2024 Vol. 36, No. 10
For the development of high-end fiber lasers and breaking through the technical bottlenecks limiting the output power and performance improvement of fiber laser systems, the Joint-Innovation Center of High Power Fiber Laser Technology, Institute of Chemical Materials (ICM) of China Academy of Engineering Physics (CAEP) , adopted the mode-tailoring fabrication process technology, theoretically designed and firstly fabricated the 1.5th-generation (1.5G) YDF specialty laser fibers, which are particularly suitable for 976 nm-LD end-pumping method (976-technology route) to effectively improve the threshold of mode instability (TMI) and significantly optimize the beam quality of laser output. Compared with currently widely-used 1.0G Yb-APS fiber, 1.5G YDF specialty laser fiber shows about 20% improvement both in laser output power and beam quality. The 1.5G YDF specialty laser fibers fully demonstrate technical characteristics of “three-high/one-excellent”—high power, high efficiency, high TMI threshold, and M2 optimization—which can be selected by high-end customers in the industrial market and/or applied in high power laser fields.
To resolve the calibration of temporal and spatial nonlinearity of an optical streak camera in 100-nanosecond level, an idea of rapid calibration of two-dimensional nonlinearity of optical streak camera has been proposed with the method of constructing an equidistant standard light field in the temporal and spatial dimension. The reference points with equal spacing of temporal dimensions have been obtained by the technique of sequential pulsed light construction. In addition, the reference points with equal spacing of spatial dimensions have been obtained by the spatial modulation technique of light field. The design criteria of sequential pulsed light and optical system have been analyzed. Based on the criteria, a high-performance system to calibrate two-dimensional nonlinearity of optical streak camera has been developed. The temporal resolution of the system is 0.1 ns and the spatial resolution is less than 90 μm. Based on the system, the sweeping nonlinearity, time dispersion, temporal distortion and geometric aberration of a domestic streak camera have been calibrated quickly via a single sweeping image. In addition, the sweeping nonlinearity of different circuits has been analyzed and verified by the system. The calibration system quickly verified that the double-sided scanning circuit was conducive to optimizing the scanning nonlinearity. The analysis and verification results show that the calibration technology could calibrate the nonlinear parameters of a streak camera via a single sweeping image.
An all-dielectric high-power microwave lens array antenna is proposed in this paper. To achieve the required phase shift range of the lens array antenna, two different cell structures are designed and by optimizing the parameters, complementary phase shift ranges are achieved on the basis of ensuring good transmission amplitude. To explore the application in high power microwave systems, a detailed study of the power capacity of the two units is also carried out . Firstly, in the infinite period case, with the change of cell size, the cell power capacity ranges from 1.08−19.37 MW; secondly, the finite period condition is constructed by developing the lens antenna with an aperture of 315 mm×315 mm, and the simulation calculates to obtain that the antenna’s maximum power capacity is 226.553 MW, the power density can reach
Microwave vacuum electronic devices play a crucial role in various fields such as scientific research and industry. Particularly, the klystron has been essential in nuclear fusion research, high-energy physics experiments, and industrial radiation processing. The output coupler, a key component of the klystron, directly impacts its overall performance. However, coupler failures are among the most common issues in klystrons and various vacuum electronic devices, especially prominent in scenarios involving high continuous wave power operation. For the development of a high-efficiency tunable 650 MHz/800 kW continuous wave klystron, optimization design of the output coupler was conducted. Significant progress was achieved in the testing of the output couplers for single-beam and multi-beam tunable klystrons. In continuous wave mode, the test power of the output coupler for the single-beam tunable klystron has exceeded 690 kW. To further increase power capacity, a T-bar transition structure was employed, and the coupler was optimized to achieve a more uniform electric field distribution near the ceramic. Additionally, the rectangular waveguide window output coupler for the multi-beam tunable klystron achieved a maximum test power of 115 kW in full standing wave conditions.
The working temperature of the cathode, as the electron source of traveling wave tubes (TWTs), directly impacts the performance, stability and lifespan of TWTs. Since the cathode’s temperature cannot be directly measured during TWT operation, it is primarily determined through component temperature measurement and electron gun thermal simulation. Thermal radiation is a significant heat transfer mode in the electron gun and a major factor in heat loss. Therefore, it cannot be ignored in the thermal analysis of the electron gun. The heat loss was quantitatively analyzed, the thermal simulation of cathode-thermal shielding assembly was conducted considering contact thermal resistance and heat loss, establishing a comprehensive thermal radiation boundary. The temperature measurement test data curve of the cathode-thermal shielding assembly was fitted by adjusting the surface emissivity of the parts to obtain its value in high-temperature regions of TWT electron guns. The impact of surface emissivity and heat loss on cathode temperature was analyzed, and the accuracy of obtained emissivity value was verified through a heat equilibrium test of electron gun, and then a more precise distribution cloud map of the electron gun was obtained. The research results show that the surface emissivity of cathode is 0.65 when the temperature is between 950 and
The matching theory based on an equivalent circuit model is outlined that self-consistently determines the modulation of a klystron input cavity for an arbitrary coupling of the input microwave to the cavity and arbitrary cavity parameters. The model including a mutual inductance, a beam equivalent capacitance and an equivalent resistance is established, along with two expressions for the input power and the reflected power. An expression is derived for the power required to maintain a desired cavity gap voltage for the case when the coupling is perfectly matched to the input microwave, and also for the case of arbitrary coupling. Expressions for the frequency of the input microwave and externally-loaded quality factor (Q) leading to the matching condition are also derived. When the complex coupling coefficient equals 1, expressions are made for the beam-loaded Q and externally-loaded Q. It is concluded that when the complex coupling coefficient equals 1, the operating frequency equals to the resonant frequency of the input cavity, the beam-loaded Q equals to the externally-loaded Q, and the beam equivalent capacitance is much less than 1 will lead to the approximate matching condition. This conclusion is consistent with the traditional theory. By comparing the input power, it is concluded that the input power corresponding to the matching condition is less than the input power corresponding to the approximate matching condition. When the complex coupling coefficient equals 1, comparison shows that if the beam capacitance is neglected, the input power corresponding to the new theory equals to the input power corresponding to the traditional theory. By the comparison of the 2D PIC simulation and the matching theory, we can get the approximate value of the beam impedance. We have found the frequency of the input microwave, the externally-loaded Q and the minimum input power according to the matching theory.
The electrostatic discharge (ESD) protection circuit widely exists in the input and output ports of CMOS digital circuits, and fast rising time electromagnetic pulse (FREMP) coupled into the device not only interacts with the CMOS circuit, but also acts on the protection circuit. This paper establishes a model of on-chip CMOS electrostatic discharge protection circuit and selects square pulse as the FREMP signals. Based on multiple physical parameter models, it depicts the distribution of the lattice temperature, current density, and electric field intensity inside the device. At the same time, this paper explores the changes of the internal devices in the circuit under the injection of fast rising time electromagnetic pulse and describes the relationship between the damage amplitude threshold and the pulse width. The results show that the ESD protection circuit has potential damage risk, and the injection of FREMP leads to irreversible heat loss inside the circuit. In addition, pulse signals with different attributes will change the damage threshold of the circuit. These results provide an important reference for further evaluation of the influence of electromagnetic environment on the chip, which is helpful to carry out the reliability enhancement research of ESD protection circuit.
Minor discrepancies in the measurement data may lead to significant variations in the reconstructed spectrum when measuring and reconstructing the spectrum by the absorption method. In some cases, the reconstructed spectrum may contain negative values that do not conform to the physical law. To address the issue that noise in the measurement data has a significant effect on the reconstructed spectrum, the segment-smoothed Bayesian iterative method is proposed in this paper. The energy spectrum is reconstructed using the Bayesian iteration method under different levels of noise, and the accuracy and noise sensitivity of the reconstructed spectrum are evaluated. An optimization method, which adds smoothing constraints to the Bayesian iterative method, is proposed to reduce noise interference in the reconstructed spectrum. According to the spectrum characteristics, a two-coefficient segment-smoothing method is proposed with the peak value as the dividing line. The spectrum is reconstructed by segmented smoothing and global smoothing Bayesian iterative methods, respectively. The noise sensitivity of the reconstructed spectrum, unfolded by the segment-smoothed Bayesian iterative method, has been significantly reduced. An energy spectrometer based on the absorption method is developed. The spectrum is reconstructed based on the experimental data using the segment-smoothed Bayesian iterative method and the Bayesian iteration method. The spectrum reconstructed using the segment-smoothed Bayesian iterative method is more consistent with the theoretical spectrum, indicating that this method exhibits superior performance.
Gaussian noise is the main noise in flash X-ray radiographs, which will be magnified in the subsequent density inversion and other processing, and seriously affect the results of density reconstruction and object boundary extraction. Therefore, eliminating Gaussian noise is the key content of flash X-ray radiograph denoising research. According to the characteristics of image noise in flash X-ray radiographs and the rotational symmetry of object axes, this paper studies the denoising algorithm of flash X-ray radiographs based on BM3D (Block Matching and 3D Filtering). To overcome the defect that it is difficult to obtain high-quality similar blocks in flash X-ray radiographs, the image sources for providing similar blocks are increased by rotating and mirroring the noisy degraded images without destroying the noise independence. At the same time, by introducing grayscale transformation of image blocks, the grayscale value requirements in the original similarity requirements are reduced, the shape similarity requirements are improved, and the ability to obtain high-quality similar blocks is increased. Image denoising results show that the improved BM3D method in this paper achieves better denoising effect because the quality of similar blocks is guaranteed.
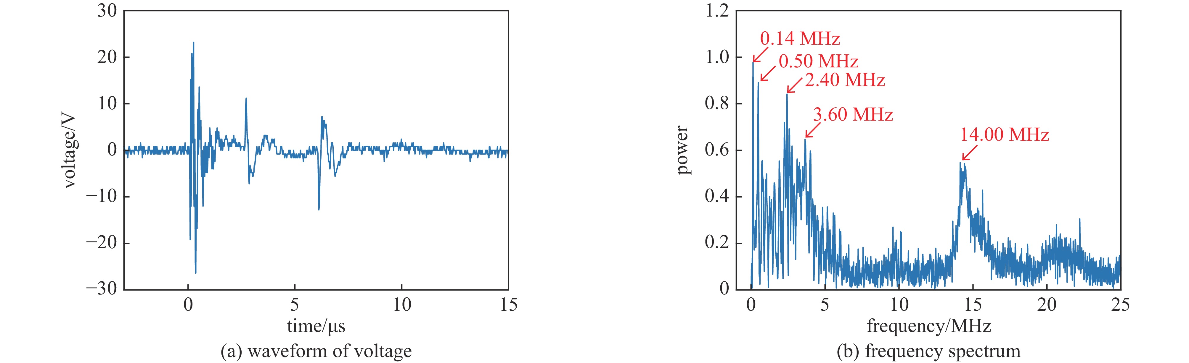
Pulsed intense magnetic fields play an important role in the field of high power laser material interaction, while the electromagnetic pulse generated by pulsed intense magnetic field devices will disturb the signal measurement in laser plasma experiment. We measured the spatial distribution and spectral characteristics of electromagnetic pulse using Rogowski coils, high-voltage probes, antennas, and sampling resistors on the laser plasma experimental platform. It is found that the electromagnetic pulses come from the main discharge circuit of the pulsed intense magnetic field device, and the secondary circuit of charging and grounding. The electromagnetic pulses transform onto the vacuum target chamber through capacitive coupling between the transmission line and the flange on the vacuum target chamber that places the transmission line, and then enter the electronic devices through conductive coupling pathways, or enter the power grid or weak current cables through charging lines and grounding wires, and finally enter the electronic devices. Part of the free space electromagnetic pulse is directly coupled into cables and electronic devices. We depress the electromagnetic noise that enters the detector by disconnecting the conductive coupling path and shielding free space electromagnetic pulse. Experiments showed that the measured electromagnetic pulse amplitude, especially at the 0.14 MHz discharge main frequency component, was well suppressed, by physically disconnecting the electrical connection between the power grid and electronic equipment. Isolating the high-voltage power supply from the low-voltage grounding connection can decrease the electromagnetic noise markedly. Shielding shell and shielding cabinet that cover the electronic devices are available approaches to depress the free space and conductive coupled electromagnetic noise.
To meet the different requirements of different fields for parameters such as amplitude, pulse width, waveform, and repetition rate, a distributed all-solid-state waveform adjustable high-voltage pulse generator has been developed based on the distributed concept. This pulse generator comprises multiple sub-modules with identical structures. Each module is based on the all-solid-state Marx with the half-bridge structure, while the drive uses a magnetic isolation scheme. Moreover, every module has a uniformly designed connection terminal and communication protocol. Multiple modules can operate independently or directly in series to achieve superior performance. The entire device features a layered design and compact structure. This paper elaborates on the pulse generator's circuit topology, working principle, and waveform generation method. Finally, three 9-level test prototypes with 8-level basic units have been constructed, which can produce a 25-level unipolar arbitrary high-voltage waveform in series. The output peak voltage can reach 16 kV.
Positive underwater discharge can produce abundant physical and chemical effects and is widely used in the fields of energy source exploration and sterilization. However, the physical mechanisms involved in initiation and propagation of streamer are complex and have not been fully revealed, which limit the efficiency of underwater discharge applications. In this paper, we explore the mode-transition, reillumination and branching characteristics of positive filamentary streamer. The influence of deposited charge and space charge distribution on the propagation of streamer channel is clarified. Our research shows that the positive polarity filamentary streamers can be divided into primary streamer and secondary streamer, and the mode transition of discharges is greatly affected by the gas/liquid interface charge relaxation process. When the applied voltage reaches the accelerating voltage, the primary streamer rapidly transits into secondary streamer. The gas/liquid interface charge density and electric field in primary streamer channel are closely related with initiation, termination and reignition of discharge. The space charge distribution of secondary streamer is greatly affected by the voltage rising edge and the electrode surface structure. Longer voltage rise time leads to lower density of space charge and electric field at the head of streamer channel, which causes the decrease of streamer velocity. With larger radius of the micro-convex structure on the electrode surface, the branching of streamer will take place at the root of the main channel instead of electrode surface. Due to the variation of the spatial charge distribution, the velocity of the branching channel shows a trend of first declining and then increasing when the radius of the micro-convex structure is 5 μm.
To realize online measurement of tritium production rate in a strong gamma field environment, we developed a compact back-to-back 6Li/7Li glass detector. The size of each lithium glass scintillator is 3.0 mm×3.0 mm×0.4 mm. Titanium dioxide with a thickness of 0.5 mm acts as a reflective layer between and on the side of the scintillators. The whole volume of the detector is 4.0 mm×4.0 mm×1.3 mm, which ensures that gamma rays of the two scintillators are almost the same and realizes simultaneous measurement of the gamma rays. The gamma signal produced by the 7Li glass detector is used as the gamma background deduction of the 6Li glass detector. Pulse height spectra of the two lithium glass scintillators irradiated by 60Co gamma are almost the same, which verifies the consistency of gamma signals of the two scintillators. The pulse amplitude spectrum were measured at the thermal neutron channel of the reactor and under the direct irradiation of 252Cf, the signal-to-noise ratio of neutron gamma obtained are both greater than 1, which can effectively deduct the gamma background. The above experiments show that the developed small lithium glass detector can effectively discriminate the gamma rays under strong gamma environment, and is used for on-line measurement of tritium production in the simulated blanket of fusion-fission hybrid reactor.
The research and development of materials for extreme environmental service has always been a bottleneck in development of national strategies such as aerospace, and different environmental factors can affect the performance of materials. Neutrons, due to their strong penetrability and sensitivity to light elements, can complement synchrotron radiation technology. In-situ devices are used to reduce the deformation process of materials under real working conditions, and neutron probes are used to observe the evolution of lattice strain, texture, phase transition, and residual stress of materials under service conditions. Neutron spectrometers from multiple countries are equipped with different in-situ tensile devices, which enable in-situ stress loading of samples in different loading environments, testing and analyzing the microstructure of sample materials. This can solve important scientific mechanism problems in the field of materials engineering and promote the development and application of materials. This article introduces the situation of in-situ stretching devices for different neutron source spectrometers at home and abroad, focusing on the design principles and structural characteristics of multi field coupling in-situ stretching devices used in neutron diffraction technology, and highlighting the development direction of engineering materials research.
An erbium-doped all-fiber laser model based on dual-peak filter was designed, and the numerical simulation of the dynamic characteristics of asynchronous dual-wavelength pulse mode-locking was carried out. Using the same noise as the initial condition, and setting the saturation energy of the gain fiber to 15 pJ, 40 pJ and 55 pJ, respectively, the simulation results show that the noise finally evolves into single-wavelength pulse mode-locking, asynchronous dual-wavelength pulse mode-locking, and asynchronous dual-wavelength pulse mode-locking in the form of soliton molecules, in which the evolution process of asynchronous dual-wavelength pulses goes through three stages: noise pulse generation, multi-pulse mode-locking and gain competition, and stable asynchronous dual-wavelength pulse mode-locking. Besides, the saturation energy of the gain fiber directly determines the evolution direction of the pulse in the gain competition, and the pulse frequency shifts caused by cross-phase modulation during the pulse collision process result in the time domain pulse time jitter.
The UAV positioning system is an important core module for the information interaction between the UAV and the external environment, it also provides a coupling path for electromagnetic interference signals. Based on the internal structure of the UAV positioning system, the interference sequence diagram of the UAV positioning system is established, then the transient response function of each module of the UAV positioning system is derived, the physical model of the UAV positioning system is constructed based on the interference sequence diagram, and the joint analysis of the electromagnetic effect field path of the positioning system is carried out. The distribution and law of the magnetic field strength H and magnetic induction intensity B of the positioning system and its sensitive unit are simulated and analyzed, and the electromagnetic effect distribution characteristics and electromagnetic weak links of the UAV positioning system are obtained. The simulation results show that the electromagnetic weak link of the UAV positioning system is at the connection point of the chip line, and with the increase of the electromagnetic pulse interference time, the electromagnetic effect continues to accumulate and shows a consistent trend of oscillation effect.
A Ku-band relativistic magnetron (RM) is designed in this paper to broaden working frequency range of this type of HPM source. An anode structure with 20 cavities is applied in this tube and the high frequency simulation results reveals that its π mode frequency is about 13.5 GHz. A Particle- in-Cell (PIC) simulation has been carried out with the all-cavity-axial-extraction (ACAE) structure. The high power microwave with power of 38 MW was detected at 13.47 GHz with power conversion efficiency of about 61.6% when the applied voltage was 150 kV, the current was 0.41 kA, and the inducing magnetic field was about 0.4 T. The simulation results reveal that the presented tube has a high conversion efficiency and a compact structure which brings a potential of light weight package with permanent magnet.
RF breakdown and mode competition are the main causes of power reduction and pulse shortening of klystron oscillator (RKO). This paper introduces an extended interaction extraction structure, which can effectively reduce the RF electric field of the extraction cavity and increasing the power capacity. The traditional double-gap extraction structure converts electron energy into microwave energy in an extraction cavity and shares one channel for output. However, the extended interaction extraction structure adopts a distributed extraction cavity instead of a centralized extraction cavity, which increases the output channel, thus it can effectively improve the beam-wave conversion efficiency and reduce the RF electric field of the extraction cavity. The results of particle simulation show that the output power is 2.14 GW, 2.22 GW, 2.35 GW for the traditional two-gap extraction cavity, the two-gap extraction cavity and the three-gap extended-interaction extraction cavity, respectively, when the diode voltage is 561 kV and the magnetic field strength is 0.5 T. The maximum RF electric field of the extraction cavity is 1.50 MV/cm, 1.21 MV/cm and 1.10 MV/cm, respectively. The beam-wave conversion efficiency was 35.7%, 36.9% and 39.1%, respectively. The operating frequency of the device is 12.52 GHz. In the 3D simulation, by changing the S parameter of the cathode structure and designing a new reflector, the mode competition caused by TM113 mode of the modulation cavity is effectively suppressed, which laid the foundation for subsequent experiments.
In photocathode electron gun system, the space-time shaping of the laser is one of the important parts to achieve low emittance of the beam. Based on the C-band photocathode electron gun test platform of the Southern Advanced Photon Source pre-research project, the layout and testing of the drive laser system are introduced in this paper. A 266 nm laser with an initial RMS pulse length of 160 fs is first used as the driving laser in the test platform in China. The longitudinal time of the laser pulse is shaped by the pulse time delay of the birefringent crystal, and the transverse beam is realized by an adjustable diaphragm with multiple apertures. After shaping, the laser platform can provide a Gaussian pulse with a longitudinal RMS length of 160 fs and 420 fs, and a flat-top distributed pulse laser with FWHM of 5 ps. According to the laser test results, the influence of different pulse distributions on beam emittance evolution and pulse distribution is briefly analyzed in this paper. It provides not only a guidance for the photocathode electron gun commissioning, but also support for further research on the effect of initial pulse distribution on space charge force.
To accurately and effectively calculate and evaluate photon doses under different radiation conditions by selecting appropriate calculation methods, this paper compares and studies four commonly used photon dose calculation methods in Monte Carlo simulation software: dose conversion coefficient method, heat number method, track length energy deposition method and pulse height method. Starting from the calculation principle and combining simulation results, these four methods are analyzed and compared. By simulating single energy photon beams with different energies incident on water spheres of different volume sizes, the error caused by approximating absorbed dose with kerma was analyzed, and the influence of different contents of high atomic number element gadolinium on absorbed dose calculation results was simulated and analyzed. Due to the fact that the conversion coefficient is calculated based on the reference human model, the dose conversion coefficient method can only quickly estimate and calculate the absorbed dose, it is difficult to obtain accurate dose in specific situations. When high-energy photons are incident on a small volume of material, kerma will be greater than the absorbed dose, thus the heat number method and the track length energy deposition method will produce errors, and the pulse height counting method is more suitable. At low energy and large volume, any method can be selected based on computational accuracy and computer resources. When the content of high atomic number elements in a substance increases, the calculation error between the track length energy deposition method and the pulse height method will decrease.
This study aims to evaluate the dosimetric characteristics of electron FLASH-RT by combining experimental measurements with numerical simulations. In the experiment, EBT3 films were used to measure doses in solid water phantoms, while the MCNP5 program was employed to simulate and verify beam characteristics. The experimental platform was constructed based on a 9 MeV electron linear accelerator, and by adjusting the accelerator parameters, an ultra-high dose rate of 250 Gy/s was achieved at a source-to-surface distance of 1 m. The maximum deviation between experimental and simulated results in dose distribution did not exceed 5%, and the beam flatness was controlled within 3%. Key dose rate assessments show that the accelerator can work at maximum conditions to achieve the ultra-high dose rate required for the FLASH effect. Off-axis dose variation studies indicate that the presence of a water layer in the extraction window improved the uniformity of the beam. Central axis depth dose distribution analysis showes that the simulation and experimental results matched well at a water layer thickness of 10 mm. The two-dimensional dose distribution showes that the simulation results are consistent with the EBT3 film measurements. The study results demonstrate that the electron FLASH-RT experimental platform can provide the required ultra-high dose rate, and there is a high degree of consistency between experimental and simulation results, providing important dosimetric parameters and beam characteristic references for further research and application of FLASH-RT.

Email alert
RSS
