2024 Vol. 36, No. 1
This paper briefly introduces the Waveform Agile Radio-frequency Directed Energy (WARDEN) project released by Defense Advanced Research Projects Agency (DARPA), Directed Energy and Base Defense, and Directed Energy Futures 2060—Visions for the next 40 years of U.S Department of Defense Directed Energy technologies released by Air Force Research Laboratory, focuses on the analysis of high power microwave effect research in the above reports. The present research progress and future research emphases of high power microwave effect in the United States are presented as “further investigating the mechanism of high power microwave backdoor disrupting effect of UAVs and cruise missiles, improving the attack distance of high power microwave weapon system to UAVs and cruise missiles”, these conclusions will provide important references for our high power microwave effect research.
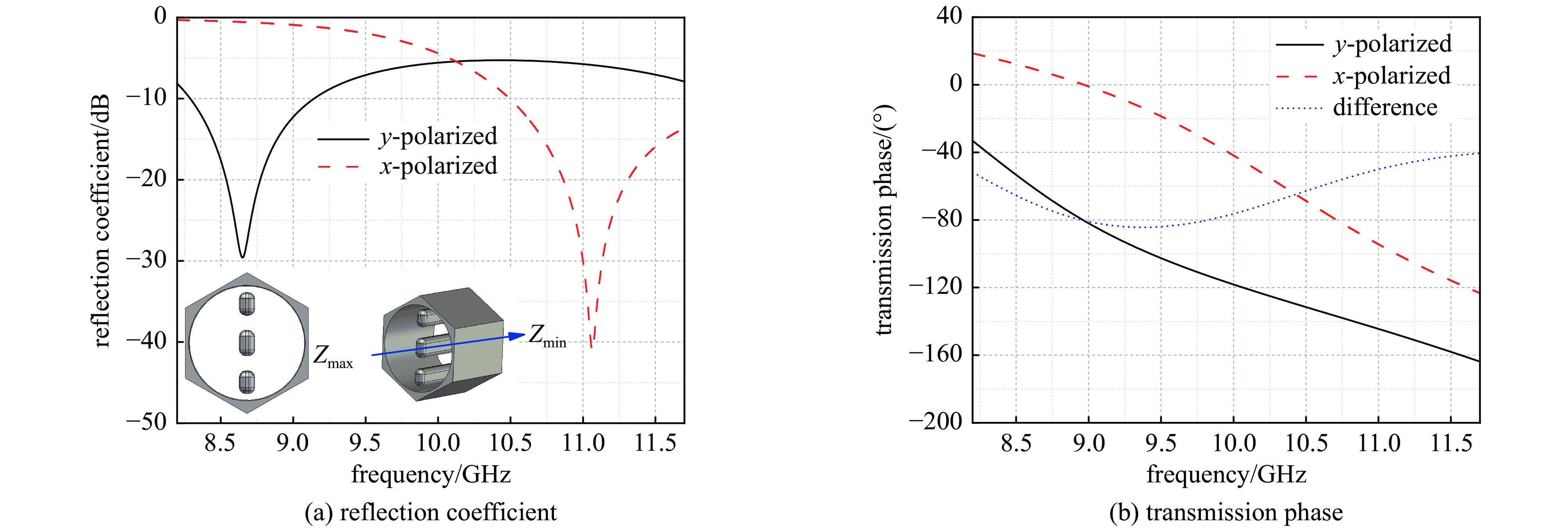
In this paper, utilizing the geometrical phase shifting method of Variable Rotation Technique (VRT), we propose a beam scanning high-power microwave reflectarray antenna based on the concept of transmission phase difference. Electromagnetic simulation results show that the designed trident-shaped reflectarray antenna element operates at 9.5−10.5 GHz, has a linear phase shift capability within 360° at 0−40° incidence angle, and has a power handling capacity of 1.11 GW under vacuum conditions. A circular-shaped aperture reflectarray antenna with a radius of 200 mm is designed using the proposed element, and verified by full-wave simulation. Through the reconfiguration of the aperture phase distribution, the designed reflectarray antenna can realize the beam scanning in the range of ±40°. At 10 GHz, the maximum gain loss during beam scanning is less than 1.63 dB, the maximum gain reaches 31.1 dBi, the corresponding aperture efficiency is 73.42%, while the minimum aperture efficiency is more than 50%. The sidelobe level and axial ratio are always lower than −18.7 dB and 1.6 dB, respectively.
Microwave power module (MPM) is a new type of microwave power device which is a combination of vacuum electronic devices and solid-state electronic devices. It has the characteristics of high frequency, wide bandwidth, large power and small volume and weight, which makes the application of conventional traveling wave tubes more convenient and extensive. Modern warfare is developing towards the integration of radar and electronic warfare, which requires that the power amplifier can work in both high-mode with high peak power and low duty cycle and low-mode with low peak power and quasi-continuous wave. To meet this demand, combined with the requirements of common aperture of electronic system, this paper presents the T/R dual-mode MPM technology. The core of the T/R dual-mode MPM technology is a T/R dual-mode traveling wave tube. Based on the three-port bidirectional T/R traveling wave tube, the signal reverse receiving function is realized by setting a coupling port near the attenuator of the slow wave system. The dual-mode bidirectional function of MPM is realized through the design of T/R dual-mode traveling wave tube, dual-mode amplifier and equalizer, and dual-modulation grid power supply. T/R dual-mode MPM has broad application prospects, especially in combat applications based on Unmanned Aerial Vehicle platform.
Aiming at the possible breakdown phenomenon of high power microwave in atmospheric transmission, this paper focuses on the study of the first pulse burst delay and subsequent pulse burst delay in pulse sequences. It is found that the first pulse burst delay is approximately uniformly distributed within the pulse width range, and the subsequent pulse burst delay has a small jitter. The ionization rate is analyzed based on the breakdown delay data, and it is pointed out that under the repeated frequency condition, the initial electron density is high, and the electron density distribution is not suitable for exponential distribution, which makes it impossible to estimate the ionization rate using the standard deviation of the delay data. At the end, the paper proposes a method for calculating ionization rate using repeated frequency pulse burst delay data, and compares the calculated results with the simulation results, which have a good correspondence.
Solid-state photoconductive microwave source based on wide-bandgap photoconductive semiconductor is a new way of high power microwave generation. The scheme has the characteristics of high power density and wide frequency band, and its low time jitter characteristic makes it have great potential in power synthesis. The construction of active phased array of photoconductive microwave devices using optical beamforming network is an important way for the application of photoconductive microwave devices. In this paper, the principle of optical microwave phased array system is analyzed, and the theoretical models of differential true delay phased array and true delay phased array considering phase random error are constructed. The key factors affecting power synthesis and beam scanning are quantitatively analyzed and simulated, and the delay precision index is proposed.The results show that for the n×10 array transmitting signal at 1 GHz, when the delay phase variance is less than 10 ps, the pointing deviation is less than 0.2° and the peak gain loss is less than 2%. When the delay step accuracy is less than 10 ps, the pointing deviation is less than 0.2°, and the peak gain loss is less than 0.03%. On this basis, the real time delay network architecture of photoconductive microwave is designed, which provides a reference for the development of higher power and larger scale photoconductive microwave synthesis technology in the future.
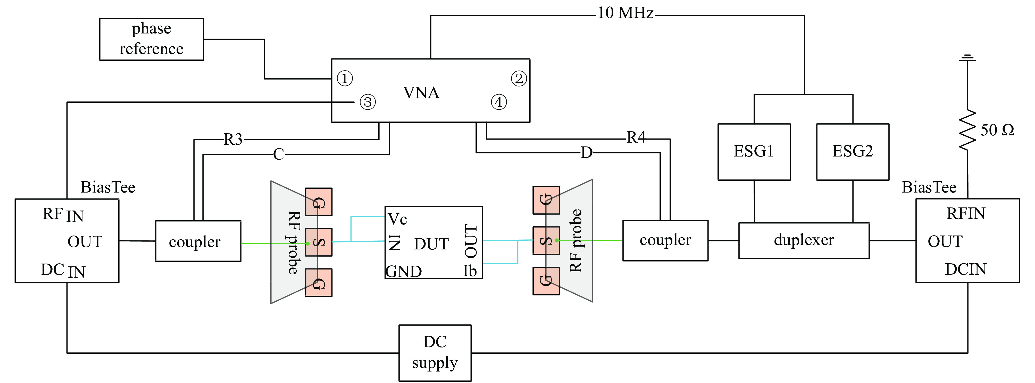
Under the impact of high-power electromagnetic pulses, RF integrated microsystems are prone to generate load mismatch, which may lead to system failure or even damage. Based on a real-time waveform test method, this paper analyzes the mechanism of load mismatch of RF devices leading to device damage. This method utilizes vector network analyzer as the main instrument, obtaining the real-time voltage and current waveforms with reflection signal and phase reference module. Active load-pull technique is used to simulate high power coupled electromagnetic pulse injection and ruggedness test under 39∶1 VSWR is done. Furthermore, harmonic source injection is newly applied to simulate the electromagnetic interference caused by harmonics, obtaining the harmonic impedance mismatch characteristics of the device. The test results of actual heterojunction bipolar transistor device indicate that the combination of fundamental and harmonic interference components causes the transient peak value of the output voltage to be higher, which is more likely to damage the device. Hence the fundamental and harmonic components should be considered when conducting electromagnetic protection.
The traditional transmissive air-fed array suffers from the drawback of low power capacity and cannot be directly applied in the high-power microwave field. The existing high-power air-fed array layouts are not flexible enough and have slow beam scanning speeds, which cannot fully exploit the advantages of phased arrays in system integration. This article proposes and designs a new type of spiral radiation unit using spatial feed, and constructs a transmissive air-fed spiral array antenna. By controlling the rotation of individual spirals, two-dimensional beam scanning can be achieved, making the design more flexible and adaptable to the actual application requirements, in line with the compact and modular development trend of high-power microwave antennas. An array consisting of 324 units was simulated and designed. The numerical simulation results show that the unit S11≤−20 dB, power capacity is 0.35 MW, array aperture efficiency is 0.68, and it can scan within the range of ±45°, with a maximum gain reduction of 3 dB.
A full-circuit simulation model of silicon carbide Drift Step Recovery Diode (DSRD) and Diode Avalanche Shaper (DAS) was built based on Sentaurus. By use of simulation, this paper investigates the capability of silicon carbide plasma devices in pulse sharpening and explains the mechanism of pulse sharpening achieved by these two devices through the plasma concentration distribution inside the devices. With the help of a silicon carbide DSRD, it is possible to reduce the pulse front of voltage pulses with peaks in excess of kilovolts to 300 ps. The combination of the silicon carbide DSRD and DAS can output voltage pulses with a pulse front of 35 ps and a peak of more than two kilovolts. Simulations and experiments show that when the trigger pulse is matched to the silicon carbide DAS, fast turn-on and turn-off can be achieved. Thanks to the magical phenomenon of silicon carbide DAS, it can reduce the half-height width of pulses with peak values above 2 kV to the order of 100 ps. Through spectrum analysis, it is found that after the pulse is sharpened by DAS, its −30 dB spectral width is expanded by a factor of 37 to 7.4 GHz.
A novel tightly coupled dipole array antenna with high power and broadband is proposed in this paper. On the basis of conventional tightly coupled dipole array antennas, and by adopting an all-metal structure design, an integrated design of antenna matching layer and sealing layer, and a method of adjusting the antenna structure, a high-power and broadband performance of such an array antenna is obtained. The simulation results show that the standing wave ratio of the array antenna is less than 2 at the broadside in the range of 0.8-4.0 GHz. And the power capacity of an element antenna reaches 0.12 MW within the size of 16 mm × 32 mm in the space full of SF6 at one atmospheric pressure. Moreover, the power capacity of the 10×10 array antenna composed of 100 elements can reach 12 MW within the size of 320 mm × 640 mm in the space full of SF6 at one atmospheric pressure. In addition, the array antenna can achieve a wide-angle scan of 45°. The proposed array antenna provides a solution for high-power microwave broadband antennas to achieve a broadband, large-angle scanning, compact, miniaturized, and low-profile performance.
For the existing 10 kW high-power industrial microwave oven, a relay is used as the control actuator. When using traditional control methods for heating, there is a large overshoot and obvious temperature oscillation, and the system temperature stability is low. To solve the above problems, back propagation neural network PID control is introduced into the microwave heating temperature control of the installation, and simulation comparison and experimental verification are conducted using tap water as the heating object. Firstly, using existing input and output experimental data, establish a temperature control model for industrial microwave ovens; Secondly, use MATLAB/SIMULINK to build a high-power industrial microwave oven temperature control system and conduct simulation comparative experiments; Finally, experimently verify the temperature control performance of the back propagation neural network PID control method in industrial microwave ovens when heating 5 kg of tap water. The experimental results show that this method has smaller overshoot and no significant temperature oscillation compared to conventional PID and fuzzy PID control in the medium temperature control during microwave heating process, effectively improving the system temperature stability during the operation of high-power industrial microwave ovens, and helping to improve product quality and safety performance.
With the continuous development of anti-jamming devices, the jamming effect of interference pulses for RF links is more and more limited. Ultra-wideband electromagnetic pulse has become a new type of interference means with its own wide spectrum and steep rising edge characteristics. Based on the high re-frequency ultra-wideband pulse, this paper investigates the effect of high re-frequency ultra-wideband pulse on the anti-jamming performance of adaptive zeroing antenna and PIN limiter. The model is built based on Matlab and ADS simulation software, and the simulation results of ADS are verified by the experimental platform. The experimental results show that: for the adaptive zeroing antenna in the navigation receiver, the UWB interference pulse can cause saturation effect on its RF link, which makes the power-inversion algorithm invalid, and then zero-trapping can not form in the direction of the interference; for the PIN limiter, the UWB interference pulse can cause an obvious spike leakage effect. Compared to narrow-spectrum high-power microwave pulses on the nanosecond scale, UWB pulses are more capable of interfering with limiters.
Taking the coaxial pulse forming line (PFL) with cantilever structure as the research object, we carried out an optimization design for improving the vibration environmental adaptability. Firstly, through the analysis of the actual working condition and simulation calculation, the available anti-loosening measures for the blind hole screw in the inner conductor were determined as follows: using spiralock thread, applying anti-loosening glue and optimizing the number of the screws. Secondly, the insulator material was preferred to improve the connection stiffness of the inner conductor and the middle conductor according to the simulation analysis and the insulation test results. Finally, the vibration test was carried out to verify the effectiveness of the optimization design. The result show that the optimized equivalent parts of PFL could pass the long-term assessment, indicating that the vibration environment adaptability was greatly improved. The research results have reference significance for the vibration environment adaptability design of the same type of pulse power source.
To compact and miniaturize the high-power microwave system and reduce the energy consumption of the magnet system, the superconducting magnet which generates the guiding magnetic field is studied and designed. The magnet is composed of rare earth barium copper oxide coil pancakes. In the cryogenic system, four air-cooled Stirling cryocoolers are used to cool down the superconducting magnet. To be suitable for vehicle environments and reduce the heat leakage, a new cone bearing structure of non-metallic material is adopted as the load-bearing structure of the magnet. And the load-bearing situation of the magnet structure under the general vehicle environment is analyzed by the simulation. The superconducting magnetic field in the uniform region reaches 4 T when the current is 77.49 A in the range of 40-50 K. The energy consumption of the whole system is 80% lower than the traditional technology. The experimental results show that the upper temperature limit of the high temperature superconducting magnet (HTS) is 48.9 K.
Microwave heating inhomogeneity has always been a hot issue in microwave heating control research. According to the physical structure of the microwave heating device, the static difference model of the surface temperature of each layer in the furnace is established, and the actual power of microwave heating is obtained by combining with experiments. Based on the finite difference method of heat transfer, the temperature distribution model in 3D space is established, and the effectiveness of the model is verified by MATLAB and COMSOL simulations. The equilibrium temperature of the heated medium obtained by uniformly heating the microwave is compared with the temperature distribution during uneven heating, the partial temperature rise equilibrium points of the medium during the microwave heating process are identified. Finally, comparison is carried out to find out the best point for the control object for expert PID (proportion-integral-derivative) microwave heating. The experimental results show that this method can accurately measure the equilibrium temperature of liquid heated medium at any time, and can make microwave heating more widely used in industrial production.
The tapered fiber with varied core diameter along the longitudinal direction has a unique advantage in balancing Stimulated Raman Scattering (SRS) suppression and beam quality, making it a promising approach for purchasing high power laser with high beam quality. Recently, a monolithic high power fiber laser counter pumped by
The highly reflective (HR) mirrors with high-performance are widely employed in mid-infrared (mid-IR) laser systems. The manufacturing of mid-IR HR mirrors with high reflectivity requires techniques to precisely measure their high reflectivity. In this paper, a continuous-wave cavity ring-down (CRD) experimental apparatus in the 2.7−3.0 μm spectral range is established based on a quantum-cascade laser for high reflectivity measurement. By precisely optimizing the laser wavelength within the reflection band of the mid-IR HR mirrors, analyzing the influence of water vapor absorption on the ring-down time and reflectivity measurements, and comparing the reflectivity results measured under ambient air in clean-room laboratory and under nitrogen purging, the accurate measurement of high reflectivity is achieved at the 2.7−3.0 μm spectral band with an absolute reflectivity measurement accuracy of below 2×10−5 for about 99.95% reflectivity. The experimental results demonstrate that by setting the laser wavelength precisely to 2.9 μm and employing equal lengths of initial and test ring-down cavities (RDC) to avoid the influence of water vapor’s absorption lines, the reflectivity measurement for the 2.7−3.0 μm spectral band can be performed under normal clean-room laboratory air, without the need of nitrogen purging.
Due to the low thermal conductivity and high sensitivity to temperature of explosive, it is highly possible to form heat accumulation inside the explosive during the continuous processing of multi-pulse femtosecond lasers, leading to dangerous events such as ignition and combustion. To reduce the thermal effects during laser processing of materials, applying airflow is a common choice. To study the motion law of ablation products generated by explosive under the action of femtosecond laser and the temperature changes in explosive under the action of airflow, a two-dimensional fluid-solid coupling calculation model of femtosecond laser processing explosive under the action of airflow is established. Numerical simulation calculations are conducted on the process of processing cyclotetramethylene-tetranitramine (HMX) explosive using femtosecond laser under the action of subsonic airflow with different incidence angles on one or both sides. The calculation results show that a unilateral airflow will form a vortex flow on the surface of the explosive, causing the ablation products to rotate on the surface of the explosive, exacerbating the thermal effect of the ablation products on the explosive; The bilateral airflow will form a large vortex flow far from the surface of the explosive, causing the ablation products to leave the surface of the explosive quickly, effectively reducing the temperature of the explosive and improving the safety in the process of femtosecond laser processing explosive.
High-energy proton beam sources produced by ultra-intense laser acceleration have wide application prospects in basic physics, materials science, biomedical research and other fields. Based on SILEX-II device of Laser Fusion Research Center, the experimental studies on proton acceleration of nanobrush targets driven by high-contrast femtosecond PW laser pulse have been carried out. Plasma mirror technology was used to further improve the laser contrast, which effectively reduces the influence of pre-pulse on the structure of the nanobrush target. Compared with planar target, the proton cut-off energy of nanobrush targets increased to 1.5 times, and the proton beam yield increased by nearly one order of magnitude. This successfully verifies the enhancement of nanobrush targets on laser ion acceleration at ultra-high power density, and the improved uniformity of the proton beam spatial distribution. These results provide a technical way for the generation and application of high-quality proton beam sources.
The distribution of defects on the inner and outer surfaces of the capsule has an important impact on the success rate and efficiency of the laser inertial confinement fusion experiment. At present, the only way to observe the inner surface is to use direct X-ray imaging technology to obtain local two-dimensional information, while this paper uses micro-CT to photograph the capsule to non-destructively obtain the full surface morphology information of its inner and outer surfaces. On this basis, a technique is proposed for the observation of defects on the inner and outer surfaces of the capsule. First, the defect area was segmented by edge detection and ideal surface fitting. Then the defects were divided into blocks by connected domain analysis, and the width and height of each area were calculated separately. In addition, a stereoscopic image of the capsule was interactively drawn using a volume rendering method, especially highlighting the colored height field in the defect areas and allowing the inner surface of the capsule to be observed by virtual cutting. This method can identify most surface defects, and can calculate the defect size parameters more accurately. Unidentified defects can be observed as a supplement through volume rendering, providing researchers with a good aid for analysis.
Based on the electromagnetic fluid model, the effects of electron temperature and plasma density on the nonlinear frequency shift of electron acoustic wave in a relativistic hot plasma are investigated. The nonlinear frequency shift equation of electron acoustic wave is obtained by using the nonlinear frequency shift theory and perturbation method. The results show that the plasma density, the first harmonic amplitude and the electron temperature are the main factors that determine the nonlinear frequency shift of electron acoustic wave in relativistic hot plasma. For weak excitation, the nonlinear frequency shift increases with the increase of electron temperature and the first harmonic amplitude, and the plasma density inhibits the nonlinear frequency shift. The impact of electron temperature and the plasma density on nonlinear frequency shift shows a strong nonlinear character. The results provide a theoretical evidence for understanding the high power laser-plasma interaction and the generation of harmonics.
The static deformation and adjustment precision of the storage ring's mechanical support determine the positioning accuracy of each physical component. The dynamic response characteristics of these components affect the stability of the beam current. Therefore, mechanical support serves as the installation foundation for all physical components, ensuring the correct installation and operation of magnets, vacuum chambers, beam diagnostics, and other elements, thereby enabling them to exhibit their corresponding physical performance. Therefore, designing mechanical support with high stability holds extraordinary significance. Taking the Shenzhen Innovation Light source Facility (SILF) as an example, this article utilizes SolidWorks and Ansys software to design and optimize the magnets support of the storage ring. The process of mechanical support design and optimization simulation for the storage ring is elaborated in detail. The final design is assembled with the magnet model, and the overall support is simulated and validated as closely as possible to the real operating conditions to ensure compliance with the parameter requirements of the physical design.
Measuring the geomagnetic field in space by emitting electron beams is a new and effective high-precision measurement method of the geomagnetic field, but the emission of electron beams has an impact on the state and safety of the spacecraft. To study the influence, based on the orbit-limited mechanism, the model of spacecraft charging due to high-energy electron beam emission was studied, and the potential balance formula under different initial potentials was derived , and a program was compiled to study the impact of particle beam current, energy, light electron and other factors affecting the spacecraft charging potential. The time-varying law of the charging potential induced by the spacecraft itself or the platform when the spacecraft emits high-energy electron beams is obtained, and the correctness of the simulation results is verified by the partial analytical solution comparison.
A preliminary study of the design of the beam dump for the Dalian Advanced Light Source (DALS) was studied with the Monte Carlo simulation software FLUKA and the finite element software COMSOL. The modeling of the beam dump and the main building was carried out using FLUKA software. Both theoretical formulas and simulation calculations ensured that the energy deposited radially and axially in the beam dump was above 99%. The reduced variance technique was introduced in the calculation to reduce the statistical error of the calculation results, and the error of the corresponding calculation results was within 5%. To ensure the safety of the staff during the operation stage, the dose rates at the side walls and the top plate were calculated using FLUKA software simulations, and the dose rates at the two side walls were 1.84 μSv/h and 1.15 μSv/h, respectively, and the dose rate at the top plate was 1.45 μSv/h, which ensures the safety and health of the staff. Using the finite element software COMSOL, the maximum temperature of the beam dump under the steady state condition was 55.1 ℃, and the corresponding maximum thermal stress was 54.5 MPa, which are less than the melting point and yield strength of the material respectively. The stability of the beam dump during the operation of the device is ensured.
Aiming at the demand for separation and purification of tritiated water, a three-column cascade water distillation system has been independently designed and constructed, which is filled with self-developed high-performance packing. During the pilot scale experiment, the treatment of ton level tritiated water was completed at the processing capacity of 5−10 kg/h. The separation effect has been achieved at the detritiation factor higher than 2 000 times and the enrichment factor higher than 20 times. The height equivalent to a theoretical plate of regular packing is 14 cm, and that of random packing is 4 cm. The key parameters vary in a minuscule range during the operation, and the entire system has been running stably for more than 900 h, which can meet the requirements of large-scale engineering application.
With the increasing demand for the output beam intensity and pulse time of the neutral beam injector in the magnetic confinement fusion experimental device, it is urgent to carry out research on high-power large-area RF ion sources. It is the key to designing an impedance matching network that can deliver the maximum power of the RF power source to the coil and couple it to the plasma, thus to achieve large-area, high-density and uniform plasma discharge. Based on the previous research on single driver RF ion sources, the impedance matching network of dual driver RF ion sources was optimized and analyzed. The key parameters of the matching network were calculated, and the topology of the matching circuit was optimized. In the experiment, frequency tuning was used to tune the matching network. Stable and repeatable plasma discharge with 140 kW high power and 1000 s long pulse at 25 kW was achieved under dual drive. Subsequently, based on stable plasma discharge, the issue of power distribution uniformity between the two drivers was studied. The experimental results indicate that the optimized design of the matching network is reasonable and feasible, and the RF power distribution of the upper and lower drivers is basically uniform, laying the foundation for the upcoming negative ion beam extraction in the CRAFT (Comprehensive Research fAcility for Fusion Technology) NNBI (neutral beam injection system) project.
The effect of helium radiation on the heat transfer performance of tungsten was studied using molecular dynamics method. The changes of thermal conductivity of single crystal tungsten and polycrystalline tungsten with helium content as well as the microscopic mechanism were analyzed at the atomic scale. The results show that, as the number of helium atom increases from 0 to 500, the number of defect pairs in tungsten increases first and then decreases. When the number of helium atom in single crystal tungsten is 230, the defect pair reaches a peak of 123. In polycrystalline tungsten, the number of defect pairs reaches a peak of 124 at 480 helium atoms. The lattice structure of tungsten changes from bcc to coexistence of bcc, fcc and hcp. The thermal conductivity of tungsten fluctuates significantly with the increasing helium content, which shows a trend of nonlinear decrease in general. When the helium content is 0.75%, the thermal conductivities of single crystal tungsten and polycrystalline tungsten decrease by 1.44% and 1.3%, respectively. The creation and aggregation of point defects as well as the change of crystal structure induced by helium radiation are responsible for the decrease of thermal conductivity of tungsten.

Email alert
RSS
