2022 Vol. 34, No. 9
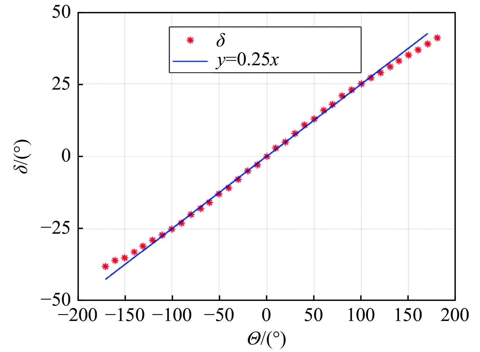
In high power microwave transmission systems, over-mode waveguides are often used to improve power capacity and efficiency, thus the mixed modes of TM01 and TE11 often appear in circular waveguides. In this paper, the method of extracting the mixing ratio and polarization angle of the TE11 mode is analyzed and studied by using an 8-hole circular waveguide coupler with uniform angular distribution. The electric field distribution of the TM01 and TE11 modes in the circular waveguide at the coupling hole is analyzed, and the output power of each coupling hole is simulated by CST. By obtaining the average power of the coupling holes facing each other and the average power of the eight holes, it is concluded that the ratio is independent of the phase difference between the modes. At the same time, it is found that the ratio is linearly related to the mixing ratio of the TE11 mode, and the proportionality coefficient in the linear relationship is a linear function of the polarization angle. Expressions for calculating the TE11 mode mixing ratio and polarization direction are obtained by linear fitting. Compared with the parameters set by the simulation, the results calculated by this expression show that when the mixing ratio of TE11 mode is less than 30%, it is feasible to use it to calculate the mixing ratio and polarization angle of TE11 mode, and the error does not exceed 10%. On this basis, this paper presents a specific method for judging TE11 mode information in practical situations.
Most of the calibration experiments of the electric field probe only consider the influence of the structure and performance of the TEM cell. In the calibration experiment, the placement of the probe makes the calibration result produce a large deviation. Therefore, the main reason for the error is the size of the probe, rather than the TEM cell. Taking the actual model and electric field probe into account, in this paper, the radiation field distribution of TEM cells with different structures and sizes is studied from the time domain perspective based on open TEM cells, while the S-parameters of TEM are analyzed from the frequency domain perspective using 3D electromagnetic simulation software. In addition, this paper compares the errors before and after the probe is placed in the chamber, and introduces the electric field calibration formula based on the calculation results. In order to improve the influence of the probe on the electric field, a new structure was designed. The results show that the new structure not only guarantees the bandwidth, but also improves the uniformity of the electric field and the accuracy of the probe calibration, which provides a new idea for the design of the TEM cell and the calibration of the probe.
Flash radiographic accelerators with high energy pulsed X-ray have important applications in hydrodynamic experiments, which is recognized as an important motivation to drive the development of the pulsed power technology. This paper reviews the advantages, typical facilities, and technical weaknesses of three kinds of flash X-ray radiographic accelerators, including the radio frequency linac, electron induction accelerator, and high-current accelerators driven by the high-voltage pulsed-power source and diodes. The technology trends for the future are summarized, as follows: (1) to develop accelerators capable of producing co-axial multi-pulse X-ray; (2) to develop compact, small and mobile accelerators by employing all-solid-state pulse power components.
A brief introduction to evaluating the beam size with the Root-Mean-Square (RMS) value, the full-width-half-maximum (FWHM) value and the modulation-transfer-function (MTF) value is given in this paper. The focusing of the long pulse electron beam (~100 ns) in an induction linear accelerator is studied by both theoretical analysis and numerical simulation, the contribution of the energy and current difference of the rising edge and the falling edge to the final beam size are discussed. In our results, the rising edge and the falling edge of the beam with large energy deviation may lead to a significant increase of the beam size, especially the MTF beam size, i.e. the FWHM beam size is increased by about 9% while the MTF beam size is increased by about 24%.
The all-solid-state inductive energy storage pulse forming line modulator is a brand-new solution to achieve a high repetition rate, high voltage gain, and short pulse output. However, due to the non-ideal dynamic characteristics of the switch and the fixed physical space size of the transmission line, it's difficult to realize the generation and control of high-voltage short pulses. To solve the above problems, we established the switch drive model of the silicon carbide field-effect device through electromagnetic field analysis. It was found that high-speed drive and low parasitic parameters of the switch device can effectively improve the dynamic characteristics of the switch, and the onboard high-speed switch and drive integrated design solution were proposed. At the same time, based on wave process analysis and multi-switch sequential logic control theory, a multi-switch clipping circuit topology method and active load impedance modulation technology are proposed. Finally, an experimental platform was built to verify the above ideas. Experimental results show that the modulator can achieve a square wave short pulse with a rise time of 2.1 ns, a fall time of 3.5 ns, and a pulse width of 5.1 ns and the pulse width is continuously adjustable from 5 to 20 ns. After 10 levels of superposition, the regulator’s high voltage capability is verified. When the primary energy storage charging voltage is 25 V, the voltage gain can reach 336 times, and the repetition frequency is 200 kHz.
Long pulse high power pulse driver in the microsecond range is an important platform for conducting high power microwave (HPM) device studies and one of the key technologies is to prohibit surface flashover of the vacuum diode interface under the conditions of long pulse duration and the presence of guiding magnetic field. We report a design of a vacuum interface which works in the microsecond timescale with guiding magnetic field. Three measures are adopted to suppress the surface flashover. First is a cathode electron beam blocker, which intercepts the electron beam from the cathode and electron beam drift tube; Second is a grounded plate field shaper, which makes the electric field equipotential line and the interface form an angle of about 45°, so that the electrons emitted from the triple junction are directed away from the insulator; Third is a floating metal ring, which prevents the electron multiplication if emission from cathode stalk triple junction does occur. The electric field and magnetic field in the diode and the trajectory of electron beam are calculated, and the geometry of the vacuum interface is optimized. Experiments show that the vacuum interface of the diode can work at voltage of 400 kV and pulse width of 800 ns, which allows the study of long pulse high power microwave tubes.
To trigger the gas switch with one fiber, a kind of LD (laser diode) triggered three--electrode gas switch based on photoconductive semiconductor without trigger charger source is presented in this paper. The principle of this switch is that a GaAs PCSS, which is triggered by LD, is used to control the trigger pulse generation of the trigger capacitor discharge circuit (CDC). The capacitor in CDC is charged with the energy of the main circuit directly. As a result, this switch can work without trigger charge power source, which means this switch can be made more compact compared with traditional electrical trigger switch. A prototype designed for three-electrode gas switch working under 40 kV/8 kA and PCSS triggered with 83 μJ laser energy is described in this paper in detail. The experimental result proves the feasibility of the switch. The experimental result also shows the life of the photoconductive semiconductor is just several hundred shots. The life of the photoconductive semiconductor will be improved in next phase of our research.
Multichannel high-speed data acquisition software is facing the following difficulties: complexity in setup and management of signal multichannel; The concurrent transmission of data requires high stability and instantaneous transmission speed; High-speed post-processing and high-speed waveform display are required for large amount of measurement data; The test software must be stable and reliable to meet the important requirements of experimental data. The software uses modular graphical design and SCPI to complete channel setup. The transmission speed of data uploaded simultaneously by 75 oscilloscopes was tested. The differences between LabView waveform display and GDI+ waveform drawing are compared. Data acquisition function in case of software failure is designed. It is shown that the data acquisition software can manage 75 oscilloscopes and upload, process, display and store 300 channels of data. 100 kpts memory 300 channel data upload time is 9.7s, 300 channel waveform refresh time is 0.91 s.
The pulse steepening technology of ferrite transmission lines can realize high-frequency and high-power fast front pulse output and has the advantages of solid-state and compactness. It has been widely used in high-power microwave sources. The simulation calculation of pulse steepening characteristics of ferrite transmission lines lacks a more accurate model. Therefore, this paper establishes the simulation model of the ferrite transmission line by using COMSOL simulation software, considering the interaction between electromagnetic wave propagation and magnetic core magnetization precession. The Maxwell equation and Landau-Lifshitz-Gilbert (LLG) equation are combined for simulative calculation. Compared with the experimental results, the accuracy of the simulation model is verified. Based on this model, simultaneous interpreting of the effect of different transmission line lengths, voltage amplitude, and external bias magnetic field on pulse waveform is studied. The results show that the pulse front decreases with the increase of transmission line length and the increase of voltage amplitude; The output of the minimum pulse front can be realized by selecting an appropriate external bias magnetic field.
The influence of electric pulse parameters on spark discharge characteristics in water was studied. A solid-state repetitive nanosecond pulse power supply with adjustable parameters was adopted. The discharge load was a pin-plate structure placed in water (the distance between the pin and the plate set to 1 mm). The experiment was carried out under low repetitive frequency conditions (approximately 5 Hz). The characteristics of pulse discharge in water were obtained by monitoring discharge parameters, taking high-speed shadow images, collecting optical emission spectrum, and measuring sound pressure. The evolution of pulse discharge with different parameters and its influence on acoustic and spectral characteristics were also obtained. When the energy storage on the order of a few joules after the initial discharge channel was formed between the two electrodes, the circuit current rose to approximately 10 A within a few hundred ns, followed by a rapid and then slow decline with a duration of 50−60 μs. It is found that the preset pulse width has a great influence on the spark discharge characteristics. Under short pulse width conditions, the discharge channel will be cut off by the solid-state switch of the power supply. Under long pulse width conditions, the discharge channel becomes unstable in the late stage and even interrupts the arc,and the secondary discharge appears in bubbles. The radiation spectra reveal more information. With the increase of pulse width, the intensity of the characteristic spectral lines increased, but no new spectral lines were observed. This indicates that the number of active particles increased, and their types remain the same.The channel electron density is estimated on the order of 1018 cm−3. The characteristic width of the pulse sound wave produced by a short pulse (<150 μs) is 110−150 μs. However, when the pulse width continues to increase, the sound wave pulse width does not continue to increase but remains at 150 μs. It is hoped that this research has a certain reference value for studying the mechanism of small energy spark discharge, and provides ideas for the applications of underwater acoustics, liquid phase plasma and other fields.
To overcome the large size and poor portability of MCP-PMT traditional high-voltage power supply equipment, a high-voltage power supply mode based on miniaturized high-voltage module is adopted. During the practical use of the system, a high-voltage breakdown fault of MCP-PMT occurred. In this paper, the fault causes of the system are analyzed in detail, and the problem is identified as the decline of withstand voltage performance caused by the decline of internal vacuum of MCP-PMT, and it is also found that the high voltage overshoot of the high voltage module at the time of power-up is the cause of this fault. Aiming at the overshoot problem of high-voltage module, this paper puts forward a more ingenious design improvement method and achieves good results, which further improves the engineering application reliability of MCP-PMT system.
As a key component, the Blumlein switch is widely used in large pulsed power devices such as high-current electron linear induction accelerators. The insulator in the main switch plays the role of isolating water or oil and gas. When the equipment is subjected to high voltage pulse for a long time or high frequency, the gas side of the insulator will flashover along the surface. The occurrence of surface flashover seriously affects the reliable operation of linear induction accelerator. In view of this, electric field simulation calculation is carried out on the insulation structure of the Blumlein main switch, and the electric field distribution on the surface of the insulator and the electrode is effectively regulated by optimizing the geometric structure of the insulator and the shape of the electrode. At the same time, different insulators with different configurations were trial-produced, and flashover along surface was studied under standard lightning wave pulse conditions. The results show that, the minimum and maximum surface flashover voltages of the optimized insulator are about 35.9% and 37.2% higher than that of the original insulator respectively.
To study the applicability of the electrically triggered vacuum surface flashover switch under medium and small current, vacuum surface flashover switch samples based on direct plated copper technology are designed and fabricated, an experimental platform for testing the switch operating characteristics is established. The voltage hold-off characteristics, trigger characteristics and life characteristics of the switch are preliminarily studied. The results show that: the DC withstand voltage of the vacuum surface flashover switch with an effective gap distance of 7.2 mm is about 40 kV; the conduction delay is 89.9 ns and the jitter is 13.1 ns under the working voltage of 18 kV, and the switch can be reliably triggered in the range of 1 kV to 18 kV; no obvious change in the characteristics of the switch is observed after being triggered for about 2300 times.
Triplate transmission line is widely used in huge pulsed power facilities. However, the accurate circuit parameters of the triplate transmission line are difficult to obtain because of three factors. The first one is that the widths of the anode and cathode plates are different, the second one is that the plates’ thickness cannot be ignored, and the third one is that the electromagnetic field near the edges of the plates is seriously distorted. Taking all these three factors into consideration, an analytical method was established to obtain the capacitance per meter, the characteristic impedance, and the electric field magnitudes of the triplate transmission line. In this method, the distorted boundaries are transformed into regular boundaries based on conformal mapping and accurate results are obtained without approximation. Results obtained by this method are the same as those obtained by electromagnetic simulation with a commercial code called Ansoft, which indicates the correctness of this method.
A novel driving circuit for the adjustment of pulse edges in Marx generators is proposed. By adjusting the driving voltage amplitudes of the charge and discharge switches, the Miller plateau time is controlled in the driving circuit. Then the turn-on speed of the switches and the pulse edges of high-voltage pulses are adjusted. This drive circuit is simple in structure and does not require additional independent signals. A model is established to study the relationship between the driving voltage amplitudes and the turn-on speed of switches. Combined with the theoretical analysis results, the parameters of the driving circuit are designed, and the simulation results show that the driving circuit can adjust the pulse edge. A solid-state Marx generator with the proposed driving circuit was built to experiment under capacitive load and resistive load. Using this method, the edge adjustment of 3.6 kV output pulse from 55 ns to 7.7 μs for 6-stage Marx circuit was achieved, and the influence of different resistive loads on the pulse edge is compared and analyzed. The experiment results show that the driving circuit has unique advantages in improving the edge adjustment performance of pulsed generators.
To improve the core utilization rate of pulse transformer in pulse power system, a pulse transformer reset system based on energy recovery principle is proposed. Firstly, according to the magnetic core hysteresis loop, the change process of the magnetic induction intensity of the reset system based on the energy recovery principle in one cycle is analyzed, and the solution formulas of the pulse transformer excitation current and reset capacitor voltage in different stages are deduced. A simulation model of the pulse transformer reset system based on the energy recovery principle is established, and the correctness of the theoretical analysis and solution formulasof the reset system is verified by the simulation results. On this basis, a pulse modulator test platform based on pulse transformer boosting and energy recovery reset system is constructed. The excitation currents of the pulse modulators with reset system and without reset system are compared under the same pulse width. The results show that the reset system pulse modulation can effectively improve the utilization of the magnetic core. The repetition frequency experiment is carried out on the pulse modulator with reset system, and the results show that the reset system can realize the stable operation of 1 kHz repetition frequency.
To meet the application requirement of kA level pulse current injection, a kind of current injection probe based on amorphous magnetic core is designed. Then the circuit model is established based on the injection probe structure, and the model parameter values, frequency domain and time domain are verified by the particle swarm optimization algorithm. Finally, the performance difference between the kA level injection probe and the traditional injection probe (FCC-120-6A) is analyzed.
A high power pulse generator with peak power over tens of GW and repetitive rate of 5 Hz, named HEART-50, is studied theoretically, numerically, and experimentally. The generator is composed of charging source, primary compress switch, pulse forming line, main switch, impedance transmission line, and dummy load. Design considerations of the generator are discussed. Then key parameters which influence performance of the mixed-liquid-dielectrics based pulse forming line is numerically investigated. PSpice software is used to study the whole circuit of the generator. The HEART-50 has been built and experimentally studied in our laboratory. Quasi-square pulses with peak voltage over 520 kV, pulse duration approximately 90 ns, rise-time of 25 ns, and repetitive rate of 5 Hz, are achieved on the dummy load with good uniformity.
The space plasma environment research facility (SPERF) is used to simulate the space magnetic field and plasma environment on earth. To generate a pulse current across the 3.5 μH, 0.8 mΩ toroidal field (TF) coils, a modularized capacitor-based pulsed power supply (PPS) was built. The rise time of the pulse current was approximately 130 μs, and the peak current was 260 kA. To avoid damage to the PPS when the coil load was short-circuited, the circuit parameters of the PPS, such as the number of modules, the inductance of the protection inductor, were calculated based on current waveform requirements and the maximum ratings of the thyristor switch. Since the inductance of the coil load was relatively small, the output cable was used as both the transmission line and the protection inductor, and a 4-module PPS was designed and fabricated. Simulation results indicate that the 4-module PPS design meets the demand of both the current waveform and the maximum ratings of the thyristor switch, and the discharge test further proves the output current waveform of the PPS agrees with the simulation results.
High voltage pulse capacitor is the most extensively used devices in pulsed power system. According to the technical requirements of pulsed power system for the charging power supply, a set of bipolarity DC high voltage charging power supply, with output voltage of ±0.5 kV−±10 kV and maximum average power of 3 kW, has been developed. The charging power supply adopted the integrated design of the control circuit and the high voltage output circuit. The problems, such as the imbalance of output voltages of positive and negative polarity, the conduction of the sample and the control circuit, have been solved by means of isolation, shielding and protection. The volume of the charging power supply was reduced, and the robustness, reliability and electromagnetic compatibility were improved. Multiple charging power supplies working in parallel can work reliably under the complex electromagnetic interference environment stimulated by the pulsed power apparatus with the energy storage of 18.3 MJ.
As the present of pulsed constant current source have problems of low amplitude and repetition frequency, we design a pulsed constant current source adopting integral feedback to get closed-loop current control, build the mathematical model and verify the function of the circuit by Pspice. The source adopts the working mode of energy storage and discharging with high-speed switch, uses MOSFET as linear adjustment switch and can be used for laser diodes loads. The maximum output current pulse is 600 A with adjustable pulse width from 100 μs to 600 μs, the largest output voltage is 320 V, the rising edge is under 40 μs and the maximum repetition frequency is 200 Hz. The structure of the source is compact, and the efficiency of the source can reach more than 90%.
A lateral GaAs photoconductive switch was fabricated and its conduction performance was tested. To study device damage in long-term working environment, the switch is studied operating at 8 kV, 10 Hz triggering frequency and 10 mJ triggering energy for 104 times. By means of confocal laser scanning microscopy, the damage morphology of the electrode edge and between the electrodes are analyzed. It is found that the thermal damage of the anode edge was caused by thermal accumulation, and the damage of the cathode edge was caused by thermal stress. The damage morphology between electrodes is characterized and classified in detail.
In recent years, with the advancement in the field of biomedical applications, atmospheric pressure non-thermal plasma technology has shown many advantages in disinfection and sterilization. In terms of its application, the key lies in how to easily generate a large-area, uniform and stable plasma. In this work, a set of unipolar microsecond pulse array plasma jet system is developed, which can be excited to generate plasma jet under atmospheric pressure and realize large-area sterilization treatment. The system generates high-voltage pulses with a peak voltage of 20 kV and a frequency of 15 kHz. The jet is uniform and stable, covering an area of 37.7 cm2, the jet length is stable at 6 cm and the jet power is 40.05 W. Treating for 5 min can basically inactivate all Bacillus subtilis spores in the area covered by the jet. The effects of different parameters on the sterilization efficiency are investigated, and the results show that the sterilization rate is positively correlated with the working voltage, pulse frequency and treatment time. The sterilization effect is better in helium atmosphere. The SEM images show that the plasma jet damaged the shell structure of Bacillus subtilis spores, hence the spores failed to metabolize normally and eventually died.
A new idea of adjusting half-power beam width is applied to design a navigation antenna of Beidou-2 B3 band, which can realize beam width transformation and apply to different beam forming scenes. The microstrip patch array is modeled in HFSS simulation software. On the basis of keeping the right-handed circular polarization, the half-power beam width can be reduced or expanded without changing the structure of the array, the directional beam forming and wide beam forming with adjustable main lobe direction can be realized to cope with different working environments, and the directional anti-interference ability can be achieved. The simulation results show that the maximum gain of directional beam forming and wide beam forming at B3 center frequency is about 7.13 dBi and 3.56 dBi, the half-power beam width is 52° and 119° respectively, and the axial ratio width in xOz plane is 90° and 166° respectively. In B3 frequency band, the reflection coefficient of each feeding port is under −11 dB, and the isolation degree of adjacent ports is under −28 dB. The designed navigation antenna with adjustable beam forming mode is suitable for working scenes that often switch between open space without shielding and specific shielding environment, and it can improve the low gain of traditional mobile navigation terminal in the environment of high shielding angle such as “Canyon City”.
 
		         
					
 Email alert
Email alert RSS
RSS 
				  
	
	