2018 Vol. 30, No. 9
				Recommend Articles
			
			
                Display Method:
    			
	    		
	    		
	    		
	    		
  				
   			
    	
		            2018,
		            30: 091001.
		             
	            	doi: 10.11884/HPLPB201830.170515 
   					
				
		        Abstract: 
We used the rod-type photonic crystal fiber as a gain medium and designed an experimental system for picosecond pulse amplifier. Output power, slope efficiency and optical-to-optical conversion efficiency, beam quality, repetition rate, pulse width, spectrum of the rod-type photonic crystal fiber picosecond amplifier were analyzed. As a result, we got a maximum average power of 101.7 W, repetition rate of 30 MHz, pulse width of 6.4 ps, beam quality of Mx2=1.111, My2=1.017 near diffraction limit laser with slope efficiency of 65% and optical-to-optical conversion efficiency of 58.9%.
		       
		        
		        
		        
			  
			We used the rod-type photonic crystal fiber as a gain medium and designed an experimental system for picosecond pulse amplifier. Output power, slope efficiency and optical-to-optical conversion efficiency, beam quality, repetition rate, pulse width, spectrum of the rod-type photonic crystal fiber picosecond amplifier were analyzed. As a result, we got a maximum average power of 101.7 W, repetition rate of 30 MHz, pulse width of 6.4 ps, beam quality of Mx2=1.111, My2=1.017 near diffraction limit laser with slope efficiency of 65% and optical-to-optical conversion efficiency of 58.9%.
		            2018,
		            30: 091002.
		             
	            	doi: 10.11884/HPLPB201830.170481 
   					
				
		        Abstract: 
This paper introduces a new design method of wide range output voltage of semiconductor laser driver. According to the requirements of semiconductor laser driver, pulse discharge circuit is based on the multi-module cascade controlled linearly by a high IGBT. On this basis, it can achieve the pulse current smooth top and expand the output voltage range. The LCC resonant converter topology is used in the charging segment, and its capability of anti-load short circuit and open circuit are very applicable to pulse discharge. The pulse driver has a broad and flexible output voltage range which can adapt to semiconductor laser arrays of different size, and the pulse power output parameters are maximum output 1000 V/160 A, adjustable pulse width 200-250 μs and adjustable repetition frequency 100 Hz. Two modules and three modules low-power experiments were conducted to validate the proposed scheme, the experimental results demonstrate the feasibility of the method combining multi-module cascade and linear control pulse discharge
		       
		        
		        
		        
			  
			This paper introduces a new design method of wide range output voltage of semiconductor laser driver. According to the requirements of semiconductor laser driver, pulse discharge circuit is based on the multi-module cascade controlled linearly by a high IGBT. On this basis, it can achieve the pulse current smooth top and expand the output voltage range. The LCC resonant converter topology is used in the charging segment, and its capability of anti-load short circuit and open circuit are very applicable to pulse discharge. The pulse driver has a broad and flexible output voltage range which can adapt to semiconductor laser arrays of different size, and the pulse power output parameters are maximum output 1000 V/160 A, adjustable pulse width 200-250 μs and adjustable repetition frequency 100 Hz. Two modules and three modules low-power experiments were conducted to validate the proposed scheme, the experimental results demonstrate the feasibility of the method combining multi-module cascade and linear control pulse discharge
		            2018,
		            30: 092001.
		             
	            	doi: 10.11884/HPLPB201830.180067 
   					
				
		        Abstract: 
Nodular defects planarization was investigated to improve the laser-induced damage threshold (LIDT) of high-reflection coatings. The monodisperse SiO2 microspheres were deposited on the substrate surface by spin coating process. In the dual ion beam sputtering system, the artificial nodules were grown from these engineered seeds in 1064 nm HfO2/SiO2 multilayer coatings. After a series of coating and etching steps, the SiO2 microspheres were smoothed by a single SiO2 planarization layer. The relation between the thickness of the planarization layer and the size of the microspheres has been investigated. When the planarization layer (etching layer) thickness was slightly larger than the diameter of the seeds, the seeds could be completely planarized to obtain smooth thin films. Furthermore, the three-dimensional finite-difference time-domain code (FDTD) was used to simulate the electric-field intensity distributions in the artificial nodular defects. The comparison between the electric-field intensity distributions and the nodular morphologies of the non-planarized nodular defects and partially planarized nodular defects indicates that the nodular defects planarization has changed the geometry of nodular defects and effectively suppressed the electric field enhancement in nodular defects. Finally, nodular defects with different thickness planarization layers were tested by raster scan damage tests. For the nodular defects with an adequate planarization layer, the laser damage threshold test results show that the ejection fluences has been greatly raised, which has verified that nodular defect planarization could improve the damage resistance of thin films.
		       
		        
		        
		        
			  
			Nodular defects planarization was investigated to improve the laser-induced damage threshold (LIDT) of high-reflection coatings. The monodisperse SiO2 microspheres were deposited on the substrate surface by spin coating process. In the dual ion beam sputtering system, the artificial nodules were grown from these engineered seeds in 1064 nm HfO2/SiO2 multilayer coatings. After a series of coating and etching steps, the SiO2 microspheres were smoothed by a single SiO2 planarization layer. The relation between the thickness of the planarization layer and the size of the microspheres has been investigated. When the planarization layer (etching layer) thickness was slightly larger than the diameter of the seeds, the seeds could be completely planarized to obtain smooth thin films. Furthermore, the three-dimensional finite-difference time-domain code (FDTD) was used to simulate the electric-field intensity distributions in the artificial nodular defects. The comparison between the electric-field intensity distributions and the nodular morphologies of the non-planarized nodular defects and partially planarized nodular defects indicates that the nodular defects planarization has changed the geometry of nodular defects and effectively suppressed the electric field enhancement in nodular defects. Finally, nodular defects with different thickness planarization layers were tested by raster scan damage tests. For the nodular defects with an adequate planarization layer, the laser damage threshold test results show that the ejection fluences has been greatly raised, which has verified that nodular defect planarization could improve the damage resistance of thin films.
		            2018,
		            30: 092002.
		             
	            	doi: 10.11884/HPLPB201830.180099 
   					
				
		        Abstract: 
Vacuum laser acceleration (VLA) has the advantages of large gradient of acceleration field and large charge of collimated electrons. For certain topics, the production of electrons with initial velocity and the injection of these electrons in vacuum are main problems restricting the development of VLA. A new vacuum laser acceleration scheme is proposed in this paper, in which an ultra-short ultra-intense laser pulse is grazing incident into a cone target.Two-dimensional particle-in-cell simulation is used to confirm this acceleration scheme, which can produce collimated GeV-class electron beams in millimeters. The intense laser pulse is a linearly y-polarized laser with intensity of 1021 W/cm2. The effect of radius of the target is studied in this paper.
		       
		        
		        
		        
			  
			Vacuum laser acceleration (VLA) has the advantages of large gradient of acceleration field and large charge of collimated electrons. For certain topics, the production of electrons with initial velocity and the injection of these electrons in vacuum are main problems restricting the development of VLA. A new vacuum laser acceleration scheme is proposed in this paper, in which an ultra-short ultra-intense laser pulse is grazing incident into a cone target.Two-dimensional particle-in-cell simulation is used to confirm this acceleration scheme, which can produce collimated GeV-class electron beams in millimeters. The intense laser pulse is a linearly y-polarized laser with intensity of 1021 W/cm2. The effect of radius of the target is studied in this paper.
		            2018,
		            30: 093001.
		             
	            	doi: 10.11884/HPLPB201830.170501 
   					
				
		        Abstract: 
The principle of Rotman lens antenna is introduced, and the design equation of lens is given. In order to meet the needs of the antenna at high power levels, a flat type design is adopted to increase the power capacity. The high power capacity Rotman lens antenna works at 9.4 GHz, with nine input ports and another nine output ports. The simulation results show that the scanning angle of the antenna can reach ±22°, the gain is more than 16.5 dBi, the efficiency is about 60%, and the power capacity of antenna is 0.9 GW.
		       
		        
		        
		        
			  
			The principle of Rotman lens antenna is introduced, and the design equation of lens is given. In order to meet the needs of the antenna at high power levels, a flat type design is adopted to increase the power capacity. The high power capacity Rotman lens antenna works at 9.4 GHz, with nine input ports and another nine output ports. The simulation results show that the scanning angle of the antenna can reach ±22°, the gain is more than 16.5 dBi, the efficiency is about 60%, and the power capacity of antenna is 0.9 GW.
		            2018,
		            30: 093002.
		             
	            	doi: 10.11884/HPLPB201830.180018 
   					
				
		        Abstract: 
In a high power microwave system, the precise control of the microwave beam is achieved by controlling the position of the multichannel phase shifter. In the design of servo control system, in order to reduce the interference and damage of the strong electromagnetic field to the servo system, the control system conceptual design, phase shifter design, position sensor design, position loop design, circuit board design, chassis design, transmission cable and other aspects are strictly executed and handled. During the design process, field experiments were carried out for the verification and selection of the key components. Consequently, the high-power microwave system is stable and reliable, and the beam control achieves the expected precision (0.1 mm) in a test of continuous radiation on the target.
		       
		        
		        
		        
			  
			In a high power microwave system, the precise control of the microwave beam is achieved by controlling the position of the multichannel phase shifter. In the design of servo control system, in order to reduce the interference and damage of the strong electromagnetic field to the servo system, the control system conceptual design, phase shifter design, position sensor design, position loop design, circuit board design, chassis design, transmission cable and other aspects are strictly executed and handled. During the design process, field experiments were carried out for the verification and selection of the key components. Consequently, the high-power microwave system is stable and reliable, and the beam control achieves the expected precision (0.1 mm) in a test of continuous radiation on the target.
		            2018,
		            30: 093003.
		             
	            	doi: 10.11884/HPLPB201830.180043 
   					
				
		        Abstract: 
The dielectric cavity filter used for 4G base station usually adopts TE01δ mode dielectric resonators. Its quality factor Q value is very high, but its size is relatively large. In order to miniaturize the dielectric cavity filter, TM010 mode dielectric resonator is innovatively used. Although its Q value is relatively low, it can also meet the requirements of high band rejections. In this paper, the port coupling, magnetic coupling and electric coupling between two resonators are analyzed. Dielectric openings are innovatively used to create electric couplings, which are easy to machine and reduce manufacturing costs. Besides, an 8-pole quasi-elliptic function filter with two pairs of transmission zeros that can improve the close-to-band rejection slopes is designed and its passband is 2570 MHz to 2620 MHz, TD-LTE band. The debugging results show that the TM010 mode dielectric cavity filter can not only meet the requirements of low insertion loss and high band rejections, but also reduce its size greatly.
		       
		        
		        
		        
			  
			The dielectric cavity filter used for 4G base station usually adopts TE01δ mode dielectric resonators. Its quality factor Q value is very high, but its size is relatively large. In order to miniaturize the dielectric cavity filter, TM010 mode dielectric resonator is innovatively used. Although its Q value is relatively low, it can also meet the requirements of high band rejections. In this paper, the port coupling, magnetic coupling and electric coupling between two resonators are analyzed. Dielectric openings are innovatively used to create electric couplings, which are easy to machine and reduce manufacturing costs. Besides, an 8-pole quasi-elliptic function filter with two pairs of transmission zeros that can improve the close-to-band rejection slopes is designed and its passband is 2570 MHz to 2620 MHz, TD-LTE band. The debugging results show that the TM010 mode dielectric cavity filter can not only meet the requirements of low insertion loss and high band rejections, but also reduce its size greatly.
		            2018,
		            30: 093101.
		             
	            	doi: 10.11884/HPLPB201830.180104 
   					
				
		        Abstract: 
A 220 GHz unbalanced tripler based on Schottky varactors was designed. The Schottky varactors were measured to extract parameters for modeling Schottky diodes. A lump equivalent circuit model of Schottky diode was established for 220 GHz tripler circuits design. To reduce the signal transmission loss, a compact suspended microstrip resonator cell (CSMRC) filter structure was introduced to reduce low pass filter circuit length. Since it was difficult to achieve full-wave impedance matching in 220 GHz tripler circuit design, we adopted a method of adjusting impedance matching in overall circuit structure harmonic balance simulation to design a 220 GHz tripler circuit. Finally, the designed 220 GHz tripler was measured and discussed. The experiment shows the output power and efficiency between 213.1 GHz and 221.6 GHz are above 10 mW and 5%, respectively. The maximum output power is 18.7 mW at 218.6 GHz and the maximum efficiency is 8.24% at 217.9 GHz.
		       
		        
		        
		        
			  
			A 220 GHz unbalanced tripler based on Schottky varactors was designed. The Schottky varactors were measured to extract parameters for modeling Schottky diodes. A lump equivalent circuit model of Schottky diode was established for 220 GHz tripler circuits design. To reduce the signal transmission loss, a compact suspended microstrip resonator cell (CSMRC) filter structure was introduced to reduce low pass filter circuit length. Since it was difficult to achieve full-wave impedance matching in 220 GHz tripler circuit design, we adopted a method of adjusting impedance matching in overall circuit structure harmonic balance simulation to design a 220 GHz tripler circuit. Finally, the designed 220 GHz tripler was measured and discussed. The experiment shows the output power and efficiency between 213.1 GHz and 221.6 GHz are above 10 mW and 5%, respectively. The maximum output power is 18.7 mW at 218.6 GHz and the maximum efficiency is 8.24% at 217.9 GHz.
		            2018,
		            30: 093102.
		             
	            	doi: 10.11884/HPLPB201830.180003 
   					
				
		        Abstract: 
This paper proposes a new type of folded waveguide slow-wave structure with variable parameters, which can greatly increase the device's saturation gain. Combining small-signal theory analysis and three-dimensional PIC numerical simulation of beam-wave interaction process, the paper also proposes a theoretical design method for this variable-parameter slow-wave structure. A 0.345 THz two-stage folded waveguide slow-wave structure is designed and simulated, which proves that the two-stage slow-wave structure has higher electron conversion efficiency and saturation gain than the conventional uniform slow-wave structure under the same working conditions and can be widely applied to multi-stage structures.
		       
		        
		        
		        
			  
			This paper proposes a new type of folded waveguide slow-wave structure with variable parameters, which can greatly increase the device's saturation gain. Combining small-signal theory analysis and three-dimensional PIC numerical simulation of beam-wave interaction process, the paper also proposes a theoretical design method for this variable-parameter slow-wave structure. A 0.345 THz two-stage folded waveguide slow-wave structure is designed and simulated, which proves that the two-stage slow-wave structure has higher electron conversion efficiency and saturation gain than the conventional uniform slow-wave structure under the same working conditions and can be widely applied to multi-stage structures.
		            2018,
		            30: 093201.
		             
	            	doi: 10.11884/HPLPB201830.180078 
   					
				
		        Abstract: 
Since the signal transmission of the interconnected system is based on two lines, this paper takes the parallel two lines as the research object, which is relatively typical in the low frequency cable coupling channel. Experiments were carried out to study the electromagnetic radiation sensitivity of the equipment whose single end of the interconnected system is non-linear. The radiation and injection equivalence of typical interconnected systems and the extrapolation conditions under high field strength are discussed. The experimental verification of whether the selected nonlinear devices meet the experimental requirements is carried out. The experimental results of using bulk current injection as equivalent substitute for strong field continuous wave electromagnetic radiation are analyzed. And the effects of different polarization modes of the antenna and the presence or absence of the large current injection probe on the equivalence research of radiation and injection are also analyzed.
		       
		        
		        
		        
			  
			Since the signal transmission of the interconnected system is based on two lines, this paper takes the parallel two lines as the research object, which is relatively typical in the low frequency cable coupling channel. Experiments were carried out to study the electromagnetic radiation sensitivity of the equipment whose single end of the interconnected system is non-linear. The radiation and injection equivalence of typical interconnected systems and the extrapolation conditions under high field strength are discussed. The experimental verification of whether the selected nonlinear devices meet the experimental requirements is carried out. The experimental results of using bulk current injection as equivalent substitute for strong field continuous wave electromagnetic radiation are analyzed. And the effects of different polarization modes of the antenna and the presence or absence of the large current injection probe on the equivalence research of radiation and injection are also analyzed.
		            2018,
		            30: 093202.
		             
	            	doi: 10.11884/HPLPB201830.170534 
   					
				
		        Abstract: 
Frequency-hopping(FH) is widely used in many ways. FH communication is a kind of communication system with strong anti-jamming capability. This paper discusses a new algorithm to block FH communication system by using pulse-jamming signal. Meanwhile, jamming effects of pulse-jamming signal on synchronization to FH communication system is simulated in MATLAB. The simulation results show the validity of pulse-jamming on FH communication system and jamming energy can be effectively reduced by attacking synchronization of FH communication system.
		       
		        
		        
		        
			  
			Frequency-hopping(FH) is widely used in many ways. FH communication is a kind of communication system with strong anti-jamming capability. This paper discusses a new algorithm to block FH communication system by using pulse-jamming signal. Meanwhile, jamming effects of pulse-jamming signal on synchronization to FH communication system is simulated in MATLAB. The simulation results show the validity of pulse-jamming on FH communication system and jamming energy can be effectively reduced by attacking synchronization of FH communication system.
		            2018,
		            30: 094001.
		             
	            	doi: 10.11884/HPLPB201830.180054 
   					
				
		        Abstract: 
The neutron generator is widely used in the fields of oil logging and element on-line analysis. The measurement of the transverse intensity distribution of the deuterium ion beam at the target position is of great significance to the improvement and optimization of the neutron generator. For Al2O3, SiO2 and BGO scintillation screens used for transverse ion beam profile measurements, the temperature rises of the materials caused by 100 keV and 3 mm in diameter deuterium ion beam radiation was calculated with ANSYS software. The results show that, for 30 μA DC deuterium ion beam, the surface temperatures of the scintillation screens increased dramatically with the irradiation time. After a total irradiation time of 10 minutes, the surface temperatures of the Al2O3, SiO2 and BGO screens had increased by 131, 234 and 649 ℃ respectively. For pulsed ion beam with beam current of 30 μA, 1 Hz repetition rate and 5 μs pulse width, the temperature rise caused by a single beam pulse of the three scintillation screens were all less than 0.05 ℃, and the average temperatures of the scintillation screens almost kept unchanged even for long time ion irradiation. For a single pulsed deuterium ion beam with a beam width of 5 μs, the temperature change of the scintillation screens as the beam intensity varied was calculated. The results show that, the temperature of scintillation screens almost increased linearly with the beam current, and the maximum ion current allowed for Al2O3, SiO2 and BGO scintillation screens was 2.32 A, 1.08 A and 0.72 A, respectively. For ion beam with current larger than the maximum allowed ion current, the surface temperature would reach the melting point of the materials.
		       
		        
		        
		        
			  
			The neutron generator is widely used in the fields of oil logging and element on-line analysis. The measurement of the transverse intensity distribution of the deuterium ion beam at the target position is of great significance to the improvement and optimization of the neutron generator. For Al2O3, SiO2 and BGO scintillation screens used for transverse ion beam profile measurements, the temperature rises of the materials caused by 100 keV and 3 mm in diameter deuterium ion beam radiation was calculated with ANSYS software. The results show that, for 30 μA DC deuterium ion beam, the surface temperatures of the scintillation screens increased dramatically with the irradiation time. After a total irradiation time of 10 minutes, the surface temperatures of the Al2O3, SiO2 and BGO screens had increased by 131, 234 and 649 ℃ respectively. For pulsed ion beam with beam current of 30 μA, 1 Hz repetition rate and 5 μs pulse width, the temperature rise caused by a single beam pulse of the three scintillation screens were all less than 0.05 ℃, and the average temperatures of the scintillation screens almost kept unchanged even for long time ion irradiation. For a single pulsed deuterium ion beam with a beam width of 5 μs, the temperature change of the scintillation screens as the beam intensity varied was calculated. The results show that, the temperature of scintillation screens almost increased linearly with the beam current, and the maximum ion current allowed for Al2O3, SiO2 and BGO scintillation screens was 2.32 A, 1.08 A and 0.72 A, respectively. For ion beam with current larger than the maximum allowed ion current, the surface temperature would reach the melting point of the materials.
		            2018,
		            30: 095001.
		             
	            	doi: 10.11884/HPLPB201830.170325 
   					
				
		        Abstract: 
Based on a two-phase four-poles air-core compulsator, the discharge pulse shape optimization problem is studied. The characteristics of three typical kinds of loads for compulsator: electromagnetic rail guns, flashlamps and electro-thermal chemical guns are analyzed, whose requirements for pulse shape are significantly different. Optimization indexes are proposed for different loads to quantify the fitness of discharge pulse, transferring the pulse shaping problem into function optimization problem. For electromagnetic rail guns, the optimization index is the "acceleration ratio" of the projectile, which is the ratio of maximum acceleration and average acceleration during launch process. The larger acceleration ratio is, the flatter the waveform is. By expanding the concept of acceleration ratio, this index can be applied on flashlamps. For electro-thermal chemical guns, the concept of "shape variance" is proposed to measure the pulse shape. Simulation results show that the proposed optimization indexes are effective. With the help of intelligent optimization algorithm, we can get the optimized discharge pulse for different loads. Simultaneously, it is verified that the two-phase compulsator has strong flexibility in waveform adjustment.
		       
		        
		        
		        
			  
			Based on a two-phase four-poles air-core compulsator, the discharge pulse shape optimization problem is studied. The characteristics of three typical kinds of loads for compulsator: electromagnetic rail guns, flashlamps and electro-thermal chemical guns are analyzed, whose requirements for pulse shape are significantly different. Optimization indexes are proposed for different loads to quantify the fitness of discharge pulse, transferring the pulse shaping problem into function optimization problem. For electromagnetic rail guns, the optimization index is the "acceleration ratio" of the projectile, which is the ratio of maximum acceleration and average acceleration during launch process. The larger acceleration ratio is, the flatter the waveform is. By expanding the concept of acceleration ratio, this index can be applied on flashlamps. For electro-thermal chemical guns, the concept of "shape variance" is proposed to measure the pulse shape. Simulation results show that the proposed optimization indexes are effective. With the help of intelligent optimization algorithm, we can get the optimized discharge pulse for different loads. Simultaneously, it is verified that the two-phase compulsator has strong flexibility in waveform adjustment.
		            2018,
		            30: 095002.
		             
	            	doi: 10.11884/HPLPB201830.180103 
   					
				
		        Abstract: 
Avalanche transistors have been widely used in nanosecond pulse generators because of their short rise time, high-frequency and other characteristics. In order to increase the output voltage amplitude, Marx circuits based on cascaded switches are often used. In this paper, diodes were used to replace some current-limiting resistors in traditional Marx circuits based on cascaded switches to reduce the energy loss, to speed up the charging speed, and to increase the repetitive frequency. The influences of capacitance and the current limiting resistor on the output voltage amplitude and frequency are analyzed. By testing the breakdown of a single BJT, the minimum on-resistance of the single BJT was calculated to be about 2.5 Ω, and the equivalent internal resistance of the Marx circuit based on cascaded switches reduced the output voltage amplitude over the load, hence multiple Marx circuits in parallel were used to increase the output voltage amplitude. By changing the number of Marx parallel modules, the influence of the equivalent internal resistance of the circuit on the output pulse was studied. By changing the load resistance, it is verified that the Marx circuit in parallel had a better boosting effect over low-resistance loads. The experiments show that, nanosecond pluses with rise time of 3.4 ns, amplitude of 2.5 kV and repetitive frequency of 15 kHz were obtained over a 50 Ω load with four Marx circuits in parallel.
		       
		        
		        
		        
			  
			Avalanche transistors have been widely used in nanosecond pulse generators because of their short rise time, high-frequency and other characteristics. In order to increase the output voltage amplitude, Marx circuits based on cascaded switches are often used. In this paper, diodes were used to replace some current-limiting resistors in traditional Marx circuits based on cascaded switches to reduce the energy loss, to speed up the charging speed, and to increase the repetitive frequency. The influences of capacitance and the current limiting resistor on the output voltage amplitude and frequency are analyzed. By testing the breakdown of a single BJT, the minimum on-resistance of the single BJT was calculated to be about 2.5 Ω, and the equivalent internal resistance of the Marx circuit based on cascaded switches reduced the output voltage amplitude over the load, hence multiple Marx circuits in parallel were used to increase the output voltage amplitude. By changing the number of Marx parallel modules, the influence of the equivalent internal resistance of the circuit on the output pulse was studied. By changing the load resistance, it is verified that the Marx circuit in parallel had a better boosting effect over low-resistance loads. The experiments show that, nanosecond pluses with rise time of 3.4 ns, amplitude of 2.5 kV and repetitive frequency of 15 kHz were obtained over a 50 Ω load with four Marx circuits in parallel.
		            2018,
		            30: 095003.
		             
	            	doi: 10.11884/HPLPB201830.180021 
   					
				
		        Abstract: 
Differentiating integrating systems composed of differentiating monitor and integrator are often used to measure short pulsed voltage and current in pulse power facilities and accelerators.This paper describes that the passive RC integrator can lead to flat-top drop and baseline deviation when it is used to integrate a single-pulse or multi-pulse differentiating signal. According to the equivalent circuit, the formulas which describe the quantitative relationships between the RC integrator and pulse signal parameters are deduced. Flat-top drop and baseline deviation ratio are calculated under different parameters.They coincide with the PSpice simulation results.The RC integrator parameters can be accurately decided according to the formulas.
		       
		        
		        
		        
			  
			Differentiating integrating systems composed of differentiating monitor and integrator are often used to measure short pulsed voltage and current in pulse power facilities and accelerators.This paper describes that the passive RC integrator can lead to flat-top drop and baseline deviation when it is used to integrate a single-pulse or multi-pulse differentiating signal. According to the equivalent circuit, the formulas which describe the quantitative relationships between the RC integrator and pulse signal parameters are deduced. Flat-top drop and baseline deviation ratio are calculated under different parameters.They coincide with the PSpice simulation results.The RC integrator parameters can be accurately decided according to the formulas.
		            2018,
		            30: 095004.
		             
	            	doi: 10.11884/HPLPB201830.180141 
   					
				
		        Abstract: 
An integrative D-dot monitor is designed to measure high voltage pulse in transmission line. The monitor which consists of base, airproof BNC connector, probe shell, insulation, probe and connecting rod is located on the outshell of transmission line. Monitor assemblies are coaxially connected by thread, resulting in compaction of configuration and integrality in dismounting or mounting. An airproof BNC connector and a seal packing ring of oxygen-free copper are used to get good sealing performance and veracity, meanwhile their low elasticity leads to high accuracy of measurement. Low ground capacitance of monitor is designed to get good high-frequency response. Simulation by OrCAD/Pspice is taken, with good signal-to-noise ratio and rising time. Results of simulation on electrostatic field by CST show that the monitor is safe to measure 1 MV high voltage. Results of calibration and experiment show that the integrative D-dot monitor can response to signals with rise time of several tens of nanoseconds, which could fulfill our diagnostic requirement.
		       
		        
		        
		        
			  
			An integrative D-dot monitor is designed to measure high voltage pulse in transmission line. The monitor which consists of base, airproof BNC connector, probe shell, insulation, probe and connecting rod is located on the outshell of transmission line. Monitor assemblies are coaxially connected by thread, resulting in compaction of configuration and integrality in dismounting or mounting. An airproof BNC connector and a seal packing ring of oxygen-free copper are used to get good sealing performance and veracity, meanwhile their low elasticity leads to high accuracy of measurement. Low ground capacitance of monitor is designed to get good high-frequency response. Simulation by OrCAD/Pspice is taken, with good signal-to-noise ratio and rising time. Results of simulation on electrostatic field by CST show that the monitor is safe to measure 1 MV high voltage. Results of calibration and experiment show that the integrative D-dot monitor can response to signals with rise time of several tens of nanoseconds, which could fulfill our diagnostic requirement.
		            2018,
		            30: 095005.
		             
	            	doi: 10.11884/HPLPB201830.170398 
   					
				
		        Abstract: 
This paper describes the operation principle and characteristic of the drift step recovery diode (DSRD), a new type of semiconductor switching, and summarizes the development and application of pulsed power source based on semiconductor switching. Based on the equivalent model of DSRD switching, it builds the simulation model of the forward and reverse pumping current circuit. Based on the output voltage, it simulates and calculates the main energy storage inductance and primary energy storage inductance, gets the optimum parameters of other components. It analyzes the value of the parallel capacitor and the MOSFET parasitic capacitor output parameter, and gets the optimum values of parallel capacitor and blocking capacitor. A pulsed power source was designed based on the DSRD. The source can work in continuous mode, with the amplitude above 2 kV, the rise time less than 680 ps(from 20% to 90%), the FWHM about 1.5 ns and the working frequency more than 1 MHz.
		       
		        
		        
		        
			  
			This paper describes the operation principle and characteristic of the drift step recovery diode (DSRD), a new type of semiconductor switching, and summarizes the development and application of pulsed power source based on semiconductor switching. Based on the equivalent model of DSRD switching, it builds the simulation model of the forward and reverse pumping current circuit. Based on the output voltage, it simulates and calculates the main energy storage inductance and primary energy storage inductance, gets the optimum parameters of other components. It analyzes the value of the parallel capacitor and the MOSFET parasitic capacitor output parameter, and gets the optimum values of parallel capacitor and blocking capacitor. A pulsed power source was designed based on the DSRD. The source can work in continuous mode, with the amplitude above 2 kV, the rise time less than 680 ps(from 20% to 90%), the FWHM about 1.5 ns and the working frequency more than 1 MHz.
		            2018,
		            30: 095006.
		             
	            	doi: 10.11884/HPLPB201830.170451 
   					
				
		        Abstract: 
Linear transformer driver (LTD) is a new pulsed power technology with novel topology. It can generate fast high power pulse by dividing energy storage capacitor into many small ones, and gain high voltage by induction addition. One of the key characters and technique difficulties of LTD is the trigger theme. This paper introduces the concept of extendable trigger technology. An extendable trigger unit with 40 output cables was designed and tested. When the Marx was charged by ±60 kV, the trigger unit with a 75 Ω load output a peak voltage of 106 kV, and the risetime was 27 ns (10%~90%), FWHM was 110 ns. The trigger time difference of the four laser-triggered gas switches (as the output switches) was less than 3 ns under the conditions of about 70% working coefficient and total laser energy of 55 mJ.
		       
		        
		        
		        
			  
			Linear transformer driver (LTD) is a new pulsed power technology with novel topology. It can generate fast high power pulse by dividing energy storage capacitor into many small ones, and gain high voltage by induction addition. One of the key characters and technique difficulties of LTD is the trigger theme. This paper introduces the concept of extendable trigger technology. An extendable trigger unit with 40 output cables was designed and tested. When the Marx was charged by ±60 kV, the trigger unit with a 75 Ω load output a peak voltage of 106 kV, and the risetime was 27 ns (10%~90%), FWHM was 110 ns. The trigger time difference of the four laser-triggered gas switches (as the output switches) was less than 3 ns under the conditions of about 70% working coefficient and total laser energy of 55 mJ.
		            2018,
		            30: 095007.
		             
	            	doi: 10.11884/HPLPB201830.180105 
   					
				
		        Abstract: 
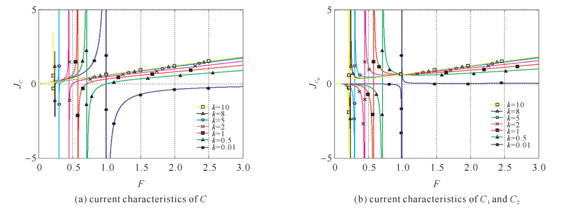
This paper proposes a resonance boosting and voltage double circuit for high voltage power supply, which consists of an LC resonant circuit and a rectifier. The working mode and the steady-state output characteristics of the circuit are analyzed. The mathematical models of the circuit are established in normalized forms to describe the output voltage and output current in steady-state, to express the characteristics of the circuit under short-circuit and open-circuit conditions, to give the expressions of the output voltage ripple, the output voltage drop and the electrical stress on the devices. The circuit quality factor, the normalized frequency and the capacitance ratio are defined, and their effects on the output characteristics of the circuit are analyzed. Simulation analyses and experimental researches have been performed for the circuit, and the simulation results are in good agreements with the experimental results, which verifies the correctness of the mathematical model. In contrast to the traditional C-W circuit, the proposed circuit has the advantages of stable voltage output, small voltage drop, good performance under short circuit condition, and fast response, which is suitable for high voltage and low current applications.
		       
		        
		        
		        
			  
			This paper proposes a resonance boosting and voltage double circuit for high voltage power supply, which consists of an LC resonant circuit and a rectifier. The working mode and the steady-state output characteristics of the circuit are analyzed. The mathematical models of the circuit are established in normalized forms to describe the output voltage and output current in steady-state, to express the characteristics of the circuit under short-circuit and open-circuit conditions, to give the expressions of the output voltage ripple, the output voltage drop and the electrical stress on the devices. The circuit quality factor, the normalized frequency and the capacitance ratio are defined, and their effects on the output characteristics of the circuit are analyzed. Simulation analyses and experimental researches have been performed for the circuit, and the simulation results are in good agreements with the experimental results, which verifies the correctness of the mathematical model. In contrast to the traditional C-W circuit, the proposed circuit has the advantages of stable voltage output, small voltage drop, good performance under short circuit condition, and fast response, which is suitable for high voltage and low current applications.
		            2018,
		            30: 095008.
		             
	            	doi: 10.11884/HPLPB201830.180016 
   					
				
		        Abstract: 
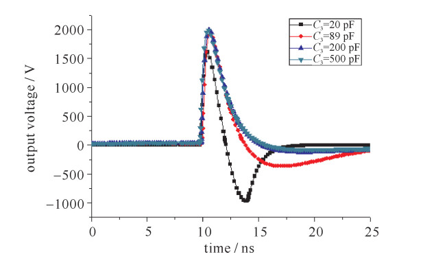
This paper designs a single source pulse generator based on the pulse transformer. The generator uses a set of pulse discharge capacitors, a thyristor as a discharge switch, a pulse transformer as a transmission line with single primary winding and double secondary windings. The pulse source outputs a high voltage when the transformer is operating in boost mode, and outputs large current in the buck mode. The load is in a high-impedance state before breakdown and in a low impedance state after breakdown. Based on the above transformer characteristics and the actual conditions, the design uses the one-way conduction characteristics of the diode to realize the switching of the operating mode of the transformer. Then, the pulse source can output high voltage and large current pulse time-sharing. The design isolates the high-voltage output circuit and the low-voltage control circuit using the transformer. Compared with the general dual power supply, the pulse power supply decreases the cost of the driving circuit, reduces the size of the device, and facilitates the miniaturization and compactness of the device. The results show that a 18 μF primary storage capacitor of 700 V can output an open circuit voltage of 7.6 kV and a rising edge of 432 ns, and a short current of 690 A, the full-width of 15.6 μs and the front of 7.0 μs. It meets the trigger requirements of ignition tube NL37248.
		       
		        
		        
		        
			  
			This paper designs a single source pulse generator based on the pulse transformer. The generator uses a set of pulse discharge capacitors, a thyristor as a discharge switch, a pulse transformer as a transmission line with single primary winding and double secondary windings. The pulse source outputs a high voltage when the transformer is operating in boost mode, and outputs large current in the buck mode. The load is in a high-impedance state before breakdown and in a low impedance state after breakdown. Based on the above transformer characteristics and the actual conditions, the design uses the one-way conduction characteristics of the diode to realize the switching of the operating mode of the transformer. Then, the pulse source can output high voltage and large current pulse time-sharing. The design isolates the high-voltage output circuit and the low-voltage control circuit using the transformer. Compared with the general dual power supply, the pulse power supply decreases the cost of the driving circuit, reduces the size of the device, and facilitates the miniaturization and compactness of the device. The results show that a 18 μF primary storage capacitor of 700 V can output an open circuit voltage of 7.6 kV and a rising edge of 432 ns, and a short current of 690 A, the full-width of 15.6 μs and the front of 7.0 μs. It meets the trigger requirements of ignition tube NL37248.
		            2018,
		            30: 096001.
		             
	            	doi: 10.11884/HPLPB201830.170487 
   					
				
		        Abstract: 
For the problem of concentration identification of nuclear material in nuclear weapon/material identification system, we used the Monte Carlo method, established a database of neutron signal obtained by fission of nuclear material driven by 252Cf-source under the condition of different distance and angle of detectors. Based on the convolutional neural network in deep learning area, a method for 252Cf-source-driven nuclear material concentration identification was constructed, thereby, the identification of test samples was realized. Then a contrast experiment was conducted with the BP neural network and K-nearest neighbor method. The experimental results show that using the constructed method, a high identification rate of 92.05% is got. The problem of the accuracy of the nuclear material concentration identification was affected by the change of the distance and angle of the detector is solved, and the accuracy of this method is better than that of the BP neural network and K-nearest neighbor methods. This paper provides a new idea for the 252Cf-source-driven nuclear material concentration identification.
		       
		        
		        
		        
			  
			For the problem of concentration identification of nuclear material in nuclear weapon/material identification system, we used the Monte Carlo method, established a database of neutron signal obtained by fission of nuclear material driven by 252Cf-source under the condition of different distance and angle of detectors. Based on the convolutional neural network in deep learning area, a method for 252Cf-source-driven nuclear material concentration identification was constructed, thereby, the identification of test samples was realized. Then a contrast experiment was conducted with the BP neural network and K-nearest neighbor method. The experimental results show that using the constructed method, a high identification rate of 92.05% is got. The problem of the accuracy of the nuclear material concentration identification was affected by the change of the distance and angle of the detector is solved, and the accuracy of this method is better than that of the BP neural network and K-nearest neighbor methods. This paper provides a new idea for the 252Cf-source-driven nuclear material concentration identification.
		            2018,
		            30: 096002.
		             
	            	doi: 10.11884/HPLPB201830.180039 
   					
				
		        Abstract: 
To realize the calculation and analysis for the neutron activation character of the 14 MeV D-T rotary target chamber, a new approach coupling the self-developed activation code BURNDOT with the Monte Carlo particle transport calculation code MCNP and the MCNP Automatic Modeling (MCAM) was developed, which integrates the functions of neutron transport, activation of materials and decay gamma transport.The influence of the factors including materials, cells and main activated nuclides on activation character of rotary target chamber at different time after the irradiation was analyzed in detail.The results show that the time about 68 hafter neutron radiation acts as a boundary, before it the copper material is the major contributor for activity instead of the 316 stainless steel after it.For the former, the delayedγdose rate up to maximum is due to 62 Cu and 64 Cu, and for the latter, the delayedγdose rate is influenced by the long life-time nuclides such as 55 Fe, 57 Co and 54 Mn and it is under the level of 10μSv/h.In addition, the results were compared with the data of the European activation code FISPACT-2007.
		       
		        
		        
		        
			  
			To realize the calculation and analysis for the neutron activation character of the 14 MeV D-T rotary target chamber, a new approach coupling the self-developed activation code BURNDOT with the Monte Carlo particle transport calculation code MCNP and the MCNP Automatic Modeling (MCAM) was developed, which integrates the functions of neutron transport, activation of materials and decay gamma transport.The influence of the factors including materials, cells and main activated nuclides on activation character of rotary target chamber at different time after the irradiation was analyzed in detail.The results show that the time about 68 hafter neutron radiation acts as a boundary, before it the copper material is the major contributor for activity instead of the 316 stainless steel after it.For the former, the delayedγdose rate up to maximum is due to 62 Cu and 64 Cu, and for the latter, the delayedγdose rate is influenced by the long life-time nuclides such as 55 Fe, 57 Co and 54 Mn and it is under the level of 10μSv/h.In addition, the results were compared with the data of the European activation code FISPACT-2007.
		            2018,
		            30: 096003.
		             
	            	doi: 10.11884/HPLPB201830.180083 
   					
				
		        Abstract: 
Fuel management is an extremely important and complex work in reactor design and directly affects the economics of the reactor. Now, there are many mature fuel management calculation methods for PWR and other traditional thermal reactors around the world. However, because of their hard neutron spectra, control modes and power distributions of fast reactors are different from those of traditional thermal reactors. There is a lack of systematic study of fuel management for fast reactors. Based on the SRAC/COREBN software package which provides the atom density of the nuclides at different burnup levels, a pseudo-equilibrium cycle parameter was calculated for the fuel management pre-estimation of forced circulation lead cooled fast reactor M2LFR-1000 independently developed by University of Science and Technology of China. Then, refueling schemes of the initial, transition and equilibrium cycles were designed. The results show that optimizing the Pu enrichment of outer fuel assemblies in M2LFR-1000 core can extend the cycle length to 540 d and increase the average discharge burnup. The pseudo-equilibrium cycle results are basically the same as those of the equilibrium cycle. The pseudo-equilibrium cycle can be used for fuel management pre-estimation.
		       
		        
		        
		        
			  
			Fuel management is an extremely important and complex work in reactor design and directly affects the economics of the reactor. Now, there are many mature fuel management calculation methods for PWR and other traditional thermal reactors around the world. However, because of their hard neutron spectra, control modes and power distributions of fast reactors are different from those of traditional thermal reactors. There is a lack of systematic study of fuel management for fast reactors. Based on the SRAC/COREBN software package which provides the atom density of the nuclides at different burnup levels, a pseudo-equilibrium cycle parameter was calculated for the fuel management pre-estimation of forced circulation lead cooled fast reactor M2LFR-1000 independently developed by University of Science and Technology of China. Then, refueling schemes of the initial, transition and equilibrium cycles were designed. The results show that optimizing the Pu enrichment of outer fuel assemblies in M2LFR-1000 core can extend the cycle length to 540 d and increase the average discharge burnup. The pseudo-equilibrium cycle results are basically the same as those of the equilibrium cycle. The pseudo-equilibrium cycle can be used for fuel management pre-estimation.
		            2018,
		            30: 096004.
		             
	            	doi: 10.11884/HPLPB201830.180058 
   					
				
		        Abstract: 
Based on Hongyanhe nuclear power plant, research on radionuclide source, transfer and release pathways were carried out, for CPR1000 fuel handing accident. The source term analytical models were constructed, including fuel reserve room and environment. On this basis, the radiation impact of an assembly drop accident was quantitatively estimated. The results show that public doses with 16 directions of exclusion area boundary and planning restricted area outer boundary satisfied the GB6249-2011 dose limits with some margin. The above doses were determined using top 0.5% meteorology. By sensitivity analysis of key parameters, direction of the largest dose, predominant nuclide and key time period were identified. Furthermore, the rationality of accident cutoff time taken as 12 h, and the necessity of fuel operation starting time taken as 100 h were proved. Meanwhile, the effects of scrubbing depth and normal ventilation isolation delay time on public doses were studied. The results show that public dose decreased exponentially with the increase of scrubbing depth, while it increased rapidly with the extension of normal ventilation isolation delay time, which can support the decision of nuclear power plant design.
		       
		        
		        
		        
			  
			Based on Hongyanhe nuclear power plant, research on radionuclide source, transfer and release pathways were carried out, for CPR1000 fuel handing accident. The source term analytical models were constructed, including fuel reserve room and environment. On this basis, the radiation impact of an assembly drop accident was quantitatively estimated. The results show that public doses with 16 directions of exclusion area boundary and planning restricted area outer boundary satisfied the GB6249-2011 dose limits with some margin. The above doses were determined using top 0.5% meteorology. By sensitivity analysis of key parameters, direction of the largest dose, predominant nuclide and key time period were identified. Furthermore, the rationality of accident cutoff time taken as 12 h, and the necessity of fuel operation starting time taken as 100 h were proved. Meanwhile, the effects of scrubbing depth and normal ventilation isolation delay time on public doses were studied. The results show that public dose decreased exponentially with the increase of scrubbing depth, while it increased rapidly with the extension of normal ventilation isolation delay time, which can support the decision of nuclear power plant design.
		            2018,
		            30: 096005.
		             
	            	doi: 10.11884/HPLPB201830.180005 
   					
				
		        Abstract: 
The simulation software ANSYS was used to calculate the thermal-mechanical response of the first wall in Z-pinch driven fusion-fission hybrid energy reactor under pulsed thermal flux, including distribution of temperature, stress and strain of the first wall materials along its depth direction. The results indicate that the periodic (10 s) transient pulse loading does not lead to the temperature accumulation in the first wall. The maximum temperature of the first wall appears on the surface of the tungsten coating. The maximum stress of the tungsten coating is 130 MPa. The maximum stress of the Zr alloy substrate is 33 MPa.
		       
		        
		        
		        
			  
			The simulation software ANSYS was used to calculate the thermal-mechanical response of the first wall in Z-pinch driven fusion-fission hybrid energy reactor under pulsed thermal flux, including distribution of temperature, stress and strain of the first wall materials along its depth direction. The results indicate that the periodic (10 s) transient pulse loading does not lead to the temperature accumulation in the first wall. The maximum temperature of the first wall appears on the surface of the tungsten coating. The maximum stress of the tungsten coating is 130 MPa. The maximum stress of the Zr alloy substrate is 33 MPa.
		            2018,
		            30: 096006.
		             
	            	doi: 10.11884/HPLPB201830.180072 
   					
				
		        Abstract: 
A stacked (double-layered) CdZnTe detector was fabricated experimentally by parallel method and its gamma spectrum characteristics was tested using 241Am@59.54 keV and 57Co@122 keV gamma ray sources. Compared with a single-layered detector, for the higher energy gamma rays of 57Co@122 keV, the stacked CdZnTe detector exhibited higher detection efficiency and light peak efficiency, and improved the Compton continuum. The energy spectrum resolution of the stacked CdZnTe detector was slightly worse than that of the single-layered detector. The preliminary experimental results show that it is feasible to prepare a stacked CdZnTe detector by parallel method, and it can be inferred that preparation of stacked CdZnTe detectors of larger thickness will be beneficial for mid-high-energy gamma ray spectrometry.
		       
		        
		        
		        
			  
			A stacked (double-layered) CdZnTe detector was fabricated experimentally by parallel method and its gamma spectrum characteristics was tested using 241Am@59.54 keV and 57Co@122 keV gamma ray sources. Compared with a single-layered detector, for the higher energy gamma rays of 57Co@122 keV, the stacked CdZnTe detector exhibited higher detection efficiency and light peak efficiency, and improved the Compton continuum. The energy spectrum resolution of the stacked CdZnTe detector was slightly worse than that of the single-layered detector. The preliminary experimental results show that it is feasible to prepare a stacked CdZnTe detector by parallel method, and it can be inferred that preparation of stacked CdZnTe detectors of larger thickness will be beneficial for mid-high-energy gamma ray spectrometry.
		            2018,
		            30: 096007.
		             
	            	doi: 10.11884/HPLPB201830.180091 
   					
				
		        Abstract: 
The existing calibration methods of gamma ray dose (rate) meters have the disadvantages of long distance, long period and low efficiency. To overcome these disadvantages, the Institute of Nuclear Physics and Chemistry of the Chinese Academy of Engineering Physics applies a machine learning prediction method using sample instruments to carry out a research on field calibration technology for portable gamma dose (rate) meters based on minitype reference radiation. A field calibration device for gamma dose (rate) meters for radiation protection was successfully developed, which achieved a satisfactory result with a measurement standard uncertainty of no more than 5%. This paper also presents a new method for determination of the conventional true value of gamma ray air kerma, and provides a novel model equipment for field calibration of the portable gamma dose (rate) meters.
		       
		        
		        
		        
			  
			The existing calibration methods of gamma ray dose (rate) meters have the disadvantages of long distance, long period and low efficiency. To overcome these disadvantages, the Institute of Nuclear Physics and Chemistry of the Chinese Academy of Engineering Physics applies a machine learning prediction method using sample instruments to carry out a research on field calibration technology for portable gamma dose (rate) meters based on minitype reference radiation. A field calibration device for gamma dose (rate) meters for radiation protection was successfully developed, which achieved a satisfactory result with a measurement standard uncertainty of no more than 5%. This paper also presents a new method for determination of the conventional true value of gamma ray air kerma, and provides a novel model equipment for field calibration of the portable gamma dose (rate) meters.
		            2018,
		            30: 096008.
		             
	            	doi: 10.11884/HPLPB201830.180138 
   					
				
		        Abstract: 
The DC gain of bipolar transistor will degenerate after neutron irradiation. In the range of flux of 109-1016 cm-2, the reciprocal change of DC gain is linearly related to the neutron flux. The high temperature annealing of the bipolar transistor with DC gain degradation can restore the performance of the bipolar transistor which has been damaged by radiation. In view of this, the bipolar transistor was used in reverse engineering, and the neutron flux detector was fabricated. After calibration, the neutron flux could be monitored. After designing the assembly structure of the detector and relying on the CFBR-Ⅱ reactor, the 3DK2222A detector was calibrated in the flux range of 1012-1013cm-2. The 3DG121C detector is calibrated in the flux range of 1013 cm-2. The dispersion of the damage constant K of the detector is obtained as smaller or larger, the effective value and application method of the smaller dispersion are determined, and in cases of larger dispersion, the calibrated damage constant K can only be applied to the same detector, and the feasibility of the scheme is proved by high temperature annealing experiment.
		       
		        
		        
		        
			  
			The DC gain of bipolar transistor will degenerate after neutron irradiation. In the range of flux of 109-1016 cm-2, the reciprocal change of DC gain is linearly related to the neutron flux. The high temperature annealing of the bipolar transistor with DC gain degradation can restore the performance of the bipolar transistor which has been damaged by radiation. In view of this, the bipolar transistor was used in reverse engineering, and the neutron flux detector was fabricated. After calibration, the neutron flux could be monitored. After designing the assembly structure of the detector and relying on the CFBR-Ⅱ reactor, the 3DK2222A detector was calibrated in the flux range of 1012-1013cm-2. The 3DG121C detector is calibrated in the flux range of 1013 cm-2. The dispersion of the damage constant K of the detector is obtained as smaller or larger, the effective value and application method of the smaller dispersion are determined, and in cases of larger dispersion, the calibrated damage constant K can only be applied to the same detector, and the feasibility of the scheme is proved by high temperature annealing experiment.
		            2018,
		            30: 099001.
		             
	            	doi: 10.11884/HPLPB201830.180053 
   					
				
		        Abstract: 
An experimental apparatus, which consists of two identical pulsed 1064 nm Nd: YAG lasers and a portable spectrometer, has been built for element analysis in aluminum alloy in collinear dual pulse laser induced breakdown spectroscopy (DP-LIBS) configuration. 14.3- and 17.2-fold enhanced line intensities have been observed for Mn I 403.07 nm and Cr I 425.43 nm respectively, compared to that of single-pulse laser induced breakdown spectroscopy. Based on the signal intensity enhancement, inter pulse delay time has been carefully optimized, which gives a value of about 8-9 μs. Using this collinear dual pulse laser induced breakdown spectroscopy apparatus, the calibration curves for quantitative measurement of Mn and Cr were derived, and the limits of detection for elements Mn and Cr are found to be 3.76 and 4.26 μg/g, respectively.
		       
		        
		        
		        
			  
			An experimental apparatus, which consists of two identical pulsed 1064 nm Nd: YAG lasers and a portable spectrometer, has been built for element analysis in aluminum alloy in collinear dual pulse laser induced breakdown spectroscopy (DP-LIBS) configuration. 14.3- and 17.2-fold enhanced line intensities have been observed for Mn I 403.07 nm and Cr I 425.43 nm respectively, compared to that of single-pulse laser induced breakdown spectroscopy. Based on the signal intensity enhancement, inter pulse delay time has been carefully optimized, which gives a value of about 8-9 μs. Using this collinear dual pulse laser induced breakdown spectroscopy apparatus, the calibration curves for quantitative measurement of Mn and Cr were derived, and the limits of detection for elements Mn and Cr are found to be 3.76 and 4.26 μg/g, respectively.
		            2018,
		            30: 099002.
		             
	            	doi: 10.11884/HPLPB201830.180090 
   					
				
		        Abstract: 
Serial time-stretch imaging technique with its high line-scan rate can observe and record fast non-repetitive events. However, it is inevitable that a fast imaging system would generate a massive amount of data. This paper proposes a data compression methodbased on differential detection and run-length encoding for time-stretch imaging technique, which can efficiently solve the existing problem of data volume in the back-end digital signal processing. Differential detection can eliminate identical signals and only distinguish the difference between consecutive scans, while the run-length encoding algorithm is suitable for encoding the same repeated signals, to further improve the effectiveness of run-length encoding algorithm. In the experiment, a 77.76 MHz line-scan imaging system is demonstrated with the resolution test target, red blood cell and MCF cell. It turns out that the compression rate of 8.47 is proved. Through analysis, it is found that the method with differential detection can achieve higher compression rate than the method without differential detection, especially when the sampling resolution is low. The structured similarity index measurement(SSIM) calculation between the original image and the reconstructed image shows high quality images can be reconstructed after compression by the proposed method.
		       
		        
		        
		        
			  
			Serial time-stretch imaging technique with its high line-scan rate can observe and record fast non-repetitive events. However, it is inevitable that a fast imaging system would generate a massive amount of data. This paper proposes a data compression methodbased on differential detection and run-length encoding for time-stretch imaging technique, which can efficiently solve the existing problem of data volume in the back-end digital signal processing. Differential detection can eliminate identical signals and only distinguish the difference between consecutive scans, while the run-length encoding algorithm is suitable for encoding the same repeated signals, to further improve the effectiveness of run-length encoding algorithm. In the experiment, a 77.76 MHz line-scan imaging system is demonstrated with the resolution test target, red blood cell and MCF cell. It turns out that the compression rate of 8.47 is proved. Through analysis, it is found that the method with differential detection can achieve higher compression rate than the method without differential detection, especially when the sampling resolution is low. The structured similarity index measurement(SSIM) calculation between the original image and the reconstructed image shows high quality images can be reconstructed after compression by the proposed method.
		            2018,
		            30: 090000.
		             
	            	
				 
		         
					
 Email alert
Email alert RSS
RSS 
				  
	
	