2022 Vol. 34, No. 3
Recommend Articles
2022, 34: 031009.
doi: 10.11884/HPLPB202234.210274
2022, 34: 031014.
doi: 10.11884/HPLPB202234.210297
Display Method:
2022,
34: 1-2.
2022,
34: 031001.
doi: 10.11884/HPLPB202234.210281
Abstract:
An all-fiber 1064 mm linearly polarized single-frequency fiber laser based on the master oscillator-power amplifier structure is reported. The seed was a single-frequency fiber laser with a line width of about 3 kHz. The seed laser with an output power of 50 mW was amplified by two-stage Yb-doped polarization-maintaining double-cladding (the core diameters are 10 μm and 20 μm respectively) fiber and a stage chirally coupled core gain fiber, and the high power single frequency fiber laser output with an output power of 138 W, the beam quality M2≤1.1 and the polarization extinction ratio better than 18 dB was finally obtained. At the pulse modulation mode, a linearly-polarized single-frequency fiber laser output with a peak power of 465 W and a pulse duration of about 500 μs was obtained.
An all-fiber 1064 mm linearly polarized single-frequency fiber laser based on the master oscillator-power amplifier structure is reported. The seed was a single-frequency fiber laser with a line width of about 3 kHz. The seed laser with an output power of 50 mW was amplified by two-stage Yb-doped polarization-maintaining double-cladding (the core diameters are 10 μm and 20 μm respectively) fiber and a stage chirally coupled core gain fiber, and the high power single frequency fiber laser output with an output power of 138 W, the beam quality M2≤1.1 and the polarization extinction ratio better than 18 dB was finally obtained. At the pulse modulation mode, a linearly-polarized single-frequency fiber laser output with a peak power of 465 W and a pulse duration of about 500 μs was obtained.
2022,
34: 031002.
doi: 10.11884/HPLPB202234.210325
Abstract:
Two-µm ultrashort pulse laser with high power and tunable wavelength has been widely applied in medical surgery, atmospheric communication, photoelectric countermeasures and other fields, owning to the advantages of high peak power, narrow pulse width, tunable-wavelength, etc. We achieved a tunable Raman soliton output at 1895~2165 nm in an all-optical fiber thinning structure using a high nonlinear fiber pumped by an erbium-doped fiber amplifier with high peak power. The pulse energy of the Raman soliton was enhanced by the chirped pulse amplification technique. After amplification, a single pulse energy of 1.56 μJ, an average power of 50.6 W and a pulse width of 83 ps were achieved. After grating pair compression, a pulse width of 1.23 ps, an average power of 22 W and a peak power of 0.55 MW could be realized. The amplified pulse still has the ability of wavelength tuning. The wavelength tuning ranges of the pulse are 38 nm at average power of 5 W and 8 nm at average power of 50.6 W, respectively.
Two-µm ultrashort pulse laser with high power and tunable wavelength has been widely applied in medical surgery, atmospheric communication, photoelectric countermeasures and other fields, owning to the advantages of high peak power, narrow pulse width, tunable-wavelength, etc. We achieved a tunable Raman soliton output at 1895~2165 nm in an all-optical fiber thinning structure using a high nonlinear fiber pumped by an erbium-doped fiber amplifier with high peak power. The pulse energy of the Raman soliton was enhanced by the chirped pulse amplification technique. After amplification, a single pulse energy of 1.56 μJ, an average power of 50.6 W and a pulse width of 83 ps were achieved. After grating pair compression, a pulse width of 1.23 ps, an average power of 22 W and a peak power of 0.55 MW could be realized. The amplified pulse still has the ability of wavelength tuning. The wavelength tuning ranges of the pulse are 38 nm at average power of 5 W and 8 nm at average power of 50.6 W, respectively.
2022,
34: 031003.
doi: 10.11884/HPLPB202234.210308
Abstract:
To achieve high-power mid-infrared laser output with high efficiency, the optical parametric oscillator (OPO) based on MgO: PPLN crystal is researched. The pump source is linearly polarized Yb-doped fiber laser (YDFL) with master oscillator power amplifier (MOPA) structure. Experimental results indicate that the YDFL can realize the pulse linearly polarized laser with the highest power of 79.1 W at 1064.1 nm. With the pump laser, the OPO obtains the maximum MIR power of 9.15 W at 3.754 µm by optimizing the curvature radius of output coupler and the pump waist diameter. The corresponding optical-to-optical conversion efficiency is 11.57%. The repetition rate and the pulse width of mid-infrared laser are 300 kHz and ~110 ns, respectively.
To achieve high-power mid-infrared laser output with high efficiency, the optical parametric oscillator (OPO) based on MgO: PPLN crystal is researched. The pump source is linearly polarized Yb-doped fiber laser (YDFL) with master oscillator power amplifier (MOPA) structure. Experimental results indicate that the YDFL can realize the pulse linearly polarized laser with the highest power of 79.1 W at 1064.1 nm. With the pump laser, the OPO obtains the maximum MIR power of 9.15 W at 3.754 µm by optimizing the curvature radius of output coupler and the pump waist diameter. The corresponding optical-to-optical conversion efficiency is 11.57%. The repetition rate and the pulse width of mid-infrared laser are 300 kHz and ~110 ns, respectively.
2022,
34: 031004.
doi: 10.11884/HPLPB202234.210278
Abstract:
In this paper, a novel multi-pass pump scheme based on 4-f imaging is proposed. The scheme consists of a large parabolic mirror and two groups of folding prisms, which are the basic propagation structure of the scheme. The pump scheme has a theoretical aperture of 0−90° for laser transmission, which is wider than that of the commonly used pump schemes. The pump spot on the disk in the pump scheme has a good coincidence with sharp edges. With 344 W power injection and 18 times pumping, an average output of 141 W multi-mode laser is achieved. The optical to optical efficiency reaches 41%, and the slope efficiency is close to 50%.
In this paper, a novel multi-pass pump scheme based on 4-f imaging is proposed. The scheme consists of a large parabolic mirror and two groups of folding prisms, which are the basic propagation structure of the scheme. The pump scheme has a theoretical aperture of 0−90° for laser transmission, which is wider than that of the commonly used pump schemes. The pump spot on the disk in the pump scheme has a good coincidence with sharp edges. With 344 W power injection and 18 times pumping, an average output of 141 W multi-mode laser is achieved. The optical to optical efficiency reaches 41%, and the slope efficiency is close to 50%.
2022,
34: 031005.
doi: 10.11884/HPLPB202234.210284
Abstract:
High-power fiber lasers usually use water-cooled heat dissipation methods for temperature control, which are difficult to meet the needs of light. By using the characteristics of phase change energy storage materials and multi-phase change temperature control technology, the volume and weight of high-power fiber laser systems can be greatly reduced. In this paper, the temperature control technology of the fiber laser is analyzed, and the multi-phase change temperature control technology is used. The all-fiber laser output with a wavelength of 1.08 μm and a maximum power of 1.26 kW is achieved. The light-light efficiency is 75.4%, and the beam quality is Mx2=1.21, My2=1.23. The volume and weight of the laser is effectively reduced. It provides a new method for thermal management of high-power fiber lasers.
High-power fiber lasers usually use water-cooled heat dissipation methods for temperature control, which are difficult to meet the needs of light. By using the characteristics of phase change energy storage materials and multi-phase change temperature control technology, the volume and weight of high-power fiber laser systems can be greatly reduced. In this paper, the temperature control technology of the fiber laser is analyzed, and the multi-phase change temperature control technology is used. The all-fiber laser output with a wavelength of 1.08 μm and a maximum power of 1.26 kW is achieved. The light-light efficiency is 75.4%, and the beam quality is Mx2=1.21, My2=1.23. The volume and weight of the laser is effectively reduced. It provides a new method for thermal management of high-power fiber lasers.
2022,
34: 031006.
doi: 10.11884/HPLPB202234.210290
Abstract:
Two-photon absorbing alkali vapor laser (TPAL) has important application prospects in basic research and defense engineering, and has become one of the research hotspots in the laser field in recent years. However, TPAL still lacks relevant theoretical models. The operating characteristics of a single-wavelength pumped two-photon absorbing rubidium vapor laser (Rb-TPAL) are investigated, and the effects of pump beam waist position, vapor cell temperature and pump power on the blue light output characteristics of Rb-TPAL are analyzed. The results show that the optimal pump beam waist position and vapor cell temperature exist for the Rb-TPAL to output the highest power blue laser. By optimizing the pump beam waist position and vapor cell temperature, the Rb-TPAL can obtain high power blue laser output under high power pumping.
Two-photon absorbing alkali vapor laser (TPAL) has important application prospects in basic research and defense engineering, and has become one of the research hotspots in the laser field in recent years. However, TPAL still lacks relevant theoretical models. The operating characteristics of a single-wavelength pumped two-photon absorbing rubidium vapor laser (Rb-TPAL) are investigated, and the effects of pump beam waist position, vapor cell temperature and pump power on the blue light output characteristics of Rb-TPAL are analyzed. The results show that the optimal pump beam waist position and vapor cell temperature exist for the Rb-TPAL to output the highest power blue laser. By optimizing the pump beam waist position and vapor cell temperature, the Rb-TPAL can obtain high power blue laser output under high power pumping.
2022,
34: 031007.
doi: 10.11884/HPLPB202234.210292
Abstract:
Conventional high-power lasers operate in either continuous wave or long pulse mode. They interact with materials mainly through heating, whose effects are very limited when working with complex targets. We propose a novel high-power laser technology based on the combinations of continuous and pulse lasers with adjustable pulse widths and repetition frequencies. Such a “heating/shock” function can be used to improve the effect of high-power laser by aiming the best time-domain eigenvalues of melting and gasification of various target materials. We have achieved output power of 4800 W with 3600 W from continuous wave operation and 1200 W from pulsed operation with repetition rate of 10 kHz and pulse width of 3.6 ns. When the repetition rate is increased to 100 Hz, the resultant output power of the 7 ns pulsed laser is 1820 W, while the power of the continuous laser is 3100 W, and the beam quality is 4.8 times of the diffraction limit.
Conventional high-power lasers operate in either continuous wave or long pulse mode. They interact with materials mainly through heating, whose effects are very limited when working with complex targets. We propose a novel high-power laser technology based on the combinations of continuous and pulse lasers with adjustable pulse widths and repetition frequencies. Such a “heating/shock” function can be used to improve the effect of high-power laser by aiming the best time-domain eigenvalues of melting and gasification of various target materials. We have achieved output power of 4800 W with 3600 W from continuous wave operation and 1200 W from pulsed operation with repetition rate of 10 kHz and pulse width of 3.6 ns. When the repetition rate is increased to 100 Hz, the resultant output power of the 7 ns pulsed laser is 1820 W, while the power of the continuous laser is 3100 W, and the beam quality is 4.8 times of the diffraction limit.
2022,
34: 031008.
doi: 10.11884/HPLPB202234.210273
Abstract:
To discharge the chemical laser’s high-speed and low-pressure gas into the background, the start-up pressure determines the recovery pressure of the diffuser. Base on the laser’s actual requirement, the transient modle of the diffuser is established, and the different background pressure’s flow field is obtained with the total pressure 11 kPa on the diffuser’s inlet. The result shows that the diffuser can’t set up successfully when the background pressure increased to 8 kPa. According to the result, a step setup mode is used, the diffuser start up with total pressure 13 kPa, when the flow field is steady, adjusting the inlet’s total pressure to 11 kPa, the diffuser starts up successfully. Experiment is carried out on the DF laser’s test-bed, the result shows that the diffuser’s ability is advanced.
To discharge the chemical laser’s high-speed and low-pressure gas into the background, the start-up pressure determines the recovery pressure of the diffuser. Base on the laser’s actual requirement, the transient modle of the diffuser is established, and the different background pressure’s flow field is obtained with the total pressure 11 kPa on the diffuser’s inlet. The result shows that the diffuser can’t set up successfully when the background pressure increased to 8 kPa. According to the result, a step setup mode is used, the diffuser start up with total pressure 13 kPa, when the flow field is steady, adjusting the inlet’s total pressure to 11 kPa, the diffuser starts up successfully. Experiment is carried out on the DF laser’s test-bed, the result shows that the diffuser’s ability is advanced.
2022,
34: 031009.
doi: 10.11884/HPLPB202234.210274
Abstract:
Based on the advantages of diode laser, such as high efficiency and high integration, blue diode laser source can be widely used in highly-reflective and highly conductive materials processing. This paper introduces a high power high brightness blue diode laser fiber coupling module based on 3×9 single emitter diode laser array, which can realize 75 W single polarization 450 nm diode laser output from 100 μm 0.2 NA fiber. Polarization beam combining can also be used to further improve the fiber coupling blue diode laser power.
Based on the advantages of diode laser, such as high efficiency and high integration, blue diode laser source can be widely used in highly-reflective and highly conductive materials processing. This paper introduces a high power high brightness blue diode laser fiber coupling module based on 3×9 single emitter diode laser array, which can realize 75 W single polarization 450 nm diode laser output from 100 μm 0.2 NA fiber. Polarization beam combining can also be used to further improve the fiber coupling blue diode laser power.
2022,
34: 031010.
doi: 10.11884/HPLPB202234.210283
Abstract:
To improve the bonding performance of 5052 aluminum alloy, the laser texturing experiment on aluminum alloy specimens was carried out by using the short pulse and high peak power characteristics of pulsed fiber laser. Through the orthogonal experiment method, the effects of process parameters such as the average power, scanning speed, pulse frequency, pulse width and other parameters on the quality of laser texturing, as well as the influence weight of each process parameter, and the best process parameters are obtained. The best process parameters are average power 90 W, scanning speed 10mm/s, pulse frequency 1000 kHz, and pulse width 200 ns. According to the optimized parameters, a good area with roughness 2.35 μm is obtained. Then a single-lap tensile test on the aluminum alloy specimens after laser texturing was carried out. The study found that the bonding strength would increase with the increase of roughness, when the roughness reached a certain level, the bonding strength would decrease with the increase of roughness. In addition, the bonding strength is also closely related to the type and density of the microtexture on the surface of the aluminum alloy.
To improve the bonding performance of 5052 aluminum alloy, the laser texturing experiment on aluminum alloy specimens was carried out by using the short pulse and high peak power characteristics of pulsed fiber laser. Through the orthogonal experiment method, the effects of process parameters such as the average power, scanning speed, pulse frequency, pulse width and other parameters on the quality of laser texturing, as well as the influence weight of each process parameter, and the best process parameters are obtained. The best process parameters are average power 90 W, scanning speed 10mm/s, pulse frequency 1000 kHz, and pulse width 200 ns. According to the optimized parameters, a good area with roughness 2.35 μm is obtained. Then a single-lap tensile test on the aluminum alloy specimens after laser texturing was carried out. The study found that the bonding strength would increase with the increase of roughness, when the roughness reached a certain level, the bonding strength would decrease with the increase of roughness. In addition, the bonding strength is also closely related to the type and density of the microtexture on the surface of the aluminum alloy.
2022,
34: 031011.
doi: 10.11884/HPLPB202234.210288
Abstract:
Double circuit synchronous closed-loop design based on precise laser pulse waveform shaping and energy stability control was introduced. A pulse shaping closed-loop control system was established between arbitrary waveform generator and the output of preamplifier system, and an energy stability closed-loop system was established between polarization large-mode-area fiber amplifier and the regenerative amplifier. The laser pulse’s precise shaping with high energy stability was demonstrated based on the Integration Test Bed. And the closed-loop accuracy of the pulse waveform was better than 2% (RMS), and the energy stability was better than 5% (PV). The results were successfully applied to the formal launch of physical experiments, and the power accuracy of the conventional shaping pulse waveform was better than 2%. The successful demonstration of the double circuit synchronous closed loop system strongly supports the precise control design of the laser parameters of laser driver for ICF.
Double circuit synchronous closed-loop design based on precise laser pulse waveform shaping and energy stability control was introduced. A pulse shaping closed-loop control system was established between arbitrary waveform generator and the output of preamplifier system, and an energy stability closed-loop system was established between polarization large-mode-area fiber amplifier and the regenerative amplifier. The laser pulse’s precise shaping with high energy stability was demonstrated based on the Integration Test Bed. And the closed-loop accuracy of the pulse waveform was better than 2% (RMS), and the energy stability was better than 5% (PV). The results were successfully applied to the formal launch of physical experiments, and the power accuracy of the conventional shaping pulse waveform was better than 2%. The successful demonstration of the double circuit synchronous closed loop system strongly supports the precise control design of the laser parameters of laser driver for ICF.
2022,
34: 031012.
doi: 10.11884/HPLPB202234.210267
Abstract:
In the research of the laser-driven inertial confinement nuclear fusion, a low-temporal-coherence light source with broadband and low-coherence characteristics is expected to reduce the instability of the interaction between laser and plasma and to become a strong competitor of a new generation laser driving devices. Realizing high-power low-coherence optical amplification output is the core of whether low-coherence optical drivers can be applied of inertial confinement fusion. Optical parametric amplification has the advantages of large bandwidth, high gain and no thermal effect, etc., which can overcome the spectrum narrowing of the energy-level amplifying medium; it is also an effective solution for realizing broadband low-coherence optical amplification. This paper systematically expounds the principle and technical characteristics of temporally low-coherence optical parametric amplification technology. Carrying out the experiment through near-infrared broadband low-coherent optical cascade parametric amplification process with non-collinear phase match, we reach the final amplification gain of\begin{document}$ 7 \times {10^7} $\end{document} ![]()
![]()
and conversion efficiency of 13.19%.
In the research of the laser-driven inertial confinement nuclear fusion, a low-temporal-coherence light source with broadband and low-coherence characteristics is expected to reduce the instability of the interaction between laser and plasma and to become a strong competitor of a new generation laser driving devices. Realizing high-power low-coherence optical amplification output is the core of whether low-coherence optical drivers can be applied of inertial confinement fusion. Optical parametric amplification has the advantages of large bandwidth, high gain and no thermal effect, etc., which can overcome the spectrum narrowing of the energy-level amplifying medium; it is also an effective solution for realizing broadband low-coherence optical amplification. This paper systematically expounds the principle and technical characteristics of temporally low-coherence optical parametric amplification technology. Carrying out the experiment through near-infrared broadband low-coherent optical cascade parametric amplification process with non-collinear phase match, we reach the final amplification gain of
2022,
34: 031013.
doi: 10.11884/HPLPB202234.210270
Abstract:
Investigations of waveguide application to the whole optical cavity of CAEP’s high power THz-FEL device are achieved. The influence of waveguide on the quality of optical cavity is calculated by theoretic analysis and simulations. The waveguide gae size is designed to be 14 mm and 22 mm. In the experiment, we found it was have to get lasing in 1−2 THz. By analysis, we think the reason is that waveguide is made of Titanium and the waveguide wall roughness is unsuitable, which induce large diffraction loss of optical resonator. To reduce the loss, we use a new waveguide made of Cu to replace the old one. Using the new waveguide, lasing and saturation were attained in 1−2 THz in 2019. Then the whole facility counld run stably in 0.7−4.2 THz using the 14 mm Cu wave-guide.
Investigations of waveguide application to the whole optical cavity of CAEP’s high power THz-FEL device are achieved. The influence of waveguide on the quality of optical cavity is calculated by theoretic analysis and simulations. The waveguide gae size is designed to be 14 mm and 22 mm. In the experiment, we found it was have to get lasing in 1−2 THz. By analysis, we think the reason is that waveguide is made of Titanium and the waveguide wall roughness is unsuitable, which induce large diffraction loss of optical resonator. To reduce the loss, we use a new waveguide made of Cu to replace the old one. Using the new waveguide, lasing and saturation were attained in 1−2 THz in 2019. Then the whole facility counld run stably in 0.7−4.2 THz using the 14 mm Cu wave-guide.
2022,
34: 031014.
doi: 10.11884/HPLPB202234.210297
Abstract:
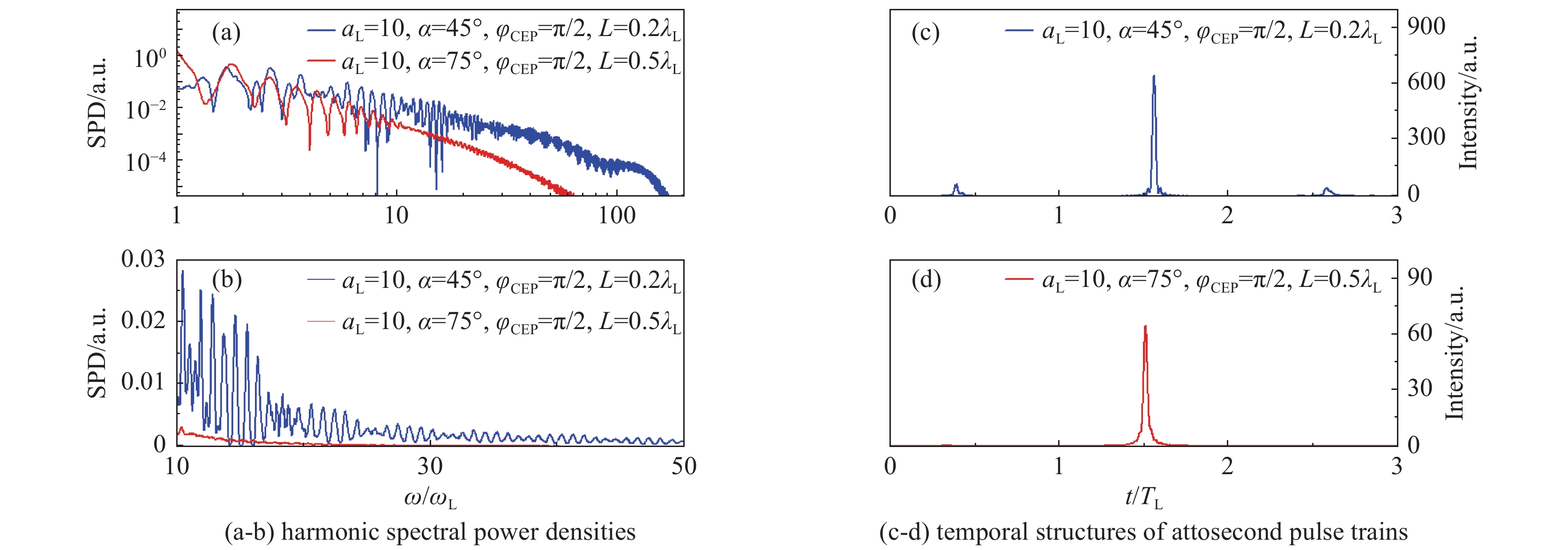
The generation of single isolated attosecond light pulses from the interaction of relativistic few-cycle lasers with solid density plasma surfaces is investigated using one dimensional particle-in-cell simulations. The primary subject of the study is the effects of the multi-parameter combinations which uniquely define the laser plasma interactions, on the laser to relativistic high-order harmonic energy conversion efficiencies, and also on the single attosecond light pulse isolation degrees. Here these multi-parameters include laser intensities, incidence angles, plasma scale lengths, etc. The impact of laser-plasma interaction parameters on attosecond light pulse generations is generally complicated. However, there exist an optimal plasma scale length and an optimal incidence angle to efficiently generate high-order harmonics and intense attosecond light pulses. When other parameters are fixed, a moderately intense relativistic laser is more advantageous to realize isolated attosecond light pulses with a broad controlling parameters range. And a larger incidence angle favors a higher isolation degree as well as a broader range of controlling parameters towards the generation of intense isolated attosecond light pulses.
The generation of single isolated attosecond light pulses from the interaction of relativistic few-cycle lasers with solid density plasma surfaces is investigated using one dimensional particle-in-cell simulations. The primary subject of the study is the effects of the multi-parameter combinations which uniquely define the laser plasma interactions, on the laser to relativistic high-order harmonic energy conversion efficiencies, and also on the single attosecond light pulse isolation degrees. Here these multi-parameters include laser intensities, incidence angles, plasma scale lengths, etc. The impact of laser-plasma interaction parameters on attosecond light pulse generations is generally complicated. However, there exist an optimal plasma scale length and an optimal incidence angle to efficiently generate high-order harmonics and intense attosecond light pulses. When other parameters are fixed, a moderately intense relativistic laser is more advantageous to realize isolated attosecond light pulses with a broad controlling parameters range. And a larger incidence angle favors a higher isolation degree as well as a broader range of controlling parameters towards the generation of intense isolated attosecond light pulses.
2022,
34: 031015.
doi: 10.11884/HPLPB202234.210287
Abstract:
To obtain an X-ray source to diagnose micro-mesoscopic state of material with high brightness, good monochromaticity and good contrast in pump-probe technology, and to often ignore the bremsstrahlung line, hence we designed a dual-spectrum diagnostic X-ray source experiments using characteristic and bremsstrahlung spectra. The experiment was carried out on the femtosecond laser beam of the “Xingguang Ⅲ” laser facility of China Academy of Engineering Physics. The laser power density is more than 1.6×1018 W/cm2, with the pulse width of 30 fs by 45° to the target surface. On the other side of the target normal line, the pinhole imaging optical path for characteristic spectral imaging was designed to obtain the focal spot image of 76 μm from the characteristic X-ray generated by the Cu nanoparticle target, larger than the average focus spot of 54 μm obtained by the knife-edge method. On the back side of the Cu target, the bremsstrahlung imaging optical path was designed, and the PIX-ray CCD was used to obtain 2×5 circular Ta group images. Experiments show that the dual-spectral imaging design is reasonable, which is suitable for dynamic diagnosis of micro-mesoscopic materials, and improve diagnosis efficiency.
To obtain an X-ray source to diagnose micro-mesoscopic state of material with high brightness, good monochromaticity and good contrast in pump-probe technology, and to often ignore the bremsstrahlung line, hence we designed a dual-spectrum diagnostic X-ray source experiments using characteristic and bremsstrahlung spectra. The experiment was carried out on the femtosecond laser beam of the “Xingguang Ⅲ” laser facility of China Academy of Engineering Physics. The laser power density is more than 1.6×1018 W/cm2, with the pulse width of 30 fs by 45° to the target surface. On the other side of the target normal line, the pinhole imaging optical path for characteristic spectral imaging was designed to obtain the focal spot image of 76 μm from the characteristic X-ray generated by the Cu nanoparticle target, larger than the average focus spot of 54 μm obtained by the knife-edge method. On the back side of the Cu target, the bremsstrahlung imaging optical path was designed, and the PIX-ray CCD was used to obtain 2×5 circular Ta group images. Experiments show that the dual-spectral imaging design is reasonable, which is suitable for dynamic diagnosis of micro-mesoscopic materials, and improve diagnosis efficiency.
2022,
34: 031016.
doi: 10.11884/HPLPB202234.210262
Abstract:
Shanghai Soft X-ray Free Electron Laser User Facility (SXFEL-UF) is the first X-ray FEL in China that can produce coherent radiation in the water-window regime. The main working modes of SXFEL are self-amplified spontaneous emission and external seeding schemes. This paper mainly focuses on the start to end simulations of the external seeding schemes including echo-enabled harmonic generation-high gain harmonic generation cascade (EEHG-HGHG cascade) and single stage echo-enabled harmonic generation (EEHG). 3D simulations indicates that these external seeding schemes can generate coherent X-ray radiation at soft X-ray regime directly from a conventional UV seed laser.
Shanghai Soft X-ray Free Electron Laser User Facility (SXFEL-UF) is the first X-ray FEL in China that can produce coherent radiation in the water-window regime. The main working modes of SXFEL are self-amplified spontaneous emission and external seeding schemes. This paper mainly focuses on the start to end simulations of the external seeding schemes including echo-enabled harmonic generation-high gain harmonic generation cascade (EEHG-HGHG cascade) and single stage echo-enabled harmonic generation (EEHG). 3D simulations indicates that these external seeding schemes can generate coherent X-ray radiation at soft X-ray regime directly from a conventional UV seed laser.
2022,
34: 031017.
doi: 10.11884/HPLPB202234.210319
Abstract:
This study simulated the aero-optical effect around the turret at different Mach numbers for three turret designs, calculated the density distribution of the flow field and the optical path difference after transmission in the flow field. The optical path difference increases with the increase of Mach number. The optical distortion over the turret field-of-regard is dependent on the beam direction, and there is large optical distortion in wake area. When the speed reaches transonic, the top of the turret will also produce large optical distortion. For different turret designs, the smaller the curvature, the smaller the aero-optical effect.
This study simulated the aero-optical effect around the turret at different Mach numbers for three turret designs, calculated the density distribution of the flow field and the optical path difference after transmission in the flow field. The optical path difference increases with the increase of Mach number. The optical distortion over the turret field-of-regard is dependent on the beam direction, and there is large optical distortion in wake area. When the speed reaches transonic, the top of the turret will also produce large optical distortion. For different turret designs, the smaller the curvature, the smaller the aero-optical effect.
2022,
34: 031018.
doi: 10.11884/HPLPB202234.210271
Abstract:
This paper presents a simulation model of a high-power semiconductor laser beam combining grating. This model analyzes the optical-thermal-stress change characteristics of the core device grating in the spectrum combining. The numerical analysis results show that when the power of the laser bar is 200 W and the natural convection coefficient is 10 W·(m2·K)−1, the highest temperature on the diffraction grating can be increased to 346.52 K, and the highest stress point can be increased to 0.4825 Pa, The maximum deformation per millimeter of the grating surface is 52.28 nm, which will cause the center position of the feedback beam to shift by 0.25 to 0.3 mm, which will affect the laser power and beam combining efficiency. By reducing the thickness of the diffraction grating substrate and working under the same laser light source conditions, the changes in temperature, stress, surface shape and strain can be effectively suppressed, which is consistent with the experimental results. This method provides an effective multi-physics analysis method for the structural design of high-power semiconductor lasers and the testing and analysis of optical devices, and provides a comprehensive analysis numerical model for laser design and testing.
This paper presents a simulation model of a high-power semiconductor laser beam combining grating. This model analyzes the optical-thermal-stress change characteristics of the core device grating in the spectrum combining. The numerical analysis results show that when the power of the laser bar is 200 W and the natural convection coefficient is 10 W·(m2·K)−1, the highest temperature on the diffraction grating can be increased to 346.52 K, and the highest stress point can be increased to 0.4825 Pa, The maximum deformation per millimeter of the grating surface is 52.28 nm, which will cause the center position of the feedback beam to shift by 0.25 to 0.3 mm, which will affect the laser power and beam combining efficiency. By reducing the thickness of the diffraction grating substrate and working under the same laser light source conditions, the changes in temperature, stress, surface shape and strain can be effectively suppressed, which is consistent with the experimental results. This method provides an effective multi-physics analysis method for the structural design of high-power semiconductor lasers and the testing and analysis of optical devices, and provides a comprehensive analysis numerical model for laser design and testing.
2022,
34: 031019.
doi: 10.11884/HPLPB202234.210282
Abstract:
X-ray pulses of a few hundred attosecond play an important role in researches of ultra-fast science On enhanced self-amplified spontaneous emission (ESASE) mode. peak current of electron beams is much higher and the gain length is much shorter, in comparison with the self-amplified spontaneous emission mode in most running free electron laser (FEL) facilities. Based on typical parameters in soft X-ray free electron laser, this paper conducts an optimized simulation on ESASE. Simulation results show that hundreds attosecond X-ray of tunable wavelength in water window band is obtained, with a peak power of more than 1GW using a typical 2.5 GeV electron beam. This paper provides a reference to our following experiment on ESASE, and also sets a basis to the ongoing optimization of experimental parameters.
X-ray pulses of a few hundred attosecond play an important role in researches of ultra-fast science On enhanced self-amplified spontaneous emission (ESASE) mode. peak current of electron beams is much higher and the gain length is much shorter, in comparison with the self-amplified spontaneous emission mode in most running free electron laser (FEL) facilities. Based on typical parameters in soft X-ray free electron laser, this paper conducts an optimized simulation on ESASE. Simulation results show that hundreds attosecond X-ray of tunable wavelength in water window band is obtained, with a peak power of more than 1GW using a typical 2.5 GeV electron beam. This paper provides a reference to our following experiment on ESASE, and also sets a basis to the ongoing optimization of experimental parameters.
2022,
34: 031020.
doi: 10.11884/HPLPB202234.210285
Abstract:
External seeded free electron lasers (FELs) hold great advantage of emitting extremely high intensity, fully coherent, specially stable light, allowing researchers to study the structure of matter in ultra-small space and ultra-fast time scales. The light with a special transverse phase mode, especially vortex light with orbital angular momentum has been used in many scientific fields. However, the transverse mode of the FELs radiation is basically a simple gaussian mode. In this paper, the generation of the vortex light based on echo-enabled harmonic generation (EEHG) free electron laser is theoretically studied and the simulation studies are carried out according to the parameters of Shanghai Soft X-ray Free Electron Laser Facility (SXFEL). The results of three- dimensional simulation show that the EEHG type free electron laser can produce coherent vortex soft X rays with peak power up to GW magnitude.
External seeded free electron lasers (FELs) hold great advantage of emitting extremely high intensity, fully coherent, specially stable light, allowing researchers to study the structure of matter in ultra-small space and ultra-fast time scales. The light with a special transverse phase mode, especially vortex light with orbital angular momentum has been used in many scientific fields. However, the transverse mode of the FELs radiation is basically a simple gaussian mode. In this paper, the generation of the vortex light based on echo-enabled harmonic generation (EEHG) free electron laser is theoretically studied and the simulation studies are carried out according to the parameters of Shanghai Soft X-ray Free Electron Laser Facility (SXFEL). The results of three- dimensional simulation show that the EEHG type free electron laser can produce coherent vortex soft X rays with peak power up to GW magnitude.
2022,
34: 031021.
doi: 10.11884/HPLPB202234.210250
Abstract:
Laser driven inertial confinement fusion is a challenging research field in the current international frontier science, which uses high-energy laser as the driving source. A large amount of energy is injected into the target pellet to make the fusion material reach the state of high temperature and high density in a very short time, thus forming a hot spot in the center of the target pellet and igniting the whole fuel layer, and finally achieving controlled nuclear fusion. As the diameter of the implosion hot spot is about 50−100 μm, and its duration is 100−200 ps, the ion temperature reaches 5 keV, and the pressure can reach 4.0×1016 Pa. Therefore, it is of great significance to develop diagnostic techniques under extreme transient conditions. In this paper we introduce two kinds of diagnosis method based on compressed sensing. The first one combines the one-dimensional line Velocity interferometer system for any reflectors (VISAR) with the Compressed Ultrafast Photography (CPU) system, which is expected to achieve a new 2D-VISAR diagnostic technique with high time resolution. At the same time, it overcomes the shortcomings of the existing two-dimensional VISAR that can only capture single image and is expected to realize continuous diagnosis of the evolution of hydrodynamic instability. Because the existing CUP technology encoded by digital micromirror device can only be used in the visible light band, and cannot be used in the ultraviolet and X-ray band, a transmission compressed sensing technology is also developed. The transmission compressed sensing technology uses a novel transmission element to encode the measured signal, which can realize the two-dimensional ultrafast detection of ultraviolet and X-ray signals, and is expected to realize the precise diagnosis of the ultra-fast space-time evolution process of the hot spots in the explosion. In addition, in view of the advantages of single-channel CUP technology with high time resolution and the shortcomings of low spatial resolution, a new high spatial resolution diagnosis system with multi-channel coding, separate scanning, decoding and re-synthesis is proposed, which is expected to achieve high time resolution and high spatial resolution of the two-dimensional new diagnostic technology.
Laser driven inertial confinement fusion is a challenging research field in the current international frontier science, which uses high-energy laser as the driving source. A large amount of energy is injected into the target pellet to make the fusion material reach the state of high temperature and high density in a very short time, thus forming a hot spot in the center of the target pellet and igniting the whole fuel layer, and finally achieving controlled nuclear fusion. As the diameter of the implosion hot spot is about 50−100 μm, and its duration is 100−200 ps, the ion temperature reaches 5 keV, and the pressure can reach 4.0×1016 Pa. Therefore, it is of great significance to develop diagnostic techniques under extreme transient conditions. In this paper we introduce two kinds of diagnosis method based on compressed sensing. The first one combines the one-dimensional line Velocity interferometer system for any reflectors (VISAR) with the Compressed Ultrafast Photography (CPU) system, which is expected to achieve a new 2D-VISAR diagnostic technique with high time resolution. At the same time, it overcomes the shortcomings of the existing two-dimensional VISAR that can only capture single image and is expected to realize continuous diagnosis of the evolution of hydrodynamic instability. Because the existing CUP technology encoded by digital micromirror device can only be used in the visible light band, and cannot be used in the ultraviolet and X-ray band, a transmission compressed sensing technology is also developed. The transmission compressed sensing technology uses a novel transmission element to encode the measured signal, which can realize the two-dimensional ultrafast detection of ultraviolet and X-ray signals, and is expected to realize the precise diagnosis of the ultra-fast space-time evolution process of the hot spots in the explosion. In addition, in view of the advantages of single-channel CUP technology with high time resolution and the shortcomings of low spatial resolution, a new high spatial resolution diagnosis system with multi-channel coding, separate scanning, decoding and re-synthesis is proposed, which is expected to achieve high time resolution and high spatial resolution of the two-dimensional new diagnostic technology.
2022,
34: 031022.
doi: 10.11884/HPLPB202234.210214
Abstract:
Hefei Infrared Free Electron Laser (IR-FEL) is a free electron laser device operating in mid-infrared and far-infrared. To achieve its design targets, a low level radio frequency (LLRF) system is needed to monitor and control the amplitude and phase of the acceleration field in the accelerator cavity. However, the input-to-output nonlinear characteristic of the amplitude of the klystron decreases the control gain near the saturated region, which reduces the efficiency of feedback. In this paper, a predistortion algorithm based on FPGA is designed to correct the nonlinear characteristics of the amplitude of the klystron, and the 2048-node direct lookup-table algorithm and the 32-node lookup-table with linear interpolation algorithm are compared and tested online. The comparison shows that, in the condition of accuracy requirement, the direct lookup-table algorithm consumes 25% less clocks than the lookup-table with linear interpolation algorithm, with less total resource consumption. The feedback efficiency is compared on Toshiba E3729 klystron, and it is improved by 43% after adding the direct lookup-table algorithm based predistortion module.
Hefei Infrared Free Electron Laser (IR-FEL) is a free electron laser device operating in mid-infrared and far-infrared. To achieve its design targets, a low level radio frequency (LLRF) system is needed to monitor and control the amplitude and phase of the acceleration field in the accelerator cavity. However, the input-to-output nonlinear characteristic of the amplitude of the klystron decreases the control gain near the saturated region, which reduces the efficiency of feedback. In this paper, a predistortion algorithm based on FPGA is designed to correct the nonlinear characteristics of the amplitude of the klystron, and the 2048-node direct lookup-table algorithm and the 32-node lookup-table with linear interpolation algorithm are compared and tested online. The comparison shows that, in the condition of accuracy requirement, the direct lookup-table algorithm consumes 25% less clocks than the lookup-table with linear interpolation algorithm, with less total resource consumption. The feedback efficiency is compared on Toshiba E3729 klystron, and it is improved by 43% after adding the direct lookup-table algorithm based predistortion module.
2022,
34: 031023.
doi: 10.11884/HPLPB202234.210335
Abstract:
Compared with the traditional gesture recognition algorithms based on image segmentation and feature extraction in complex backgrounds which have low recognition accuracy and poor flexibility, the gesture recognition algorithm based on target detection neural network can effectively improve the accuracy of gesture recognition in complex environments. Restricted by the size and power consumption of embedded processors, the recognition speed of commonly used target detection neural networks on embedded processors is low and cannot meet the requirements of real-time gesture recognition. In this paper, we optimize the SSD target detection and use MobileNetv3 network to achieve feature extraction and SSD-lite structure for target detection, thus to use depth-separable convolution instead of ordinary convolution to realize the design of lightweight MobileNetv3-SSDLite gesture recognition algorithm. For the requirements of gesture recognition, we make a dataset containing different gestures and complete the training of the model on the server using the dataset. In order to meet the arithmetic limitation of embedded processor, we quantize the float64 network parameters into int8 by quantization compression of the model, and compress the network structure to improve the inference speed of the network on embedded processor to realize the embedded-based gesture recognition. The experimental results show that the embedded-based MobileNetv3-SSDLite gesture recognition algorithm can achieve an average accuracy of 99.61% and a recognition speed of above 50 frame/s, which meets the requirements of real-time gesture recognition.
Compared with the traditional gesture recognition algorithms based on image segmentation and feature extraction in complex backgrounds which have low recognition accuracy and poor flexibility, the gesture recognition algorithm based on target detection neural network can effectively improve the accuracy of gesture recognition in complex environments. Restricted by the size and power consumption of embedded processors, the recognition speed of commonly used target detection neural networks on embedded processors is low and cannot meet the requirements of real-time gesture recognition. In this paper, we optimize the SSD target detection and use MobileNetv3 network to achieve feature extraction and SSD-lite structure for target detection, thus to use depth-separable convolution instead of ordinary convolution to realize the design of lightweight MobileNetv3-SSDLite gesture recognition algorithm. For the requirements of gesture recognition, we make a dataset containing different gestures and complete the training of the model on the server using the dataset. In order to meet the arithmetic limitation of embedded processor, we quantize the float64 network parameters into int8 by quantization compression of the model, and compress the network structure to improve the inference speed of the network on embedded processor to realize the embedded-based gesture recognition. The experimental results show that the embedded-based MobileNetv3-SSDLite gesture recognition algorithm can achieve an average accuracy of 99.61% and a recognition speed of above 50 frame/s, which meets the requirements of real-time gesture recognition.

Email alert
RSS
