2023 Vol. 35, No. 9
- Cover and Contents
- Laser Damage of Optical Elements
- High Power Laser Physics and Technology
- Operation and Maintenance of Large Scale Scientific Facility
- Inertial Confinement Fusion Physics and Technology
- High Power Microwave Technology
- Particle Beams and Accelerator Technology
- Pulsed Power Technology
- Nuclear Science and Engineering
- Advanced Interdisciplinary Science
The key materials near the target chamber suffer from radiation damage in the laser-driven inertial confinement fusion (ICF) facility, which limits the lifetime of materials and stable operation of ICF facility. This review summarizes the progress of research on irradiation effects of three major types of key materials in or nearest to the target chamber: stainless steel, aluminum alloy, and final optics assembly. The ablation and neutron activation of first-wall materials in the target chamber caused by neutron beam, γ-ray, X-ray and other high-energy particles are introduced and the impact of the target chamber environment on the materials and corresponding protective strategy are analyzed in detail. In addition, various radiation damage phenomena and related damage mechanisms of the final optics assembly near the target chamber under 1ω laser, 3ω laser, and the complex high-energy radiation environment are also elaborated. Hopefully, this review can provide a reference for the construction and development of laser-driven ICF in China.
Based on optical element’s high precision in-situ measurement requirements, this paper carries out the sensitive factor simulation analysis, studies the influence of systematic structural errors and temperature errors on the measurement results, and designs and builds an in-situ measurement device to carry out measurement experiments of system temperature change, system repeatability and system stability. The results show that the simulation detection model can be used for plane/spherical/aspherical/free surface, the influence on the measurement results is mainly reflected in the low frequency error, the high frequency error is relatively small, the maximum PV value of the measurement surface shape error does not exceed 68nm (about λ/10), and the maximum RMS value does not exceed 15 nm (about λ/40).
At present, the operating temperature range of fiber lasers is generally narrow, and if the operating temperature range of lasers can be extended, they are expected to be applied in more environments and fields. Recently, the all-fiber oscillator scheme pumped by an air-cooled fiber coupled semiconductor laser (LD) at the National University of Defense Technology has achieved a laser output of 1 kW in the ultra-wide temperature range of −50~50 ℃. By optimizing the system design, the output power of the laser with wide temperature operation is expected to be further improved.
High-power narrow linewidth fiber lasers have played an important role in the fields of coherent synthesis, spectral synthesis, and nonlinear frequency conversion, attracting extensive attention from domestic and foreign researchers. In recent years, the fiber laser technology group (FLTG) of Wuhan National Laboratory for Optoelectronics (WNLO) at Huazhong University of Science and Technology has been conducting excellent research on domestically manufactured high-power narrow-linewidth linearly polarized fiber laser technology. In 2022, the research team achieved a 1.2 kW narrow linewidth linearly polarized fiber laser output based on a forward-pumping structure and a 3.2 kW narrow linewidth linearly polarized fiber laser output based on a counter-pumping structure, respectively, adopting a fiber oscillator laser (FOL) seed and the homemade polarization-maintaining Yb-doped fibers (PMYDF). Recently, the research team achieved a 4.1 kW narrow linewidth linearly polarized fiber laser output by applying the combination of an optimizing doped component PMYDF and an improved FOL seed for suppressing the TMI and stimulated Brillouin scattering (SBS) effects during the power scaling.
This paper demonstrates that the single crystal optical parametric amplification process (OPA) satisfies spectral parity-time (PT) anti-symmetry under specific boundary conditions, and the PT symmetry threshold point exhibits a gain jump property. For an OPA with phase mismatch, the PT symmetry of the system can be controlled by instantaneous adjustment of the pump intensity. Based on this property, this paper constructs an ultrafast optical switch, which can combine with amplitude modulated pump to directly convert continuous laser into an ultrashort output pulse sequence. On the other hand, the optical switch can be used for further pulse compression and is promising to be used as an ultrashort mid-infrared seed source. The proposed scheme is easy to directly generate ultrashort pulse sequence with repetition rate higher than 10 GHz because the optical resonant cavity is not required.
Photo-transmutation is an important path to handle long-lived fission products. In this research work, an optimization scheme of photo-transmutation induced by Laser WakeField Acceleration (LWFA) driven electrons is proposed. Numerical simulations of photo-transmutation of 135Cs by this scheme are performed. Monte Carlo simulations show that with increasing electron energy, transmutation yield gradually saturates. The transmutation efficiency per unit electron energy has a peak near 40 MeV, with half-maximum energy of 20−120 MeV. To enhance electron charge within the half-maximum energy range and optimize transmutation yield, PIC simulation was used to study the transmission process of ultrashort and ultra-intense lasers in gas plasma. The results show that as plasma density decrease, the energy of electrons gradually increase while their charge are gradually reduced. Moreover, circularly polarized lasers exhibit higher electron energy and charge than linearly polarized ones. Through adjusting the plasma density and laser polarization, it is found that there is an optimal value for transmutation yield under the conditions of circular polarization and specific density. The scheme is expected to promote the studies of nuclide transmutation in a tabletop ultra-intense and ultra-short laser device with high repetition rate, as well as the potential applications in medicine and nuclear-waste management.
To improve the calibration accuracy of X-ray detectors, this paper presents a method of placing filters in fluorescent X-ray emission channels to improve the purity of X-rays. Monte Carlo simulation model was established to analyze the relationship between the probability of photoelectric effect in K layer and the atomic number, and the curve of fluorescence intensity and purity with filter thickness was obtained. In atmospheric environment, the energy spectrum distribution and photon flux of fluorescent X-ray source were measured by silicon drift semiconductor detector, and the effect of X-ray tube voltage on photon flux and fluorescence purity was analyzed. When the radiator material is copper and the thickness of the filter (nickel) is 0 μm, 10 μm and 30 μm, the purity of fluorescence X-ray measured is 75.61%, 85.38% and 84.25%, and the photon flux is 3425 phs/s, 2023 phs/s and 1192 phs/s, respectively. The influence of filter thickness on the purity and intensity of fluorescent X-ray is confirmed, which provides a direction for solving the problem that it is difficult to calibrate X-ray detectors with high accuracy due to the lack of monochromatism of fluorescent X-ray light source.
Two 808 nm semiconductor lasers were combined by V-shaped spectral beam combining and locked at 795.8 nm and 800.5 nm respectively. The output power and beam quality in the slow axis were improved significantly. The sum frequency of semiconductor lasers was realized based on the laser source. A laser with an output power of 6.5 W and beam quality of M2=2.2×18.5 was obtained by the spectral beam combining. The M2 in slow axis was improved by 30% and the combining efficiency was 83%. The sum frequency laser with 401.0 nm at a power of 18.3 mW was obtained and the efficiency of sum frequency generation was 0.28%.
One of the main problems occur during inertial confinement fusion (ICF) laser facility’s long-term operation is the gain degeneration of the 400 mm aperture slab amplifier,which will affect the output of the facility and the laser beam quality. A study on gain degeneration causing by several factors was carried out and a normalization theory model from all the factors has been built. The test was accomplished on two groups of 400 mm aperture, 4×2 composition multi-segment slab amplifier with each group includes 9 slabs. The gain degenerating rate was about 10.2% after 10 years, 3 000 shots of work which is in accordance with the theoretical predication. A maintance project for the large aperture slab amplifier has been drawn up to keep the gain degeneration less than 1.5% during long-term operation of the ICF facility.
Aiming at the assembly scheduling problem of optical and mechanical modules for large laser devices, a scheduling priority rule acquisition method based on artificial neural networks (ANNs) is proposed. In the offline phase, this method optimizes the scheduling data through genetic algorithms, extracts task comparison trajectories and feature data from the optimization solution, and uses ANNs to learn the task priority comparison model. In the online phase, a closed-loop decision scheduling mode is constructed based on this model to achieve rapid response and accurate decision-making in dynamic uncertain production environments. Data experiments and practical application cases verify the effectiveness of this method. With the increase of the number of optical-mechanical modules, the advantages of ANN scheduling algorithm become more obvious. When the optimization results of ANN scheduling algorithm and GA algorithm are less than 6%, the computational efficiency of the former is more than 400 times that of the latter.
In the study of indirectly driven laser fusion, the flat response X-ray diode is the main detector for the measurement of X-ray radiation energy flux. To obtain ideal flat response effect, it usually costs a lot of time to optimize the composite filter parameters of the detector. In this paper, the particle swarm optimization algorithm is developed and applied to optimize the parameters of compound filter of flat response X-ray diode. Compared with the previous work, the method developed in this paper can get the optimized parameters of composite filter more quickly and accurately. On this basis, this paper proposes a new filter combination mode, optimizes its flat response characteristics, and obtains a better parameter ratio than the traditional filter combination. The work in this paper provides a more efficient method for searching the parameters of the composite filter of the response X-ray diode
For compact high-power microwave devices operating at low magnetic field, a compact S-band relativistic magnetron operating at low magnetic field was designed and simulated with three-dimensional particle-in-cell codes. This tube radiates TE11 mode in circular waveguide with diffraction output structure. As the cutoff radius of TE11 mode is the smallest in circular waveguide, compared with higher modes, the radius of the output waveguide could be reduced obviously. The output performance as a function of magnetic field, radius of waveguide and angle was studied. Typical simulation results show that microwave power of 567 MW was generated at 2.37 GHz when the voltage and magnetic field were 352 kV and 0.34 T, the power conversion efficiency was 62.5%, and the radius of waveguide was only 77.5 mm.
The theory, method, and experimental studies on mode-locked free-electron laser (FEL) have been of great interests in the world. In this paper, we propose a method to generate mode-locked multi-color free-electron laser radiation pulses based on the electron beam phase space beating. Utilizing an electron beam with head-tail energy chirp and the two modulator-chicane setups in the Shanghai Soft X-ray free-electron laser facility (SXFEL), multiple current pulse trains can be formed and mode-locked multi-color free electron laser pulses can be generated. The simulation results indicate that, with the help the 264 nm seed laser, bunching factor at the 18th harmonic of the seed laser can be formed and ultimately mode-locked multi-color FEL radiation pulse with a central wavelength of approximately 14.58 nm can be generated. This study is of great significance for the development of the mode-locked FEL in China and the performance improvement of the SXFEL facility.
To efficiently adjust the output beam energy of the Hefei Light Source II (HLS-II) linac, this study presents a beam energy adjustment scheme. During the debugging stage, the beam bunch state is observed, and the beam energy is measured using an energy spectrum analysis system. In the storage ring injection stage, three Beam Position Monitors (BPMs) are employed for online beam energy measurement. An automatic phase scanning program is utilized to scan the output phase of the klystrons, deriving the energy gain formula for each acceleration section. By quantitatively adjusting the output phase and high voltage of the klystrons, rapid adjustment of the output beam energy of the linac is achieved. The online application results demonstrate that the proposed scheme can swiftly adjust the beam energy, with the adjusted beam exhibiting excellent quality and a transverse energy spread of less than 0.22%. Furthermore, the implementation of this scheme significantly improves the injection rate.
To realize the miniaturization and lightweight design of Tesla transformer with high output voltage, the relationship between the surface flashover characteristics of support insulators and the surface electric field in a 0.5 MPa SF6 gas environment is studied. The electric field simulation model of Tesla transformer is established using the finite element method. Combined with experimental research, the surface flashover process of support insulators is analyzed, and the field equivalent experimental methods and conclusions of key insulation components of Tesla transformer are clarified. Based on the above analysis, the structure of support insulators is optimized. After optimization, the maximum electric field along the concave side of the support insulator decreases by about 81.5%, the average value of tangential electric field intensity decreases by about 10.3%, while the average value of normal electric field intensity decreases by about 30%, the distance along the surface increases by 11.8%, and the electric field unevenness coefficient decreases from 5.03 to 1.2. The electric field distribution is significantly improved, and the optimized insulator can withstand 1 MV negative polarity microsecond pulse voltage.
Multiple D-dot voltage probes were designed and calibrated to measure the voltage of a 4 MV induction voltage adder. The frequency response test results indicate that the upper limit of the probe frequency is greater than 270 MHz, which meets the frequency response requirements of the voltage signal to be tested. In calibration, due to the different installation positions of the voltage divider and probe, in order to avoid the mismatch of transmission line impedance causing voltage waveform differences in the fast rising voltage signal at different measurement points, a pulse signal with a front edge of about hundreds of nanoseconds is used for calibration. Due to the low-frequency characteristics of the probe meeting both calibration and actual measurement requirements, the accuracy of calibration can be guaranteed. Considering the direct impact of assembly structure and accuracy on the sensitivity of the probe, the output transmission line probe adopts an online calibration method during the step-by-step installation process of the induction cavity. Due to the influence of electrons and other factors on the voltage probe near the diode, waveform distortion occurs, making it difficult to directly measure the load voltage. The results of multiple experiments on a 4 MV device indicate that the difference between the voltage waveform on the output transmission line and its downstream position is consistent with the voltage waveform calculated using the inductance between the two position, indicating that using the measurement results of the upstream voltage probe of the diode to calculate the diode voltage is effective.
The wire wrap on the surface of the fuel rods of the sodium cooled fast reactor can strengthen the transverse flow of the coolant between the channels, reduce the unevenness of the temperature distribution in the assembly box, and improve the safety of the reactor. Different types of wire-wrap mixing models are used in sub-channel codes to simulate the effect of wire wrap on simulation results in an assembly. To study the influence of different wire-wrap mixing model on the simulation result of flow and heat transfer, based on the Mikityuk convective heat transfer model and the Cheng-Todreas flow pressure drop model, sub-channel analysis method has been established with the forced cross flow model and the wire-wrapped turbulent mixing model respectively. The results are compared with the data of FFM-2A experiment carried out by ORNL and results of other sub-channel codes. It is found that in the case of low flow rate, the two methods’ simulation result fits the flow and heat transfer of the wire-wrapped assembly well. And in the case of high flow rate, the method of the forced cross flow model is consistent with the experimental results, while the method of the wire wrapped turbulent mixing model overestimates the temperature at the outlet of channel center.
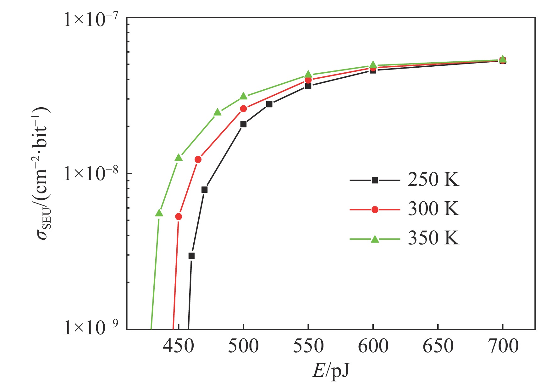
This work proposes a two-electron resonance absorption (TERA) model, which explains the reason for laser-induced single event upset (SEU): when the energy of a single photon is not enough to excite the electron-hole pair, there will be de-excitation from a free-electron with higher energy in the conduction band to provide extra energy to excite the electrons in the valence band to the conductive band. This model can explain the physical mechanism of the material’s absorption of photons in the laser-semiconductor material interaction and explain the effect of the ambient temperature and doping concentration of the material on the absorption coefficient through the importance of the concentration of high-energy electrons in the conduction band for TERA. In our simulation, we use laser as the energy source for the thermal spike model, and the spatial-temporal evolution of the electronic temperature in the material during the laser radiation is simulated. Therefore, the change in absorption coefficient can be explained by the TERA. Moreover, according to the Fermi-Dirac distribution, the free charge density is calculated by the electronic temperature of the material. Furthermore, the accumulated free charge induced by laser radiation is given by the integration over the whole volume of the material. Thus, the numerical solution of the charge excitation process is obtained, through which the total amount of excitation charge when the laser induces SEU can be calculated. The simulation results show that the relationship between laser energy and the total excitation charge is nonlinear, i.e., there is a nonlinear correspondence between laser energy and the linear energy transport of particles, which is consistent with the experimental results.
A composite device of intelligent multifunctional laser protection goggles and automatic detection and alarm is designed and developed, which is mainly used for protection and early warning of human eye damage caused by laser radiation. The protection spectacles, detection and alarm system and intelligent composite protective technology are studied. The laser protection and detection and alarm performance of the composite device are tested. The signal interconnection and linkage between the protection spectacles and alarm device are used to combine the protection spectacles’ double spectacles and send alarm signals. The results show that when the laser protection alarm compound device detects the laser irriadiation, it can send out various alarm signals and compound protection response in different ways, including flashing lights of different colors, sound and vibration alarms, and drive the two protection spectacles to recombine. It can effectively protect human eyes from laser of specific wavelengths (532 nm, 1 064 nm, 470 nm, 808 nm and 700−2 000 nm) as well as from supercontinuum laser, and realize cluster linkage alarm and protection through wireless signal interconnection. The laser protection spectacles and detection and alarm composite device has the characteristics of intelligent, modular and multifunctional integration, and its performance meets the design requirements
Due to the less information of distant target, it is always challenging to accurately track the target in the task of infrared dim small target tracking. To improve the accuracy, based on correlation filtering framework, the side window filtering method which can extract the edge features of small infrared target is introduced, and an algorithm of distant target tracking is proposed. Specifically, the side window filtering method is used to process the searching area of the current target, this method could restrain the negative influence of background edge on dim small target location. Next, the correlation filters tracking model is constructed with temporal and spatial regularities to achieve accurate target tracking. To verify the performance of the proposed algorithm, six groups of real infrared dim small target image sequences were used for experiments, and the algorithm is compared with other typical algorithms such as KCF, SRDCF and STRCF. The experimental results show that the algorithm could effectively solve the problems of fast motion, low resolution and strong light background in infrared dim small target tracking tasks, getting higher accuracy with image sequences and complex background.
To solve the heat dissipation problem of high heat flux density solid-state laser, a set of micro-compact embedded manifold S-shaped microchannel heat sink was developed using the MEMS technology and the microchannel/heat source co-design method. The heat exchanger uses continuous S-shaped microchannels and the manifold is used to form tiered and segmented flow. Experiment was conducted, using HFE-7100 as the cooling medium. Results show that the heat sink can dissipate 625 W/cm2, with a local maximum temperature of less than 100 ℃ and an average temperature rise of less than 45 ℃. Compared with the traditional manifold rectangular microchannel heat sink, the heat dissipation performance of S-shaped microchannel increased by 12%, but the flow resistance increased by about 56%. Numerical simulation methods were used to evaluate the structural parameters of the S-shaped microchannel heat sink’s heat dissipation ability and flow resistance by changing the amplitude and wavelength of the S shape according to the average temperature of the heating surface, average Nusselt number of the heat transfer surface, pressure drop, and comprehensive performance factor, to find the optimal structure design parameter combination of the S-shaped microchannel. The results show that the comprehensive performance factor of the heat sink has an optimal value under a specific S-shaped configuration, which will be used in subsequent studies.
In a complex electromagnetic environment, magnetic field interference is one of the main reasons for the error of fiber optic gyroscopes. To reduce the influence of the magnetic field generated by the heating plate in the body of the fiber optic gyroscope on the accuracy of the gyroscope, a double-layer heating plate structure is designed, and a comparative analysis of the magnetic field at the fiber optic ring position above the single-layer and double-layer heating plates is carried out by using the finite element method, and the influence of the magnetic field on the accuracy of the fiber optic gyroscope is calculated based on the analysis results. The results show that the magnetic field of both heating plates is non-uniform at the location of the fiber optic ring. The magnetic flux density near the fiber optic ring to the heating plate has a ring-like distribution, while the magnetic flux density away from the heating plate has a strong center and weak center distribution. With the increase in the distance between the fiber ring plane and the heating plate, the maximum magnetic flux density of the single-layer heating plate on the fiber ring plane is about 30 to 122 times that of the double-layer heating plate. The magnetic sensitivity phase error of the fiber optic gyroscope varies sinusoidally with the direction of the magnetic field and the angle between the fiber ring. The phase errors of the magnetic field on the lower surface of the fiber ring are 1.299×10−10 rad and 5.572×10−12 rad, respectively. The above results prove that the magnetic field of the double-layer heating plate interferes with the fiber-optic gyroscope much less than that of the single-layer heating plate and that the electromagnetic interference generated by the double-layer heating plate is much smaller, which is more conducive to improving the accuracy of the fiber-optic gyroscope.

Email alert
RSS
