2026 Vol. 38, No. 2
Display Method:
2026,
38: 1-2.
2026,
38: 021001.
doi: 10.11884/HPLPB202638.250470
Abstract:
Micro- and nano-structured targets represent a pivotal technological pathway for controlling laser-target interactions and advancing intense radiation sources. This review provides a comprehensive overview of the development and future prospects of intense laser-driven radiation sources based on structured targets. First, it outlines their key role in regulating laser-target coupling, energy absorption, and radiation generation. It then summarizes recent advances in experimental and theoretical research, followed by a discussion of frontier physical and technical progress with petawatt-class laser systems. Finally, the future research trends and technological development requirements for the radiation sources based on laser-irradiated structured targets are prospected.
Micro- and nano-structured targets represent a pivotal technological pathway for controlling laser-target interactions and advancing intense radiation sources. This review provides a comprehensive overview of the development and future prospects of intense laser-driven radiation sources based on structured targets. First, it outlines their key role in regulating laser-target coupling, energy absorption, and radiation generation. It then summarizes recent advances in experimental and theoretical research, followed by a discussion of frontier physical and technical progress with petawatt-class laser systems. Finally, the future research trends and technological development requirements for the radiation sources based on laser-irradiated structured targets are prospected.
2026,
38: 021002.
doi: 10.11884/HPLPB202638.250290
Abstract:
Background Purpose Methods Results Conclusions
As an advanced composite material widely used in the aerospace field, carbon fiber reinforced polymer (CFRP) is subjected to extreme service environments characterized by high heat flux and high mechanical loads. Its thermal ablation and high-temperature failure processes are significantly influenced by environmental conditions. Although numerical and experimental studies on the ablation behavior of CFRP have been extensively conducted, systematic experimental research and experimental-simulation comparisons for the ablation behavior of plain-woven CFRP in a vacuum environment remain lacking.
This study aims to conduct laser ablation experiments on plain-woven CFRP in a vacuum environment and to establish corresponding theoretical and numerical models of thermal ablation. The work seeks to reveal the internal heat transfer characteristics and the evolution mechanism of ablation damage, thereby providing theoretical and data support for the design and application of composite materials under vacuum or rarefied gas environments.
Experimentally, a laser was used as the heat source to design and perform thermal ablation tests on plain-woven CFRP under vacuum. An experimental system based on infrared and thermocouple temperature measurements was employed to record the transient temperature field on the irradiated surface and the temperature of the back surface. In terms of simulation, based on a fiber-yarn/matrix dual-phase micro-modeling strategy and combined with a finite element thermal analysis module and user-defined subroutines, a theoretical and numerical model for the thermal ablation of woven composites was developed.
Experimental results show that no open flame combustion occurred in the composite under vacuum. The epoxy resin matrix underwent significant thermal decomposition and mass loss, while the morphology and structure of the carbon fibers remained intact. The established numerical model reasonably accurately simulated the ablation temperature field and ablation morphology, achieving the simulation of the dynamic ablation process including resin decomposition and fiber exposure.
The vacuum environment significantly alters the laser ablation characteristics and final morphology of plain-woven CFRP. Due to the higher energy deposition rate of the laser in the material, a more pronounced heat accumulation effect is induced. The numerical simulation results agree well with the experimental data, verifying the reliability of the model. This study provides an effective analytical tool and theoretical basis for the thermal safety assessment and functional design of woven CFRP in extreme service environments.
2026,
38: 021003.
doi: 10.11884/HPLPB202638.250177
Abstract:
Background Purpose Method Results Conclusions
The dual-pulse LIBS (DP-LIBS) technology can effectively enhance the spectral intensity of LIBS and has received widespread attention in LIBS analysis.
To understand the enhancement mechanism of traditional collinear dual pulse LIBS and long-short collinear dual pulse LIBS spectra, a comparative study was conducted on two DP-LIBS with different laser excitation schemes, i.e. the conventional collinear dual nanosecond pulse excitation scheme, and the long-short collinear dual-pulse excitation scheme which combines a microsecond pulse and a nanosecond pulse.
The enhancement mechanism and variation trend of spectral intensity were investigated by systematically analyzing the laser ablation morphology and LIBS spectra collected under different inter-pulse delays, spectral acquisition delays and laser pulse energy in both DP-LIBS modes.
The results show that, in conventional collinear DP-LIBS, the spectral intensity increases rapidly within a short delay time of 0–2 μs, but remains relatively high in the longer delay range of 2–14 μs. And the optimal inter-pulse delay is around 4 μs in conventional collinear DP-LIBS. In contrast, the optimal inter-pulse delay for the long-short collinear DP-LIBS is approximately 25 μs, which is determined by the peak power timing of the long-pulse laser.
In the conventional DP-LIBS configuration, spectral enhancement is more sensitive to the energy variations of the second pulse than to those of the first pulse. In the long-short pulse scheme, increasing the energy of the long-pulse laser facilitates sample heating and surface modification, thereby enhancing spectral intensity. However, excessive long-pulse laser energy might cause sample melting and material ejection, which in turn diminishes the ablation efficiency of the subsequent short-pulse laser and reduces the overall spectral intensity. Further analysis of the ablation morphology reveals that the conventional collinear DP-LIBS tends to produce deeper ablation craters, whereas the long-short collinear DP-LIBS is more likely to generate larger ablation craters.
2026,
38: 023001.
doi: 10.11884/HPLPB202638.250129
Abstract:
Background Purpose Method Results Conclusion
The gyrotron is a relativistic nonlinear device capable of generating high-power electromagnetic radiation in the millimeter-wave and terahertz frequency ranges. In most operating magnetically confined thermonuclear fusion reactors (for electron cyclotron heating and current drive, ECH&CD), high-power gyrotrons serve as the core microwave source devices for their electron cyclotron wave heating and current drive systems. For high-power gyrotrons, the high-frequency cavity must operate in a high-order whispering gallery mode to meet the power capacity requirements. However, high-order mode operation conversely introduces severe mode competition. Electron beam performance is a major factor affecting the mode competition, further limiting their efficient and stable operation, particularly in long-pulse or continuous-wave regimes. Therefore, it is essential to investigate the impact of megawatt-level gyrotron electron beam performance on beam-wave interaction.
The study focuses on a self-developed megawatt-level 170 GHz gyrotron operating at TE25,10 mode, analyzing the structural parameter variations of the high-frequency cavity, the start-oscillation current, and the mode competition in single/dual-anode electron beam modulation.
This paper comprehensively considers electron beam performance (velocity spread, beam thickness, space charge effects, oscillation startup process, single/dual-anode configuration) and establishes a sophisticated time-domain, multi-mode, multi-frequency self-consistent nonlinear beam-wave interaction model.
Under operating conditions of 80 kV beam voltage, 40 A beam current, 6.72 T magnetic field, and a velocity ratio of 1.3, the output power reaches 1.35 MW with an interaction efficiency of 42.2%.
Numerical simulations demonstrate that the dual-anode modulation method significantly suppresses mode competition. The successful demonstration of this device establishes a foundation for further studies on higher power and higher-frequency gyrotron.
2026,
38: 023002.
doi: 10.11884/HPLPB202638.250182
Abstract:
Background Purpose Methods Results Conclusions
With the development of high-power microwave technology, the demand for high-power microwave system has moved towards miniaturization and compactness. Realizing high-efficiency and high-power operation under low magnetic field is an important trend for miniaturization and compactness.
In order to improve the power and efficiency of high-power microwave source under low guiding magnetic field (< 0.4 T), a high-efficiency coaxial dual-mode relativistic Cherenkov oscillator (RCO) under a low guiding magnetic field is proposed.
Traditional over-mode RCO is mostly limited to single mode operation, which greatly restricts the further improvement of efficiency. The proposed RCO adopts the dual-mode working mechanism, works in both coaxial quasi-TEM mode and TM01 mode. The dual-mode working mechanism allows the electron beam to interact with multiple modes, thereby improving power capacity and efficiency simultaneously. In particle-in-cell simulation, when the guiding magnetic field is only 0.35 T, the RCO achieves a microwave output of 3 GW with a beam-wave conversion efficiency of 40%. At the same time, aiming at the RF breakdown phenomenon in the experiment, the power capacity is improved by increasing the number of slow wave structure periods, which is verified by both simulation and experiment.
In the experiment, under a magnetic field of 0.37 T, the output power is 2.85 GW with a pulse width of 57 ns and a conversion efficiency of 34%.
Both simulation and experimental results show that the proposed RCO can work stably with high efficiency and high power under the low magnetic field, and the results obtained under the low magnetic field provide strong support for the development of miniaturization of high-power microwave systems.
2026,
38: 023003.
doi: 10.11884/HPLPB202638.250257
Abstract:
Background Purpose Methods Results Conclusions
Space solar arrays, as a crucial part of satellite power systems, are essential for maintaining normal satellite operation. Their large surface area and complex insulation structure make them highly vulnerable to strong external electromagnetic fields. High-power microwaves (HPM), with their wide bandwidth, high power, and rapid action, can readily damage such structures. Therefore, investigating the HPM coupling effects on space solar arrays is of significant importance.
This study aims to investigate the electric field coupling of space solar cell array samples under high-power microwave exposure.
Using a representative solar cell array structure and layout as a reference, we construct a three-dimensional model under high-power microwave irradiation and examines the coupling behavior of the array under varying excitation source parameters, including frequency, polarization direction, incidence angle and so on.
(1)Within the frequency range of 2–18 GHz, vertically polarized S-band microwave irradiation is most likely to induce discharge damage to the solar cell array, with the induced electric field at the triple junction in cell string gaps being much higher than that at interconnect gaps. (2) Under microwave irradiation, the solar cell samples exhibit intense transient electric fields; in the case of vertical polarization, the induced field is mainly concentrated in the cell string gaps, near the busbars, and along the cell edges. (3) The steady peak of the induced electric field at the triple junction decreases with increasing microwave incidence angle and increases with higher microwave power density. (4) The rise and fall times of the microwave pulse have no significant effect on the induced electric field magnitude. (5) The electric field in the space around the cell string gap gradually decreases from the gap center toward the outer region.
The findings of this study provide valuable references for the electromagnetic protection design of space solar cell arrays.
2026,
38: 023004.
doi: 10.11884/HPLPB202638.250283
Abstract:
Background Purpose Methods Results Conclusions
Slots are critical weak scattering sources in stealth aircraft design, significantly influencing Radar Cross Section (RCS). Existing simulation and measurement models often fail to capture true weak scattering behavior, as it is difficult to isolate slot scattering from the low-RCS background.
This study aims to accurately quantify the RCS contribution of weak slots by separating their scattering effect from the background structure, establishing relationships between slot dimensions and RCS, and developing a fast estimation method for various slot configurations.
Using the electric field vector superposition principle, a cancellation technique was applied to extract slot scattering from the background. A fast multi-target scatterer accumulation method was developed to predict scattering from single straight slots, arrays, and bent slots. Simulations and experiments were conducted for validation.
The cancellation technique effectively isolated slot scattering, revealing clear RCS—dimension correlations. The fast estimation method agreed well with detailed simulations and experimental measurements across different slot types.
The proposed approach offers an effective tool for designing and optimizing aircraft structures such as skin joints and apertures. It enables efficient RCS evaluation of weak scattering sources, enhancing stealth performance assessment capability.
2026,
38: 023005.
doi: 10.11884/HPLPB202638.250261
Abstract:
Background Purpose Methods Results Conclusions
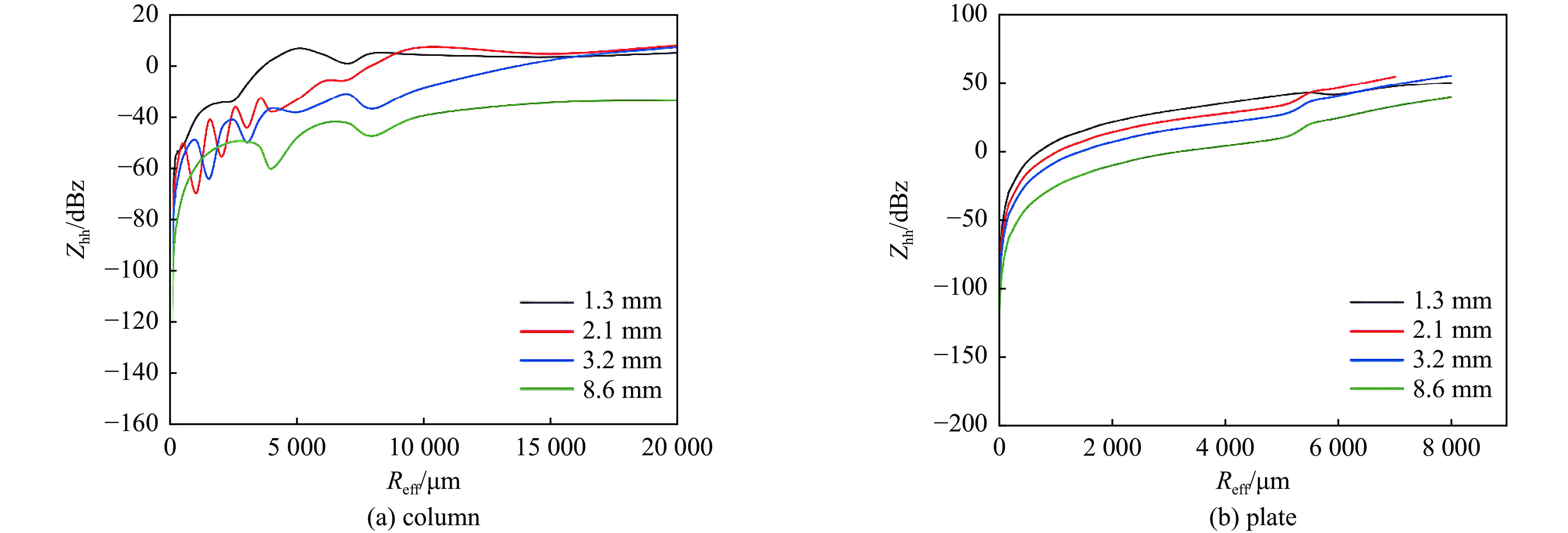
Traditional Mie theory, assuming spherical particles, is inadequate for characterizing the scattering of atmospheric non-spherical ice crystals. Existing studies are largely limited to single frequency (e.g., 94 GHz), lacking systematic quantification of key dual-polarization parameters across the millimeter/submillimeter wave spectrum, which constrains the accuracy of the polarimetric radar for meteorological target detection and classification.
This study aims to systematically investigate the dual-polarization scattering properties of six typical non-spherical ice crystals—hexagonal columns, plates, hollow columns, bullet rosettes, aggregates, and supercooled water droplets—across 35, 94, 140, and 220 GHz bands. It quantifies the responses of differential reflectivity (ZDR) and linear depolarization ratio (LDR) to particle shape and orientation, providing crucial theoretical support for wideband polarimetric radar meteorology.
Scattering models were developed using the Discrete Dipole Approximation (DDA) and Finite-Difference Time-Domain (FDTD) methods, cross-validated with commercial software (XFDTD, HFSS). Backscattering cross-sections, ZDR, and LDR were computed for different ice crystals across the frequency bands, analyzing the influence of particle size, geometry, and frequency.
1)The reliability of DDA was systematically validated across the 35–220 GHz range. Calculation errors for backscattering cross-sections were ≤1.5 dB for all particles except highly random aggregates. 2) Radar reflectivity factor showed a coupled wavelength dependence: small particles (equivalent radius <100 μm) were wavelength-insensitive (<1 dB difference), while large particles (>100 μm) exhibited significant shape-dependent resonance. The equivalent radius corresponding to resonance extrema increased with wavelength. 3) Characteristic ranges of ZDR and LDR for the six ice crystal types were quantified. Hexagonal plates showed the widest ZDR range (9 dB to –9 dB), while axisymmetric particles exhibited stable LDR values (–40 dB to –50 dB).
This wideband, multi-particle study addresses prior limitations in frequency coverage and parameter quantification. It demonstrates that the shape-sensitive ZDR and LDR parameters can reduce dependence on particle size distribution and significantly improve ice crystal identification accuracy, providing a key theoretical basis for millimeter/submillimeter wave polarimetric radar applications in cloud microphysics and meteorological target classification.
2026,
38: 024001.
doi: 10.11884/HPLPB202638.250067
Abstract:
Background Purpose Methods Results Conclusions
Neutron nuclear data are crucial for fundamental research in nuclear physics, providing essential information for nuclear science and engineering applications. Advanced high-current accelerator neutron sources serve as the foundation for nuclear data measurements. The neutron converter target is a key component of such high-current accelerator neutron sources. Under intense particle beam bombardment, the heat dissipation of the neutron converter target is a critical factor limiting the neutron yield and operational stability.
This study aims to address the insufficient heat dissipation capacity of traditional gas targets by designing a novel dynamic gas target system. By optimizing the structure of the gas target chamber to form an active cooling circulation loop, it seeks to solve the cooling problem within the confined space of the gas target chamber.
First, a conceptual design of the gas target system and chamber structure was conducted. The Target software was then used to analyze the energy straggling of incident ions caused by the metal window and the gas itself. Numerical simulations of the thermal environment inside the gas target chamber were performed. The heat source was dynamically loaded based on gas density by coupling with SRIM calculations of the heating power. The gas flow patterns within the target chamber under different beam currents and inlet velocities were analyzed.
The energy straggling calculations show that the contribution from the gas is very small, with the metal window being the primary source of energy straggling for incident ions. The simulation results indicate that as the beam current increases, the heating power rises gradually, while the density in the heated region decreases rapidly. Increasing the inlet flow velocity enhances the heat dissipation capacity and reduces the density drop effect caused by beam heating.
The comprehensive performance evaluation demonstrates that this dynamic gas target system can achieve a neutron yield of up to 5.2×1012 n/s at a beam current of 10 mA. The results prove that the novel dynamic gas target system effectively improves heat dissipation performance, contributes to obtaining a higher neutron yield, and ensures operational stability under high-current application scenarios.
2026,
38: 024002.
doi: 10.11884/HPLPB202638.250164
Abstract:
Background Purpose Methods Results Conclusions
Cancer is a major global health issue. With the development of accelerator physics, boron neutron capture therapy based on accelerator neutron sources has received widespread attention. In the accelerator system, the low energy beam transport is responsible for connecting the ion source and accelerator, as well as processing the beam. For the problem of beam deflection, the chopper is required, so a high-performance chopper is crucial for the entire system.
This study aims to improve the electric field uniformity of the chopper by using circular arc plates instead of parallel plates, and to simulate the chopper design through Python program coupling using CST Studio Suite and TraceWin software.
The beam deflection formula of the chopper was theoretically derived, and the electrostatic and beam dynamics design was completed using CST Studio Suite and TraceWin software. The advantages and feasibility of the circular arc plate were verified through coupling simulation of the two software.
Theoretical calculations and simulations show that the electric field distribution of circular arc plates is more uniform, and the beam deflection function is efficiently completed, confirming the feasibility of the design scheme.
By coupling CST Studio Suite with TraceWin software for simulation, a more realistic simulation of beam dynamics can be achieved, which addresses the issue that TraceWin software is incapable of setting the electric field strength of circular arc plates. The coupled simulation method of CST Studio Suite and TraceWin has been developed, which has certain value for research on chopper design.
2026,
38: 024003.
doi: 10.11884/HPLPB202638.250018
Abstract:
Background Purpose Methods Results Conclusions
Field-programmable gate array (FPGA)-based time-to-digital converters (TDCs) have been extensively employed for high-precision time interval measurements, where picosecond-level resolution is often required. Among existing approaches, the delay-line method remains widely used, while the system clock frequency and the delay chain design are recognized as the primary factors affecting resolution and linearity.
The objective of this study is to develop a multi-channel FPGA-TDC architecture that integrates multiphase clocking with delay-line interpolation, thereby lowering the operating frequency, improving linearity, and reducing hardware resource utilization, while maintaining high measurement resolution.
A two-stage interpolation scheme was introduced, where fine time measurement cells were implemented through the combination of multiphase clocks and shortened delay chains. This configuration mitigates the accumulation of nonlinearity in the delay elements and reduces the scale of thermometer-to-binary encoders, resulting in decreased logic overhead. The proposed TDC was implemented on a Xilinx ZYNQ-7035 device, and its performance was evaluated within a measurement range of 0–16000 ps.
The experimental evaluation demonstrated that a time resolution better than 4 ps was achieved. The measured differential nonlinearity (DNL) was in the range of −1 least significant bit (LSB) to +7 LSB, while the integral nonlinearity (INL) ranged from −2 LSB to +14 LSB. Compared with conventional architectures, the proposed scheme shortens the delay chain length by several times at the same operating frequency, and achieves a lower frequency with the same chain length.
The proposed two-stage interpolation architecture not only enhances resolution and linearity but also significantly reduces logic resource consumption, demonstrating strong application potential.
2026,
38: 025001.
doi: 10.11884/HPLPB202638.250181
Abstract:
Background Purpose Methods Results Conclusions
The surface flashover in SF6 under nanosecond pulses involves complex physical processes, and accurately predicting the surface flashover voltage of insulating media in such environments constitutes a critical challenge for the design of high-voltage pulsed power equipment and the evaluation of insulation reliability. Compared with traditional AC or DC voltages, the extremely short rise time and high amplitude of nanosecond pulses lead to significant space charge effects and distinct discharge development mechanisms, thereby posing severe challenges to prediction models based on classical theories. In recent years, with the rapid improvement of computer computing power and breakthroughs in artificial intelligence algorithms, data-driven machine learning methods have demonstrated great potential in solving complex nonlinear insulation problems.
Targeting this specific challenge under nanosecond pulses, this paper selects four algorithms, including support vector machine (SVM), multi-layer perceptron (MLP), random forest (RF), and extreme gradient boosting (XGBoost), to train and predict flashover voltage data under different experimental conditions within the multi-scale distance range of 15 mm to 500 mm.
First, external operating conditions such as electric field distribution, voltage waveform, and gas pressure were parametrically extracted and characterized. The Pearson correlation coefficient was employed to conduct a correlation analysis on the aforementioned characteristic parameters, and ultimately 22 feature quantities were screened out as the model inputs. Subsequently, the Bayesian hyperparameter optimization algorithm was utilized to perform hyperparameter optimization for four types of algorithms, and the 10-fold cross-validation method was adopted to select the optimal hyperparameter combination for each algorithm. After that, the sample training set was input into the four algorithms for training, and each algorithm was validated on the test set.
The four algorithms demonstrated overall good performance. Among them, random forest (RF) and XGBoost exhibited excellent performance on the training set but poor performance on the validation set, which is likely a manifestation of overfitting in ensemble learning and indicates weak generalization ability. support vector machine (SVM) achieved relatively outstanding performance on both the training set and the validation set. Furthermore, the generalization performance of the SVM and XGBoost algorithms was validated using data outside the sample dataset. The results showed that SVM yielded better prediction outcomes on the data outside the sample dataset.
SVM achieved high prediction accuracy on the training set, test set, and data outside the sample dataset, making it more suitable for the insulation design of electromagnetic pulse simulation devices.
2026,
38: 025002.
doi: 10.11884/HPLPB202638.250184
Abstract:
Background Purpose Methods Results Conclusions
The output switch is an essential part of the electromagnetic pulse simulator, and the switch gap directly affects the waveform characteristics of the electric field generated by the simulator. The single-polarity electromagnetic pulse simulator can adjust the switch gap by an external motor, but the bipolar electromagnetic pulse simulator cannot use this method due to the influence of mechanical structure and high voltage insulation.
This study aims to investigate a gas-driven method to achieve precise regulation of the switch gap in a bipolar electromagnetic pulse simulator.
Firstly, the basic structure of the gas remote adjustment system is proposed, which takes the cylinder as the actuator and connects with the outer cavity body through air pipe. Secondly, based on this structure, the mathematical model of the switch gap adjustment system is established. Thirdly, to address the disadvantage of slow gas driving response, a switch gap control method combining trajectory planning and PIDA control method is proposed; Finally, the effectiveness of this method is verified using Matlab simulation software.
Simulation results of the whole regulation process show that when the switch gap is moved from 0 mm to the desired 30 mm, the process tracking error of the switch gap is less than 3.5 mm, and the final error is less than 0.5 mm.
This paper proposes a gas-driven switch gap adjustment method,which can achieve fast and accurate adjustment of the switch electrode gap, and a single adjustment can be within 200 s, with an adjustment error of less than 0.5 mm. This method is of great significance for the engineering construction of electromagnetic pulse simulators.
2026,
38: 025003.
doi: 10.11884/HPLPB202638.250155
Abstract:
Background Purpose Methods Results Conclusions
Currently, the bias power supplies in high-voltage electron beam welders, both domestically and internationally, are suspended at a negative high voltage. The output voltage regulation is achieved by sampling the operating current in the high-voltage power circuit. The sampled current signal undergoes multi-stage conversion before being sent to the bias power supply, which then adjusts its output voltage based on the feedback current. This adjusted output voltage, in turn, alters the current in the high-voltage circuit. Since the bias power supply is an inverter-based power source, its response and adjustment cycles are relatively long, and precise step-wise regulation is challenging. Consequently, this leads to significant beam current ripple, poor stability, and inadequate beam current reproducibility, failing to meet the requirements of precision welding for beam current stability and low fluctuation.
This paper aims to develop a bias power supply with an adjustable DC output voltage ranging from −100 V to −2 kV, featuring low voltage ripple and high voltage stability. The bias power supply can be connected in series within the high-voltage circuit, enabling rapid adjustment and precise control of the operating beam current through a fast closed-loop feedback control system. Additionally, the bias power supply must operate reliably during load arcing of the electron gun.
The design incorporates absorption and protection methods to address the issue of electron gun load arcing damaging the bias power supply. By connecting the bias power supply in series within the high-voltage circuit and feeding back the operating current in the bias power supply loop, the output voltage (bias cup voltage) is adjusted. The bias cup voltage adaptively regulates according to the beam current magnitude, achieving real-time rapid tracking and fine control of the operating beam current.
A bias power supply was developed with an adjustable DC output voltage from −100 V to −2 kV, featuring a ripple voltage of ≤0.1% across the entire voltage range, voltage stability better than 0.1%, and an output current greater than 3 mA. When applied to a −150 kV/33 mA high-voltage electron beam welder, it achieved a beam current ripple of ±0.19%, beam current stability better than ±5 μA, and beam current reproducibility of ±0.04%.
Based on the methods of absorption, protection, and adaptive regulation of the bias cup voltage according to the beam current magnitude, a novel bias power supply for high-voltage electron beam welders has been successfully developed. This solution addresses the issues of large beam current ripple, poor stability, and inadequate reproducibility in high-voltage electron beam welding, providing an effective approach for high-stability, precision-controllable welding.
2026,
38: 026001.
doi: 10.11884/HPLPB202638.250238
Abstract:
Background Purpose Method Results Conclusions
Accurately simulating the gas-solid coupled heat transfer in high-temperature pebble-bed reactors is challenging due to the complex configuration involving tens of thousands of fuel pebbles. Conventional unresolved CFD-DEM methods are limited in accuracy by their requirement for coarse fluid grids, whereas fully resolved simulations are often prohibitively expensive.
This study aims to develop a semi-resolved function model suitable for fine fluid grids to enable accurate and efficient coupled thermal-fluid simulation in pebble beds.
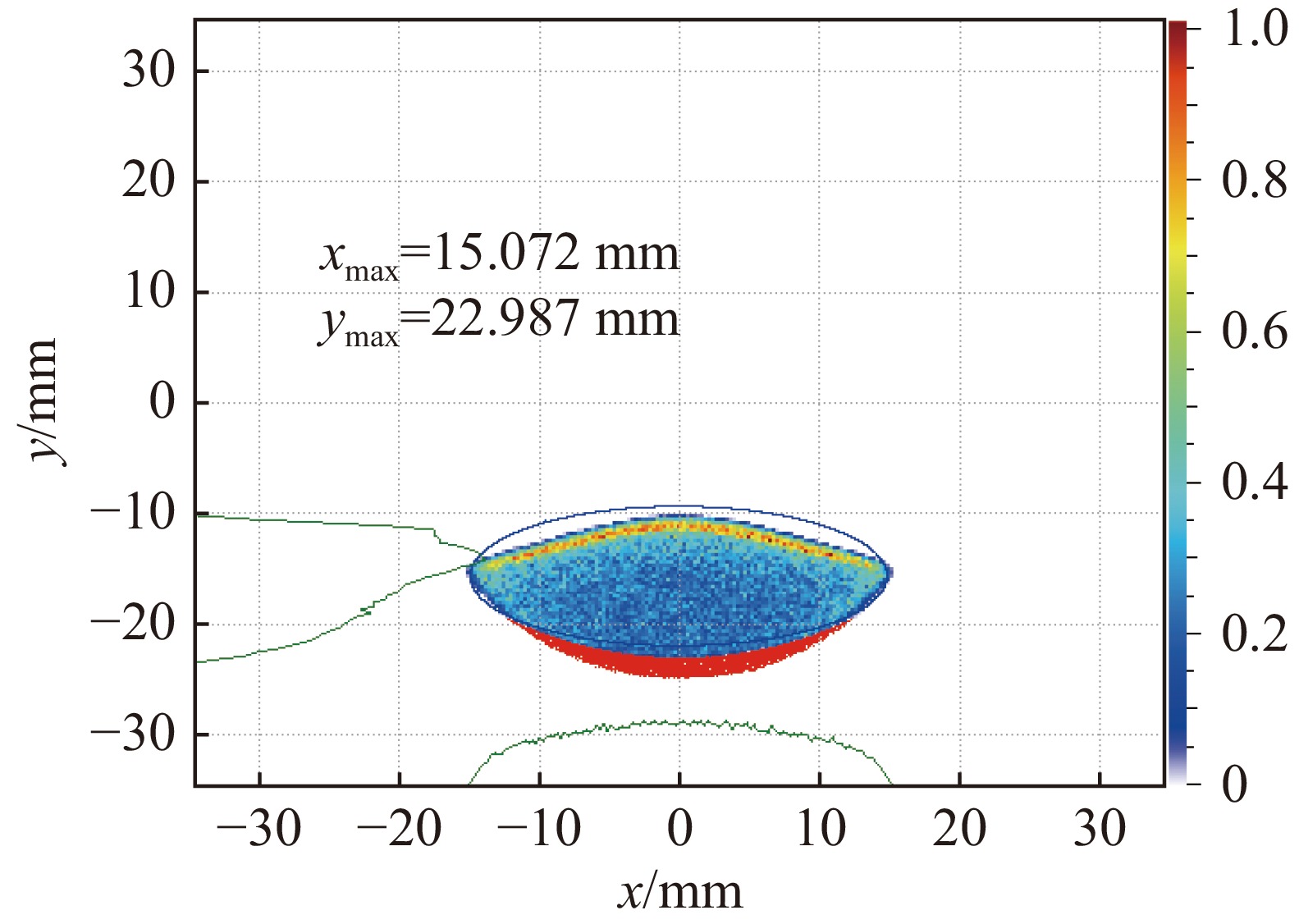
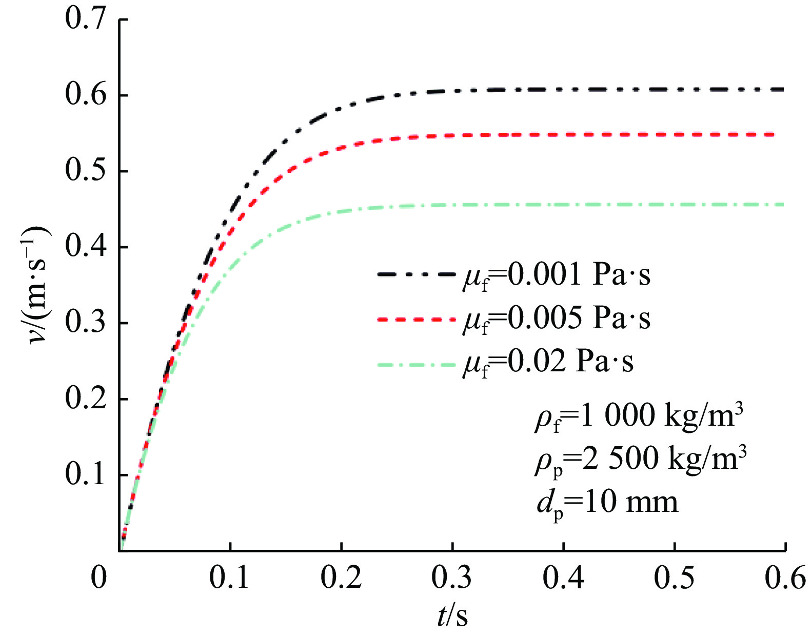
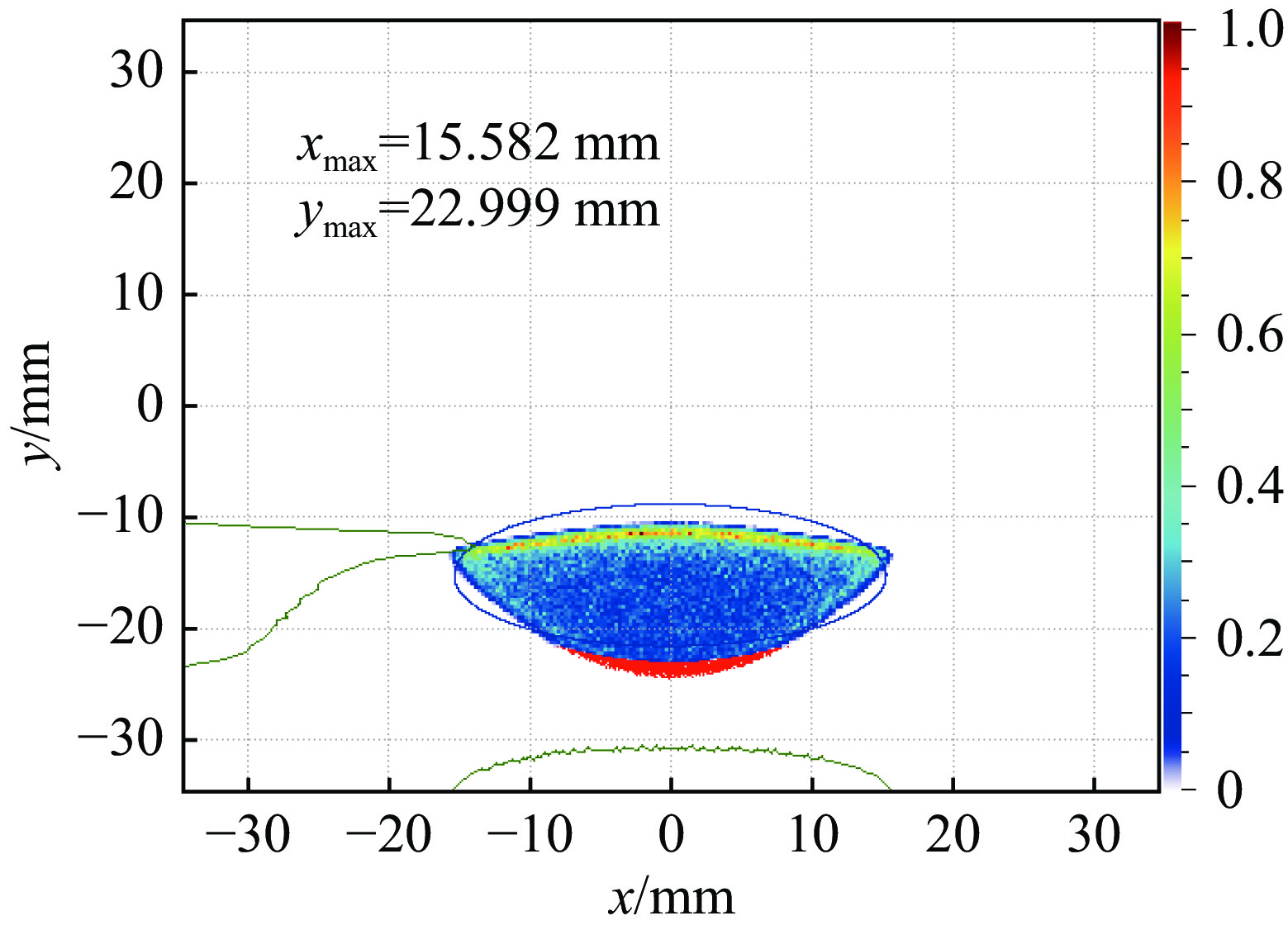
A Gaussian kernel-based semi-resolved function was introduced to smooth physical properties around particles and compute interphase forces via weighted averaging. The key parameter, the dimensionless diffusion time, was optimized through comparison with Voronoi cell analysis. The model was implemented in an open-source CFD-DEM framework and validated against both a single-particle settling case and a fluidized bed experiment.
Voronoi cell analysis determined the optimal diffusion time to be 0.6. Exceeding this value over-smoothens the spatial distribution and obscures local bed features. The single particle settling case demonstrated excellent agreement with experimental terminal velocities under various viscosities. The fluidized bed simulation successfully captured porosity distribution and the relationship between fluid velocity and particle density, consistent with experimental data. Application to HTR-10 pebble bed thermal-hydraulics showed temperature distributions aligning well with the SA-VSOP benchmark.
The proposed semi-resolved function model effectively overcomes the grid size limitation of traditional CFD-DEM, accurately capturing interphase forces in sub-particle-scale grids. It provides a high-precision and computationally viable scheme for detailed thermal-fluid analysis in advanced pebble-bed reactors.
2026,
38: 026002.
doi: 10.11884/HPLPB202638.250239
Abstract:
Background Purpose Methods Results Conclusions
Portable alpha-associated deuterium-tritium (DT) neutron generators have extensive application potential in fields such as nuclear physics experiments, homeland security, and nuclear safeguards and assay.
This study aims to evaluate the correlated neutron distribution characteristics of a domestically developed compact portable alpha-associated DT neutron generator, providing critical technical support for its design validation, manufacturing quality control, and engineering applications.
A specialized measurement system was established, comprising of a liquid scintillator detector, a high precision displacement mechanics, and a coincidence measurement digitizer. This system was used to quantify the spatial extent of the correlated neutron emission region and the corresponding solid angle coefficients.
Experimental measurements on two neutron generators revealed a measurable difference in their correlated neutron distribution areas, with an approximate 15% variation in the effective correlation region.
This study provides essential technical support for both the design validation and quality control testing in the manufacturing of this type of compact portable neutron generator. It also offers valuable reference data for engineering applications by end-users.
2026,
38: 029001.
doi: 10.11884/HPLPB202638.250250
Abstract:
Backgrounds Purpose Methods Results Conclusions
In complex electromagnetic environments, due to the multipath propagation of signals and the impact of co-channel interference, direction-finding systems often receive coherent signals. The mutual coupling between antenna elements or gains inconsistency will cause the superimposed noise of each channel to become spatial colored noise. Due to the low signal-to-noise ratio (SNR) of signals or short transmission time, it is difficult to obtain sufficient high-quality signal samples. When using array direction finding systems for DOA estimation, it is difficult to achieve accurate DOA estimation under conditions of small samples, overlapping colored noise, and coherent incident signals.
This study aims to address how to solve the array direction-finding problems caused by radiation source coherence, aliased colored noise and small samples, which has become a research hotspot and challenge in the array signal processing field.
From the requirement of DOA estimation of narrowband signals, a DOA estimation method is proposed for small samples, overlapping colored noise, and coherent incident signals by using covariance matrix shrinkage estimation to improve the covariance estimation effect under small sample conditions, then using the covariance difference method to process the shrunk covariance matrix to suppress colored noise and signal coherence, and finally applying the MUSIC algorithm for DOA estimation.
Simulation experiments verify the effectiveness of the proposed method, providing an effective solution for solving DOA estimation problems in complex environments.
The proposed method offers an effective approach to array direction-finding in complex environments.
2026,
38: 021004.
doi: 10.11884/HPLPB202638.250070
Abstract:
Background Purpose Methods Results Conclusions
Optical manipulation based on integer-order vortex beams is widely used in nanotechnology, yet their discrete nature restricts continuous and precise transverse control of nanoparticles.
This study aims to overcome this limitation by proposing a novel approach using fractional-order vortex beams (FVBs), with the goal of achieving continuous and precise transverse optical trapping and manipulation of nanoparticles.
We developed a vector diffraction model to characterize the focal field of FVBs, revealing it as a coherent superposition of integer-order modes with a highly asymmetric weight distribution. Additionally, an optical force model was established to analyze the trapping behavior of spherical nanoparticles. Theoretical calculations and Langevin dynamics simulations were employed to evaluate the three-dimensional trapping stability and multi-degree-of-freedom manipulation capability.
The transverse trapping position exhibits a linear dependence on the fractional topological charge. By continuously tuning the topological charge, nanoparticles can be displaced precisely and continuously in the transverse plane with sub-wavelength accuracy—a capability not achievable with conventional integer-order vortex beams. Simulations further confirm the stability of the three-dimensional trap and the feasibility of coordinated multi-degree-of-freedom manipulation.
This work demonstrates that fractional-order vortex beams offer a superior alternative for high-precision optical manipulation. They provide a powerful and novel technique for applications in microfluidics, nanofabrication, and lab-on-a-chip devices.
2026,
38: 022001.
doi: 10.11884/HPLPB202638.250325
Abstract:
Background Purpose Methods Results Conclusions
The dual-axis VISAR diagnostic technology can simultaneously diagnose the shock wave velocity history in different regions of the target and perform in-situ characterization of the temporal asymmetry during the implosion shock wave loading process. It is an important diagnostic technology in inertial confinement fusion (ICF) experimental research.
The integrated implosion experiments of the Shenguang Ten-Thousand-Joule Facility typically use target pellets with an inner diameter of approximately 850 micrometers (μm), and smaller target sizes pose greater challenges to the establishment of the dual-axis VISAR diagnostic technology. Focusing on the small-sized target used in small laser facilities, this paper conducts research on the dual-axis VISAR diagnostic technology.
We established an imaging simulation model. Based on this model, a detailed analysis of three typical influencing factors is conducted, which provides guidance for target design.
Relying on the cavity target structure of small-sized target, the shock wave velocity histories in the equatorial and polar regions are obtained through diagnostics. The comparison of shock wave loading symmetry under different driving conditions is completed.
Based on this study, the technical challenges of dual-axis VISAR diagnostics have been addressed through simulation and optimization design. The experiments validated in-situ characterization techniques for shock-wave loading symmetry, establishing a diagnostic foundation for subsequent optimization of cavity structures and drive waveforms.
2026,
38: 023006.
doi: 10.11884/HPLPB202638.250123
Abstract:
Background Purpose Methods Results Conclusions
Owing to its unique miniaturized structure, real-time frequency tuning capability, and broad-spectrum microwave output characteristics, the gyromagnetic nonlinear transmission line (GNLTL) exhibits considerable application potential in the development of small-scale solid-state high-power microwave sources. This has driven the need for in-depth exploration of its circuit characteristics and parameter influences to optimize its performance.
This study aims to derive the analytical expression of solitons in the GNLTL equivalent circuit, construct a reliable equivalent circuit model of GNLTL, and systematically clarify the influence mechanism of key circuit parameters on its output characteristics.
Firstly, the analytical expression of solitons in the GNLTL equivalent circuit was obtained through theoretical deduction. Secondly, an equivalent circuit model of GNLTL was established using circuit simulation methods. Finally, the influence mechanism of key circuit parameters on the output characteristics of GNLTL was systematically investigated based on the constructed model.
The results show that the saturation current and initial inductance of the nonlinear inductor have a decisive effect on the nonlinear characteristics of the circuit: when these two parameters are small, the leading edge of the output pulse is not fully steepened and is accompanied by oscillating waveforms; increasing them improves the steepening degree of the pulse leading edge, indicating a positive correlation between these two parameters and circuit nonlinearity. Additionally, enhanced nonlinearity of the equivalent circuit leads to a decrease in output frequency; saturation current, saturation inductance, initial inductance, and capacitance per stage all show a negative correlation with the output microwave frequency.
The findings of this study clarify the relationship between key circuit parameters and the nonlinear characteristics as well as output frequency of GNLTL, thereby providing theoretical and simulation references for the design and performance analysis of gyromagnetic nonlinear transmission lines.
2026,
38: 024004.
doi: 10.11884/HPLPB202638.250318
Abstract:
Background Purpose Methods Results Conclusions
The C-band photocathode electron gun is a key front-end device of the accelerator for the Southern Light Source Free-Electron Laser, whose resonant frequency stability is crucial for beam quality and long-term operation. During high-power microwave excitation, electromagnetic power loss on the inner surfaces of the resonant cavity produces non-uniform thermal loading, leading to structural deformation and subsequent resonant frequency drift, which cannot be accurately characterized by traditional single-physical-field analyses.
To clarify the intrinsic mechanism of this phenomenon, a comprehensive electromagnetic–thermal–structural multi-physical field coupling model is developed based on the COMSOL Multiphysics® simulation platform.
First, high-frequency electromagnetic simulations are carried out to obtain the designed resonant frequency of the vacuum cavity at 5.712 GHz and to calculate the surface electromagnetic loss power density. Based on these results, an equivalent boundary heat source model is established. Combined with the external mechanical structure and cooling pipline model of the electron gun, the non-uniform temperature distribution of the cavity under realistic cooling conditions is obtained by employing a fluid–solid coupling method. Subsequently, the solid mechanics interface is used to compute the thermally induced deformation of the cavity geometry, and the deformed structure is introduced into a secondary high-frequency simulation to evaluate the resulting resonant frequency drift.
The results reveal a clear transmission path from microwave power loading to temperature rise, structural deformation, and frequency shift, quantitatively demonstrating the strong coupling among electromagnetic, thermal, and mechanical fields.
This study realizes a complete multi-physical field coupling analysis of the C-band photocathode electron gun and provides an effective numerical framework for predicting resonant frequency drift, offering important guidance for the thermal–mechanical coupling design and frequency stability optimization of high-precision microwave cavities.
2026,
38: 024005.
doi: 10.11884/HPLPB202638.250112
Abstract:
Background Purpose Methods Results Conclusions
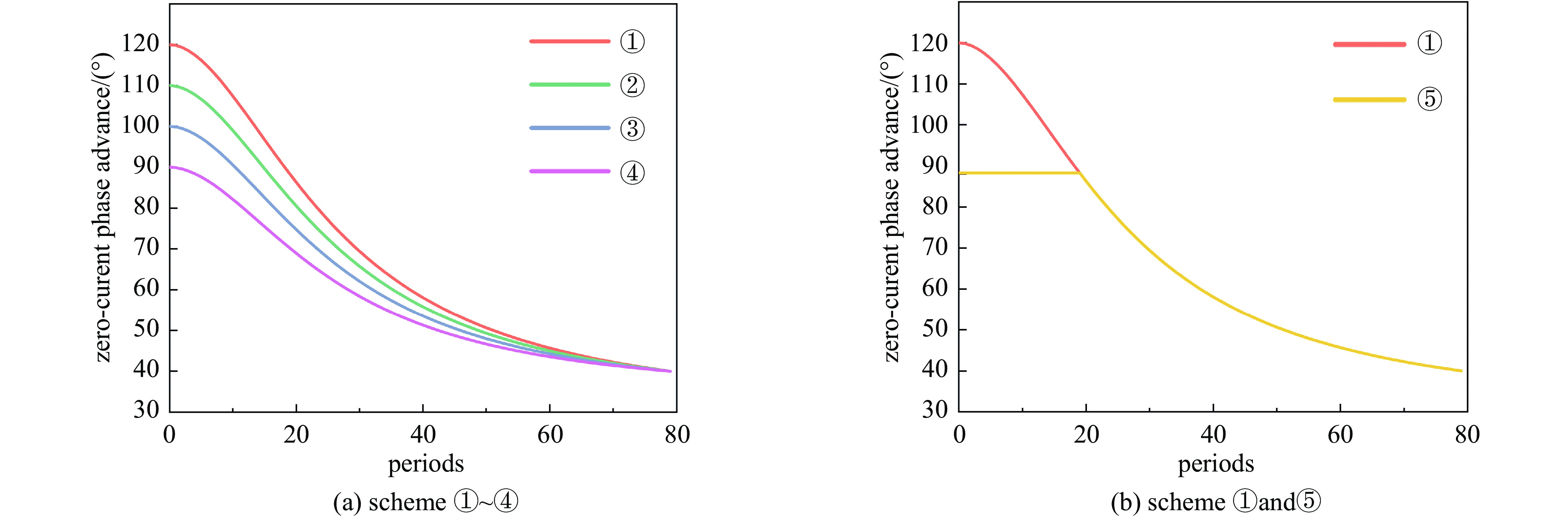
Envelope instabilities and halo formation are critical challenges limiting beam quality in space-charge-dominated beams of low-energy superconducting proton linear accelerators. The dynamic evolution of focusing parameters during acceleration and the intrinsic role of double-period focusing structures in the low-energy region in these phenomena remain insufficiently explored.
This study aims to systematically investigate the influence of dynamically evolving focusing parameters on envelope instabilities, reveal the relationship between double-period focusing structures and halo formation, and achieve localized breakthroughs of the zero-current phase advance σ0 beyond 90° while optimizing beam quality.
A theoretical model was established via the second-order even-mode expansion of the Vlasov–Poisson equations. Multiple evolution schemes were designed, and multi-particle simulations were performed on low-energy proton beams (normalized RMS emittance: 0.2–0.4 π·mm·mrad). The particle–core model was used to compare halo formation mechanisms between quasi-periodic and double-period structures, with two-dimensional and three-dimensional models verifying key findings.
For weak space-charge effects (high η), σ0 can exceed 90° without degrading beam quality; strong space-charge effects (low η) induce resonances and emittance growth, especially in doublet structures. Double-period structures cause envelope instability even with σ0 < 90° per cell, being more prone to halo formation via the 2∶1 resonance. Longitudinal beam size variations alter core charge density (a new halo mechanism), and higher-order resonances contribute significantly. The number of short-period cells (N) correlates inversely with resonance probability.
Dynamic focusing parameters and double-period structures strongly affect envelope instabilities and halo formation. The 2∶1 resonance and longitudinal-transverse coupling are key halo mechanisms. σ0 breakthrough beyond 90° is feasible under weak space-charge conditions, and increasing N reduces resonance risk. These findings provide theoretical and numerical support for beam quality optimization in low-energy superconducting proton linacs.

Email alert
RSS
