Recommend Articles
Display Method:
2026,
38: 051001.
doi: 10.11884/HPLPB202638.260017
Abstract:
Background Purpose Methods Results Conclusions
Ytterbium-doped fiber lasers are important tools for green intelligent manufacturing and are the preferred light source for contemporary high-energy laser systems. Focusing on performance, platforms scenarios, “three high and three low” performance such as high brightness, high efficiency, high robustness, miniaturization, light-weight and low cost of the fiber laser system need to be comprehensively considered.
This study aims to propose two new metrics CSWpP (Cost-Size-Weight per unit Power) and CSWpB (cost-size-weight-brightness per unit Brightness), and elaborate on the relevant thoughts on reducing the metrics, witch is particularly important to effectively evaluate the performance of the fiber laser system and improve its performance.
Firstly, based on the composition of the fiber laser system, parameters for evaluating the performance of the fiber laser system are given, with a focus on defining and calculating the comprehensive evaluation parameters CSWpP and CSWpB. Secondly, according to the characteristics of industrial fiber laser systems, the efficiency, heat, volume, and weight parameters of the optical, electrical, and thermal modules of the fiber laser are analyzed, and it is pointed out that the thermal control module is crucial for the lightweight and compactness of the laser system. The volume, weight and power consumption of fiber laser systems of different power levels are evaluated. Thirdly, several possible misunderstandings in the design and cognition of current fiber laser systems are analyzed.
Finally, in order to reduce the CSWpP or CSWpB of fiber lasers for practical application scenarios, high-efficiency, low-heat production, wide-temperature range, strong heat resistance optical and overall design ideas are proposed, as well as a composite thermal management technology scheme of capacitance, conductivity, expansion, switching, storage and discharge, and a strong coupling integrated engineering design idea, in order to provide reference for the design of high-performance fiber lasers.
Therefore, more attention should be paid to and efforts should be made to reduce the CSWpP or CSWpB to achieve higher laser system performance.
2026,
38: 051003.
doi: 10.11884/HPLPB202638.250284
Abstract:
Machine learning (ML) has emerged as a transformative approach for advancing fiber laser technology, offering powerful solutions to overcome the limitations of traditional design, optimization, and control methods. This review systematically examines the integration of ML across the entire fiber laser ecosystem. It begins by categorizing fundamental ML paradigms, with a discussion of their respective applicability. The subsequent sections detail recent research progress in key areas including intelligent device design, which encompasses ML-assisted optimization of doped fibers, photonic crystal fibers, anti-resonant fibers, polarization-maintaining fibers, fiber gratings, and mode-selective couplers; laser simulation and prediction, focusing on models for power, temporal dynamics, and spectral evolution; intelligent control of laser output, covering adaptive mode-locking, coherent beam combining, and spatiotemporal pulse shaping; and laser characterization, highlighting ML-enhanced techniques for temporal pulse measurement, mode decomposition, and beam quality evaluation. The review further addresses prevailing challenges such as data dependency, model generalizability, interpretability, and computational efficiency, while outlining future directions toward developing more robust, efficient, and physically interpretable ML-driven fiber laser systems.
Machine learning (ML) has emerged as a transformative approach for advancing fiber laser technology, offering powerful solutions to overcome the limitations of traditional design, optimization, and control methods. This review systematically examines the integration of ML across the entire fiber laser ecosystem. It begins by categorizing fundamental ML paradigms, with a discussion of their respective applicability. The subsequent sections detail recent research progress in key areas including intelligent device design, which encompasses ML-assisted optimization of doped fibers, photonic crystal fibers, anti-resonant fibers, polarization-maintaining fibers, fiber gratings, and mode-selective couplers; laser simulation and prediction, focusing on models for power, temporal dynamics, and spectral evolution; intelligent control of laser output, covering adaptive mode-locking, coherent beam combining, and spatiotemporal pulse shaping; and laser characterization, highlighting ML-enhanced techniques for temporal pulse measurement, mode decomposition, and beam quality evaluation. The review further addresses prevailing challenges such as data dependency, model generalizability, interpretability, and computational efficiency, while outlining future directions toward developing more robust, efficient, and physically interpretable ML-driven fiber laser systems.
2026,
38: 051004.
doi: 10.11884/HPLPB202638.250289
Abstract:
Oscillating-amplifying integrated fiber lasers (OAIFLs) have emerged as a promising technology in high-power laser applications by combining the structural simplicity and superior anti-reflection capability of oscillators with the high efficiency of amplifiers. This review systematically summarizes recent progress from both theoretical and experimental perspectives. Theoretically, the focus is on advances in modeling mode instability and nonlinear effects, aiming to provide optimization guidelines for achieving high-power output. Experimentally, OAIFLs have successfully realized kilowatt-level narrow-linewidth and 10-kW-class broadband laser output in conventional wavelength bands. Beyond these bands, research primarily targets1050 nm and 1018 nm fiber lasers. Furthermore, innovative dual-end output designs address core high-power challenges through distributed power extraction, significantly enhancing system power scalability. These advancements will accelerate broader applications in industrial processing, biomedical fields, and national defense. Analysis of current trends highlights key evolutionary pathways: benefiting from the integrated structure’s unique advantages in nonlinear management and amplified spontaneous emission (ASE) suppression, operational wavelengths are expanding from the conventional 1050 –1080 nm range toward shorter specialty bands; driven by demands in coherent beam combining and high-precision spectroscopy for high-brightness sources, output spectra are shifting from broadband to narrow-linewidth emission; gain media are evolving from conventional homogeneous fibers to specially designed geometric structures to simultaneously mitigate nonlinear effects and transverse mode instability (TMI) under high-power conditions; to meet needs in precision machining, spectroscopic sensing, and scientific research for lasers with high peak power and tailored temporal profiles, operational modes are diversifying from continuous-wave to varied pulsed regimes; and output configurations are advancing from simple single-end to sophisticated dual-end designs, effectively addressing key challenges in high-power laser delivery. Nevertheless, persistent limitations include insufficient universality of theoretical models and a lack of systematic experimental validation. Future research should emphasize two complementary dimensions. Theoretically, efforts must deepen model construction and mechanistic analysis—including refining temporal modeling, investigating TMI origins and nonlinear coupling mechanisms, and elucidating the physics of pump-timing-independent operation. Experimentally, the focus should be on continuously optimizing output performance—enhancing power and efficiency, improving spectral characteristics and beam quality, and advancing toward pulsed and supercontinuum generation capabilities.
Oscillating-amplifying integrated fiber lasers (OAIFLs) have emerged as a promising technology in high-power laser applications by combining the structural simplicity and superior anti-reflection capability of oscillators with the high efficiency of amplifiers. This review systematically summarizes recent progress from both theoretical and experimental perspectives. Theoretically, the focus is on advances in modeling mode instability and nonlinear effects, aiming to provide optimization guidelines for achieving high-power output. Experimentally, OAIFLs have successfully realized kilowatt-level narrow-linewidth and 10-kW-class broadband laser output in conventional wavelength bands. Beyond these bands, research primarily targets
2026,
38: 051005.
doi: 10.11884/HPLPB202638.250314
Abstract:
Background Purpose Methods Results Conclusions
High-power fiber lasers have become core devices in key fields such as industrial precision processing, advanced national defense equipment, frontier scientific research, and high-end medical equipment. However, the traditional R&D mode of high-power fiber lasers relies heavily on physical experiments, which are costly and time-consuming. Simulation technology, as an effective auxiliary tool, can significantly reduce experimental costs, shorten the development cycle, and accurately optimize key performance parameters, thus playing an irreplaceable role in promoting the practical application and technological innovation of high-power fiber lasers.
This study aims to systematically sort out and summarize the research progress of typical high-power fiber laser simulation software, clarify the current research status of this field, and provide practical references for the R&D and application of related simulation software in the industry.
This paper focuses on investigating mainstream high-power fiber laser simulation software at home and abroad, conducts in-depth analysis and comparison of their core functional characteristics, technical advantages, and applicable scenarios, and combs the research ideas and technical routes of high-power fiber laser modeling and simulation.
The study summarizes the main research features of high-power fiber laser modeling and simulation, discusses the key technical points in the effective verification and reliable application of simulation software, and clearly sorts out the latest research progress of typical simulation software.
This paper prospects the future development directions of high-power fiber laser simulation software, including the integration of multi-physics field simulation, high-precision model construction, artificial intelligence-enabled fiber laser design, as well as standardized interfaces and an open-source ecosystem. This study provides valuable theoretical and practical references for the R&D and upgrading of simulation software in related industries.
2026,
38: 051008.
doi: 10.11884/HPLPB202638.250429
Abstract:
Background Purpose Methods Results Conclusions
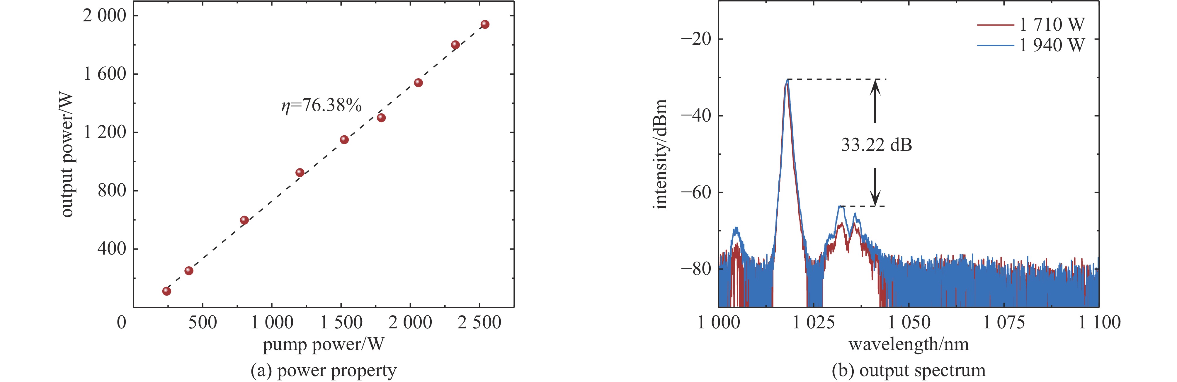
Tandem pumping scheme is commonly employed for high power fiber laser systems, where the 1 018 nm fiber laser serves as the most prevalent pump source. However, the output power of monolithic 1 018 nm fiber lasers is limited to 1 kW level due to the amplified spontaneous emission (ASE) effect. This limitation necessitates the use of a large number of these pump sources in tandem-pumped fiber laser systems, resulting in bulky and complex configurations.
This paper presents a modeling and optimization framework for scaling the power of 1 018 nm fiber lasers.
The framework, built upon the beam propagation method and broad-spectrum rate equations, targets the optimization of critical parameters to strategically balance laser efficiency against signal-to-ASE ratio.
Guided by the framework, a bidirectional pumping scheme was employed alongside an optimized fiber coil diameter, which effectively suppressed both ASE and the transverse mode instability. This approach enabled a monolithic output power of 1.94 kW at 1 018 nm, with an optical-to-optical efficiency of 76.38%, a signal-to-ASE ratio of 33.22 dB, and a beam quality factor M2 of 1.91.
By achieving a monolithic 2-kW 1 018 nm laser, this work improves the compactness and integration level of high-power fiber lasers with tandem pumping scheme, thus enabling future breakthroughs in the power and brightness scaling of tandem-pumped fiber lasers.
2026,
38: 051009.
doi: 10.11884/HPLPB202638.250251
Abstract:
Background Purpose Methods Results Conclusions
Fiber lasers have gained extensive adoption across medical, telecommunications, industrial processing, and defense sectors owing to their exceptional beam quality, operational stability, compact architecture, and high reliability. Among them, narrow-linewidth linearly polarized fiber lasers have become a key research focus due to their outstanding spectral purity and coherence, with current efforts concentrated on further scaling their output power and brightness.
In this work, we demonstrate a 5.09 kW narrow-linewidth linearly polarized fiber laser system designed to overcome stimulated Brillouin scattering (SBS) and transverse mode instability (TMI).
A white-noise radio frequency phase modulation scheme is implemented to broaden the seed laser spectrum into a Gaussian profile with an 89 GHz full width at half maximum, enabling effective SBS suppression. A polarization-maintaining ytterbium-doped fiber (PMYDF) with low numerical aperture (about 0.05), large mode area (about 237 μm2), and high birefringence coefficient (4.23×10−4) is employed to simultaneously mitigate SBS and intermodal thermal coupling.
The system achieves 5.09 kW output power while maintaining an 89 GHz spectral linewidth, polarization extinction ratio above 19.6 dB, and beam quality factor of M2 < 1.2. No self-pulsing or temporal instability is observed at maximum power, confirming suppression of both SBS and TMI.
By employing a white-noise radio frequency signal to modulate the phase of a single-frequency laser, the SBS effect in high-power fiber laser systems is effectively suppressed. Concurrently, intermodal thermal coupling and SBS are further mitigated using a fabricated low-numerical-aperture, large-mode-area PMYDF. The demonstrated performance supports the feasibility of high-power, narrow-linewidth polarized fiber lasers for long-term stable operation.
2026,
38: 051010.
doi: 10.11884/HPLPB202638.250376
Abstract:
Background Purpose Methods Results Conclusions
U-band fiber lasers are of significant value for applications in communications, sensing, and scientific research.
This paper employs a 1.55 μm fiber laser as the pump source and demonstrates a U-band 1.65 μm Raman fiber laser based on commercially available single-mode silica fiber. The effects of the Raman fiber length and the reflectivity of the output coupling fiber Bragg grating (OC-FBG) on the power conversion efficiency of the Raman laser were systematically investigated.
The optimal Raman fiber length was determined to be 2.1 km in experiment. Then, with the optimal Raman fiber length, experiments were conducted by varying the reflectivity of the OC-FBG to analyze its influence on the output power and spectral broadening of Stokes light. By combining the measured forward and backward Stokes powers with the collected forward and backward spectra, the optimal OC-FBG reflectivity under the current experimental conditions was determined.
The results indicated that as the Raman laser power increased, the broadening of the Stokes spectral linewidth reduced the effective reflectivity of the fiber Bragg grating, leading to backward power leakage, which became the main factor limiting the forward output power.
By selecting an OC-FBG with a low reflectivity of 15.7% and using a 2.1 km silica fiber as the Raman gain medium, a 1648.8 nm Raman laser output with a power of 10.1 W and a 3 dB bandwidth of 2.5 nm was achieved, corresponding to an optical-to-optical conversion efficiency of 65.2%.
2026,
38: 051011.
doi: 10.11884/HPLPB202638.250347
Abstract:
Background Purpose Methods Results Conclusions
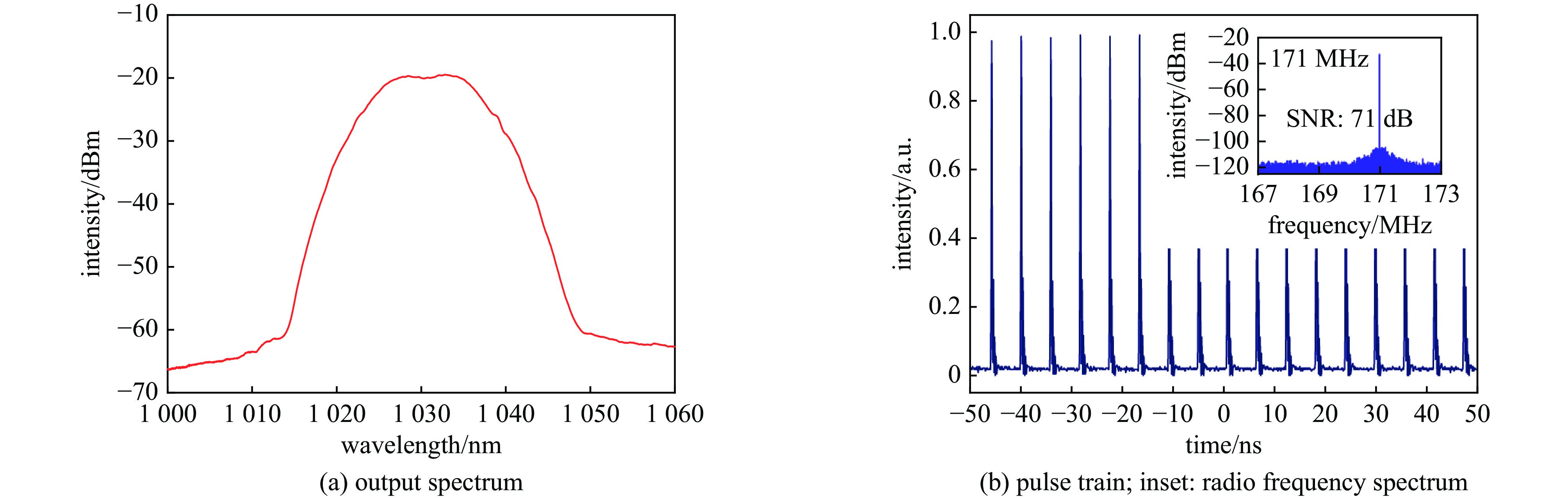
Gigahertz-repetition-rate femtosecond fiber lasers have attracted increasing attention for applications requiring high temporal resolution and high average power, while most existing GHz fiber amplification systems are limited to fixed repetition rates.
This work aims to realize tunable repetition-rate amplification of gigahertz femtosecond pulses within a single fiber-based platform by employing a passively harmonic mode-locked fiber laser as the seed source.
The seed laser provides stable pulse operation with repetition rates tunable from 1 to 3 GHz. A two-stage fiber amplification scheme combined with dispersion management is implemented to maintain stable amplification over the entire tuning range. In the pre-amplification stage, a controllable chirp is introduced to achieve near-linear temporal broadening, which effectively suppresses excessive nonlinear effects during power scaling. Pulse compression is subsequently implemented at the output using a single-mode fiber.
Experimental results show that stable pulse trains with regular temporal distribution are preserved throughout the tuning range. The maximum average output power reaches 2.1 W at a repetition rate of 3.1 GHz, while the shortest pulse duration of 195 fs is obtained at 2.0 GHz. After amplification, the side-mode suppression ratio remains higher than 33 dB.
These results indicate the feasibility of gigahertz tunable repetition-rate amplification of femtosecond fiber lasers on a single all-fiber platform.
2026,
38: 051012.
doi: 10.11884/HPLPB202638.250422
Abstract:
Background Purpose Methods Results Conclusions
The performance of high-power fiber amplifiers operating in radiation environments is severely degraded by the radiation-induced mode instability (R-TMI) effect. A deep understanding of its degradation and self-recovery mechanism is therefore crucial for practical applications.
This study aims to investigate the influence of γ-ray radiation on the mode instability threshold of a high-power fiber amplifier and to elucidate the underlying self-recovery mechanism of the R-TMI effect.
Experimental investigations were conducted on a fiber amplifier subjected to γ-ray radiation. The output power characteristics and the frequency-domain signals of the output laser were monitored and analyzed under varying pump current conditions to study the dynamics of the R-TMI effect.
The experimental results reveal that the onset of the R-TMI effect induces significant fluctuations in the output power. As the pump current is gradually increased, the output power consistently evolves through four distinct stages over time: rapid decline, slow decline, slow rise, and finally metastable state. At each specific pump current level, the power fluctuation range, defined as the difference between the maximum and minimum output power, remains stable within 29.7% to 39.1% of the pre-radiation output power. Furthermore, frequency-domain analysis of the output laser signal provided evidence supporting the existence of a self-recovery effect in R-TMI.
The study characterizes the variation of the TMI threshold and the subsequent power dynamics under radiation. The self-recovery behavior offers valuable theoretical and experimental references for the design and mitigation of R-TMI effects in high-power fiber lasers intended for use in radiation environments.
2026,
38: 051013.
doi: 10.11884/HPLPB202638.250430
Abstract:
Background Purpose Methods Results Conclusions
High-power femtosecond fiber lasers have extensive applications in advanced manufacturing, laser particle acceleration, high-order harmonic generation and so on. Coherent beam combining (CBC) of femtosecond fiber lasers serves as an effective technical approach to overcome the power limitations of single fibers and achieve high-power femtosecond laser output.
This work aims to develop a high-power femtosecond fiber laser CBC system to achieve kilowatt-level average power output with high stability.
The presented femtosecond fiber laser CBC system is based on a three-channel all-fiber chirped pulse amplifier. Phase adjustment and stable coherent combining of the three laser amplifiers are achieved using fiber stretchers in combination with the stochastic parallel gradient descent (SPGD) algorithm.
At a total output power of 1219.1 W, the system delivers a combined power of 1072 W, corresponding to a combining efficiency of 87%. The combined beam exhibits near-diffraction-limited beam quality (M2=1.23), and the compressed pulse width is 899 fs. Furthermore, the influence of beam quality degradation on the combining efficiency is theoretically analyzed. The results show that the combining efficiency would decrease as the beam quality degradation rate increased, and the combining efficiency is more sensitive to the degradation of multi-channel beam quality.
The demonstrated all-fiber coherent beam combining system exhibits excellent stability and high-power output. Further power scaling can be realized by increasing the number of combining channels, thereby providing crucial technical support for the advanced applications of high flux ultrafast and ultra-intense lasers.
2026,
38: 051014.
doi: 10.11884/HPLPB202638.250420
Abstract:
Background Purpose Methods Results Conclusions
High-power Yb-doped fiber lasers operating in the 1 μm band have been widely applied in fields such as laser processing, biomedicine, and national defense security. However, with the continuous increase in output power, traditional large-core fibers are susceptible to transverse mode instability (TMI) and stimulated Raman scattering (SRS), among other nonlinear effects. Based on their unique anti-resonant light-guiding mechanism, all-solid anti-resonant silica fibers (AS-ARFs) can realize ultra-large mode area (LMA) propagation while suppressing higher-order modes (HOMs), thus providing an innovative technical approach for balancing high power and high beam quality. Nevertheless, for active Yb-doped AS-ARFs targeting high-power gain applications, the influence mechanism of core refractive index fluctuations on mode characteristics and the fusion-splicing transmission characteristics of “step-index fiber - AS-ARF” structures have not been systematically investigated, which restricts their practical application process.
To address the above problems, this study aims to clarify the critical value of refractive index variation for maintaining the original light-guiding mechanism of AS-ARFs, verify their capabilities of low loss, large mode area and beam quality maintenance, explore the fusion-splicing coupling transmission laws between SIFs and AS-ARFs, quantify the core control parameters of active AS-ARFs, and provide theoretical support for their fabrication process optimization and coupling scheme design.
A six-ring AS-ARF theoretical model was constructed, combined with theoretical derivation and numerical simulation: Comsol Multiphysics was used to analyze the mode characteristics and the influence of refractive index fluctuations, and the Rsoft-BeamPROP module (based on the beam propagation method) was adopted to simulate the light transmission laws in the fusion-splicing coupling scenario.
The critical value of refractive index variation was clarified; the designed AS-ARFs were verified to have the characteristics of low loss, large mode area and excellent beam quality at the target wavelength; the fusion-splicing coupling transmission laws were revealed, and the transmitted energy attenuation was less than 2% when the incident beam diameter matched the core diameter of AS-ARFs.
This study realizes the quantification of core control parameters for active AS-ARFs, laying an important theoretical foundation for the fabrication process optimization of Yb3+-doped AS-ARFs (with a focus on refractive index uniformity control) and the design of practical coupling schemes.
2026,
38: 051015.
doi: 10.11884/HPLPB202638.250310
Abstract:
Background Purpose Methods Results Conclusions
Fiber lasers have been widely used in numerous fields such as industrial processing and scientific research detection, due to their significant advantages including high efficiency, low cost, and miniaturization. In the R&D (research and development) and mass production of fiber lasers, the synchronous testing of core performance indicators such as power, spectrum, time-domain characteristics, and beam quality is a key technical support. It enables comprehensive evaluation of the device’s overall performance, accurate localization of design defects, optimization of production process parameters, and guarantee of consistent product delivery. However, the traditional testing mode requires temporarily building a dedicated test system for each laser under test. It has problems such as long time consumption, cumbersome operation, and low testing efficiency, making it difficult to meet the needs of large-scale production and high-efficiency R&D.
To address the above issues, this paper proposes an integrated synchronous testing system for multi-parameter fiber lasers. The system aims to realize the synchronous acquisition and testing of multiple indicators, including power, spectrum, time-domain characteristics, and beam quality. It further improves the scientificity of the comprehensive performance evaluation of lasers, provides reliable technical support for production practice and scientific research in related fields, and achieves the core goals of improving testing efficiency and simplifying testing processes.
The system achieves the integrated integration of multi-module hardware testing equipment, as well as standardized interfaces and external connections, based on optical principle design and precision mechanical structure design. From the perspective of safe operation, an emergency shutdown device for abnormal working conditions is equipped to ensure the safety of the system and the laser under test during the testing process. The control software adopts LabVIEW multi-threading technology to realize the synchronous acquisition and real-time transmission of various parameters.
The system can adapt to the testing needs of fiber lasers with an output power range of 80 W to 10 kW. During testing, users only need to connect the fiber end cap of the laser under test to the system, and can start multi-parameter synchronous testing through the upper computer software without manual intervention in the optical adjustment link. After the test, the system can automatically complete the analysis and processing of raw data and generate a standardized test report. Verification experiments conducted with a 10 kW fiber laser as the test object show that the system has good operability, reliability, test repeatability, and technical feasibility.
The system significantly improves the efficiency of multi-parameter testing of fiber lasers and greatly reduces the complexity of data processing, providing an efficient and reliable solution for scientific research and industrial laser testing.
2026,
38: 051016.
doi: 10.11884/HPLPB202638.250419
Abstract:
Background Purpose Methods Results Conclusions
Yb(TMHD)3 (ytterbium tris (2,2,6,6-tetramethyl-3,5-heptanedionate)) is the irreplaceable vapor-phase dopant for fabricating high-gain Yb-doped silica laser fibers, and its exact Yb content dictates final fiber performance. The conventional oxalate gravimetric method requires 6 h per sample, incompatible with the real-time feedback demanded by modern preform manufacture.
In order to enhance the production efficiency,
we report a “nitric acid-hydrogen peroxide open-vessel digestion/EDTA complexometric titration” protocol. After 3 min oxidative decomposition of the organic matrix, the solution is buffered with hexamethylenetetramine (pH=5-6) and titrated with standard EDTA using xylenol orange (XO) as indicator.
The stoichiometric Yb3+ : EDTA ratio is 1∶1; the sharp colour change from rose-red to bright yellow with a relative standard deviation (RSD, n=11) of ≤ 0.5%. Mean recoveries for spiked Yb(TMHD)3 ranged 98.2%-100.2%. Results for ten commercial lots deviated <0.3% from the gravimetric reference, while the total analysis time was reduced from 6 h to 15 min.
The procedure is accurate, precise, inexpensive and field-robust, enabling on-site monitoring of Yb loading and immediate optimisation of preform deposition parameters.

Email alert
RSS
