathode outgassing ionization phenomena and three-dimensional particle simulation are presented. The relation between remaining gas of previous outgassing and pulse duration is analyzed. When the number of positive ions is greater than that of electrons the plasma caused by the ionization will rapidly reduce microwave output power.
To improve the anti-HEMP ability of very high frequency wireless communication systems, based on the vulnerability analysis results in the early stage, the design principle and indicators of the combination of transient discharge and steady-state filtering were determined, and the protector module sample was produced. The 20 ns/500 ns conduction injected waveform was used to carry out the pulsed conducted injection test for the protector sample. Compared with the original protector, the peak of the residual current was reduced by 60%, the start time was shortened by 75%, the action time was shortened by 80%, and the low-frequency energy limit of the injected waveform below 20 MHz was increased by 1 order of magnitude. A VHF wireless communication system was taken as the test product, and the protection validation test was carried out. The test illustrated that the residual current peak is controlled below 10 A, and the function and performance of the tested system are norm, which verifies the effectiveness of the designed protector module.
It is known that the ion channel can limit the radial expansion of the electron beam during long-range propagation in the plasma environment. Previous research typically concentrated on the interaction between the beam and plasma, but research on the establishment and transient properties may lay the foundation for understanding and using the ion channel during long-range propagation. In this study, a series of 2D particle-in-cell simulations is performed and an analytical model of ion channel oscillation is constructed according to the single-particle-motion. The results show that the ion channel established by relativistic electron beam in the plasma continues to oscillate periodically during the long-range propagation of relativistic electron beam. The beam electron density, initial beam radius and the plasma density can influence the dynamics of the ion channel oscillation. Choosing suitable beam parameters based on the various plasma environment can contribute to the improvement of the stability of the ion channel and further the beam quality.
Terahertz gyrotron can achieve high output power and has a certain frequency tuning range, thus it is an ideal high power terahertz radiation source for NMR spectroscopy system. A 263 GHz, TE5,2 fundamental harmonic frequency continuously tunable gyrotron is designed, the corresponding frequency tuning range can reach 1.4 GHz through adjusting the magnetic field. The unstable oscillation state of the designed gyrotron is studied by using the time domain multi-mode multi frequency self-consistent nonlinear theory. The results show that in the magnetic field range of low order axial mode, when the operating current is greater than the starting current, the continuously tuned gyrotron enters the stable state, where the high order axial mode is suppressed, and the output power of TE5,2 remains unchanged with time. When the current increases, the competition between axial modes causes the gyrotron to enter the unstable oscillation state from the stable state, the output power of TE5,2 oscillates with time and the interaction efficiency decreases greatly. With the further increase of current, the gyrotron returns to another stable state different from that of low current. It is also found that the initial current increases with the increase of magnetic field. The research of this paper has a certain guiding significance for the development of continuously tuned THz gyrotron for DNP-NMR applications.
Rapid growth of machine learning techniques has arisen over last decades, which results in wide applications of machine learning for solving various complex problems in science and engineering. In the last decade, machine learning and big data techniques have been widely applied to the domain of particle accelerators and a growing number of results have been reported. Several particle accelerator laboratories around the world have been starting to explore the potential of machine learning the processing the massive data of accelerators and to tried to solve complex practical problems in accelerators with the aids of machine learning. Nevertheless, current exploration of machine learning application in accelerators is still in a preliminary stage. The effectiveness and limitations of different machine learning algorithms in solving different accelerator problems have not been thoroughly investigated, which limits the further applications of machine learning in actual accelerators. Therefore, it is necessary to review and summarize the developments of machine learning so far in the accelerator field. This paper mainly reviews the successful applications of machine learning in large accelerator facilities, covering the research areas of accelerator technology, beam physics, and accelerator performance optimization, and discusses the future developments and possible applications of machine learning in the accelerator field.
To meet the requirements of Hefei Advanced Light Facility (HALF) for high quality injection beam, a photocathode RF gun is developed as the electron source of the injector in the R&D project. To obtaining an electron beam with high qualities, it is necessary to carry out experimental research on drive laser shaping and transport system. For suppressing the beam emittance growth caused by space charge force, the temporal pulse shape is modified by using birefringent crystals, while an aperture is used for spatial pulse shaping. An optical image transport system is designed to achieve high stability of the laser beam position on the photocathode. Detailed design of the optical system is presented in this paper. The experimental result shows that a quasi uniform distribution in the three-dimensional space of laser pulse is obtained, and the laser beam position jitter on the photocathode is less than 4 µm. The performance of the laser pulse meets the experiment requirements.
Electron source generates electron bunch and dominates the electron beam quality for an accelerator. We put forward a novel mechanism of electron source in this paper. A great amount of hot electrons with several hundred keV can be generated during the interaction process between high power laser and metal wire, and some of them fly forward along the wire, guided by EM field. We generate electron beam and measure beam parameters downstream the Au wire, W wire and Cu wire experimentally. 3 nC electrons can be collected by a Faraday-cup for a single shot. Electron energy spectrum is between 0−240 keV continually, and there is a density peak at 100 keV. RF buncher cavity can be used to compress the bunch length short enough for further RF acceleration in main accelerator. Start-to-end simulation has been done with ASTRA code. Electron beam with 55 ps length and 1 nC charge is injected into a 2-cell RF buncher cavity, it can be compressed into 27 ps long, which satisfies the general requirement of the main accelerator on the electron source.
The short-pulse neutron source based on ultra-short and ultra-intense laser is an ideal neutron source for ultra-fast neutron detection. For many applications of the novel laser neutron source, the neutron yield now becomes a major limitation. It is proposed here that, based on the Target Normal Sheath Acceleration mechanism (TNSA) and the beam-target reaction scheme, the adoption of composite component target LiD as the neutron converter can be an effective path to enhance the neutron yield. Compared with the traditional LiF converter, which has two typical reaction channels p-Li and d-Li, the use of LiD converter has the advantages on introducing two more reactions channels, i.e., p-D and d-D. Therefore, more reaction channels are expected to be beneficial for increasing the neutron yield. It is experimentally demonstrated that by using LiD converter, an enhancement of 2−3 folds of neutron yield is achieved compared with the LiF converter. As a result, a neutron beam with the highest yield of 5.2×108 sr−1 with a forward beamed distribution is well obtained. The contribution of multi reaction channels is also identified, indicating the enhancement of neutron yield mainly comes from the p-D reaction.
The control system of Insertion Device (ID) for High Energy Photon Source (HEPS) is mainly responsible for the opening and closing motion control of the magnetic gap of ID. The safe movement of the ID control system is essential for the safety of ID, storage ring and beamline station. Based on the safety requirements of HEPS ID control system, a high-level and multi-level safety system based on the new safety architecture has been designed and applied. It is the first time that this kind of safety system has been applied to the same type of ID control system worldwide. The safety system is designed and implemented in accordance with international safety standards and achieves the high safety level of Safety Integrity Level. The safety system has been successfully applied in the Cryogenic Permanent Magnet Undulator (CPMU) for HEPS, and the systematic tests have been accomplished. These tests results show that the safety system meets all the expected safety specifications, and achieves the standard of industrial control system with high safety level.
The accuracy of beam position measurement is affected by the gain inconsistency of the four channels of the digital BPM. Based on the existing hardware and the requirement of beam position monitor (BPM) measurement accuracy, a design for automatic calibration of digital BPM sample data gain is implemented by Verilog language in the self-made electronics. Firstly, the system design of automatic gain calibration module is introduced. Secondly, the realization method of the module is described in detail, and the ADC data automatic gain calibration test platform is designed and built to verify the function of the automatic gain calibration module. Finally, the application of this design in BPM channel calibration is introduced. Test results show that this method achieves 4-channel gain consistency and makes the data amplitude after ADC sampling equal. This method effectively solves the measurement bias caused by channel gain inconsistency and the difficulty of ADC data amplitude calibration in engineering application. It will play an important role in the automatic channel calibration of BPM system.
The design process and experimental results of a transfer capacitor used in a large vertical polarization bounded wave simulator are introduced. The capacitor adopts modular design based on capacitor elements and components, and forms a cone shape. The shell is made of vacuum process glass fiber reinforced plastic material. The capacitance value of capacitor is determined by the equivalent two-stage pulse compression circuit of the simulator, which is calculated to be 1.8 nF. The internal insulation medium of capacitor is dodecyl benzene, while the external insulation environment is 45# transformer oil. The designing working voltage is 3 MV, and the capacitor’s insulation length is mainly determined by the body insulation characteristics of capacitor elements. Three-dimensional electromagnetic simulation is used to estimate the inductance of the circuit composed of capacitor and switch, and the result is close to the measured data 623 nH. The measurement for the pulse voltage of capacitor is achieved by integrating the current of the capacitor, and the acquisition of the current is realized by a measurement module which consists of three oxidation film resistors in parallel and encapsulated in SF6 gas. The actual operation data show that the designed capacity of the transfer capacitor is achieved and the calibration coefficient of the measuring device is stable and the working voltage can reach up to 3.1 MV.
This paper introduces The fractional ratio pulse modulator for S-band 50 MW klystron, which has the characteristics of pulse transformer ratio of 1∶300, primary voltage of 1.25 kV and output peak power of 113 MW. The selection of five sub cores, the design of transformation ratio, the calculation of primary voltage and current, and the calculation of average output power are carried out. It is analyzed that the total inductance of single discharge circuit which affects the output front of solid-state modulator should be less than 0.4 μH. The loop inductance is distributed in the discharge module, the discharge cable, the internal wiring of the pulse transformer and the primary leakage inductance. The low inductance design of the internal loop of the discharge module, the low leakage inductance design of the pulse transformer and the modeling and simulation results are mainly analyzed. The results show that the high-power all solid-state pulse modulator with 312 kV output pulse voltage, 360 A pulse current and less than 1.4 μs front and back edges can be realized. It has promising applications in the fields of accelerator driving RF power source, high-power radar transmitter and so on, which need high-voltage pulse modulator.
The superconducting magnet power supply for the Comprehensive Research Facility for Fusion Technology (CRAFT) has the abilities of large current steady-state operation, high power pulse operation and transient fault suppression, which is closely related to the short circuit impedance of converter transformer. On the basis of parameters of AC system and equivalent circuit model of converter transformer, the relationship between the performance of superconducting magnet power supply and the short circuit impedance of converter transformer is studied. The research shows that the small short circuit impedance is beneficial to the output voltage and the reactive power loss of superconducting magnet power supply, but the short-circuit fault current and harmonic current increase accordingly. For short-circuit impedance design for converter transformer purposes, firstly, short-circuit impedance must satisfy the transient fault suppression capability and the rated output voltage, and secondly, it is easy to suppress the high characteristic harmonic current brought by thyristor multi-phase converter for CRAFT, hence small short-circuit impedance should be chosen.
There are many factors that affect the measurement accuracy of binocular vision system. Currently, the influence of system structure parameters on the measurement accuracy mainly includes the angle between optical axis and baseline, baseline distance, horizontal viewing angle, object distance and lens focal length. Since the aperture size directly affect the imaging resolution, it is the core factor that determines the accuracy of binocular vision measurement. Consequently, according to the incoherent imaging theory, the binocular imaging process is simulated and tested. Moreover, Speeded Up Robust Features algorithm is adopted to extract and match the features of the image pairs to obtain their parallax values. The parallax root mean square error is calculated to represent the systematic errors. The results show that the system error decreases with the increase of lens aperture, and approaches saturation. This research can provide theoretical and experimental basis for the selection of system parameters and aperture size during the design of the binocular system.
 
		         
					
 Email alert
Email alert RSS
RSS 
				  
	
	