2023 Vol. 35, No. 12
A method for simulating the optical-coupler-based fiber compound ring cavity (CRC) filter for mode selection of the single longitudinal mode fiber laser is proposed. With this method, we theoretically simulated two types of novel dual-coupler double ring CRC (DCDR-CRC) filter and tri-coupler double ring CRC (TCDR-CRC) filter. By introducing the Vernier effect, the transmittance characteristics of the proposed two filters under different cavity length differences are analyzed. The effective free spectral range (FSR), suppression ratio (SR) and bandwidth of the main transmission peak of CRC filters are optimized by adjusting the coupling ratios, cavity length and cavity length difference of the DCDR-CRC and TCDR-CRC filters. The simulated results show that the optimized effective FSR of the ring cavity can effectively suppress the gain competition in the transmission passband of the wavelength selector. Furthermore the lower SR can suppress the gain competition between the adjacent transmission peaks of the CRC filter, and the narrower bandwidth of the main transmission peak can ensure that only one longitudinal mode of the laser can be selected.
To better solve the problem of signal crosstalk caused by mode coupling in the transmission of few mode optical fiber, the transmission characteristics of linear polarization (LP) mode and vector mode in weakly coupled photonic crystal fibers were studied. A double clad photonic crystal fiber has been designed that can transmit 20 vector modes. The effect of fiber parameters on the minimum effective refractive index difference between adjacent LP modes was simulated using finite element method to optimize the structural parameters, allowing the fiber to support stable transmission of six LP modes, which meets the weak coupling requirements. Finally, the effective mode field area and bending loss of different modes were analyzed. The results show that the minimum refractive index difference between the modes of the fiber is more than 1.12×10−4, indicating that the crosstalk between the modes is negligible. Effective mode field area of basic mode reaches 1040 μm2, where the corresponding nonlinear coefficient is as low as 1.07×10−10. In addition, at the bending radius of 38 mm, the maximum bending loss of each mode is only 5.65×10−8 dB/km. Compared with mainstream single-mode fiber and few mode single cladding, this structure has larger mode field area, lower inter mode crosstalk and stronger bending resistance, enriching the development ideas of space division multiplexing technology. It provides useful reference solutions for emerging services such as big data, virtual reality, network transmission capacity and optical fiber sensing.
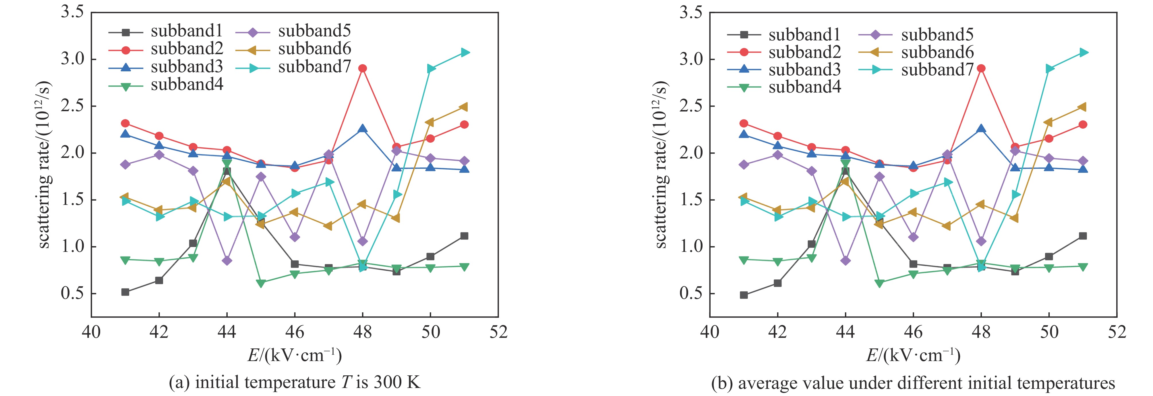
Quantum cascade laser is a newly developed important medium and far infrared laser source. In view of the important parameter of energy band electron temperature in the research and design of quantum cascade lasers, based on the relationship between electron kinetic energy and temperature and Fermi Golden Rule, this paper optimizes the rate equation so that it can calculate the subband electron temperature, thus achieving a more accurate solution of the rate equation. The calculation results show that compared with the existing kinetic energy balance method, this method describes the process of electron temperature change in the energy band in detail, and there is no need to use the optimization algorithm for a solution. When different initial temperatures are selected, the electron temperature of each energy level can be solved by self-consistent solution, and the convergence value with good consistency can be obtained. The results show that the deviation of the convergence value of electron temperature from the mean value is less than 8%, and the deviation of scattering rate is less than 1.6%. This study provides a new method for the design and research of quantum cascade lasers.
Using the fiber laser spectral beam combining technology, the limitation of the output power of a single fiber laser due to nonlinear factors can be broken, and a higher power laser output can be realized. Combing the development history of spectral beam combing technology and analyzing its current situation, principle, advantages and disadvantages, and combining with our research, we have designed a portable 3-channel combining system. By optimizing the entire combining system, three high power narrow linewidth fiber lasers of 1055 nm, 1070 nm and 1085 nm were combined to achieve a high-power laser output of 9650 W, with combincotion efficiency of 92%, and beam quality M2 of 1.7. The future dichromatic mirror spectral beam combining is also prospected.
The Yb3+/Ho3+/Tm3+-doped LiTaO3 polycrystalline materials at various doping mole fractions were prepared using a high-temperature solid-state synthesis method. The X-ray diffraction (XRD) patterns, ultraviolet-visible absorption (UV-Vis) spectra, and upconversion fluorescence emission spectra of Yb3+/Ho3+ -doped, Yb3+/Tm3+-doped, and Yb3+/Ho3+/Tm3+-doped LiTaO3 samples were tested. The XRD results indicate that the doped rare earth ions have not altered the crystal structure of LiTaO3, suggesting that the rare earth ions entered the lattice by replacing the host ions. The UV absorption edge of the samples shows a redshift followed by a blueshift with increasing mole fractions of Ho3+ or Tm3+. Under excitation from a 980 nm pump source, upconversion blue light (475 nm), green light (545 nm), and red light (663 nm and 650 nm) were observed in the visible region. The upconversion fluorescence chromaticity can be tailored by varying the mole fractions of Ho3+/Tm3+ in LiTaO3. Among the samples, the mole fractions 2.0%Yb3+/0.05%Ho3+/0.4%Tm3+ doped LiTaO3 polycrystalline specimen exhibits the excellent upconversion output near the standard white light.
A novel ridged double staggered grating (RDSG) slow wave structure (SWS) is put forward to develop the wide-band and high-power terahertz radiation source for meeting the demand of thriving field of terahertz. The high frequency structure of backward wave oscillator (BWO) is designed and optimized, meanwhile high frequency characteristics of RDSG and double staggered grating (DSG) are simulated and compared, indicating that RDSG has a higher ‘cold’ bandwidth and more prominent interaction impedance when their phase velocity are adjusted to basically the same. PIC simulation results show that, ridged double staggered grating backward wave oscillator has a tunable bandwidth more than 175 GHz, and it can generate more than 1.1 W output power which is 34%~42% higher than BWO implemented with conventional DSG in the frequency range around 1 THz.
The electromagnetic detection and imaging system enables wide-range, wideband, and fast localization of electromagnetic interference sources. The system primarily consists of a parabolic reflector and a multi-channel ultra-wideband signal acquisition system. Due to variations in device parameters across channels caused by manufacturing processes, it is impossible to achieve complete consistency, resulting in stripe noise in the obtained electromagnetic images that significantly affects localization accuracy. A bidirectional gated recurrent unit (BiGRU)-convolutional neural network (CNN) model was constructed, which constructs a dataset based on the measured data as the input. The BiGRU and the CNN utilize the strong correlation between neighboring rows of the image to extensively collect redundant information from the past and future inputs, to extract the stripe noise and to integrate the spatial information, and to utilize the difference between the data for loop iteration of this process. The model is validated through a large number of experiments and the BiGRU-CNN method outperforms other tested (classical) methods by reducing the vertical gradient energy by 15.2% and the residual nonuniformity by 21.9%.
The extraction system is the core component of the Rapid Cycling Synchrotron (RCS) of the China Spallation Neutron Source (CSNS). It is very important for beam striking the target accurately and stable operation of the accelerator. In this paper, firstly, the extraction system and beam extraction scheme of the RCS are introduced in detail, with emphasis on some key technologies. Secondly, the extraction beam commissioning is studied in depth, including longitudinal beam commissioning, transverse beam commissioning, and extraction beam distribution optimization. The longitudinal beam commissioning mainly refers to the accurate calibration of 8 Kickers' timing. The transverse beam commissioning mainly refers to the matching settings between the Lambertson magnet, 8 Kicker magnets and the beam transport line mode from the RCS to the target. Finally, the extraction beam loss is studied and optimized in-depth. Various sources of the extraction beam loss are explored. The leakage field of the Lambertson magnet, extraction bunch length, flat top of kicker waveform, kicker waveform variation, and so on, are studied in depth. Some new measurement methods are also discussed in detail. At the same time, the phenomenon of super-large radiation hot spot generated at the entrance of Lambertson magnet is studied in depth to find out the source of the large beam loss and put forward the final solution to reduce the extraction beam loss and radiation dose, and then make it meet the requirements of the accelerator operation.
Since accelerator beam orbit correction is crucial for stable operation of accelerators, accurate prediction of the changes of the accelerator beam orbit is also essential for automated beam calibration. Precise predictions of beam orbit changes can provide reliable information for adjusting accelerator control parameters to achieve precise control and regulation of beam orbit. In this paper, based on a multi-stage cascaded back propagation (BP) neural network and simulated accelerator data, the beam transport process in the medium energy transfer section of a linear accelerator is studied and an accelerator beam orbit prediction model is constructed to predict beam orbit parameters. The results show that the proposed multi-stage cascaded BP neural network achieves higher prediction accuracy and reliability than the prediction model built using a traditional single hidden layer BP neural network. This provides an effective method for optimally designing the medium energy transfer section of the linear accelerator and automating the calibration of the beam orbit.
The pre-alignment units of the High Energy Photon Source (HEPS) are numerious and require extremely high precision in magnet alignment. To verify the magnetic alignment accuracy of the pre-alignment magnet unit in the HEPS booster, vibration wire magnetic center verification measurements need to be carried out in the experimental hall at a certain ratio. Based on the vibration wire system developed in the pre-research stage, a detailed study is conducted to introduce the measurement principle and scanning method of the vibration wire magnetic center. The research focuses on the magnetic center allignment accuracy detection method of the two magnet units in the HEPS booster and conducts verification experiments. A high-precision repeat positioning clamping mechanism for the vibration wire was designed and constructed, and a method for correcting the sag of the vibration wire was studied. The magnetic center scan results of the two magnet units in the booster were analyzed by fitting. The experimental results show that the pre-alignment accuracy requirement of the HEPS booster for a relative position error between magnets better than 50 μm is satisfied. This study provides a reference for accurate measurement of the vibration wire magnetic center in other accelerator pre-allignment magnet units.
The Circular Electron-Positron Collider (CEPC) has high requirements for bunch charge, transverse emittance, and longitudinal length at the injector exit. Consequently, designing a high-performance electron gun and injector has become a challenge. To design an injector that meets the targets, many nonlinear and mutually coupled parameters need to be considered simultaneously. Therefore, we propose a method of searching in a high-dimensional parameter space using a multi-objective genetic algorithm to optimize the normalized transverse emittance and longitudinal bunch length, thus to maximize the performance of the electron gun. Since the full simulation of bunch transportaion with spacecharge effect is extremly time consuming, we adopted the deep Gaussian process as an surrogate model to solve high-dimensional parameter optimization problem. Through the analysis of key factors affecting the evolution of beam transverse and longitudinal phase space, a total of 16 geometric parameters and 10 beam element parameters have been determined in this paper. we present a design optimization for an injector consisting of an L-band radio frequency electron gun, a pair of solenoids, and a traveling wave tube, with an initial charge of 10 nC. After calculating 8000 effective solutions, we acquired a good approximation to the Pareto front between two objectives. The corresponding transverse normalized emittance is 19.8 π·mm·mrad, and the RMS beam length is 1.0 mm. Compared with the design requirement, the transverse normalized emittance is reduced by about 70%.
The proton beam window of the CSNS target station is located at the interface between the Ring to Target Beam Transport (RTBT) line and the target station, which can isolate the high vacuum of the accelerator and the helium environment of the target station. With the increase of the beam power of CSNS-II, the single-layer film structure of the proton beam window can no longer meet the high power of 500 kW, so the upgrading and development of the CSNS-II proton beam window are carried out. The structure design of the CSNS-II proton beam window is emphasized, and the cooling structure with water in the middle of the double-layer membrane is designed. The influence of the parameters of proton beam window, such as film radius, film thickness, length and width of water cooling tank, and convection heat transfer coefficient, on the temperature rise and thermal stress of the proton beam window was analyzed. Analysis on cooling water demand shows that the cooling water flow rate should be greater than 15 L/min. Through the fluid structure coupling analysis of the main body of the proton beam window, the dead water area inside the box is eliminated. The maximum temperature of the optimized proton beam window film is 47.8 ℃. The maximum thermal stress at the film position is 30.758 MPa. The radiation damage performance of proton beam window material is analyzed by FLUKA software. Under the irradiation of 5000 h of operation per year and 500 kW high power beam current, the calculated value of DPA of radiation damage per year is 1.285 DPA, and the life of proton beam window is more than 7 years.
As the fourth synchrotron radiation light source, diffraction-limited storage rings (DLSRs) are being vigorously developed and constructed around the world. How to efficiently inject beam into the storage ring while minimizing the disturbance to the stored beam is one of the important issues in the design and operation of DLSRs. The conventional bump injection which has a long history is widely used and has mature technology. However, it disturbs the stored beam and the small dynamic aperture of DLSRs, which makes it difficult to apply the conventional bump injection on DLSRs. To solve these problems, some conventional off-axis injection method have been improved and several on-axis injection methods have been proposed and developed. Hefei Advanced Light Facility (HALF) is a DLSR under planning and construction. Based on the physical design of the HALF storage ring, a couple of off-axis or on-axis injection schemes have been designed and applied. Their feasibility has been verified through particle tracking and simulation, and physical issues such as injection efficiency have been studied. Discussion of results and conclusion are also presented.
The China Spallation Neutron Source phase II (CNSS-II) is upgraded with superconducting cavity technology, which uses 648 MHz 6-cell superconducting cavity module in the energy range of 165−300 MeV. Three 6-cell superconducting cavities are integrated in each module. The superconducting cavity works in pulse mode. To ensure that the frequency of the superconducting cavity meets the operation requirements at 2 K, each superconducting cavity needs a set of low-temperature tuner to precisely adjust and control its frequency. According to the structure and operation characteristics of the 648 MHz 6-cell superconducting cavity, a low-temperature tuner is designed. The frequency offset of the superconducting cavity is compensated by a fast-slow combination mechanism. The basic performance of the tuner and the dynamic Lorentz detuning of the superconducting cavity in pulse mode are analyzed.
Due to the low effective sampling points, low data signal-to-noise ratio (SNR), and lower measurement resolution in the current single-pass digital Beam Position Monitor (BPM), a digital BPM measurement improvement algorithm for “beam single-pass” case is proposed. This algorithm enhances the effective sampling points by employing the “power division-delay-synthesis” technique for the analog signal. It improves the SNR of the sampling data through various data processing techniques, including data truncation, data concatenation, and digital bandpass filtering (BPF). Consequently, the resolution of the BPM is significantly enhanced. Experimental results demonstrate that this algorithm improves the measurement accuracy of the single-pass BPM by approximately two times without increasing the Analog-to-Digital Converter (ADC) sampling rate. The measurement method studied in this paper presents a novel solution for enhancing the measurement resolution of the single-pass BPM and has been successfully implemented in the Beijing Electron Position Collider II(BEPCII) and High Energy Photon Source (HEPS) linear accelerator projects.
A normal-conducting S-band linear accelerator based 10 MeV photon FLASH radiotherapy X-ray source prototype was built. By using high-energy, high average current electron beam hitting a rotating target, a high dose rate of 80.5 Gy/s at a source-axis distance of 1 m was successfully obtained, which reaches the threshold for future clinical trial.
Linear power supply is widely used as the driving power of semiconductor laser because of its advantages such as low interference and fast dynamic response. To solve the problem that the regulating tube fails due to excessive power consumption, this paper proposes a hybrid pulse width-pulse amplitude modulation strategy, which uses the drain-source voltage and drain-current of the regulating tube to modulate high frequency square wave, and calculate the mean value of square wave, based on which the regulating tube power consumption detection circuit is designed. An experimental platform is built to test the circuit, and the results show that the circuit has the advantages of excellent detection accuracy, low hardware cost and fast response. The circuit has a maximum relative error of
The improved Chinese pressurized reactor CPR1000 is one of the widely used second-generation pressurized water reactor in China. Quantitative verification of the Monte Carlo code in CPR1000 series reactors is a key step to demonstrate its ability in engineering design. Based on the actual parameters of a CPR1000 unit, the JMCT Monte Carlo code was used to perform particle transport modeling and calculations. Critical calculations and fixed-source calculations were performed, then the verification and validation were conducted. For critical calculations, a full core pin-by-pin model was established using JMCT to calculate the effective multiplication factor and power distribution of the core. For fixed source calculations, a reactor model for shielding analysis and a detailed structural model of irradiation surveillance capsules (ISC) were established. Based on the neutronic parameters of multiple refueling cycles, simulation was performed to calculate the cumulative fast neutron fluence for two ISC extracted from two nuclear power plants. By comparing the calculation of JMCT with the reference code and measurement, the simulation ability of JMCT code in CPR1000 reactor was demonstrated, and it was proven that the calculation accuracy of JMCT code is of engineering-level.
Due to the large number of randomly distributed dispersed particles in the matrix, the double heterogeneous (DH) system has a complex geometric structure, and it is often difficult to deal with the DH system using the traditional neutronics calculation method. The reactivity equivalent physical transformation (RPT) method is a commonly used approximation method. This paper analyzes the three key steps of the RPT method: the solution of the exact initial value, the solution of the equivalent radius, and the selection of the depletion algorithm. The influence of different algorithms on the efficiency and accuracy of the RPT method is discussed. Based on OpenMC, an RPT module is developed on the Python API. The numerical results show that the optimized RPT module can meet the needs of engineering calculation accuracy while maintaining good calculation efficiency.
To further develop the optimization technology of alpha particle energy spectrum detection parameters based on Monte Carlo simulation method, this paper uses PyQt5 to design a software that calls Monte Carlo simulation package Geant4 for alpha particle energy spectrum simulation research. On the one hand, a physical model of the Passivated Implanted Planar Silicon detector for measuring α particles is established, and the simulated physical process, model materials, particle source geometry, composition and other parameters are corrected according to the actual α particle measurement conditions, combined with the PyQt5 interface. The development platform visualizes functions such as particle source parameters and detector parameter modification. The detection efficiency of the model is obtained by performing simulation experiments under multiple detection distances and different vacuum pressure conditions, and after the acquired energy is deposited into a spectrum, it is broadened by the EMG-Landau (Exponentially Modified Gaussian and Landau) response function model. On the other hand, to verify the accuracy of the detector model, the detection efficiency of the simulation results and the measured results are compared. The experimental results show that the detection efficiency errors of both are within 5%, and the EMG-Landau response function model broadened works well. The research results of this paper verify the reliability of the Geant4 simulation software in the study of α-particle energy spectrum. The software can directly modify the measurement conditions of α-particle energy spectrum, simplify the simulation steps, and improve the simulation efficiency, thus provides a powerful tool for α-particle energy spectrum detection parameter optimization technology.
In recent years, the terahertz control technology has shown a good application prospect in the fields of detection, imaging, wireless network communication and so on, and has attracted the attention of scholars at home and abroad. To achieve efficient terahertz regulation, an efficient and low-cost material is urgently needed. New perovskite materials have become one of the most promising candidates for high stability optoelectronic devices due to their excellent photoelectric properties. At the same time, perovskite has the advantages of simple preparation process and mass production, thus it is very suitable to be used as the active material of terahertz metamaterials. The properties of active materials can be changed by external excitation, and terahertz waves can be adjusted flexibly. Therefore, this paper selects a new perovskite material with external optical field to regulate terahertz waves, and analyzes the influence of two states-before the optical field action (insulating state) and after the optical field action (metallic state) on the amplitude and phase of the unit structure in the wide band of terahertz. A perovskite-based 1bit terahertz coding metasurface structure with flexible light field regulation was designed. The structure is composed of organic and inorganic hybrid perovskite CH3NH3PbI3 (MAPbI3), polyimide and aluminum. The simulation results of CST show that the metasurface structure can realize 180° phase difference change of wide spectrum (0.1, 1, 2, 6 THz) terahertz waves under the control of light field. After the design of metasurface coding structure, the same coding sequence can realize the transformation of far-field beam. The results show that the encoding metasurface based on optical field manipulation of perovskite materials provides a new idea for realizing flexible terahertz wave regulation, and has great application potential in terahertz communication, security check, biomedical imaging and so on.

Email alert
RSS
