Current Issue
Display Method:
2026,
38: 1-2.
Status and recent progress of the XingGuang ultrashort and ultra-intense laser experimental platform
2026,
38: 031002.
doi: 10.11884/HPLPB202638.250390
Abstract:
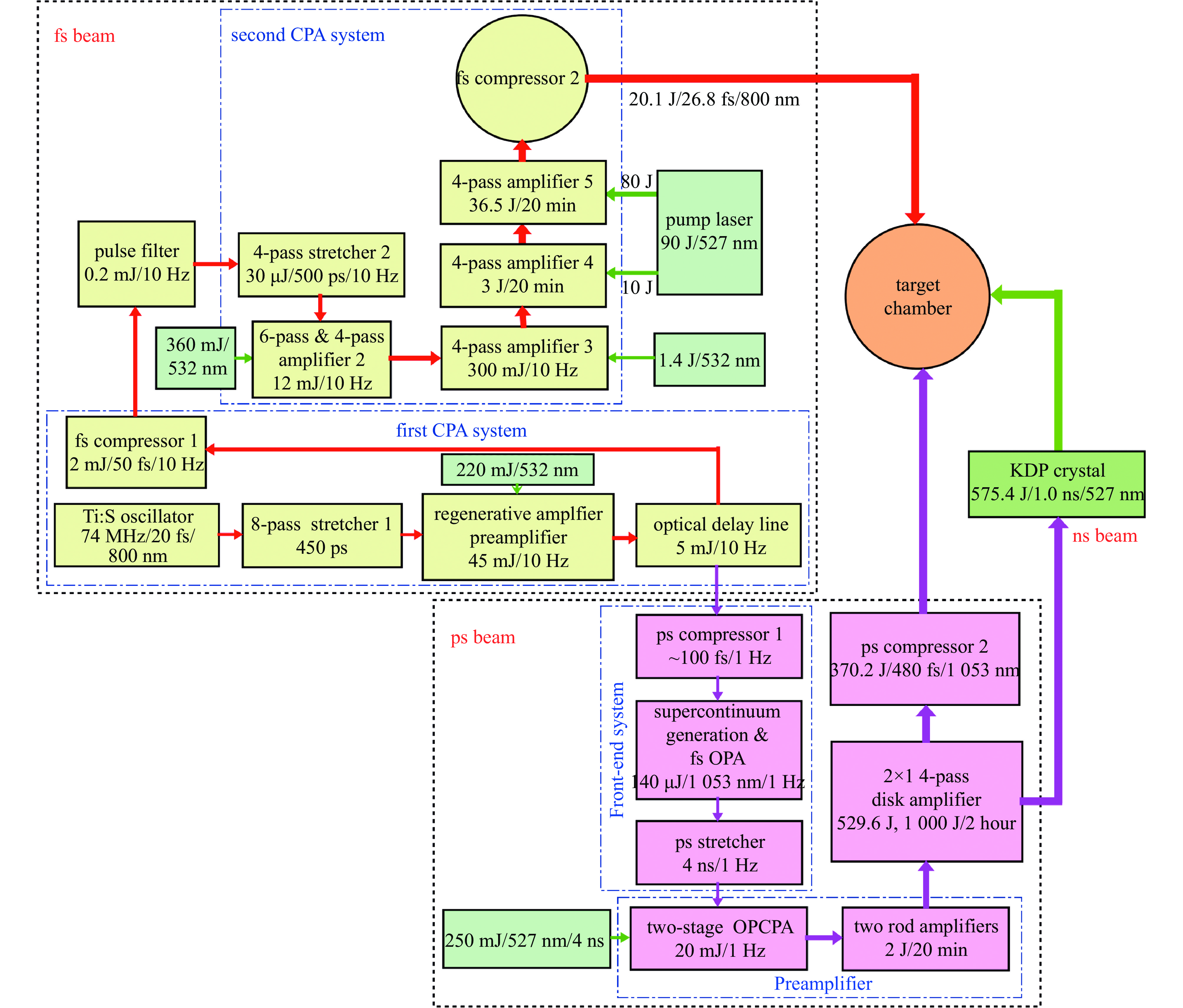
This review summarizes the evolution and present capabilities of the XingGuang ultrashort and ultra-intense laser platform at the National Key Laboratory of Plasma Physics (CAEP), which integrates the XingGuang-III (XG-III) multi-pulse facility and the all-OPCPA SILEX-II multi-petawatt system. Targeting inertial confinement fusion (ICF), high-energy-density physics (HEDP), and matter under extreme conditions, the platform enables both extreme-state creation and time-resolved pump–probe measurements. We outline the system architecture, key enabling technologies, and experimental capabilities. The XG-III facility adopts a common-seed, split-and-amplify design that delivers femtosecond/picosecond/nanosecond beams with sub-picosecond timing jitter less than 1.32 ps; typical operating parameters include about 20 J/26.8 fs, about 370 J/(0.48–10 ps) and about 575 J/1 ns, with on-target focal spots below 10 μm (fs) and 20 μm (ps). SILEX-II employs a full optical parametric chirped-pulse amplification (OPCPA) chain to achieve a peak of power about 5 PW after compression to about 18.6 fs while retaining more than 90 J, combining greater than 1010 temporal contrast (tens of ps before the main pulse) with near-diffraction-limited focusing (about 3.3×4.0 μm FWHM) enabled by adaptive optics and achromatic compensation, reaching intensities above 1020 W/cm2. In addition, we present representative multi-beam, coordinated experiments enabled by the platform, including three-dimensional proton imaging of temperature-gradient-driven Weibel magnetic fields and energy-loss measurements of intense ion beams in warm dense plasmas, highlighting its strong potential for frontier research.
This review summarizes the evolution and present capabilities of the XingGuang ultrashort and ultra-intense laser platform at the National Key Laboratory of Plasma Physics (CAEP), which integrates the XingGuang-III (XG-III) multi-pulse facility and the all-OPCPA SILEX-II multi-petawatt system. Targeting inertial confinement fusion (ICF), high-energy-density physics (HEDP), and matter under extreme conditions, the platform enables both extreme-state creation and time-resolved pump–probe measurements. We outline the system architecture, key enabling technologies, and experimental capabilities. The XG-III facility adopts a common-seed, split-and-amplify design that delivers femtosecond/picosecond/nanosecond beams with sub-picosecond timing jitter less than 1.32 ps; typical operating parameters include about 20 J/26.8 fs, about 370 J/(0.48–10 ps) and about 575 J/1 ns, with on-target focal spots below 10 μm (fs) and 20 μm (ps). SILEX-II employs a full optical parametric chirped-pulse amplification (OPCPA) chain to achieve a peak of power about 5 PW after compression to about 18.6 fs while retaining more than 90 J, combining greater than 1010 temporal contrast (tens of ps before the main pulse) with near-diffraction-limited focusing (about 3.3×4.0 μm FWHM) enabled by adaptive optics and achromatic compensation, reaching intensities above 1020 W/cm2. In addition, we present representative multi-beam, coordinated experiments enabled by the platform, including three-dimensional proton imaging of temperature-gradient-driven Weibel magnetic fields and energy-loss measurements of intense ion beams in warm dense plasmas, highlighting its strong potential for frontier research.
2026,
38: 031003.
doi: 10.11884/HPLPB202638.260005
Abstract:
The rapid development of ultra-short and ultra-intense laser technology has greatly advanced frontier research in physics under extreme strong-field conditions. This includes compact accelerators, high-brightness radiation sources, nonlinear strong-field quantum electrodynamics, as well as the production and detection of axion dark matter based on intense lasers. Over the past decade, Shanghai Jiao Tong University has carried out systematic theoretical, simulation and experimental research in this field, and has successively built a relativistic plasma research platform based on a single-beam hundred-terawatt-level laser and an extreme relativistic plasma research platform based on a dual-beam hundred-terawatt-level laser with high-precision spatiotemporal synchronization. In this paper, we present the layout, key parameters and characteristics of the newly commissioned dual-beam Chongming Laser-plasma Experimental Facility (CLEF), and highlight both completed and ongoing scientific activities, including the studies on laser-solid high-order harmonic generation, laser-plasma wakefield acceleration, nonlinear Compton scattering, and the production and detection of axion dark matter driven by intense lasers. The completion and operation of this facility will provide an essential supporting platform for experimental research in the field of extreme relativistic plasma physics.
The rapid development of ultra-short and ultra-intense laser technology has greatly advanced frontier research in physics under extreme strong-field conditions. This includes compact accelerators, high-brightness radiation sources, nonlinear strong-field quantum electrodynamics, as well as the production and detection of axion dark matter based on intense lasers. Over the past decade, Shanghai Jiao Tong University has carried out systematic theoretical, simulation and experimental research in this field, and has successively built a relativistic plasma research platform based on a single-beam hundred-terawatt-level laser and an extreme relativistic plasma research platform based on a dual-beam hundred-terawatt-level laser with high-precision spatiotemporal synchronization. In this paper, we present the layout, key parameters and characteristics of the newly commissioned dual-beam Chongming Laser-plasma Experimental Facility (CLEF), and highlight both completed and ongoing scientific activities, including the studies on laser-solid high-order harmonic generation, laser-plasma wakefield acceleration, nonlinear Compton scattering, and the production and detection of axion dark matter driven by intense lasers. The completion and operation of this facility will provide an essential supporting platform for experimental research in the field of extreme relativistic plasma physics.
2026,
38: 031004.
doi: 10.11884/HPLPB202638.250382
Abstract:
Background Purpose Methods Results Conclusions
Ultrashort and ultraintense laser-driven plasma X-ray sources offer femtosecond pulse durations, intrinsic spatiotemporal synchronization, compactness, and cost-effectiveness, serving as an important complement to traditional large-scale light sources and providing novel experimental tools for ultrafast dynamics research.
Built upon the Synthetic Extreme Condition User Facility (SECUF), the first open-access user experimental station in China based on high-power femtosecond lasers was established to deliver various types of ultrafast radiation sources, supporting studies on ultrafast material dynamics and frontier strong-field physics.
The station is equipped with a dual-beam titanium-sapphire laser system (3 TW/100 Hz and PW/1 shot/min) and multiple beamlines with multifunctional target chambers. Through interactions between the laser and solid targets, gas targets, or plasmas, various ultrafast light sources—such as Kα X-ray, Betatron radiation, and inverse Compton scattering—are generated. Platforms for strong-field terahertz pump–X-ray probe (TPXP) experiments and tabletop epithermal neutron resonance spectroscopy have also been developed.
A highly stable ultrafast X-ray diffraction and TPXP platform was successfully established, enabling direct observation of strong-field terahertz-induced phase transition in VO2. The world’s first tabletop high-resolution epithermal neutron resonance spectroscopy device was developed. On the PW beamline, hundred-millijoule-level intense terahertz radiation, efficient inverse Compton scattering, and high-charge electron beams were achieved.
Integrating high-performance lasers, diverse radiation sources, and advanced diagnostic platforms, this experimental station provides a flexible and efficient comprehensive facility for ultrafast science, promising to advance ultrafast dynamics research toward broader accessibility and more cutting-edge directions.
2026,
38: 031005.
doi: 10.11884/HPLPB202638.250407
Abstract:
High-intensity laser technology, based on chirped pulse amplification, produces extreme optical fields on ultrashort timescales, providing a powerful platform for studying strong-field quantum electrodynamics, laser-plasma interactions, and extreme nuclear environments. This review summarizes the major progress made by the Laser Nuclear Physics Research Team at the Department of Nuclear Physics, China Institute of Atomic Energy, in developing petawatt-class laser systems, theoretical modeling, diagnostic techniques, and applications in nuclear science and industry. The team successfully commissioned a 100 TW ultrafast ultra-intense laser facility in 2023, featuring advanced high-contrast pulse shaping through cross-polarized wave generation and spectral broadening techniques. Additional innovations include thermally optimized eye-safe micro-lasers with improved bonding structures. Theoretical efforts used particle-in-cell simulations to enhance ion acceleration via Coulomb explosion in multilayer targets, achieving high-quality quasi-monoenergetic proton beams under optimized dual-pulse configurations. A novel approach for generating bright circularly polarized γ-rays was proposed, exploiting vacuum dichroism-assisted vacuum birefringence effects. Diagnostic advancements involved refined Nomarski interferometry for precise gas-jet target profiling and fission-source-gated methods for accurate neutron detector calibration. Key applications encompass plasma-based measurements of astrophysical nuclear reaction factors, vortex γ-photon manipulation of nuclear multipole resonances, laser-driven flyer acceleration for high-pressure equation-of-state studies, and enhanced laser-induced breakdown spectroscopy for trace element monitoring in nuclear facilities. These achievements facilitate simulation of stellar nuclear synthesis, advanced radiation sources, materials testing under extreme conditions, and nuclear safety monitoring, laying the foundation for future compact, high-repetition-rate laser systems in energy security and frontier nuclear research.
High-intensity laser technology, based on chirped pulse amplification, produces extreme optical fields on ultrashort timescales, providing a powerful platform for studying strong-field quantum electrodynamics, laser-plasma interactions, and extreme nuclear environments. This review summarizes the major progress made by the Laser Nuclear Physics Research Team at the Department of Nuclear Physics, China Institute of Atomic Energy, in developing petawatt-class laser systems, theoretical modeling, diagnostic techniques, and applications in nuclear science and industry. The team successfully commissioned a 100 TW ultrafast ultra-intense laser facility in 2023, featuring advanced high-contrast pulse shaping through cross-polarized wave generation and spectral broadening techniques. Additional innovations include thermally optimized eye-safe micro-lasers with improved bonding structures. Theoretical efforts used particle-in-cell simulations to enhance ion acceleration via Coulomb explosion in multilayer targets, achieving high-quality quasi-monoenergetic proton beams under optimized dual-pulse configurations. A novel approach for generating bright circularly polarized γ-rays was proposed, exploiting vacuum dichroism-assisted vacuum birefringence effects. Diagnostic advancements involved refined Nomarski interferometry for precise gas-jet target profiling and fission-source-gated methods for accurate neutron detector calibration. Key applications encompass plasma-based measurements of astrophysical nuclear reaction factors, vortex γ-photon manipulation of nuclear multipole resonances, laser-driven flyer acceleration for high-pressure equation-of-state studies, and enhanced laser-induced breakdown spectroscopy for trace element monitoring in nuclear facilities. These achievements facilitate simulation of stellar nuclear synthesis, advanced radiation sources, materials testing under extreme conditions, and nuclear safety monitoring, laying the foundation for future compact, high-repetition-rate laser systems in energy security and frontier nuclear research.
2026,
38: 031006.
doi: 10.11884/HPLPB202638.250412
Abstract:
The emergence and rapid advancement of ultrafast and ultraintense lasers have created unprecedented extreme physical conditions and novel experimental methods, significantly deepening and expanding our understanding of the laws governing the objective world. These developments have greatly promoted innovation in basic and frontier interdisciplinary fields as well as strategic high technology areas. Particle acceleration using the interaction of ultrafast and ultraintense lasers with plasmas is regarded as a next-generation technology for accelerators and radiation sources. It offers the potential to shrink the footprint of conventional accelerator facilities by two orders of magnitude. This dramatic reduction in size greatly expands the applicability of accelerator and radiation source technologies in industry, national defense, medicine, and scientific research, enabling transformative possibilities such as precision nondestructive testing of critical components, ultralow dose and high precision tumor diagnostics, novel low damage radiotherapy methods, and tabletop ultrafast light sources. The ultrafast and ultraintense laser platform at Zhengzhou University introduced in this paper is precisely such a next-generation facility dedicated to advanced laser accelerator research and applications. In addition, this article provides a systematic review of the significant progress achieved by Zhengzhou University in recent years in strong-field physics and advanced accelerator science.
The emergence and rapid advancement of ultrafast and ultraintense lasers have created unprecedented extreme physical conditions and novel experimental methods, significantly deepening and expanding our understanding of the laws governing the objective world. These developments have greatly promoted innovation in basic and frontier interdisciplinary fields as well as strategic high technology areas. Particle acceleration using the interaction of ultrafast and ultraintense lasers with plasmas is regarded as a next-generation technology for accelerators and radiation sources. It offers the potential to shrink the footprint of conventional accelerator facilities by two orders of magnitude. This dramatic reduction in size greatly expands the applicability of accelerator and radiation source technologies in industry, national defense, medicine, and scientific research, enabling transformative possibilities such as precision nondestructive testing of critical components, ultralow dose and high precision tumor diagnostics, novel low damage radiotherapy methods, and tabletop ultrafast light sources. The ultrafast and ultraintense laser platform at Zhengzhou University introduced in this paper is precisely such a next-generation facility dedicated to advanced laser accelerator research and applications. In addition, this article provides a systematic review of the significant progress achieved by Zhengzhou University in recent years in strong-field physics and advanced accelerator science.
2026,
38: 031007.
doi: 10.11884/HPLPB202638.260024
Abstract:
Gamma rays, as electromagnetic waves with extremely high energy and exceptional penetrating power, play an irreplaceable role in numerous frontier fields including nuclear physics, astrophysics, high-energy physics, healthcare, and materials science. Advancements in ultra-intense, ultra-short laser technology have enabled breakthrough progress in laser-driven novel gamma-ray sources. Schemes based on laser-plasma interactions can generate high-brightness, collimated femtosecond-scale ultra-short pulse gamma rays, while also exhibiting significant advantages in compact device design. This paper systematically analyzes the physical mechanisms of laser-driven gamma radiation in the range of hundreds of keV to tens of MeV. It focuses on the characteristics of three primary generation mechanisms: inverse Compton scattering, bremsstrahlung, and betatron radiation. The paper reviews major research advances in China within this field and diagnostic techniques. Research indicates that by optimizing laser-matter interaction parameters, the brightness, pulse width, and energy spectrum characteristics of gamma rays can be effectively controlled.
Gamma rays, as electromagnetic waves with extremely high energy and exceptional penetrating power, play an irreplaceable role in numerous frontier fields including nuclear physics, astrophysics, high-energy physics, healthcare, and materials science. Advancements in ultra-intense, ultra-short laser technology have enabled breakthrough progress in laser-driven novel gamma-ray sources. Schemes based on laser-plasma interactions can generate high-brightness, collimated femtosecond-scale ultra-short pulse gamma rays, while also exhibiting significant advantages in compact device design. This paper systematically analyzes the physical mechanisms of laser-driven gamma radiation in the range of hundreds of keV to tens of MeV. It focuses on the characteristics of three primary generation mechanisms: inverse Compton scattering, bremsstrahlung, and betatron radiation. The paper reviews major research advances in China within this field and diagnostic techniques. Research indicates that by optimizing laser-matter interaction parameters, the brightness, pulse width, and energy spectrum characteristics of gamma rays can be effectively controlled.
2026,
38: 031008.
doi: 10.11884/HPLPB202638.250380
Abstract:
Inverse Compton scattering (ICS) is a fundamental physical process involving an energy exchange between photons and electrons. ICS light sources, generated by collision between relativistic electron beams and intense laser pulses, offer high-brightness, energy-tunable, and short-pulsed X-rays or gamma-rays, which are supporting diverse scientific research and applications worldwide today. This paper aims to review the current technological status and future development prospects of ICS light sources, which are categorized into three evolutionary phases. The first phase, incoherent Inverse Compton scattering (InICS), is a mature foundational technology for most existing ICS light sources and has been widely applied in various fields. The second phase, coherent inverse Compton scattering (CoICS), enhances radiation brightness and beam quality through coherent interactions between electron and photon beams, with key technical approaches including periodic photon structures and periodic electron structures. The third phase, stimulated inverse Compton scattering (StICS), achieves nonlinear enhancement of scattering intensity via stimulated emission amplification, analogous to free-electron lasers (FEL), and holds promise for ultra-high brightness radiation. In this paper, a systematic analysis of the principles, key steps, and technical challenges of each phase is provided. Furthermore, numerical simulations demonstrate that periodic electron structures induced by optical fields can achieve significant coherent enhancement, producing high-quality beams with smaller energy spread and angular divergence. It is envisioned that with advancements in high-intensity short-pulse laser technology, flying focus, and high-current short-pulse electron acceleration, CoICS and StICS are expected to develop rapidly, providing superior brightness and beam quality in the ultraviolet to soft X-ray bands, and opening new avenues for related scientific research and industrial applications.
Inverse Compton scattering (ICS) is a fundamental physical process involving an energy exchange between photons and electrons. ICS light sources, generated by collision between relativistic electron beams and intense laser pulses, offer high-brightness, energy-tunable, and short-pulsed X-rays or gamma-rays, which are supporting diverse scientific research and applications worldwide today. This paper aims to review the current technological status and future development prospects of ICS light sources, which are categorized into three evolutionary phases. The first phase, incoherent Inverse Compton scattering (InICS), is a mature foundational technology for most existing ICS light sources and has been widely applied in various fields. The second phase, coherent inverse Compton scattering (CoICS), enhances radiation brightness and beam quality through coherent interactions between electron and photon beams, with key technical approaches including periodic photon structures and periodic electron structures. The third phase, stimulated inverse Compton scattering (StICS), achieves nonlinear enhancement of scattering intensity via stimulated emission amplification, analogous to free-electron lasers (FEL), and holds promise for ultra-high brightness radiation. In this paper, a systematic analysis of the principles, key steps, and technical challenges of each phase is provided. Furthermore, numerical simulations demonstrate that periodic electron structures induced by optical fields can achieve significant coherent enhancement, producing high-quality beams with smaller energy spread and angular divergence. It is envisioned that with advancements in high-intensity short-pulse laser technology, flying focus, and high-current short-pulse electron acceleration, CoICS and StICS are expected to develop rapidly, providing superior brightness and beam quality in the ultraviolet to soft X-ray bands, and opening new avenues for related scientific research and industrial applications.
2026,
38: 031009.
doi: 10.11884/HPLPB202638.250384
Abstract:
The rapid advancement of ultra-short and ultra-intense laser technology has established laser-plasma acceleration as a premier approach for generating GeV-level electron beams and high-quality radiation sources. Among these, Betatron radiation—emitted as electrons oscillate transversely in plasma channels—has emerged as a unique source characterized by its femtosecond pulse duration, micron-scale source size, and high peak brightness. It holds significant potential in high-energy-density physics, materials science, and ultrafast imaging. This review systematically outlines the physical principles and reviews the latest research progress of Betatron radiation generated via two core mechanisms: laser wakefield acceleration (LWFA) and direct laser acceleration (DLA). A detailed comparison reveals that while the LWFA scheme excels in producing highly collimated, high-energy photons with superior brilliance, the DLA mechanism within near-critical-density plasmas offers a different trade-off. Although DLA generates a significantly larger number of electrons and a higher photon flux, these are characterized by lower photon energies and a wider angular spread. Consequently, the divergence of the emitted X rays typically reaches hundreds of milliradians, which limits the overall brilliance. The review concludes that the future of Betatron radiation lies in enhancing repetition rates and achieving active control over radiation parameters. Developing hybrid schemes and structured targets offer potential to overcome the trade-off between high flux and high brilliance, guiding future experiments at large-scale facilities.
The rapid advancement of ultra-short and ultra-intense laser technology has established laser-plasma acceleration as a premier approach for generating GeV-level electron beams and high-quality radiation sources. Among these, Betatron radiation—emitted as electrons oscillate transversely in plasma channels—has emerged as a unique source characterized by its femtosecond pulse duration, micron-scale source size, and high peak brightness. It holds significant potential in high-energy-density physics, materials science, and ultrafast imaging. This review systematically outlines the physical principles and reviews the latest research progress of Betatron radiation generated via two core mechanisms: laser wakefield acceleration (LWFA) and direct laser acceleration (DLA). A detailed comparison reveals that while the LWFA scheme excels in producing highly collimated, high-energy photons with superior brilliance, the DLA mechanism within near-critical-density plasmas offers a different trade-off. Although DLA generates a significantly larger number of electrons and a higher photon flux, these are characterized by lower photon energies and a wider angular spread. Consequently, the divergence of the emitted X rays typically reaches hundreds of milliradians, which limits the overall brilliance. The review concludes that the future of Betatron radiation lies in enhancing repetition rates and achieving active control over radiation parameters. Developing hybrid schemes and structured targets offer potential to overcome the trade-off between high flux and high brilliance, guiding future experiments at large-scale facilities.
2026,
38: 031010.
doi: 10.11884/HPLPB202638.250371
Abstract:
High harmonic generation (HHG) and attosecond pulses driven by relativistically intense lasers interacting with solid-density plasma mirrors constitute a vital pathway for realizing high-brightness, short-wavelength, ultrafast coherent light sources and exploring extreme strong-field physics. In recent years, benefiting from the rapid development of laser technology, the precise control over light field degrees of freedom, such as amplitude, phase, and polarization, has spurred the emergence of structured light fields. Structured light fields significantly enrich the methods for controlling laser-matter interaction and broaden its scope of applications. This article aims to review the latest progress in controlling relativistic laser-plasma HHG and attosecond pulses using structured light fields. The work specifically discusses methods for characteristic control and the physical mechanisms of HHG driven by novel structured light fields, including polarization structures (e.g., circularly polarized light, vector beams), phase structures (e.g., spatial vortex beams, spatiotemporal vortex beams), and amplitude structures (e.g., Bessel beams, Airy beams), with the goal of providing new perspectives for research on novel light sources based on strong-field laser-plasma interactions.
High harmonic generation (HHG) and attosecond pulses driven by relativistically intense lasers interacting with solid-density plasma mirrors constitute a vital pathway for realizing high-brightness, short-wavelength, ultrafast coherent light sources and exploring extreme strong-field physics. In recent years, benefiting from the rapid development of laser technology, the precise control over light field degrees of freedom, such as amplitude, phase, and polarization, has spurred the emergence of structured light fields. Structured light fields significantly enrich the methods for controlling laser-matter interaction and broaden its scope of applications. This article aims to review the latest progress in controlling relativistic laser-plasma HHG and attosecond pulses using structured light fields. The work specifically discusses methods for characteristic control and the physical mechanisms of HHG driven by novel structured light fields, including polarization structures (e.g., circularly polarized light, vector beams), phase structures (e.g., spatial vortex beams, spatiotemporal vortex beams), and amplitude structures (e.g., Bessel beams, Airy beams), with the goal of providing new perspectives for research on novel light sources based on strong-field laser-plasma interactions.
2026,
38: 031011.
doi: 10.11884/HPLPB202638.250468
Abstract:
Ultra-short and ultra-intense mid-infrared laser pulses hold unique application in fields such as strong-field physics, ultrafast chemistry, environmental monitoring, and biomedicine biomedical applications. Particularly in strong-field physics research, ultra-short and ultra-intense mid-infrared pulses provide a new wavelength scale distinct from the conventional near-infrared range, enabling the exploration of novel physics in the interaction between ultra-intense lasers and matter. However, due to the damage thresholds of traditional laser crystals and nonlinear crystals, the generation of high-energy, single-cycle mid-infrared light sources has long been a significant challenge in ultrafast laser technology. In recent years, utilizing plasma as a nonlinear optical medium, the generation of ultra-short and ultra-intense mid-infrared pulses through photon deceleration process based on laser wakes has emerged as a new research direction in laser-plasma physics. This paper systematically reviews the fundamental principles, numerical simulations, experimental progress, and future application prospects surrounding this physical mechanism of plasma photon deceleration.
Ultra-short and ultra-intense mid-infrared laser pulses hold unique application in fields such as strong-field physics, ultrafast chemistry, environmental monitoring, and biomedicine biomedical applications. Particularly in strong-field physics research, ultra-short and ultra-intense mid-infrared pulses provide a new wavelength scale distinct from the conventional near-infrared range, enabling the exploration of novel physics in the interaction between ultra-intense lasers and matter. However, due to the damage thresholds of traditional laser crystals and nonlinear crystals, the generation of high-energy, single-cycle mid-infrared light sources has long been a significant challenge in ultrafast laser technology. In recent years, utilizing plasma as a nonlinear optical medium, the generation of ultra-short and ultra-intense mid-infrared pulses through photon deceleration process based on laser wakes has emerged as a new research direction in laser-plasma physics. This paper systematically reviews the fundamental principles, numerical simulations, experimental progress, and future application prospects surrounding this physical mechanism of plasma photon deceleration.
2026,
38: 031012.
doi: 10.11884/HPLPB202638.250387
Abstract:
Ultrafast intense laser pulse possesses the characteristics of ultrafast time domain and high peak power. With the rapid development of laser technology, its pulse repetition rate has been gradually increased as well. This kind of repetitive high-power femtosecond laser provides the human beings the unprecedented extreme physical conditions in ultrafast time and ultrahigh intensity field, providing new opportunities, means and directions for driving frontier basic science and cross-application research, such as the generation of novel ultrafast particle beam and intense pulse radiation source. In this paper, we will mainly introduce the newly-built experimental platform developed by the ultrafast light physics team of Shanghai Normal University based on the repetitive high-power femtosecond laser system. The recent research progress on the generation of gas high-order harmonics, intense terahertz radiation sources, high-brightness ultrafast electron beam and their relevant practical applications are all included, along with the resume of the main progress and future prospect in these frontier physics.
Ultrafast intense laser pulse possesses the characteristics of ultrafast time domain and high peak power. With the rapid development of laser technology, its pulse repetition rate has been gradually increased as well. This kind of repetitive high-power femtosecond laser provides the human beings the unprecedented extreme physical conditions in ultrafast time and ultrahigh intensity field, providing new opportunities, means and directions for driving frontier basic science and cross-application research, such as the generation of novel ultrafast particle beam and intense pulse radiation source. In this paper, we will mainly introduce the newly-built experimental platform developed by the ultrafast light physics team of Shanghai Normal University based on the repetitive high-power femtosecond laser system. The recent research progress on the generation of gas high-order harmonics, intense terahertz radiation sources, high-brightness ultrafast electron beam and their relevant practical applications are all included, along with the resume of the main progress and future prospect in these frontier physics.
2026,
38: 031013.
doi: 10.11884/HPLPB202638.250352
Abstract:
Background Purpose Methods Results Conclusions
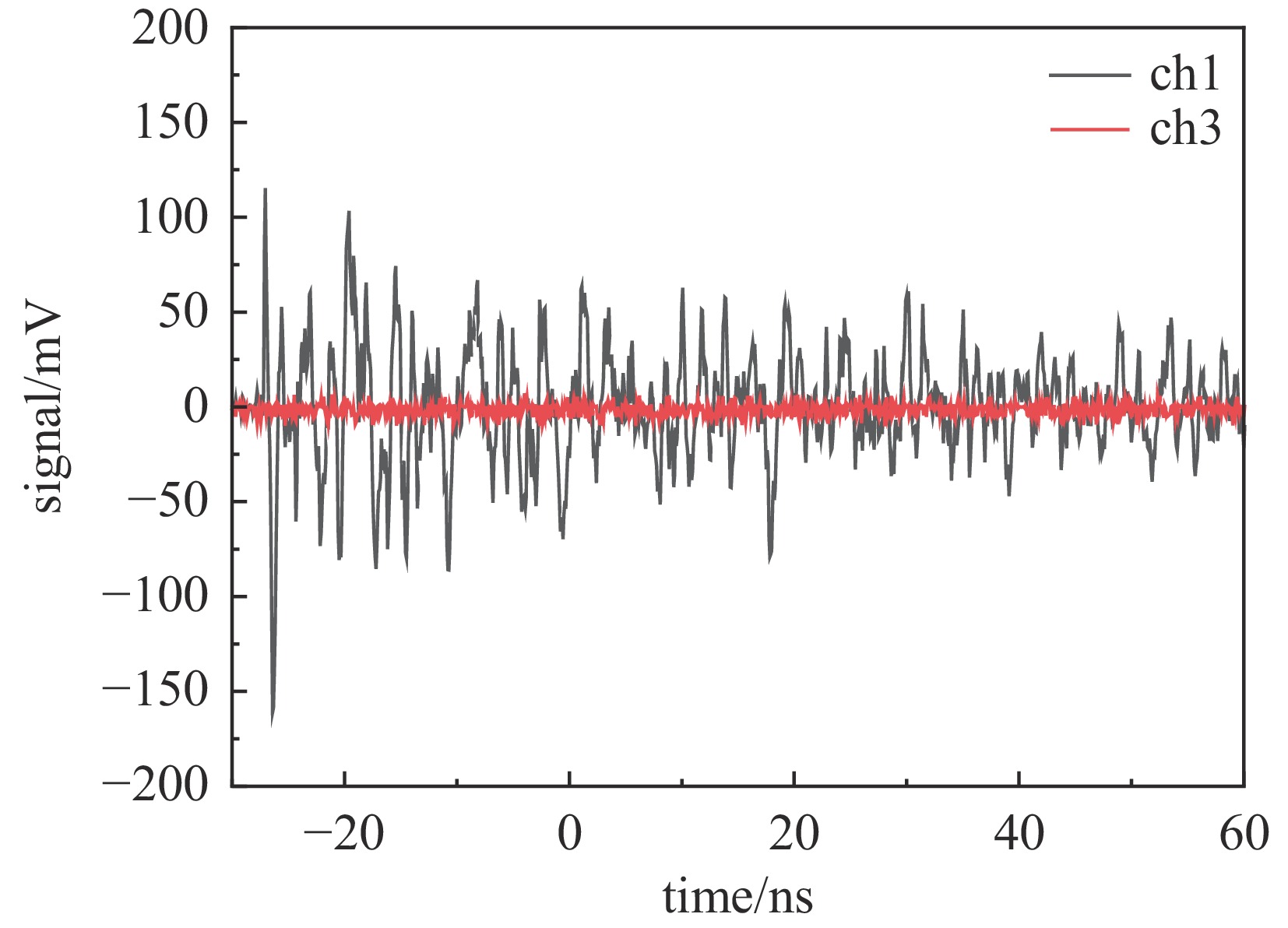
Electromagnetic pulses generated in high-power laser–solid interactions can cause serious electromagnetic interference and threaten diagnostic systems, making their mechanism study essential.
This work aims to investigate the characteristics and generation mechanisms of electromagnetic pulses induced by picosecond and nanosecond laser irradiation on solid targets.
Experiments were carried out on the Shenguang II upgrade laser facility. The temporal waveforms and frequency spectra of the emitted electromagnetic fields were measured under various pulse durations, laser energies, and irradiation geometries.
For picosecond laser irradiation, the electromagnetic pulses mainly originated from the neutralization current flowing through the target mount, and the peak electric field increased nearly linearly with laser energy. In the nanosecond experiments, the electromagnetic pulse intensity was lower, with the electric field oscillation decaying rapidly and a quasi-DC component observed. Using only the upper eight nanosecond beams produced stronger pulses than sixteen-beam irradiation, showing a modulation. In the combined picosecond and nanosecond laser experiment, the electromagnetic pulse peak generated by the picosecond laser was significantly reduced, which is attributed to the large-scale plasma formed by the nanosecond laser.
These findings clarify the generation behavior of electromagnetic pulses and provide references for mitigating electromagnetic interference in high-power laser experiments.
Study on manipulation mechanism of polarized positrons in nonlinear Breit-Wheeler scattering process
2026,
38: 031014.
doi: 10.11884/HPLPB202638.250410
Abstract:
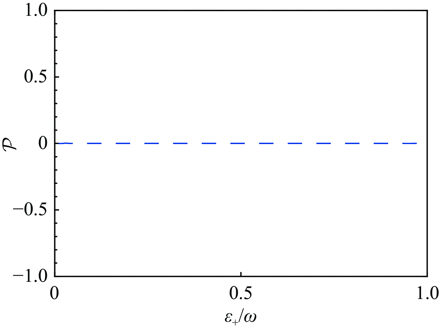
Background Purpose Methods Results Conclusions
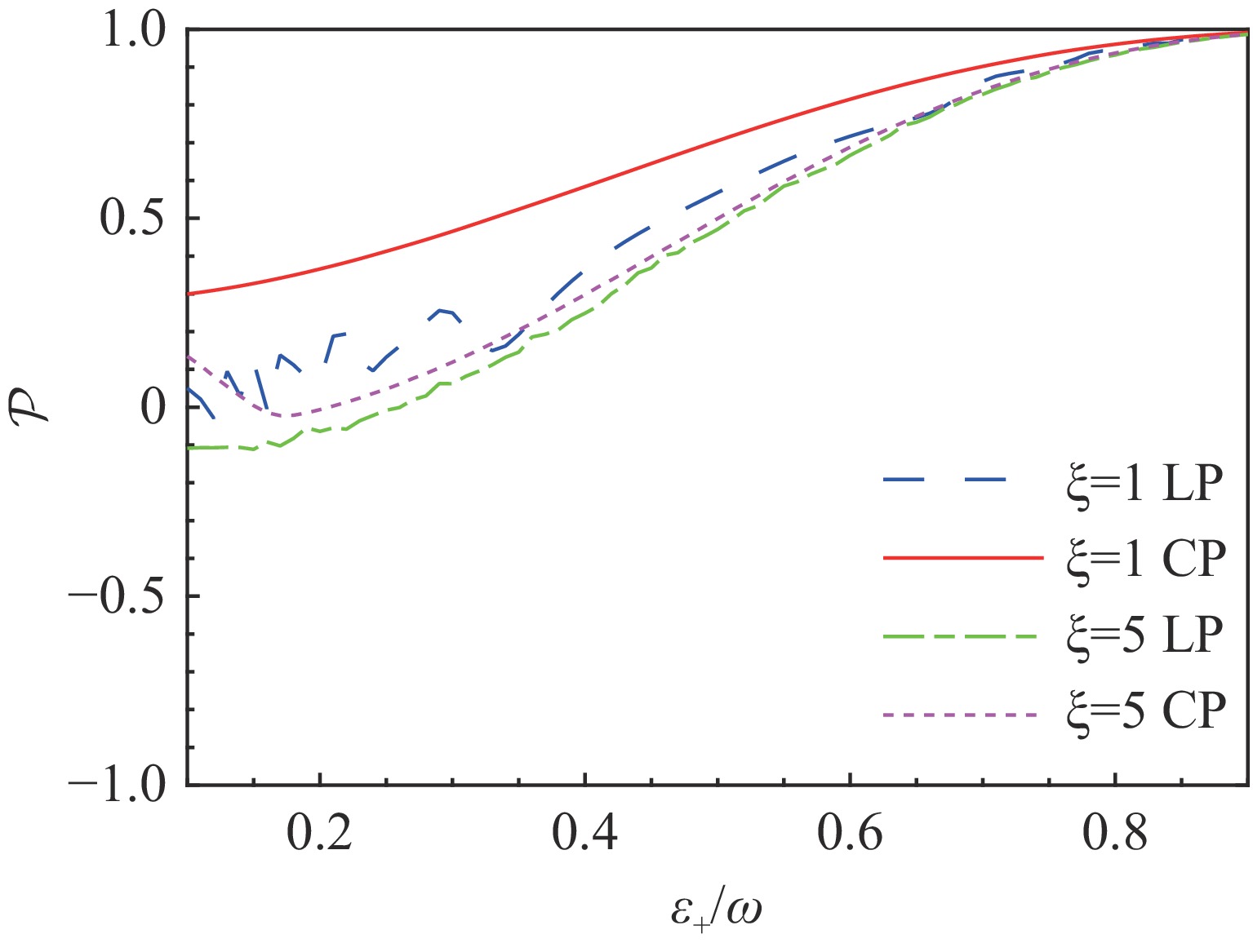
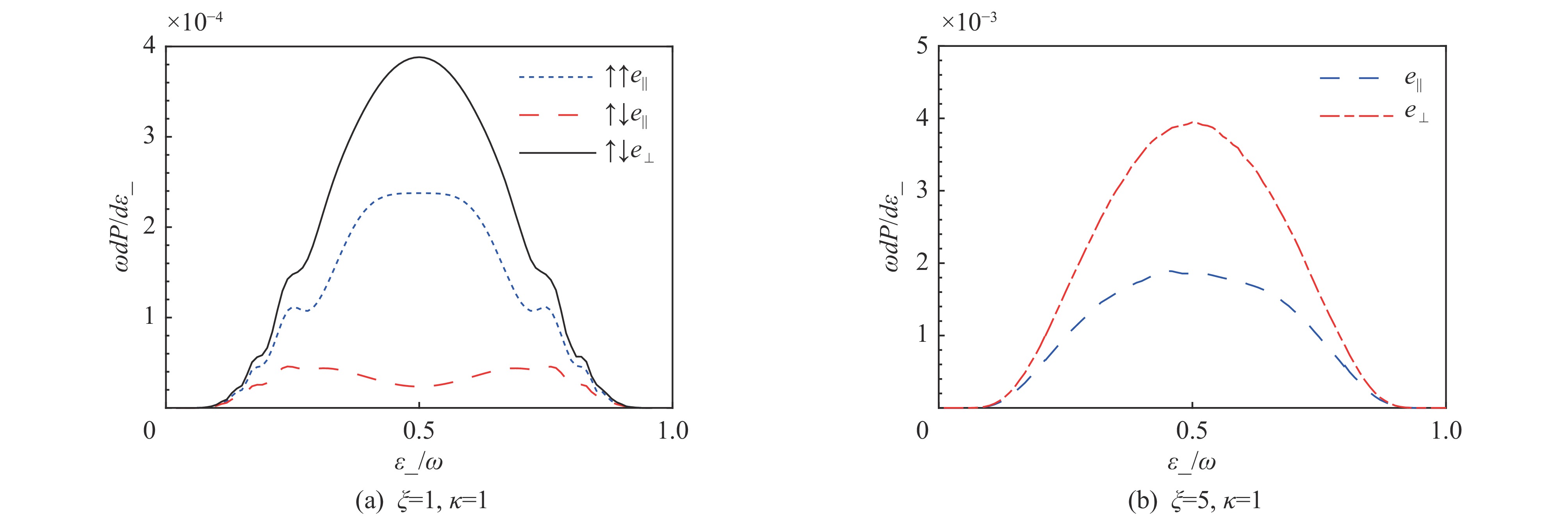
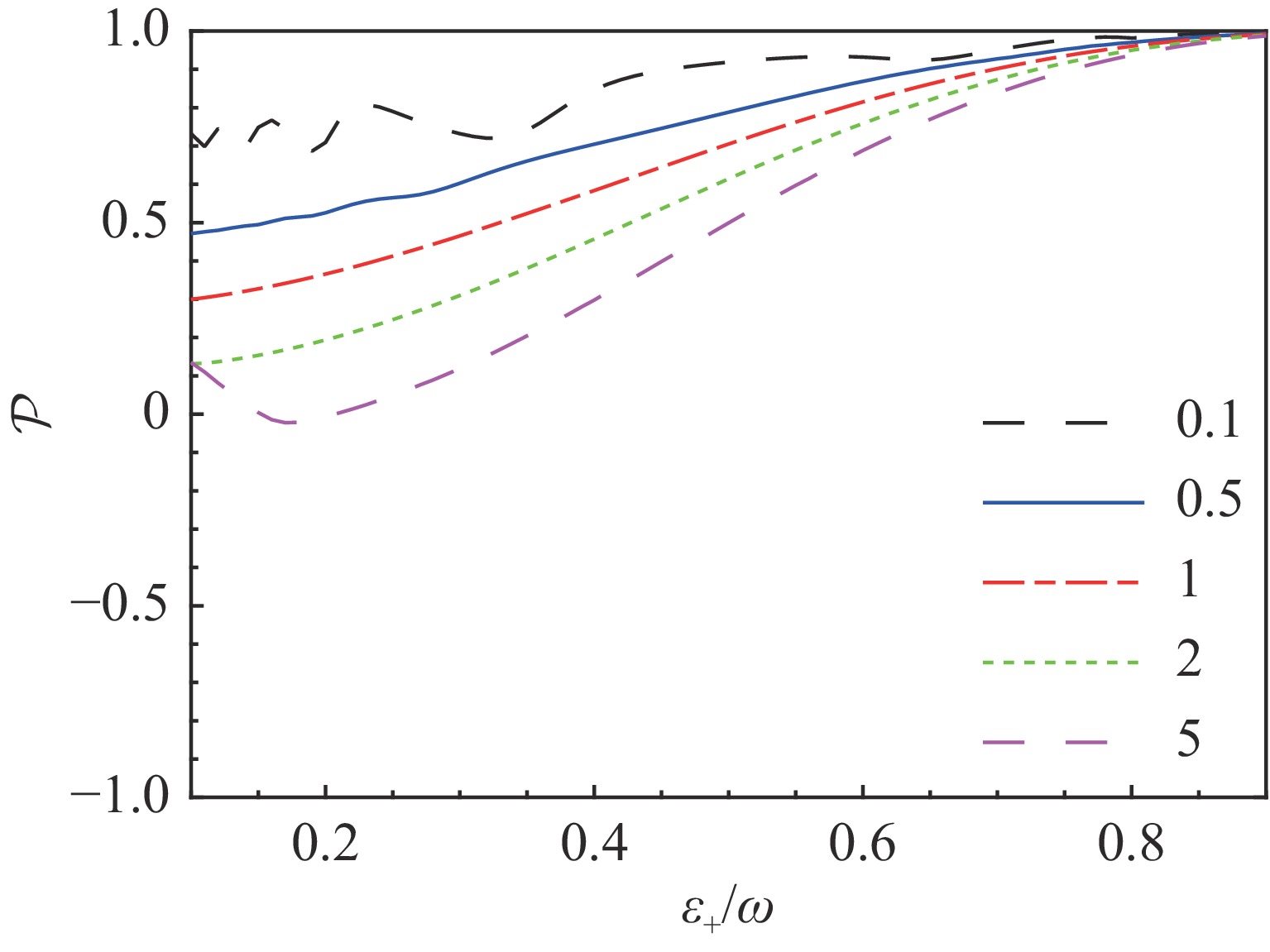
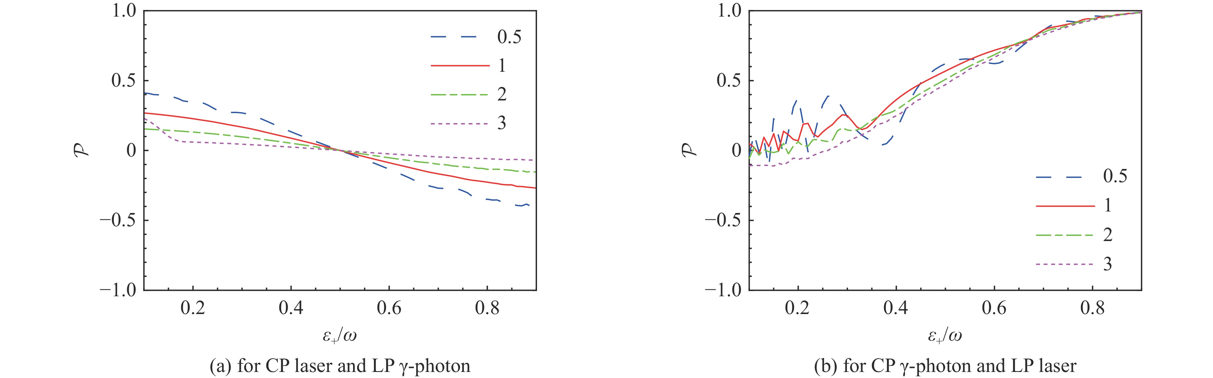
Polarized positron beams are vital probes in fundamental physics. Generating them via the nonlinear Breit-Wheeler process in laser fields is a promising new approach, but control over the positron polarization requires further understanding.
This study investigates how laser and γ-photon parameters control the final polarization of positrons in this process.
Within strong-field QED, we fully include all particle spins and the laser pulse’s finite envelope. Systematic calculations are performed for various laser intensities, γ-photon energies, and polarization configurations.
Key findings are: (1) No positron polarization arises with linearly polarized lasers and γ-photons. (2) When only one is circularly polarized, it dominates the positron polarization, which decreases with higher laser intensity or γ-photon energy. (3) When both are circularly polarized, γ-photons dominate high-energy positron polarization, while both sources co-determine low-energy positron polarization, with laser intensity playing a stronger regulatory role.
These results clarify the dominant factors for positron polarization, providing a key theoretical basis for designing optimized laser-driven polarized positron sources.
2026,
38: 031015.
doi: 10.11884/HPLPB202638.250101
Abstract:
Background Purpose Methods Results Conclusions
The intense electron beam-plasma system serves as an important platform for investigating beam-plasma interactions. Research in this field focuses on the design of electron beam window and the transport characteristics of electron beam in plasma.
The study aims to design and evaluate an electron beam window with excellent comprehensive performance, and to investigate the physical mechanisms underlying the focusing and transmission of intense annular electron beams in plasma.
Finite element analysis and Monte Carlo simulations were employed to compare and evaluate the mechanical, thermal, and transmission properties of candidate window materials. Theoretical analysis and particle-in-cell (PIC) simulations were used to study the self-focusing transmission behavior of intense annular electron beams in plasma.
The TC4 titanium alloy window with a thickness of only 0.04 mm was found sufficient to withstand a pressure differential of 10 kPa. It achieved an energy transmission efficiency exceeding 90% while maintaining controllable temperature variations. The physical mechanism of self-focusing transmission of intense annular electron beams in plasma under conditions of 500 kV and 20 kA was revealed, clarifying the relationship between the focusing transmission period of the electron beam and the plasma density. Furthermore, an equivalent relationship between plasma density and magnetic field was established based on the correspondence between the plasma oscillation period and the electron beam cyclotron period.
The research demonstrates that TC4 titanium alloy is a suitable material for the electron beam window, offering high transmission efficiency and structural stability. It also elucidates the self-focusing transmission mechanism of intense annular electron beams in plasma and establishes a periodic equivalent relationship between plasma and magnetic fields for electron beam transport.

Email alert
RSS
