2025 Vol. 37, No. 10
Recommend Articles
column
- Cover and Contents
- Special Issue on Interaction of Ray with Matter
- Theory of Interaction of Ray with Matter and Its Numerical Methods
- Detection Technology and Instruments of Rays
- Nuclear Reactions, Radiation Protection, and Radiation Hardening Technology
- Application of Rays in Materials Science
- Ray Physics in Nuclear Reactors and Accelerators
- Applications of Ray in Medicine and Biological Sciences
- Physics and Technology of Electromagnetic Pulse
- Frontier Technologies in Interaction of Ray with Matter
Display Method:
2025,
37: 1-2.
2025,
37: 106002.
doi: 10.11884/HPLPB202537.250211
Abstract:
Background Purpose Methods Results Conclusions
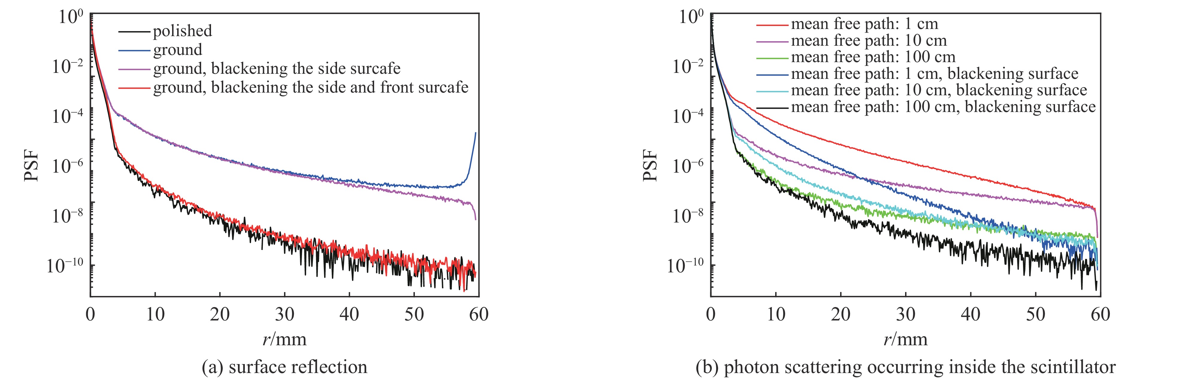
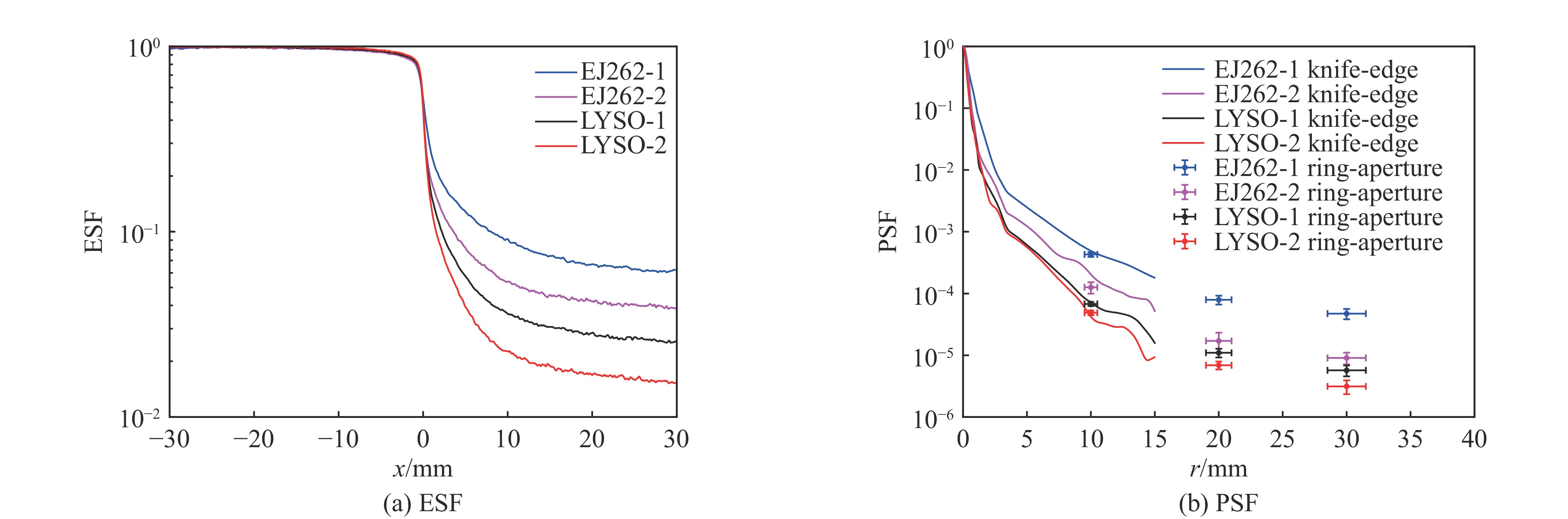
Radiation imaging technology, as an important diagnostic, has been widely used in scientific devices such as inertial confinement fusion and flash photography. It has been found that unexpected low-frequency components usually exist in the point spread function (PSF) of radiation imaging systems, leading to the so-called low-frequency blur or long-range blur. Because of long-range blur, the image grayscale varies nonlinearly with the ray flux, which in turn interferes with the analysis of the object density or the source intensity. Experimental measurement of the low-frequency components is challenging because of their extremely low intensity. The specific sources of low-frequency components are not very clear currently.
This study aims to address these challenges by proposing a new experimental method for measuring the low-frequency components. The goal is to ensure the reliability of the measurement data on low-frequency components and to identify the main sources of low-frequency components.
A series of experiments were conducted on different components of the imaging system. A collimator called ring-aperture was used to modulate the x-ray or optical photons into a circular pattern, which led to a significant increase in the signal strength from low-frequency components by orders of magnitude.
A direct measurement result of the low-frequency components was obtained for the first time, and the measurement lower limit was extended to 10−6 relative to the peak of PSF. Experiments showed that the surface state of scintillators can have a significant impact on low-frequency components. By blackening the non-light-emitting surface, the low-frequency components caused by scintillator can be reduced by 22% to 62%.
The ring-aperture method provides a reliable experimental approach for measuring low-frequency components of the PSF. The research results indicate that optical photon transport is an important factor leading to long-range blur. By surface treatment of scintillators, such as blackening and polishing, long-range blur can be effectively suppressed.
2025,
37: 106003.
doi: 10.11884/HPLPB202537.250201
Abstract:
Background Purpose Methods Results Conclusions
In near-field pulsed neutron measurements (at distances of less than 1 m), large-sized plastic scintillators (ϕ100 mm × 100 mm) exhibit neutron sensitivity deviation due to geometric discrepancies between calibration and measurement, and the inverse-square law has limited applicability under close-proximity conditions, hindering accurate metrology.
To address this deviation, reduce systematic errors from traditional single-point calibration, and extend the neutron sensitivity calibration range, this study proposes a dual-extrapolation dynamic calibration method combining experimental extrapolation with Monte Carlo (MC) simulation.
An MC model was established to quantify the distance’s effect on sensitivity, and a scattering background extrapolation method was developed via near-field experiments for close-proximity sensitivity measurement.
MC results show that the source-to-detector distance of less than 80 cm significantly impacts sensitivity, with an 8.44% correction factor at 20 cm; experiments validated the simulation accuracy.
This method effectively mitigates sensitivity deviation, clarifies the inverse-square law’s limitations under close proximity, extends the calibration scope, and provides a new technical approach for precise neutron metrology in harsh environments such as pulsed reactor transient diagnostics and fusion devices.
2025,
37: 106004.
doi: 10.11884/HPLPB202537.250158
Abstract:
Background Purpose Methods Results Conclusions
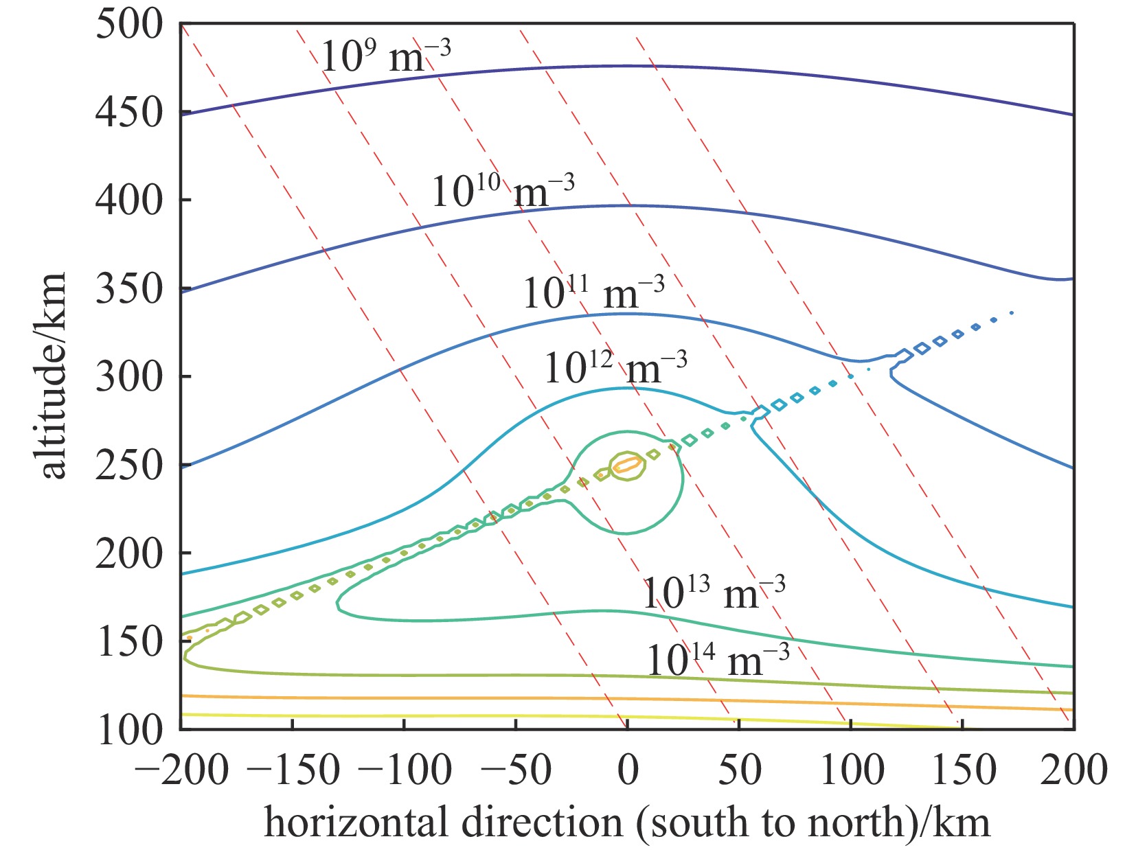
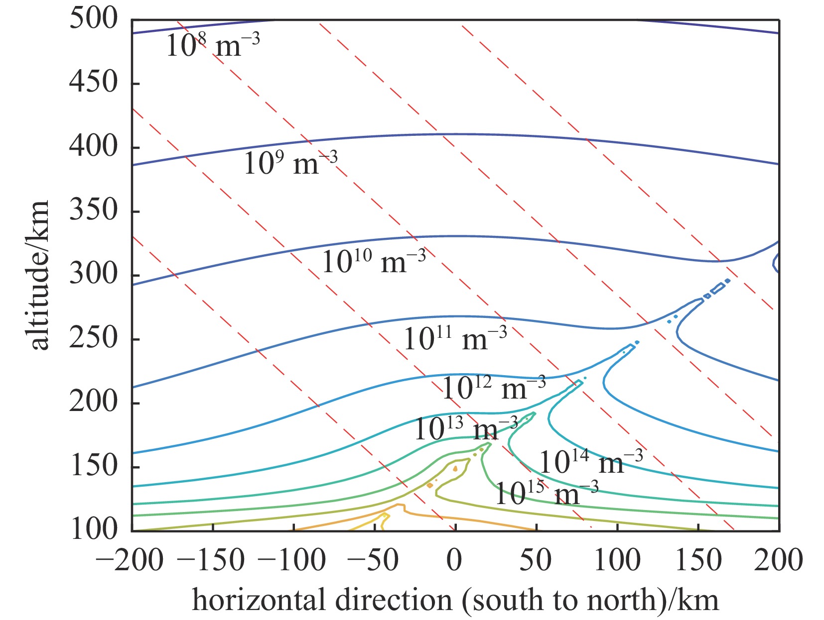
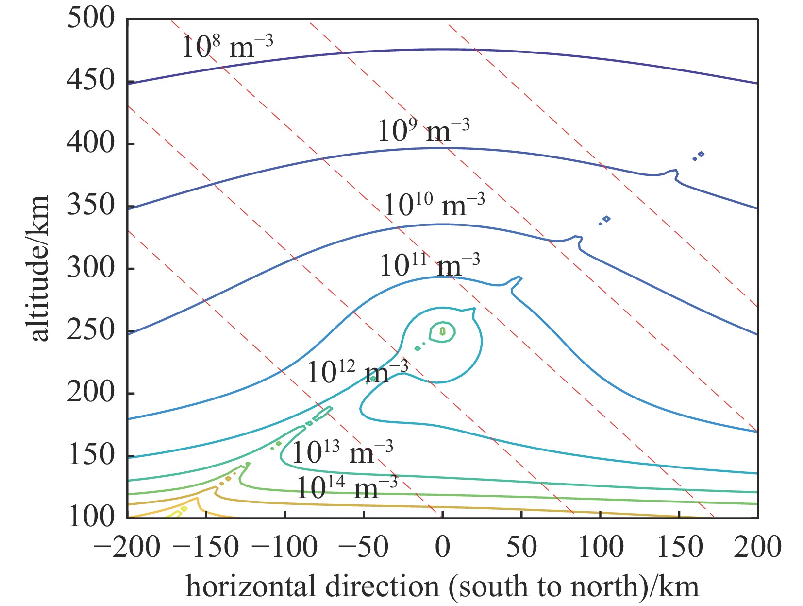
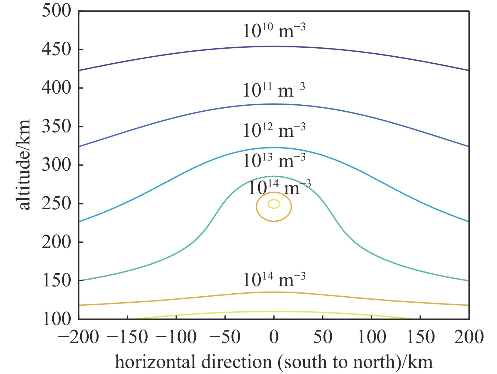
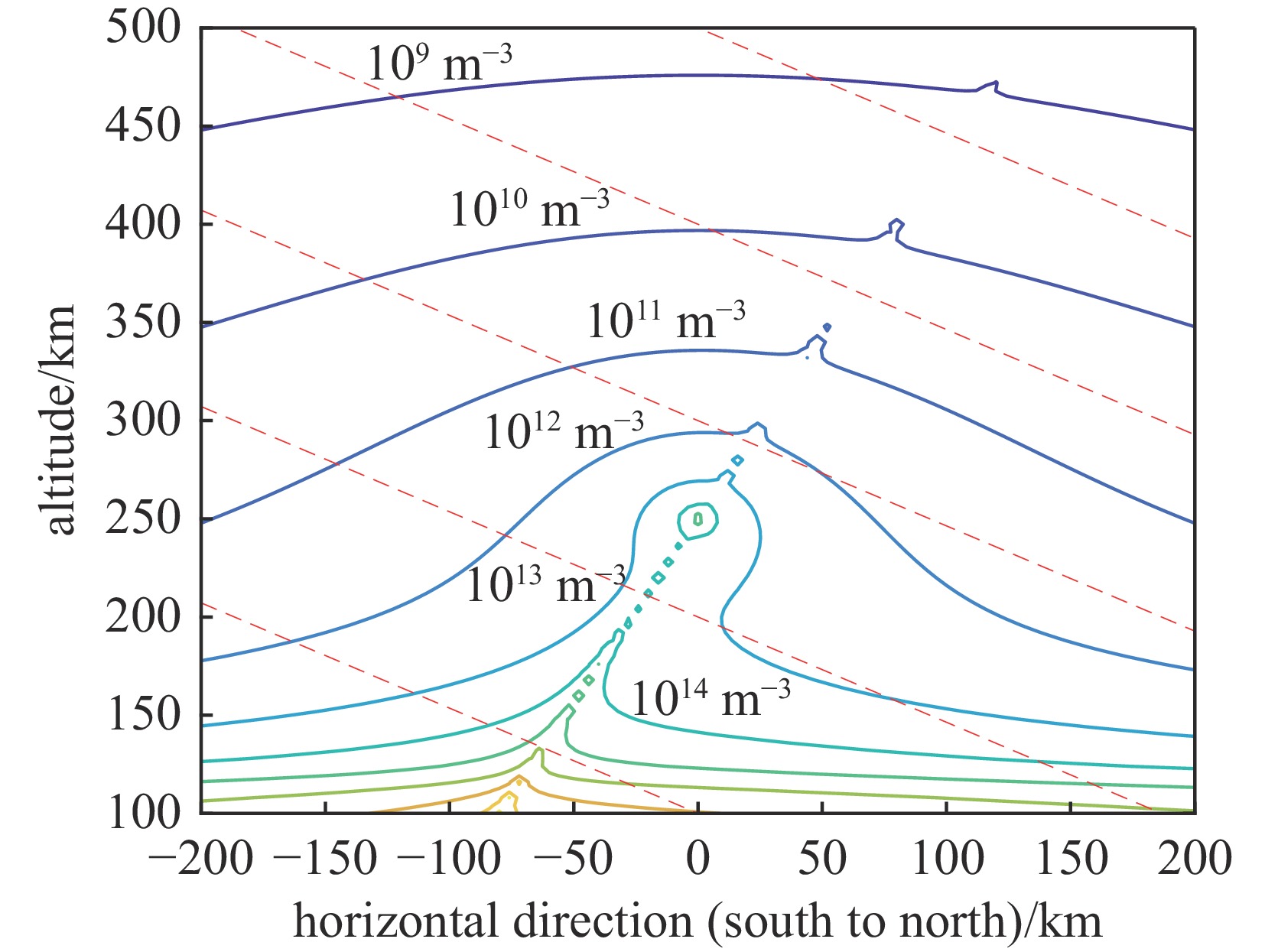
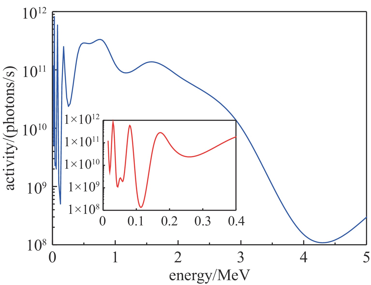
More than 70% of the energy from a high-altitude nuclear explosion is transmitted via X-ray radiation, which serves as the primary source of atmospheric ionization. When the detonation altitude of a high-altitude nuclear explosion exceeds 80 km, the absorption of X rays by air weakens. Consequently, X rays can propagate over a wide range and gradually dissipate their energy through the ionization of the atmosphere. The atmospheric ionization effect of X rays causes drastic fluctuations in the electron density within the Earth’s ionosphere. This, in turn, leads to significant changes in the signals of electromagnetic waves as they pass through the ionosphere, thereby exerting adverse impacts on systems such as satellites, radars, and communications. However, there are currently still problems such as slow calculation speed and incomplete model considerations in the calculation of the atmospheric ionization effect caused by high-altitude X rays.
The purpose of this paper is to propose a new engineering method for calculating the X-ray atmospheric ionization process in the high-altitude rarefied atmosphere.
The model accounts for the transport of high-energy electrons (generated by the interaction between X rays and the atmosphere) in the geomagnetic field as well as the atmospheric ionization issue, and it performs an averaging process on the microscopic interaction processes.
Compared with traditional ray energy deposition models, it improves the calculation accuracy.
This model was used to analyze the influence laws of explosion altitude, latitude, and yield on the ionization density distribution. The results show that: Due to the influence of high-energy electron transport, the symmetry of the ionization density distribution is lost; The ionization density distribution is significantly enhanced in the direction passing through the explosion center and perpendicular to the magnetic field lines; The higher the explosion altitude, the greater the ionization density at high-altitude positions, while the influence caused by high-energy electron transport becomes smaller in high-altitude regions, and the ionization density at low-altitude positions decreases; The yield has a significant impact on the numerical value of the ionization density, but has a relatively small impact on the relative distribution of the ionization density.
2025,
37: 106005.
doi: 10.11884/HPLPB202537.250208
Abstract:
Background Purpose Methods Results Conclusions
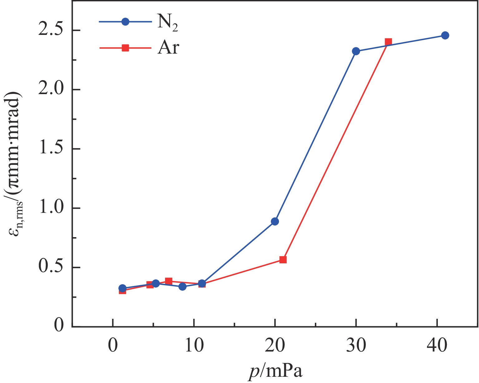
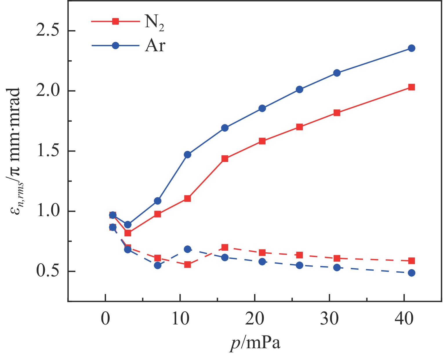
Space charge effects pose a significant challenge in high-current ion beam transport, particularly in low-energy beam transport (LEBT) systems where beam intensity is high and energy is relatively low. Active injection of gas has been proposed as an effective method to mitigate these effects. However, for negative hydrogen ion beams, the physical mechanisms involved are highly complex due to competing processes such as ionization, electron stripping, etc.
This study aims to investigate the interaction mechanisms between negative hydrogen ion beams and gas within an LEBT system, and to evaluate the influence of gas species and pressure on beam parameters including emittance and beam current.
Numerical simulations based on the particle-in-cell (PIC) method were conducted using the Warp code, incorporating physical processes including ionization, electron stripping, and elastic scattering. A three-dimensional simulation model was established to analyze space charge compensation effects under nitrogen and argon gas environments. Experimental measurements of beam current and emittance were simultaneously carried out at the XiPAF accelerator facility to validate simulation results.
Both simulations and experiments revealed that the effects of gas scattering and electron stripping cannot be neglected in space charge compensation of negative hydrogen ion beams.
This research highlights the complexity of space charge compensation in negative hydrogen ion beams and emphasizes the need to consider multiple physical interactions in the design and operation of high-current LEBT systems. The findings provide practical insights for optimizing gas compensation parameters in similar accelerator facilities.
2025,
37: 106006.
doi: 10.11884/HPLPB202537.250218
Abstract:
Background Purpose Methods Results Conclusions
A radiation field with a significant mixture of neutrons and gamma rays exhibits the following characteristics: a wide range of neutron energy, serious mixing of neutron and gamma ray, etc. Therefore, to measure the total neutron emission from such a source with relatively high precision, the detector must possess high neutron sensitivity, a flat energy response, and a strong n/γ discrimination capability.
To this end, a neutron detector based on a combined 4He gas scintillator is proposed, which has the advantages of a flat neutron energy response and high n/γ resolution. The neutron sensitivity of the detector is studied in this paper.
Using the Monte Carlo method, simulations were conducted to calculate the energy deposition of recoil protons and recoil helium nuclei generated by interactions of neutrons with polyethylene targets and 4He nuclei in the gas, as well as the neutron sensitivity of the detector.
The computational results indicate that the energy deposition curve for 1–15 MeV neutrons in the 4He gas is remarkably flat, with the detector’s neutron sensitivity to 1–15 MeV neutrons reaching approximately 4.0×10−15 C·cm2. Experimental calibration of the detector’s neutron sensitivity was performed using the K600 high-voltage multiplier at the China Institute of Atomic Energy.
The theoretical results of neutron sensitivity are in good agreement with the experimental results. The theoretical calculation model of the detector proposed in this paper correctly calculates the neutron sensitivity, and the detector's performance meets the expected targets.
2025,
37: 106007.
doi: 10.11884/HPLPB202537.250230
Abstract:
Background Purpose Methods Results Conclusions
With the continuous development of national strategic needs, multiple large-scale radiation simulation facilities have been constructed, imposing increasingly stringent requirements on the temporal and spatial resolution of radiation detection. Researchers have been actively developing novel techniques to achieve higher resolution. Against this background, the technique utilizing the transient refractive index response of semiconductor crystals for radiation detection has gained significant attention.
This study presents a novel approach based on refractive index changes in indium phosphide (InP) crystals to enhance the temporal and spatial resolution of radiation detection. A proof-of-principle experiment was conducted to validate the effectiveness of the proposed technique for pulsed radiation detection.
A radiation imaging system was constructed based on a Michelson interferometer configuration. This system used a 350 μm thick iron-doped InP crystal as the radiation sensor.
Using this setup, images of refractive index changes within the crystal induced by laser pulse excitation with a wavelength of 532 nm were successfully captured. Pump-probe measurements revealed that the iron-doped InP crystal exhibited a time response of 1.5 ns under pump laser irradiation. Spatial resolution was characterized by placing a resolution target in the pump beam path; image reconstruction achieved a system spatial resolution of 1 lp/mm.
These experimental results demonstrate the feasibility of the ultrafast image detection technology based on InP refractive index changes. This system has the potential to significantly advance pulsed radiation beam detection technology, offering high temporal and spatial resolution capabilities.
2025,
37: 106008.
doi: 10.11884/HPLPB202537.250227
Abstract:
Background Purpose Methods Results Conclusions
Efficient neutron detectors are widely used in national security, neutron scattering, and nuclear energy development. The 3He proportional tube, a commonly used neutron detector, faces a global shortage of 3He resources. Meanwhile, existing alternative detectors like BF3 proportional tubes have low efficiency and toxicity, and most large-area boron-lined gas detectors adopt a flow-gas design requiring gas cylinders, causing inconvenience in use and maintenance.
To address the above issues, this study aims to develop a sealed large-area neutron detector based on a boron-lined multi-wire proportional chamber (MWPC) for nuclear environment safety monitoring and fusion pulsed neutron measurement.
The Geant4 software with the FTFP_BERT_HP physics library was used to simulate the effect of boron coating thickness on detection efficiency, energy deposition of secondary particles in the working gas, and γ-ray sensitivity. A double-layer sealed detector with a 1.6 μm boron coating and a 10 cm×10 cm effective area was fabricated. Performance tests (pulse height spectrum and neutron detection efficiency) were conducted at the 20th beamline (BL20) of the China Spallation Neutron Source (CSNS), using a self-developed readout electronics system and a standard 3He tube as a reference.
Simulation showed that thermal neutron detection efficiency was 1%−7% when boron coating thickness was 0.1−2.5 μm, and γ-ray sensitivity was less than 5×10−6 at a 100 keV energy threshold. Experimental results indicated that the detector’s pulse height spectrum matched the simulated energy deposition. After background subtraction, its detection efficiencies for 0.18 nm, 0.29 nm, and 0.48 nm neutrons were 4.2%, 6.0%, and 9.4%, respectively, consistent with the 10B neutron absorption cross-section law.
The developed sealed large-area boron-lined MWPC neutron detector avoids complex gas circulation systems. Future optimization of boron coating thickness and conversion layer number can further improve efficiency, providing a new solution for nuclear safety monitoring and fusion pulsed neutron measurement.
2025,
37: 106009.
doi: 10.11884/HPLPB202537.250196
Abstract:
Background Purpose Methods Results Conclusions
Gallium nitride (GaN) exhibits exceptional optoelectronic properties, making it highly suitable for applications in high-power devices, light-emitting diodes (LEDs), high-electron-mobility transistors (HEMTs), and radiation detectors. Particularly in radiation detection, GaN can function as both a semiconductor and a scintillator. As a scintillator material, it demonstrates high luminescence efficiency. However, the yellow luminescence band induced by defects in the material often leads to slow time response, limiting its broader application. On the other hand, GaN-based LEDs with multi-quantum well (MQW) structures can achieve excellent electroluminescence performance. Nevertheless, MQW-enhanced scintillators generally suffer from drawbacks such as a thin sensitive layer and low energy deposition efficiency.
To leverage the advantageous properties of GaN comprehensively and achieve higher overall performance in detection, this study proposes a radiation-to-optical conversion detection mode that combines GaN semiconductor devices for simultaneous radiation energy deposition and carrier recombination luminescence. By constructing a PN junction structure incorporating MQWs on a high-resistivity, high-mobility GaN substrate, a radiation detection device capable of both radiation-to-carrier conversion and carrier recombination luminescence is realized.
A 400 μm-thick unintentionally doped high-resistivity GaN single crystal was used as the radiation energy deposition layer. A PN junction structure with MQWs was epitaxially grown on the high-resistivity GaN substrate via metal-organic chemical vapor deposition (MOCVD). The epitaxial layer was segmented into independent regions using inductively coupled plasma (ICP) etching. Transparent indium tin oxide (ITO) electrodes were subsequently fabricated via magnetron sputtering, followed by the deposition of metal electrodes on both the top and bottom surfaces of the device.
The device exhibited low dark current and sensitive X-ray response characteristics. A multi-quantum well recombination structure with a luminescence peak at 410 nm was incorporated into the device. Luminescence spectrum tests and imaging analysis confirmed the device’s response to varying radiation doses and changes in luminescence efficiency under different applied voltages.
The designed device enables directional drift and recombination luminescence of carriers generated by radiation energy deposition under an applied electric field. By leveraging semiconductor device design and electric-field-regulated carrier behavior, the luminescence efficiency, response time, and emission spectrum of the device can be effectively modulated. This approach offers a novel technical pathway for radiation detection.
2025,
37: 106010.
doi: 10.11884/HPLPB202537.250202
Abstract:
Background Purpose Methods Results Conclusions
A new NPN structure detector based on SiC with internal gain characteristics was designed successfully.
This study aims to analyze the effect of area on the NPN detectors.
This research involves the design and fabrication of three dual-end SiC-based NPN structure radiation detectors with different areas. Their DC X-ray response characteristics were experimentally evaluated.
The results demonstrate that these detectors operate under the combined effects of externally biased voltage and photovoltaic voltage, exhibiting four distinct knee-points that divide the I-V characteristic curve into five stages. Under identical DC X-ray irradiation conditions, larger-area detectors absorb more X-ray energy, leading to stronger output signals. Smaller-area detectors show higher knee-points on the I-V characteristic curve, indicating a greater ability to withstand voltage. Additionally, the response time of the detectors is closely related to their size, with larger areas resulting in longer switch-off times. The 90%-10% fall time of the 1 cm×1 cm detector is approximately 12.2 ms longer than that of the 0.25 cm×0.25 cm detector.
These findings emphasize the importance of considering area in the design of radiation detectors and highlight the need to optimize this parameter to enhance the detector performance.
2025,
37: 106011.
doi: 10.11884/HPLPB202537.250269
Abstract:
Background Purpose Methods Results Conclusions
The space radiation environment poses a critical threat to spacecraft electronics, with single-event upset (SEU) being one of the most representative transient radiation effects. Understanding the spatial distribution and driving mechanisms of SEUs is essential for improving radiation-hardened design and mission reliability.
This study aims to systematically investigate the relationship between on-orbit SEUs and space environment parameters, and to quantify the contribution of high-energy protons to SEU occurrence.
On-orbit SEU monitoring data from static random-access memory (SRAM) devices were analyzed in conjunction with particle flux measurements, geomagnetic parameters, and proton energy spectra. The spatial distribution of SEUs was mapped in L-shell coordinates, and statistical correlation analysis was performed between the flux of protons at or above 10 MeV and on-orbit soft error rate (SER). Theoretical SER was calculated using ground-based proton irradiation cross sections and compared with observed values.
A total of 97.5% of SEU events were concentrated within the South Atlantic Anomaly (SAA), with a peak at L ≈ 1.24−1.25, coinciding with enhanced the flux of protons at or above 10 MeV regions. A significant power-law correlation (R ≈ 0.73) was found between the flux of protons at or above 10 MeV and SER, confirming high-energy protons as the dominant driver of SEUs. The calculated SER agreed with observations within one order of magnitude but was systematically lower, indicating the need for extending the spectral range to improve prediction accuracy. No SEUs were detected during three minor solar proton events, while geomagnetic storms caused significant SER decreases due to proton flux depletion in the SAA.
This study systematically elucidates the spatial distribution characteristics and primary driving mechanisms of on-orbit SRAM SEUs, demonstrating that high-energy proton flux is the dominant contributor to SEU occurrence. These findings advance the understanding of space radiation effects and provide essential theoretical and experimental support for radiation effect modeling, radiation-hardened design, and mission reliability assessment.
2025,
37: 106012.
doi: 10.11884/HPLPB202537.250193
Abstract:
Background Purpose Methods Results Conclusions
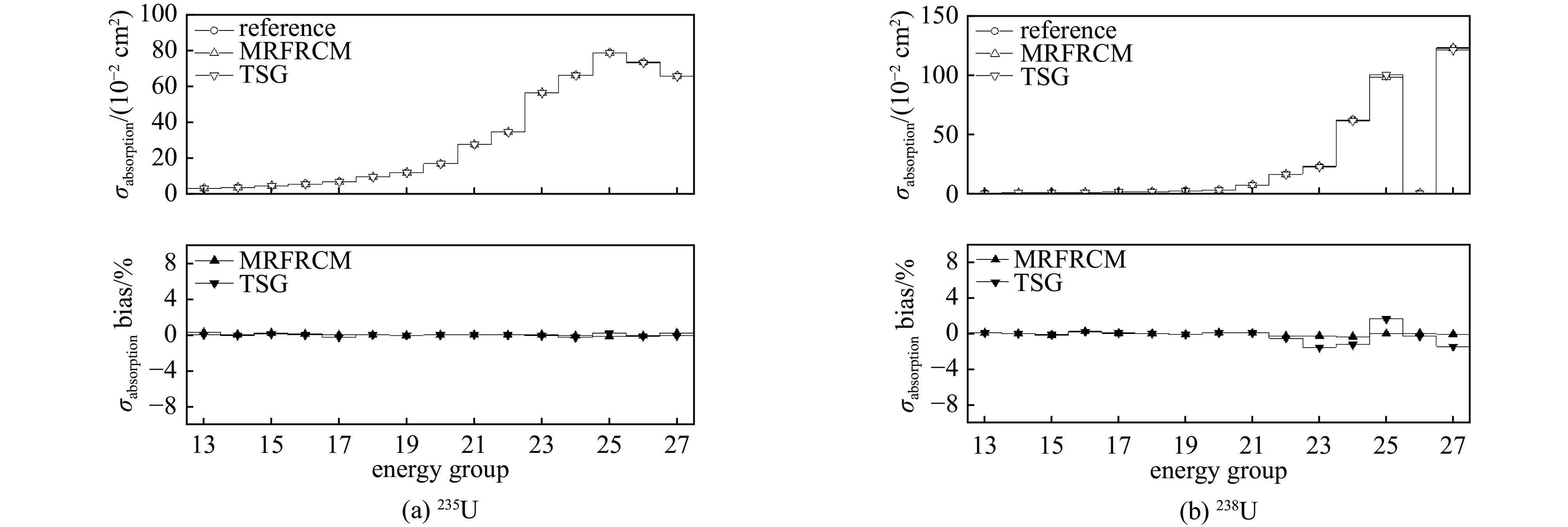
Accurate resonance calculation for multi-ring fuel elements remains a significant challenge in reactor physics due to the complex spatial self-shielding effects and strong mutual interference between resonant nuclides. Traditional resonance methods, such as the subgroup method, often struggle to achieve a balance between computational efficiency and accuracy when dealing with such configurations. This is particularly critical for high-fidelity analysis of advanced reactors and experimental facilities like the high-flux engineering test reactor, where precise characterization of resonance phenomena is essential for predicting core performance and safety parameters.
This study aims to address the limitations of existing resonance calculation methods for multi-ring fuel systems by developing a novel global-local coupling framework. The primary objectives are to enhance the accuracy of effective self-shielding cross-section computation for resonant nuclides, improve computational efficiency, and validate the method’s applicability for both assembly-level and full-core simulations.
A multi-ring fuel resonance calculation method based on the global-local coupling method (MRFRCM) was proposed specifically for multi-ring fuel analysis. In this approach, when handling global spatial effects, the entire multi-ring fuel is treated as an integrated black body. This process simplifies the multi-ring fuel problem into an equivalent rod-type fuel problem for calculating the global Dancoff correction factor. Subsequently, an equivalent one-dimensional local problem is established through a conservation-based search of the Dancoff correction factor. Finally, the problem is reverted to a one-dimensional multi-ring fuel configuration, where the ultra-fine group method is employed to obtain precise self-shielding cross-sections. The method was implemented and tested on multi-ring fuel assembly problems to evaluate its precision and efficiency. Furthermore, it was applied to two-dimensional and three-dimensional full-core models of a high-flux engineering test reactor to assess its performance in practical scenarios.
The proposed method demonstrated superior accuracy and computational efficiency compared to the traditional subgroup method. In assembly-level calculations, the global-local approach reduced errors in effective cross-section estimation while maintaining competitive computation times. For full-core simulations, the results showed good agreement with reference solutions. The method also exhibited robust performance in handling complex geometries and heterogeneous material configurations.
The MRFRCM provides an effective solution for high-accuracy resonance modeling in multi-ring fuel systems. It significantly outperforms the traditional subgroup method in both precision and efficiency, making it suitable for large-scale reactor physics applications. The successful application to 2D and 3D full-core analyses confirms its practicality and reliability for simulating high-fidelity reactor core behavior. Future work will focus on extending the method to broader energy ranges and more complex reactor types.
2025,
37: 106013.
doi: 10.11884/HPLPB202537.250214
Abstract:
Background Purpose Methods Results Conclusions
Phase-locked loops (PLL) circuit plays a significant role in microprocessor clock circuits and high-speed interface circuits. Conducting research on the strong radiation effect of PLL circuits could provide basic data for evaluating their overall damage response.
In consideration of transistors’ energy deposition fluctuation to be more close to practical radiation, the total ionizing dose (TID) effect of a typical 0.18 μm process phase-locked loops circuit (PLL) was equivalently studied, which could make up for the deficiencies of previous related research.
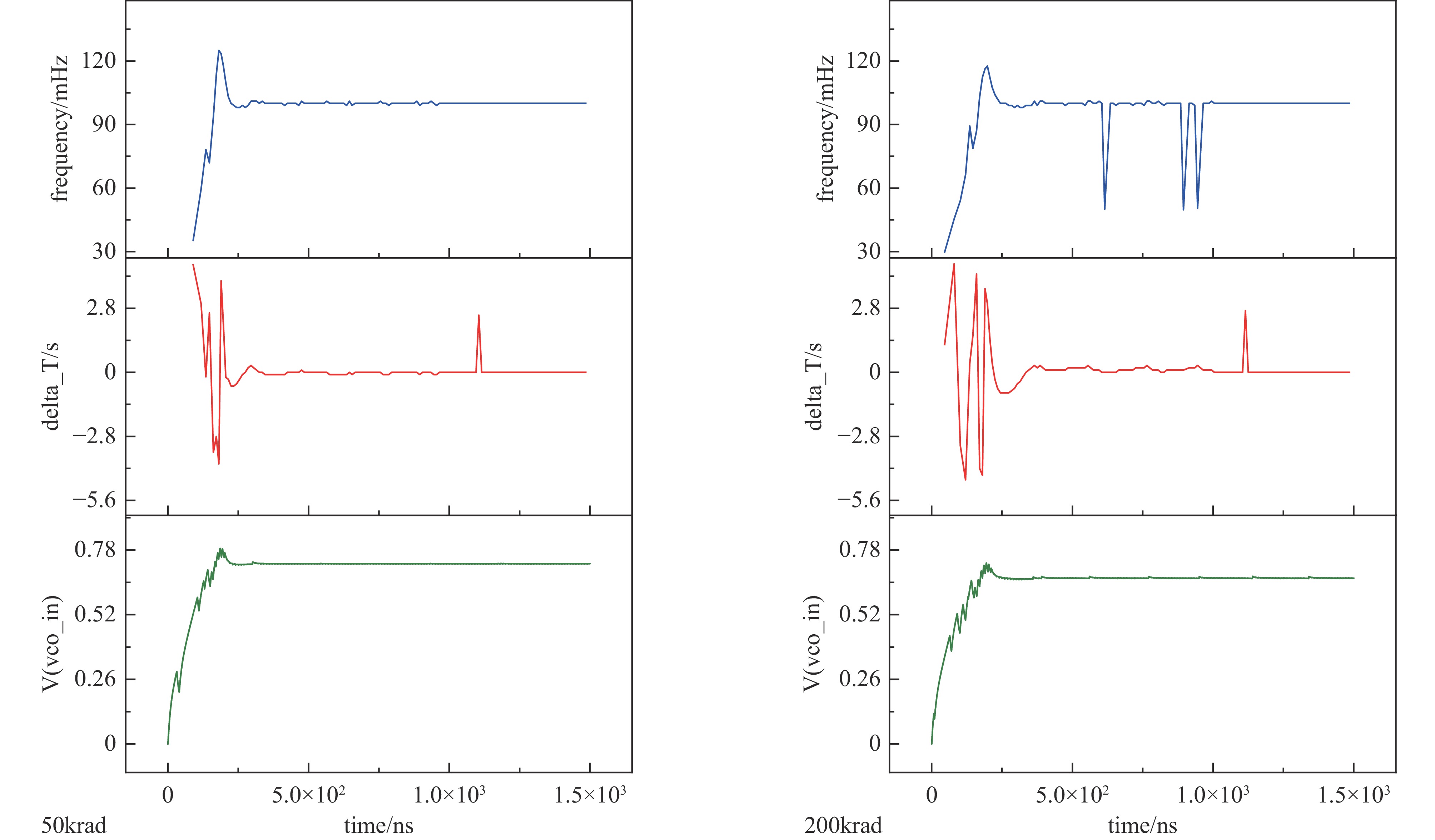
Employing Monte Carlo sampling method to modify the sensitive parameters of the transistor SPICE model, the TID effect of PLL circuit was studied, where the statistical distributions of output frequency f, phase difference δ, and control voltage Vvco_in under different TID ranging from 0 to 200 krad (SiO2) are given.
Results demonstrate that the values of f and δ would be changed in various degrees under TID effect without considering the energy deposition fluctuations, and they could eventually return to normal through the circuit’s feedback mechanism. On the contrary, when considering the energy deposition fluctuations, the PLL circuit shows an unexpected frequency response after phase locking, which may lead to data loss during the communication process and disturbances to the processor’s functionality, thus leading to a disaster’s impact on the overall behavior of the circuit.
The simulation methods and results in this paper could provide references for considering or evaluating TID effect of PLL circuits under real conditions, and further offer suggestions on the design of anti-TID effect of PLL circuits.
2025,
37: 106014.
doi: 10.11884/HPLPB202537.250246
Abstract:
Background Purpose Methods Results Conclusions
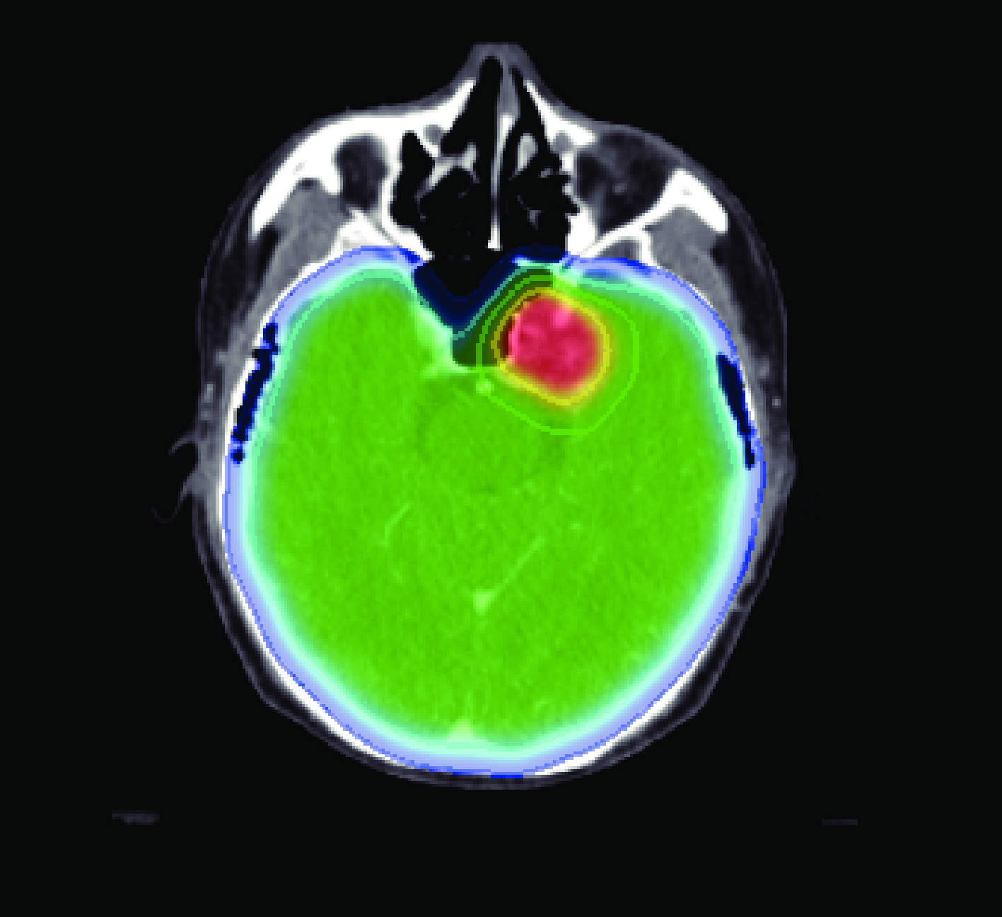
Boron neutron capture therapy (BNCT) dose simulation is the cornerstone for equipment development, drug iteration, and clinical trials.
To meet the need for BNCT dose simulation and analysis based on clinical CT, we propose and build a brand-new BNCT dose simulation system.
Within the medical-image platform MeVisLab, we complete DICOM registration, target delineation, and RTStruct/RTDose interfaces; the open-source Monte Carlo code OpenMC is used as the engine to execute neutron-transport simulation, realizing HU-to-material mapping and variable-mesh calculation.
Validation with clinical CT data simulated by the system shows that at a depth of 22 cm in the tumour target, the boron dose accounts for 80.9% of the total dose.
Developed within weeks and with low licence costs, the system provides an efficient calculation tool for BNCT dose simulation and a reference framework for BNCT dose simulation in research and education.
2025,
37: 106015.
doi: 10.11884/HPLPB202537.250212
Abstract:
Neutron diffraction technology has become a vital characterization tool in semiconductor material research due to its penetration capability, sensitivity to light elements, and dynamic detection advantages. By analyzing diffraction peak characteristics, this technique reveals lattice distortions, strain distributions, and defect evolution patterns, providing atomic-scale insights into material properties. It enables quantitative analysis of defects such as dislocation density and cation occupancy while investigating magnetic ordering and spin interaction mechanisms, supporting the development of novel electronic devices. Its in-situ testing capability allows real-time observation of defect reorganization during phase transitions and structural responses under external fields, overcoming the limitations of conventional methods, particularly in extreme-environment material studies. Current research focuses on establishing correlations between microstructural evolution and macroscopic performance, advancing in-situ dynamic testing methods for precise material behavior prediction. With upgrades to large-scale scientific facilities, neutron diffraction will play an increasingly significant role in both fundamental research and engineering applications of semiconductor materials, especially in harsh-environment material development. Future advancements will prioritize enhancing multiscale characterization capabilities and innovating in-situ experimental approaches, providing robust technical support for semiconductor materials science.
Neutron diffraction technology has become a vital characterization tool in semiconductor material research due to its penetration capability, sensitivity to light elements, and dynamic detection advantages. By analyzing diffraction peak characteristics, this technique reveals lattice distortions, strain distributions, and defect evolution patterns, providing atomic-scale insights into material properties. It enables quantitative analysis of defects such as dislocation density and cation occupancy while investigating magnetic ordering and spin interaction mechanisms, supporting the development of novel electronic devices. Its in-situ testing capability allows real-time observation of defect reorganization during phase transitions and structural responses under external fields, overcoming the limitations of conventional methods, particularly in extreme-environment material studies. Current research focuses on establishing correlations between microstructural evolution and macroscopic performance, advancing in-situ dynamic testing methods for precise material behavior prediction. With upgrades to large-scale scientific facilities, neutron diffraction will play an increasingly significant role in both fundamental research and engineering applications of semiconductor materials, especially in harsh-environment material development. Future advancements will prioritize enhancing multiscale characterization capabilities and innovating in-situ experimental approaches, providing robust technical support for semiconductor materials science.
2025,
37: 106016.
doi: 10.11884/HPLPB202537.250215
Abstract:
Background Purpose Methods Results Conclusions
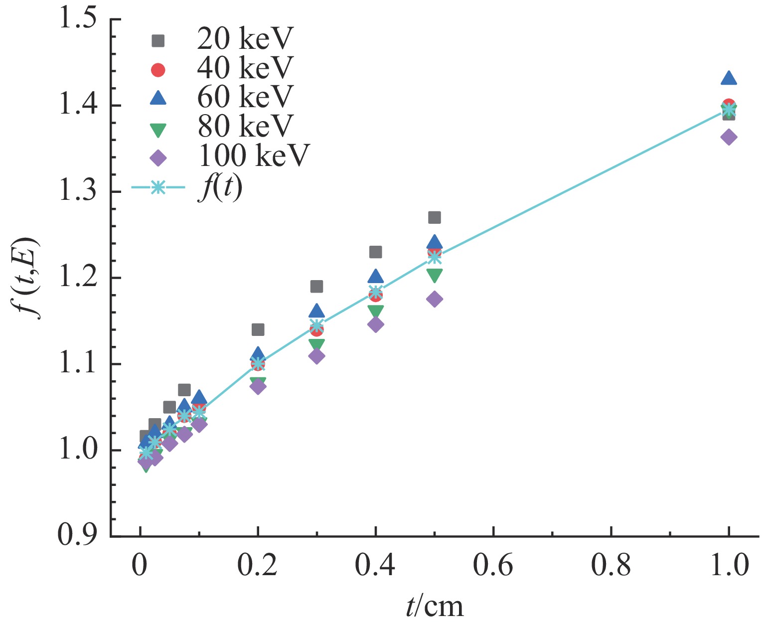
System-generated electromagnetic pulse (SGEMP) effects induced by X-ray irradiation pose a significant threat to electronic systems in aerospace and nuclear environments. Accurate quantification of electron emission parameters, which are critical current sources for SGEMP simulations, remains challenging because of the complex coupled photon-electron transport processes involved.
This study aims to systematically investigate the characteristics of backward- and forward-emitted electrons from typical materials (e.g., aluminum) under X-ray irradiation and develop efficient analytical models for predicting electron yields without relying on computationally intensive Monte Carlo (MC) simulations for each new scenario.
Photon-electron coupled transport simulations were performed using a Monte Carlo module combining the condensed history and single-event methods. The energy and angular distributions of emitted electrons were analyzed for X rays (0.1–100 keV) normally incident on aluminum plates of varying thicknesses. Analytical models for backward and forward electron yields were derived based on photon mean free path, electron maximum range, and attenuation laws, with a cumulative correction factor introduced to improve forward yield accuracy.
Backward electron energy spectra exhibited a double-peak structure (Compton and photoelectron peaks), with angular distributions following a cosine law. A saturation thickness of about 3 photon mean free paths was identified for backward yield, beyond which yields remained constant. For forward emission, yields peaked at the electron maximum range thickness and decreased with further increasing plate thickness. The proposed analytical formulas for both backward and forward yields achieved relative errors within 10% compared to direct MC simulations across the studied energy and thickness ranges.
The derived analytical models provide efficient and accurate predictions of electron emission coefficients for SGEMP source terms, reducing the need for repeated MC simulations. The methodology is generalizable to other materials and supports rapid assessment of X-ray-induced electron emission in complex systems. Future work will explore machine learning techniques to further enhance computational efficiency for broader applications.
2025,
37: 106017.
doi: 10.11884/HPLPB202537.250195
Abstract:
Background Purpose Methods Results Conclusions
The performance of scintillation is directly related to the photoluminescence spectrum, scintillation luminescence time, etc.
In order to study the typical spectral response of the trihalide perovskite CH3NH3PbCl3 single crystal scintillator, the characteristic of differential luminescence spectrum response was found.
Perovskite monocrystalline samples were prepared by reversed-temperature crystal growth method. The differential luminescence spectra of CH3NH3PbCl3 were studied under different conditions, such as particle excitation, surface roughness and crystal temperature.
The experimental results show that both the surface roughness and the crystal temperature have obvious effects on the luminescence spectrum. And the perovskite crystal exhibits different scintillation luminescence time under X-ray and laser excitations, respectively.
The differential luminescence response has been discovered under several conditions. The results can play an important supplementary role in the applied research of perovskite scintillator in X-ray detection.
2025,
37: 106018.
doi: 10.11884/HPLPB202537.250222
Abstract:
Background Purpose Methods Results Conclusions
Delayed neutron, as a key signature of nuclear fission, plays a significant role in nuclear technology and engineering. Major nuclear reactor accidents (e.g., Chernobyl, Fukushima) are often accompanied by explosions, which generated shockwaves that may affece the transport of delayed neutrons and consequently influence the delayed neutron dose assessment. Understanding the influence of the shockwaves on the transport of delayed neutrons is critical for accurate radiological evaluation in such scenarios.
This study aims to investigate the influence of a shockwave on the transport of delayed neutron released from fission products and to calculate the resulting dose field at ground-level monitoring points.
A correspondence between mass thicknesses and delayed neutron doses was established by using the Monte Carlo method. The LAMBR model, based on a mirroring technique, was used to calculate the complex air density distribution arising by the shockwave at around the delayed neutron source. By combining the mass-thickness equivalent attenuation law with the LAMBR model, the delayed neutron dose fields of typical fission nuclides were calculated.
The results indicated that when the strength of the shockwave source is fixed, the enhancing effect of the shockwave on the transport of delayed neutrons becomes more pronounced as the source height increased. Conversely, when the source is close to the ground and the strength of the shockwave source is sufficiently strong, the ground-reflected shockwave may attenuate the transport of delayed neutrons.
The transport of delayed neutrons is significantly influenced by the shockwave, and furthermore the influence is closely related to the height and strength of the shockwave source. These findings provide valuable insights for improving dose assessment in accident conditions involving explosions.
2025,
37: 106019.
doi: 10.11884/HPLPB202537.250233
Abstract:
Background Purpose Methods Result Conclusions
Semiconductor laser devices (LDs) are a kind of laser with semiconductor material as its working material. LDs are the general name of optical oscillator and optical amplifier produced by photon excited emission caused by electron-optical transition in semiconductor material. LDs have the advantages of small volume, light weight, low power consumption, long life, simple structure, direct modulation and fast response. Thus, LDs are widely used as light source devices in the fields of optics communication, measurement, imaging, display, illumination, industrial processing, medical diagnosis, and so on.
With the application of LD in space optics communication, large hadron collider, nuclear industry, and other radiation environments, LDs operated in space radiation or nuclear radiation environment will suffer radiation damage. The reliability of LD-based optics communication system in radiation environment has attracted much attention. In view of the few reports on LD irradiation damage test methods at home and abroad, this paper mainly focuses on the radiation damage effects on the LDs used in radiation environment.
Referring to domestic and foreign standards, specifications and guidelines related to the radiation effects on the electronic components, combining LD irradiation damage test, radiation particle transport simulation and radiation effect simulation, and radiation damage mechanism analysis, the test methods of LD irradiation damage effect are studied from the aspects of irradiation source selection, test flow, irradiation bias conditions, etc.
The radiation test procedures for the LD displacement effect, ionization total dose effect, and transient dose rate effect are established respectively to form the test method of radiation damage effects on LDs.
The research provides the experimental technical supports for the evaluation of LD radiation damage and the test of LD radiation hardening.
2025,
37: 106020.
doi: 10.11884/HPLPB202537.250254
Abstract:
Background Purpose Methods Results Conclusions
Microreactors exhibit closely coupled neutronic-thermal-mechanical responses during operation, accompanied by highly non-uniform temperature distributions. Traditional on-the-fly cross-section generation methods, such as Doppler broadening in MCNP, are limited to the resolved resonance region and cannot handle temperature-dependent thermal neutron scattering laws (TSL), which are critical for thermal-spectrum systems.
To address this gap, this study aims to develop an on-the-fly TSL cross-section generation capability within MCNP based on statistical sampling, with a focus on thermal neutron scattering in high-temperature moderators such as ZrHₓ, and to enable high-fidelity neutronic-thermal coupling analysis in microreactor simulations.
A statistical sampling approach was implemented for on-the-fly computation of thermal scattering cross-sections. Multi-temperature cross-section evaluations were carried out for hydrogen in ZrHₓ, comparing discrete and continuous TSL treatments. The method was macroscopically validated through keff calculations in TRIGA and TOPAZ reactors. Furthermore, integrated neutronic-thermal coupling simulations were performed using unstructured-mesh MCNP coupled with ABAQUS.
The developed on-the-fly cross-section method produces keff values in good agreement with those obtained using pre-generated offline libraries. The integration with unstructured particle transport in MCNP allows spatially precise accounting for temperature feedback in the moderator region.
The new on-the-fly TSL capability enhances the accuracy of temperature-dependent neutronics modeling in thermal-spectrum microreactors. Coupled with unstructured meshing, it provides an essential foundation for high-fidelity multi-physics simulations of solid-state compact microreactors.
2025,
37: 106021.
doi: 10.11884/HPLPB202537.250223
Abstract:
Background Purpose Methods Results Conclusions
In small integrated reactors, the control rod drive mechanism (CRDM) is located within a high-intensity radiation field. The sealing coil of the CRDM may experience performance degradation due to intense irradiation, making accurate dose rate assessment essential for predicting maintenance cycles.
This study aims to evaluate the irradiation dose rate at the CRDM sealing coil in a small reactor during normal operation, identifying the main contributors to the dose rate.
Radiation source terms, including core fission neutrons and photons, fission and activated corrosion products in the primary coolant, and activation product N-16, were calculated. Computational models were developed using the Monte Carlo methods for photon transport and the point-kernel integration for dose rate evaluation. Conservative assumptions were applied to coolant density and source distribution.
The total dose rate at the CRDM sealing coil was found to be 4.1 Gy·h−1. N-16, produced via neutron activation in the coolant, was the dominant contributor, accounting for nearly the entire dose. Contributions from fission products, activated corrosion products, and core fission photons were negligible (less than 1%).
The irradiation dose rate at the CRDM sealing coil is primarily due to N-16 decay gamma rays, with the majority originating from coolant within a 1.5-meter thick region centered around the dose point. These results provide a basis for predicting coil lifespan and planning replacement intervals.
2025,
37: 106022.
doi: 10.11884/HPLPB202537.250220
Abstract:
Background Purpose Methods Results Conclusions
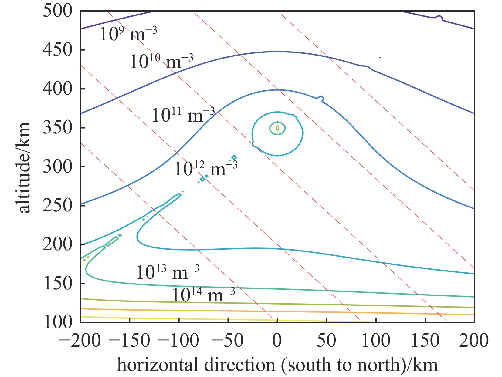
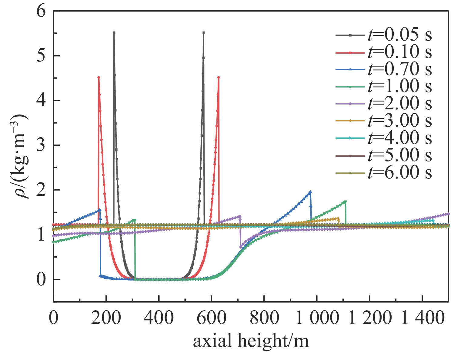
Extreme nuclear events typically generate intense explosions and release radioactive fission products. Gamma radiation from fission products, emitted during radioactive decay of fission products, can affect radiation dose fields for 10 μs to 15 s. During this period, the source intensity, spectrum, and spatial distribution exhibit significant temporal variations. Concurrently, shock-waves induce complex atmospheric density changes, creating hydrodynamic enhancement effects.
This study aims to develop a computational model for simulating time-varying fission product γ transport in non-uniform atmospheres perturbed by shock-waves, specifically quantifying the hydrodynamic enhancement effect on γ radiation dose fields.
A computational model for atmospheric density distribution was constructed using the LAMBR theory for shock-wave flow-field evolution. Based on radiation transport time-discrete theory, a transient variable-time-step Monte Carlo (MC) method was developed using the PHEN particle transport code.
A validation via 20 kt TNT-equivalent detonation simulations at 400 m altitude was conducted to evaluate the hydrodynamic enhancement effect of fission product γ of 235U. The results demonstrate that, compared to a uniform atmospheric model, the hydrodynamic enhancement effect can amplify the γ dose by 2—3 times at some locations.
The proposed transient variable-time-step Monte Carlo simulation method can effectively capture the hydrodynamic enhancement effect of the shock wave-perturbed atmospheric density field on the fission product γ radiation fields.
2025,
37: 106023.
doi: 10.11884/HPLPB202537.250247
Abstract:
Background Purpose Methods Results Conclusions
The investigation of radioactive source terms serves as a critical basis for formulating reactor decommissioning plans, estimating costs and schedules, and ensuring adequate radiation protection and emergency preparedness.
During neutron irradiation, reactor components undergo neutron activation reactions that generate significant quantities of radionuclides. The decay photons emitted by these nuclides constitute the primary source of radiation exposure for personnel during reactor decommissioning.
A combined approach using Monte Carlo particle transport programs (cosRMC, MCNP) and activation calculation programs (DEPTH, ALARA) was employed to calculate the nuclide atom density, activity, and radiation dose rates for key components after a specified operational period.
Comparing results from the two activation programs shows relative deviations within acceptable limits.
The comparison demonstrates the reliability and accuracy of cosRMC’s activation calculations and dose rate assessment capabilities for reactor decommissioning analysis.
2025,
37: 106024.
doi: 10.11884/HPLPB202537.250229
Abstract:
Background Purpose Methods Results Conclusions
Particle therapy is highly sensitive to respiratory motion, and low-latency respiratory gating is essential to ensure dose accuracy. Surface-guided radiation therapy (SGRT), featuring continuous monitoring and a non-ionizing workflow, is increasingly adopted in particle therapy and has become an important approach to respiratory gating. However, validation of gating latency for SGRT-guided proton and heavy ion systems remains limited in this area.
To measure the gate-on and gate-off latencies of an SGRT-proton and heavy ion radiotherapy system using two different methods, compare the two experimental approaches, and evaluate the latency performance of the SGRT-guided system to inform its clinical application.
Two measurements were conducted using a PPL film method and a high-speed camera-detector method. In the film method, a proton beam traversed a 1.5-mm-diameter aperture in a lead collimator, producing on the film a striped pattern that encodes latency; the films were digitized at 0.10 mm resolution for analysis. In the camera-detector method, a 240 frames/s high-speed camera recorded the instant the gating condition was met, and gate-on and gate-off delays were computed from the time difference to the detector-registered radiation signal. End-to-end latency was measured with both methods, and results were cross-validated using combined uncertainty.
The gate-on latency measured by the film method and the camera–detector method was 79 ms±10 ms and 67 ms±10 ms, respectively; the corresponding gate-off latency was 101 ms±9 ms and 129 ms±5 ms. Across two measurement methods, gate-on latencies were concordant within the combined standard uncertainty, whereas gate-off latency showed a significant method-dependent discrepancy, indicating systematic bias.
The SGRT-proton and heavy ion gating system meets our clinical requirements. This study demonstrates the feasibility and necessity of multi-method cross-validation of gating latency and provides quantitative evidence for the commissioning and acceptance test of SGRT in particle therapy.
2025,
37: 106025.
doi: 10.11884/HPLPB202537.250225
Abstract:
Background Purpose Methods Results Conclusions
Power equipment ports exhibit significant variations in characteristics, resulting in severe waveform distortion and low coupling efficiency, especially when operating at high voltages. Traditional testing methodologies in powered states present risks of system failures, complicating the evaluation of equipment resilience under such conditions. Notably, there is a lack of established testing methods or platforms for assessing the effects of high-altitude electromagnetic pulse (HEMP) on power equipment, both domestically and internationally.
This study aims to explore the physical interactions between power systems and HEMP current injection test systems, ultimately developing a novel testing method to evaluate the impact of HEMP on power equipment safely and effectively.
We propose a pulse disturbance loading method predicated on an equivalent "zero potential," which addresses significant limitations related to insulation withstand voltage and power capacity in existing pulse sources that struggle with power frequency voltages. The method allows for phase-controllable loading of nanosecond pulses onto millisecond-level power frequency signals. This approach enhances the coupling efficiency between the pulse source output and the power equipment, facilitating accurate measurements.
The implementation of this novel loading method successfully captures strong electromagnetic pulse phenomena and establishes threshold data for power equipment, simulating conditions closely aligned with real operational scenarios. This advancement significantly improves the reliability of test results in understanding equipment behavior under HEMP exposure.
The developed pulse disturbance loading method offers a promising solution for evaluating the effects of HEMP on power equipment, addressing previously encountered challenges in testing. This research contributes to the establishment of reliable testing protocols for assessing the resilience of power systems against HEMP threats, ultimately enhancing the safety and robustness of critical infrastructure.
2025,
37: 106026.
doi: 10.11884/HPLPB202537.250111
Abstract:
Background Purpose Methods Results Conclusions
As for the electromagnetic pulse (EMP) effect experiment in limited space or for the large system under test, the inverted V-shaped biconical-wire grating antenna based on typical structure may not meet the requirements.
In this paper, a novel horizontally polarized radiation-wave antenna deriving from the typical structure is proposed.
Firstly, a local refinement strategy is used to reduce the field leakage on the x axis near the center of the grating wires. In this way, the polarization component of the electric fields (E-fields) in this direction is enhanced and the field uniformity is improved at the same time. Secondly, the grating antenna is asymmetrically designed and the layout of the typical biconical-wire grating antenna in the +y direction is adjusted so as to provide enough space for adjustment.
Results show that the energy fed to the antenna can be redistributed by adjusting the layout of the wire grating antenna. Compared with the typical biconical-wire grating antenna, the polarized E-field component of the proposed antenna on x axis at (20, 0, 3.2) m is increased about 20% when the antenna is set up to 20 m high, and a working range about 20 m×20 m is provided. Meanwhile, the polarized E-field components in +y and 45° directions are reduced relatively rapidly. The E-field contour lines in +y direction of the new antenna are gradually compressed and converged to the antenna’s convergence points, looking like a rugby.
The feasibility and validity of the presented scheme have been tested by an antenna experiment, which also presents the characteristics of convenience for installation and maintenance.
2025,
37: 106027.
doi: 10.11884/HPLPB202537.250221
Abstract:
Background Purpose Methods Results Conclusions
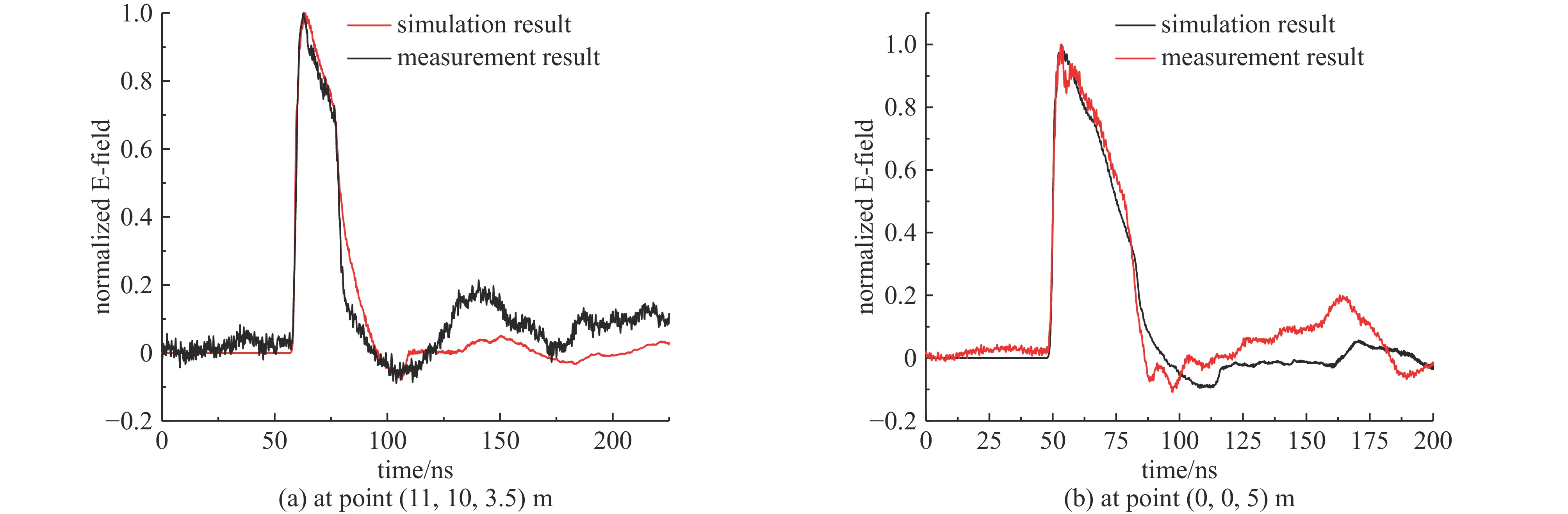
High-altitude electromagnetic pulse (HEMP), generated by nuclear explosions at high altitudes, is characterized by an extremely high amplitude, broad pulse width, and extensive geographic coverage. It poses a severe threat to modern electronic systems, communication infrastructures, and power grids. Accurate and efficient prediction of the HEMP environment is essential for evaluating its potential impact and formulating protective measures.
Traditional numerical methods for HEMP prediction are often computationally intensive and time-consuming. This paper aims to develop a fast and accurate prediction model based on an artificial neural network (ANN) to overcome these limitations and enhance computational efficiency while maintaining prediction accuracy.
The proposed model integrates the Karzas–Latter high-frequency approximation model with the World Magnetic Model to establish a physical basis for HEMP simulation. A deep neural network architecture is constructed, comprising one input layer, eight hidden layers, and one output layer. The Sigmoid function is adopted as the activation function, and the mean squared error is used as the loss function during training.
Experimental results demonstrate that the ANN-based model can accurately predict the peak electric field intensity of HEMP across a wide area within a very short computation time. Compared with conventional numerical methods, the model significantly reduces the required calculation time while achieving high predictive accuracy, making it suitable for rapid environment estimation and scenario analysis.
The developed ANN model provides an efficient and reliable tool for fast prediction of the HEMP environment. It offers substantial practical value for HEMP risk assessment, emergency response planning, and design of protection strategies for critical infrastructure. The research outcomes can serve as a valuable reference for both academic and applied disciplines concerned with electromagnetic pulse effects.
2025,
37: 106028.
doi: 10.11884/HPLPB202537.250224
Abstract:
Background Purpose Methods Result Conclusions
Distribution transformers in the high altitude electromagnetic pulse (HEMP) conduction environment are subjected to nanosecond electrical stress, which can easily cause insulation failure or damage between the winding leads.
This paper takes the transformer winding model as the basis to study the relationship between the volt-second characteristics of oil-immersed paper, breakdown probability, pulse voltage amplitude, and cumulative number of withstand times with different half-height widths and rising edge of the nanosecond voltage pulses (U-N characteristics) .
Modify the circuit components to alter the output voltage’s half-width and rise time, thereby investigating the impact of these changes on the breakdown characteristics of oil-immersed paper. Apply the Weibull distribution function to fit and analyze the resulting data.
When the fixed rising edge is 20 ns, the breakdown voltage decreases as the half-height width increases; when the fixed half-height width is 500 ns, the breakdown voltage increases as the rising edge increases.
The effects of different voltage parameters on the volt-second characteristics and breakdown probability are more obvious, and it is found that the probability of breakdown of oil immersed paper wave head decreases with the increase of full width at half maximum, and increases with the increase of rising edge, resulting in changes in breakdown probability and volt-second characteristics. The change in U-N characteristics is more affected by the magnitude of voltage amplitude, and less affected by changes in voltage characteristic parameters.
2025,
37: 106029.
doi: 10.11884/HPLPB202537.250226
Abstract:
Background Purpose Methods Results Conclusions
As the most challenging issue in the field of the electromagnetic pulse effects, no uniform method of the system vulnerability assessment against the high-altitude electromagnetic pulse (HEMP) has been established. The system design, use and test organizations stand on the different perspectives and the different criteria, which lead to the severe discrepancy in the assessment results. On the other hand, the basic data come from several sources, such as the experience, testing, computation or, subjective judgements, and there is great uncertainty in these data. So the creditability of the assessment conclusions is vital to be validated from the objective and subjective information. However, the high cost and long duration will prohibit the conduct of the whole system test or computation, such as the communication and power infrastructures. Thus the assessment validation is a hard subject.
In this paper, vulnerability the of a computer control system to HEMP is taken as an illustration to validate the effectiveness of different assessment methods.
Here, three approaches relatively from the fields of the system use, design and test (i.e. risk analysis, electromagnetic compatibility (EMC) analysis and Bayesian networks (BN)) are adopted and independently evaluate the HEMP susceptibility of the item under test (IUT).
Three evaluation results indicate that the assessment methods are effective despite their different thoughts, emphasizes and knowledge fields.
The BN method can preferably respond to the inherent characteristic of HEMP effect assessments, such as the conductivity, uncertainty, synthesis and subjectiveness, so the BN method is potentially promising in the practices.
2025,
37: 106030.
doi: 10.11884/HPLPB202537.250235
Abstract:
Background Purpose Methods Results Conclusions
Light radiation, the primary mode of energy dissipation in nuclear explosions, profoundly impacts both the ecological environment and human society. A thorough understanding of its characteristics, propagation dynamics, and energy distribution is therefore essential for evaluating and protecting against nuclear explosion damage effects.
This study introduces the Kolmogorov-Arnold network (KAN) to construct an interpretable model for predicting the area of light radiation damage. The model utilizes multiple optimization algorithms to invert key source term parameters, namely the explosion yield, height of explosion, and explosion location.
Based on the theory of nuclear explosion fireballs, a light radiation model was developed and integrated with ArcGIS Pro software to visualize thermal energy distribution on real-world maps. A dataset correlating explosion yield and height with damage area was then generated, quantified according to established standards for biological burn injuries. The KAN was trained on this dataset, leveraging its unique advantage of providing explicit, interpretable formulas for prediction. To validate its efficacy, the KAN's performance was benchmarked against eight other algorithms, including Gated Recurrent Unit (GRU), Extreme Learning Machine (ELM), and Random Forest (RF). A loss function was constructed for the radiation model to facilitate the inversion of source term parameters via multiple optimization algorithms.
The results demonstrate that the KAN model achieves high prediction accuracy while yielding an interpretable formula for the damage area. Furthermore, both the genetic algorithm and the Hippopotamus optimization algorithm successfully inverted the nuclear source term parameters with high fidelity.
This methodology facilitates both the rapid prediction of damage effects and the accurate inversion of source parameters, thereby enhancing emergency response efficiency and aiding in strategic protective decision-making.
2025,
37: 106031.
doi: 10.11884/HPLPB202537.250207
Abstract:
Background Purpose Methods Results Conclusions
The Hefei Advanced Light Facility (HALF), as one of the world’s most advanced fourth-generation synchrotron radiation sources, has achieved remarkable improvements in beam brightness and coherence. However, these advances impose stricter requirements on radiation protection, and traditional shielding methods developed for third-generation facilities are insufficient, particularly in accounting for solid bremsstrahlung induced by the Touschek effect.
This study aims to establish a comprehensive framework for evaluating radiation sources at HALF beamline stations and to provide a reliable basis for shielding design.
Taking the BL10 beamline station as the case study, a multi-physics coupled simulation approach was developed: ELEGANT was used to model Touschek-induced beam losses, FLUKA was employed to simulate bremsstrahlung transport and energy deposition, and STAC8 was applied to calculate synchrotron radiation dose distributions.
The results indicate that the Touschek effect contributes significantly to overall radiation levels in fourth-generation light sources and cannot be neglected in shielding assessments. Moreover, the integrated framework enables systematic analysis of multiple radiation sources under complex geometry and operational transitions.
The proposed method has been successfully applied to the radiation assessment and shielding design verification of HALF beamline stations, and it also provides a valuable reference for radiation protection studies in new-generation synchrotron facilities.
2025,
37: 106032.
doi: 10.11884/HPLPB202537.250179
Abstract:
Background Purpose Methods Results Conclusions
The electron beam test platform, as the pre-research project of Shenzhen Superconducting Soft X-ray Free Electron Laser (S3FEL), will be used to overcome several major key technologies in high repetition frequency free electron laser.
Based on the previously proposed beam window (BW) design integrated into the beam dump, this study aims to conduct the radiation safety analysis and the thermo-structural analyses under non-ideal conditions during operation.
The radiation dose at the beam window was calculated and analysed using the Monte Carlo method. To evaluate the robustness of BWs during operation, the thermo-structural analyses were conducted using the finite element analysis method under non-ideal situations, including beam eccentricity, beam shrinkage, and reduced cooling water flow rate.
The results show that the radiation dose at 30 cm outside the side walls and ceiling complies with Chinese national standards, verifying the radiation safety of the scheme. Besides, the results indicate that beam eccentricity has negligible effects on the temperature, stress, and deformation of the beam window. Both beam shrinkage and reduced cooling water flow rate lead to increased temperature, stress, and deformation.
However, the standard deviation of the beam shrinkage must not fall below 10% of its original value, and the cooling water flow rate must not be lower than 0.2 m/s; otherwise, the safe operation of the beam window would be compromised. This paper clarifies the safety operation threshold for the beam window, providing a theoretical basis for its secure operation.

Email alert
RSS
