2025 Vol. 37, No. 12
Recommend Articles
Display Method:
2025,
37: 1-2.
2025,
37: 122001.
doi: 10.11884/HPLPB202537.250066
Abstract:
Background Purpose Methods Results Conclusions
Surface defects on optical components in high-power solid-state laser systems seriously impair the system’s operational stability and laser output performance. However, precise detection of such defects under few-shot conditions remains a critical challenge, as limited training data often restricts the generalization ability of detection models and creates an urgent need for high-performance defect detection methods adapted to this scenario.
To address this issue, this study aims to design and propose an enhanced detection method dubbed ICFNetV2, which is developed based on the existing ICFNet. Its core goal is to improve the accuracy and generalization of optical component surface defect detection under few-shot scenarios.
ICFNetV2 integrates data augmentation techniques with deep residual networks: Its framework adopts a synergistic design of residual connection mechanisms and decoupled channel convolution operations to construct a 34-layer cascaded network—this structure mitigates gradient decay during deep network training and enhances cross-layer feature transmission efficiency. The network also incorporates spatial dropout layers and implements a data preprocessing pipeline encompassing random rotation, mirror flipping, and Gaussian noise injection, which expands the training dataset to 9 times its original size. Additionally, ablation studies were conducted to verify the efficacy of each individual network module.
Experimental results demonstrate that the optimized ICFNetV2 achieves a classification accuracy of 97.4% for three typical defect types, representing a 0.7% improvement over the baseline ICFNet model.
In conclusion, ICFNetV2 effectively enhances defect detection performance under few-shot conditions through architectural optimization and data augmentation. The validation from ablation studies and the observed accuracy gains confirm the effectiveness of its key modules, providing a reliable solution for surface defect detection of optical components in high-power solid-state laser systems and offering reference value for similar few-shot detection tasks.
2025,
37: 123001.
doi: 10.11884/HPLPB202537.250338
Abstract:
Background Purpose Methods Results Conclusions
As the low-altitude economy industry accelerates, low-altitude security has attracted increasing attention. High-power microwave (HPM) is one of the important means to address the security threats posed by non-cooperative unmanned aerial vehicles (UAVs).
As a type of high-power electromagnetic pulse, ultra-wideband high-power microwave (UWB-HPM) can attack the electronic information systems of non-cooperative UAVs through “front-door” or “back-door” coupling, resulting in effects such as interference, disruption, damage, and burnout.
We propose a new concept of on-wafer high-power microwave on wafer (HPM on-wafer), which integrates energy storage capacitors, high-power optically controlled semiconductor switches, and antennas on a single semiconductor wafer with a thickness of 0.5 mm and a diameter of 0.15 m.
The unit of HPM on-wafer achieves an ultra-wideband high-power microwave output with a radiation factor of 20 kV.
Experiments show that based on this integrated HPM on-wafer unit, the communication link of a consumer-grade UAV at a distance of 10 m is cut off and the UAV loses flight control. By arranging and combining the basic units of HPM on wafer, modular expansion can be realized to form ultra-wideband high-power microwave systems of different scales, which can meet the requirement of achieving the intended strike effect on different platforms.
2025,
37: 123002.
doi: 10.11884/HPLPB202537.250149
Abstract:
Background Purpose Methods Results Conclusions
The high peak power and wide spectral characteristics of high-power radar may cause unintended interference to communication systems operating in adjacent frequency bands.
This study aims to clarify the effects of key LFM waveform parameters on interference mechanisms and to describe their governing patterns.
A closed-loop injection platform based on software-defined radio (SDR) was developed to inject synthesized LFM waveforms into a QPSK receiver. Error vector magnitude (EVM) serves as the performance metric, while pulse width, pulse period, and chirp bandwidth are varied systematically under fixed duty-cycle constraints.
Results indicate that increasing the duty cycle significantly raises the EVM value, although its growth moderates beyond a 30% duty cycle. Under constant duty cycles, pulse-period variations show negligible influence on EVM. As chirp bandwidth increases from 1 MHz to 3 MHz, the EVM decreases from −10.5 dB to −19.8 dB, a reduction of 9.3 dB, but remains nearly constant with further bandwidth expansion to 10 MHz.
These findings offer critical insights into radar-communication spectrum coexistence and anti-interference system design, while confirming the effectiveness of SDR-based platforms for investigating high-power microwave (HPM) interference effects.
2025,
37: 123003.
doi: 10.11884/HPLPB202537.250160
Abstract:
Background Purpose Methods Results Conclusions
Traveling-wave tubes (TWTs) are widely applied in radar, imaging, and military systems owing to their excellent amplification characteristics. Miniaturization and integration are critical to the future of TWTs, with multi-channel slow-wave structures (SWSs) forming the foundation for their realization in high-power vacuum electronic devices.
To provide design insights for multi-channel TWTs and simultaneously enhance their output power, a W-band folded-waveguide TWT with dual electron beams and H-plane power combining was proposed.
Three-dimensional electromagnetic simulations in CST were conducted to verify the high-frequency characteristics, electric field distribution, and amplification performance of the proposed SWS, thereby confirming the validity of the design.
Results indicate that the designed TWT achieves a transmission bandwidth of 10 GHz. With an electron beam voltage of 17.9 kV and a current of 0.35 A, the output power reaches 450 W at 94 GHz, corresponding to an efficiency of 7.18% and a gain of 23.5 dB. Moreover, under fixed beam voltage and current, the TWT delivers over 200 W output power across 91–99 GHz, with a 3 dB bandwidth of 91–98.5 GHz. The particle voltage distribution after modulation further validates the mode analysis.
These results demonstrate the feasibility of compact dual-beam power-combining structures and provide useful guidance for the design of future multi-channel TWTs.
2025,
37: 123004.
doi: 10.11884/HPLPB202537.250080
Abstract:
Background Purpose Methods Results Conclusions
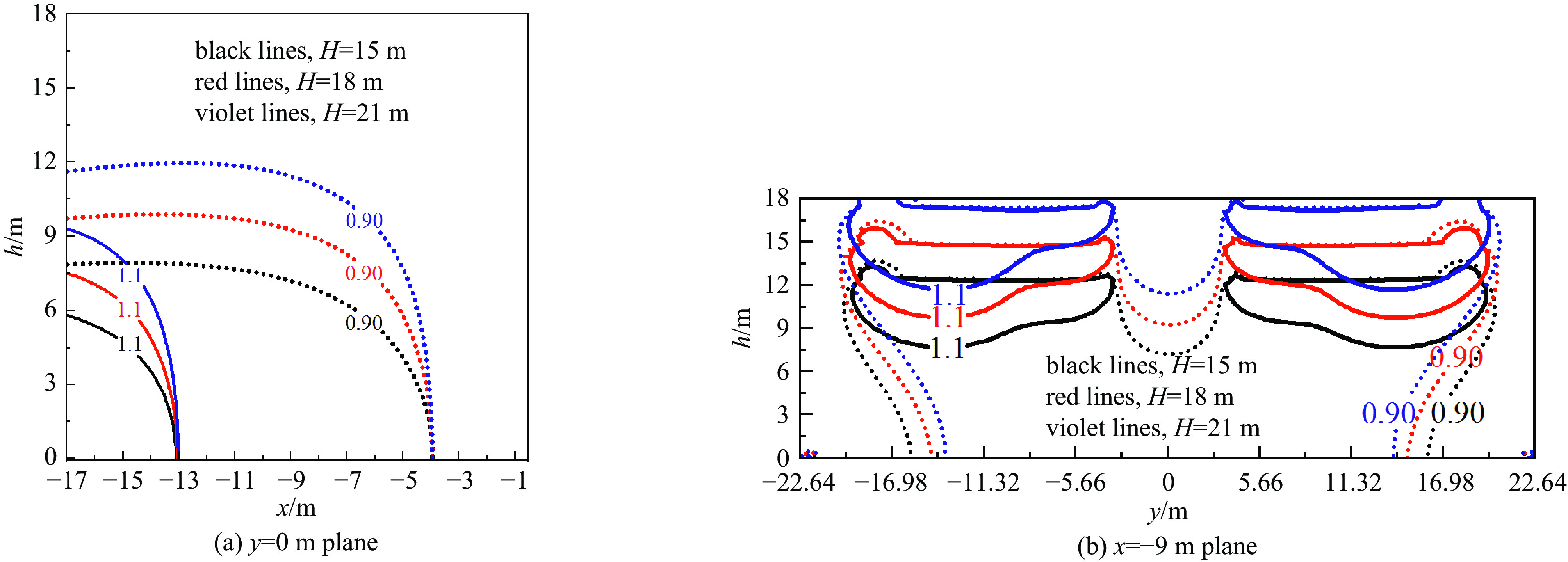
There is currently little research on the choice of the effective workspace of large split vertically polarized electromagnetic pulse (EMP) simulator with distributed terminators.
The purpose of this reasearch is to obtain the distribution characteristics of the peak-value of electric field’s vertical component (called “field peak-value”) inside large simulators.
Based on an example of selecting the effective workspace of this type of simulator, two typical planes were chosen as test planes. Then, the influences of the maximum width, the maximum height, and the maximum width of the upper plate’s void on (normalized) field peak-value distribution characteristics on the two test planes were studied and analyzed based on parallel finite-difference time-domain (FDTD) method.
The results show that, field peak-values increase on the two test planes, as the simulator’s maximum width is wider, maximum height is lower, and maximum width of the upper plate’s void is smaller. The field peak-value uniformity along the simulator’s width direction becomes better as the simulator’s maximum width increases; The field peak-value uniformity along the simulator’s height direction becomes better, but slightly deteriorates along the simulator’s width direction, as the simulator’s maximum height increases; The field peak-value uniformity along the simulator’s width direction becomes better, but deteriorates along the simulator’s height direction, as the maximum width of the upper plate’s void increases.
When selecting an effective workspace in practical experiments, it is necessary to select the appropriate size-parameters of the simulator according to the field peak-values required by the effect experiment and the actual size of the effector, combined with the engineering practice.
2025,
37: 123005.
doi: 10.11884/HPLPB202537.250285
Abstract:
Background Purpose Methods Results Conclusions
With the rapid development of microsatellite platforms such as CubeSats, microwave plasma thrusters have become ideal for orbit maintenance and attitude control due to their high specific impulse, no electrode ablation, compact structure, and flexible working fluid. However, the thrust of such thrusters (at the 1000 W power level) is usually in the millinewton range, and its accurate measurement is crucial for performance verification. Existing thrust measurement schemes require at least 50 cm of space, conflicting with the extreme spatial constraint of 18 cm×16 cm in the current laboratory vacuum chamber; traditional indirect measurement also requires 2−3 parameters, increasing experimental complexity.
This study aims to address the spatial limitation of the vacuum chamber, develop miniaturized thrust measurement schemes, establish a complete testing system including direct mechanical measurement and indirect parameter estimation, and verify the effectiveness and feasibility of these methods for ground testing of thrusters.
Four thrust measurement methods were developed: 1) Modified NH-2 electronic push-pull force gauge (2 N range, 0.001 N resolution) with a 5.5 cm metal target and 3D-printed bracket; 2) Pendulum thrust meter using an eddy current displacement sensor (2 mV/μm sensitivity) to measure small displacements, with force analysis under small angles (<10°); 3) Thrust calculation based on resonant cavity gas temperature (measured by WRe26 thermocouple, 0−1800 ℃ range) using adiabatic process and ideal gas equations; 4) Thrust calculation based on resonant cavity pressure (measured by a precision pressure gauge) via derived formulas. Experiments used a 1500 W 2.45 GHz magnetron microwave source with helium as the working fluid, conducted under cold gas (microwave off) and discharge (microwave on) conditions.
In cold gas experiments, thrust increased almost linearly with helium flow; push-pull force gauge and pendulum data were highly consistent, while temperature- and pressure-based calculated values were higher. In discharge experiments, thrust still increased with flow (though slower at high flow), specific impulse remained stable (with a slight drop at high flow), and temperature- and pressure-based values showed better consistency. All four methods performed well within the 0−600 mN thrust range, with indirect methods consistent with direct measurements.
The four methods effectively solve the spatial constraint issue. Direct measurements (push-pull force gauge, pendulum) are effective, and indirect calculations (temperature, pressure) are feasible. The modular design is particularly suitable for CubeSats, providing reliable, low-cost, and easy-to-implement solutions for micro thruster performance verification and optimization, with promising application prospects.
2025,
37: 124001.
doi: 10.11884/HPLPB202537.250114
Abstract:
Background Purpose Methods Results Conclusions
Neutral beam injection (NBI) systems are critical to fusion research and require precise control and monitoring of negative ion sources. Existing solutions often have limitations in terms of development efficiency and adaptability.
This study aims to design and implement a cost-effective, highly scalable NBI control and monitoring system for negative ion sources. The system is specifically designed to address the inherent issues of traditional NI-PXIe hardware and LabVIEW-FPGA architectures, such as lengthy development cycles, high hardware costs, and limited scalability.
A modular control solution is proposed, utilizing a domestically produced PXIe platform, a Linux real-time system, and the Qt5.9 framework. By replacing imported components with locally sourced hardware and leveraging optimizations in the Linux real-time kernel, precise control is achieved. A multi-threaded control program is developed using C++ object-oriented programming to enhance system flexibility and overcome scalability limitations.
Experimental verification confirmed that the system achieved microsecond-level synchronisation accuracy. Compared with traditional methods, this solution has significant advantages in scalability and control accuracy, meeting all experimental requirements for time-sensitive operations in negative ion source NBI.
The Qt-based system successfully addresses the limitations of traditional NBI control architectures in terms of cost and scalability. By adopting localized hardware, Linux real-time system, and modular C++ design, the system provides reliable performance for complex ion source experiments. This approach establishes a flexible framework that can adapt to further enhancements in future NBI systems.
2025,
37: 124002.
doi: 10.11884/HPLPB202537.250161
Abstract:
Background Purpose Methods Results Conclusions
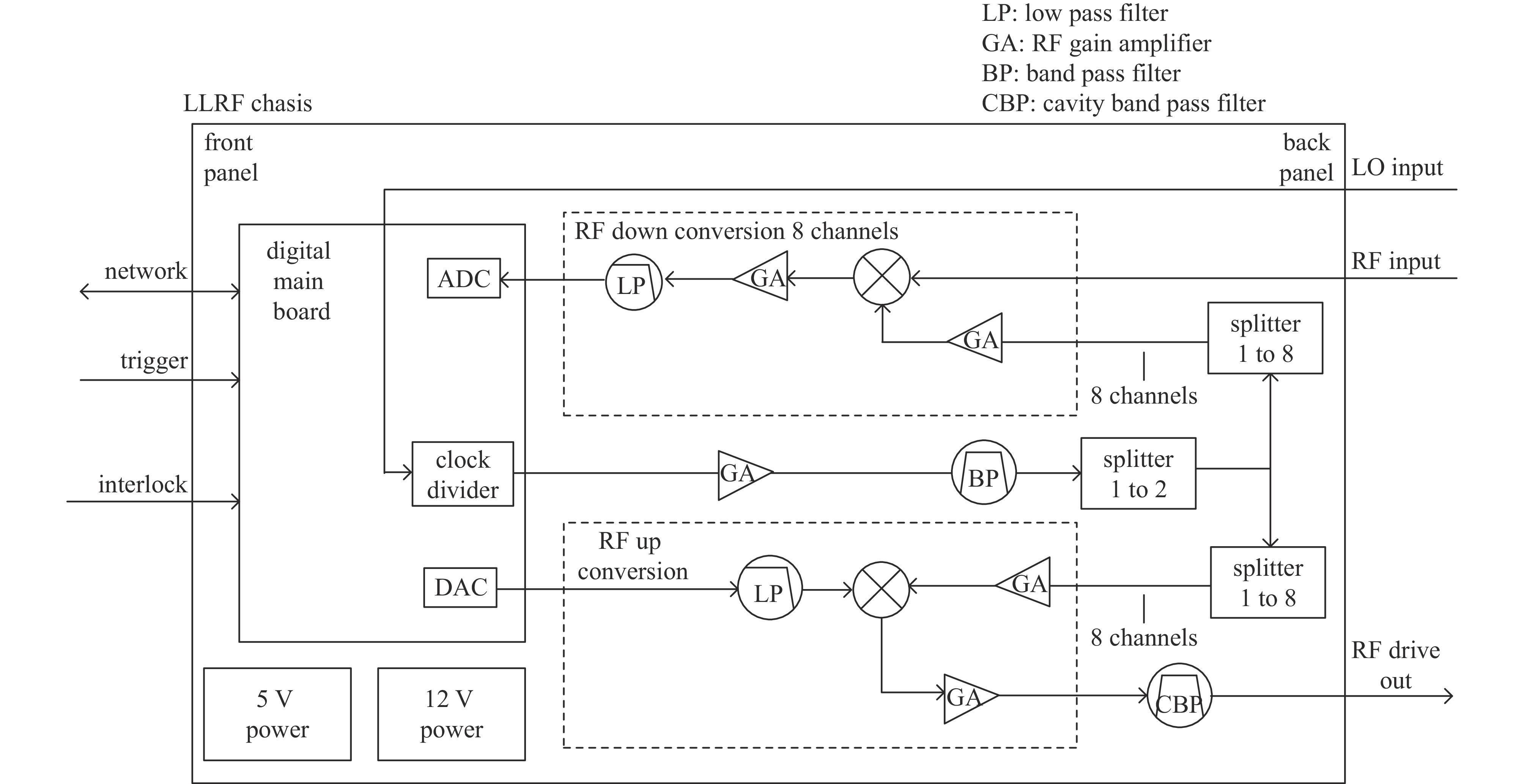
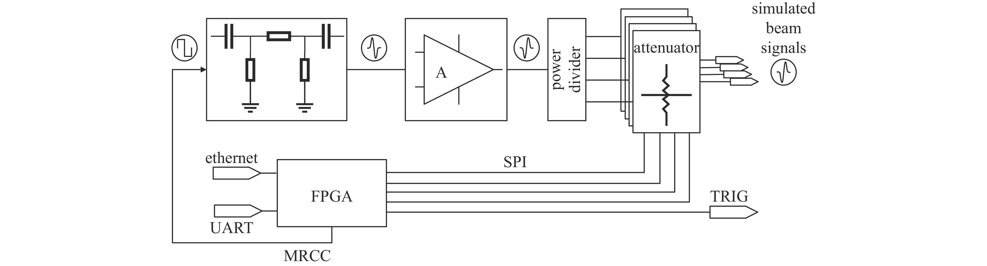
The fast orbit feedback (FOFB) system of the high energy photon source (HEPS) has been developed for the beam orbit control in its storage ring. It mainly consists of beam position monitors (BPMs), the algorithms of fast orbit controller (FOC) and fast correction units. To support HEPS commissioning, we have developed a high-performance signal generator to complete the simulation of beam signals.
The developed signal source includes four output ports with independently adjustable signal amplitudes and synchronous triggers. Its goal is to simulate the timing signals, and enable the simulation output of BPM signals under real beam conditions in the laboratory without beam, with the advantages of simple structure, low cost and high repeatability.
The core of the signal source is an FPGA board. Firstly, a 250 MHz clock signal with a 25% duty cycle was generated by the PLL and directly routed through the MRCC pin. After completing the impedance matching, the RF signal was processed via differential circuit to obtain the required simulated beam signals. Then, the required signals were amplified using the RF amplifier. After the 1∶4 power division, beam signals with four adjustable amplitudes output channels were finally acquired. The trigger signal was supplied directly from the FPGA I/O pins configured for LVCMOS33 operation at 3.3 V, to meet the required LVTTL of BPM electronics.
Based on the beam current characteristics of the HEPS storage ring, we tested the beam signal simulation performance of HEPS storage ring with a frequency of 220 kHz and different patterns during the experiment. In addition, the simulation performance of the single trigger signal and BEPCII collision zone with a frequency of 1.21 MHz has also been tested. The test results showed that the developed signal source could simulate the beam signal well and meet the design requirements. Then, we tested the pattern dependence of HEPS BPM electronics with this signal source. The results showed that there was no pattern dependence effect in the HEPS BPM electronics used in this experiment.
This signal generator could be used to assist in the logical design and correctness of DBPM, to debug the data transmission and control logic between the DBPM and FOFB, and to test the latency of the FOFB system. Based on this system, the debugging difficulty of BPM and FOFB systems could be reduced and accelerate the deployment of the FOFB system.
2025,
37: 124003.
doi: 10.11884/HPLPB202537.250023
Abstract:
Background Purpose Method Result Conclusions
Shenzhen Superconducting Soft X-Ray Free Electron Laser (S3FEL) is a facility newly proposed by Institute of Advanced Science Facilities, Shenzhen (IASF). The linear accelerator based on a TESLA-type superconducting RF cavity is used to obtain a high-repetition-frequency and high-gradient field. The cryomodule is the most challenging core part of the S3FEL device and ultra-high vacuum differential system is located at the module beam pipe outlet, which is used to realize the transition from cryomodule to ambient temperature section. The vacuum interlock protection is required for the differential system to protect the superconducting RF cavity in cryomodule from emergencies.
This study aims to analyze the transient process of rapid protection.
The traditional fast closing valve protection process is only calculated according to the gas molecular rate. In this paper, the finite element method and the Monte Carlo method are used in this paper.
The transient pressure distribution results of sensor-fast closing valve section show that setting the sensor 8—10 m away from the fast closing valve can provide sufficient buffer reaction time.
The differential system analyses show that the pressure here reaches 10−5 Pa within 2 s when the gate valve is completely closed, corresponding to a leakage size of 0.5 mm, which still maintains a high-vacuum environment and meets the working requirements of ion pumps. This work provides an important theoretical basis for the S3FEL.
2025,
37: 124004.
doi: 10.11884/HPLPB202537.250263
Abstract:
Background Purpose Methods Results Conclusions
High-resolution industrial computed tomography (CT) is crucial for the non-destructive testing (NDT) of critical components, particularly in the aerospace industry where high-density materials are common. The Rhodotron accelerator, with its micro-focus capability, offers a hardware advantage for achieving high spatial resolution over traditional linear accelerators. However, its potential is severely hampered when inspecting large, high-density workpieces. The strong X-ray attenuation leads to projection data with a very low signal-to-noise ratio (SNR), causing conventional reconstruction algorithms to either produce noisy images or oversmooth critical details, thereby limiting the system’s effective resolution.
This study aims to develop and validate a reconstruction algorithm capable of overcoming the low-SNR challenge inherent in Rhodotron CT scans of high-density objects. The primary objective is to achieve high-resolution, high-fidelity image reconstruction that effectively suppresses noise while preserving the fine structural edges essential for accurate defect detection.
A novel iterative algorithm, termed Projection Onto Convex Sets regularized by Bilateral Total Variation (POCS-BTV), is proposed. The algorithm integrates BTV, a regularizer known for its superior edge-preservation properties, into the POCS framework to constrain the solution during iterations. The performance of POCS-BTV was evaluated against the Simultaneous Iterative Reconstruction Technique (SIRT), POCS-TV, and POCS-RTV algorithms. The evaluation involved two stages: a simulation experiment using a Shepp-Logan phantom with added Poisson-Gaussian noise to mimic low-SNR conditions, and a physical experiment using a 70 mm diameter high-strength steel wire rope phantom scanned by a 9 MeV Rhodotron accelerator CT system.
In the simulation experiment, the POCS-BTV algorithm demonstrated superior quantitative performance, achieving a Peak Signal-to-Noise Ratio (PSNR) of 30.76 and a Structural Similarity Index (SSIM) of 0.8405 , which were significantly better than the comparison algorithms. In the real data experiment, visual analysis of the reconstructed images showed that POCS-BTV successfully resolved the fine gaps between individual steel wires. This was in stark contrast to other methods, which suffered from structural aliasing and blurred edges due to noise.
The POCS-BTV algorithm effectively unlocks the high-resolution potential of the Rhodotron accelerator hardware, even in challenging low-SNR scenarios. By achieving an optimal balance between noise suppression and detail preservation, it provides a robust and reliable solution for the precision NDT of critical high-density industrial components, demonstrating significant value for practical engineering applications.
2025,
37: 124005.
doi: 10.11884/HPLPB202537.250186
Abstract:
Background Purpose Methods Results Conclusions
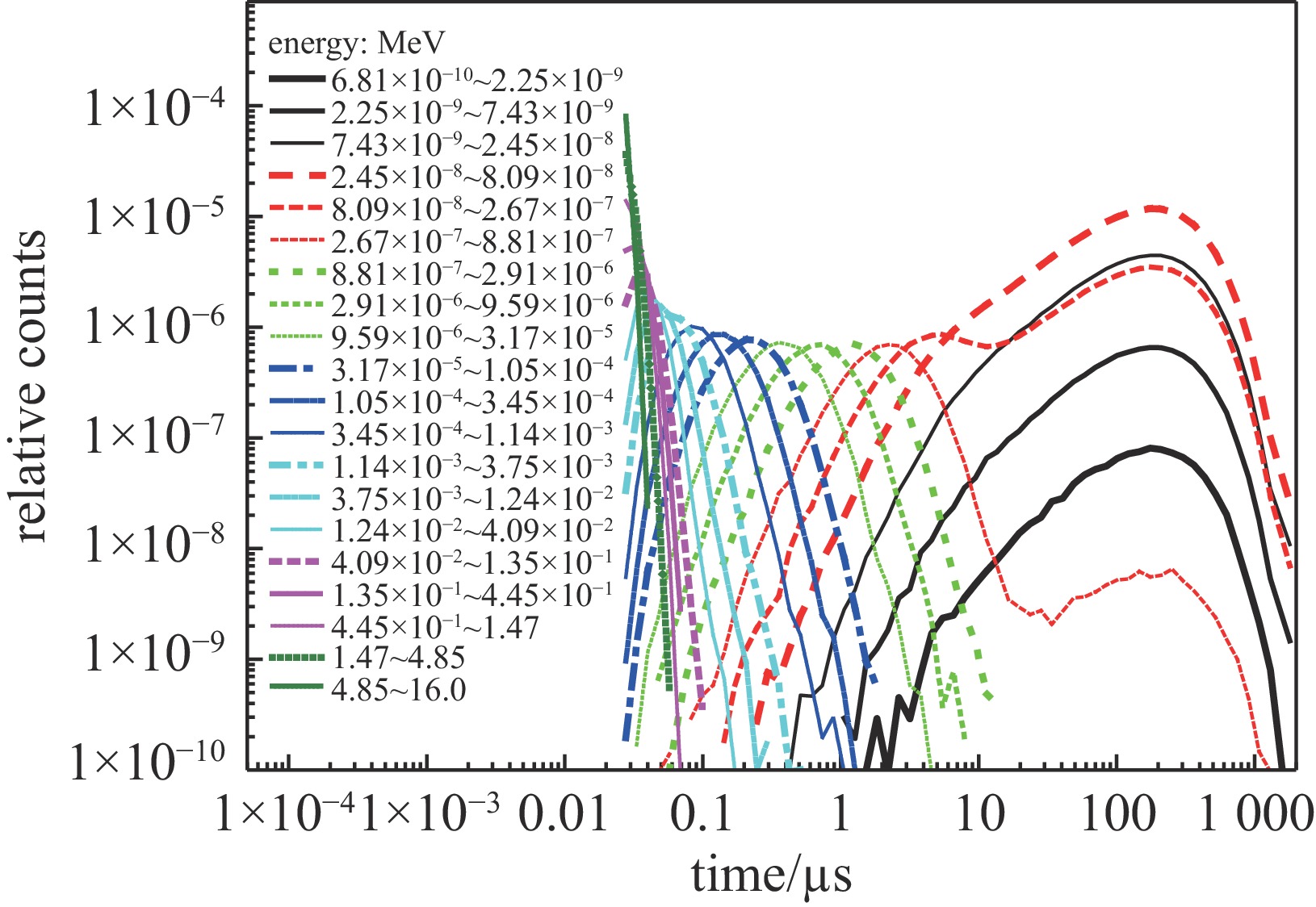
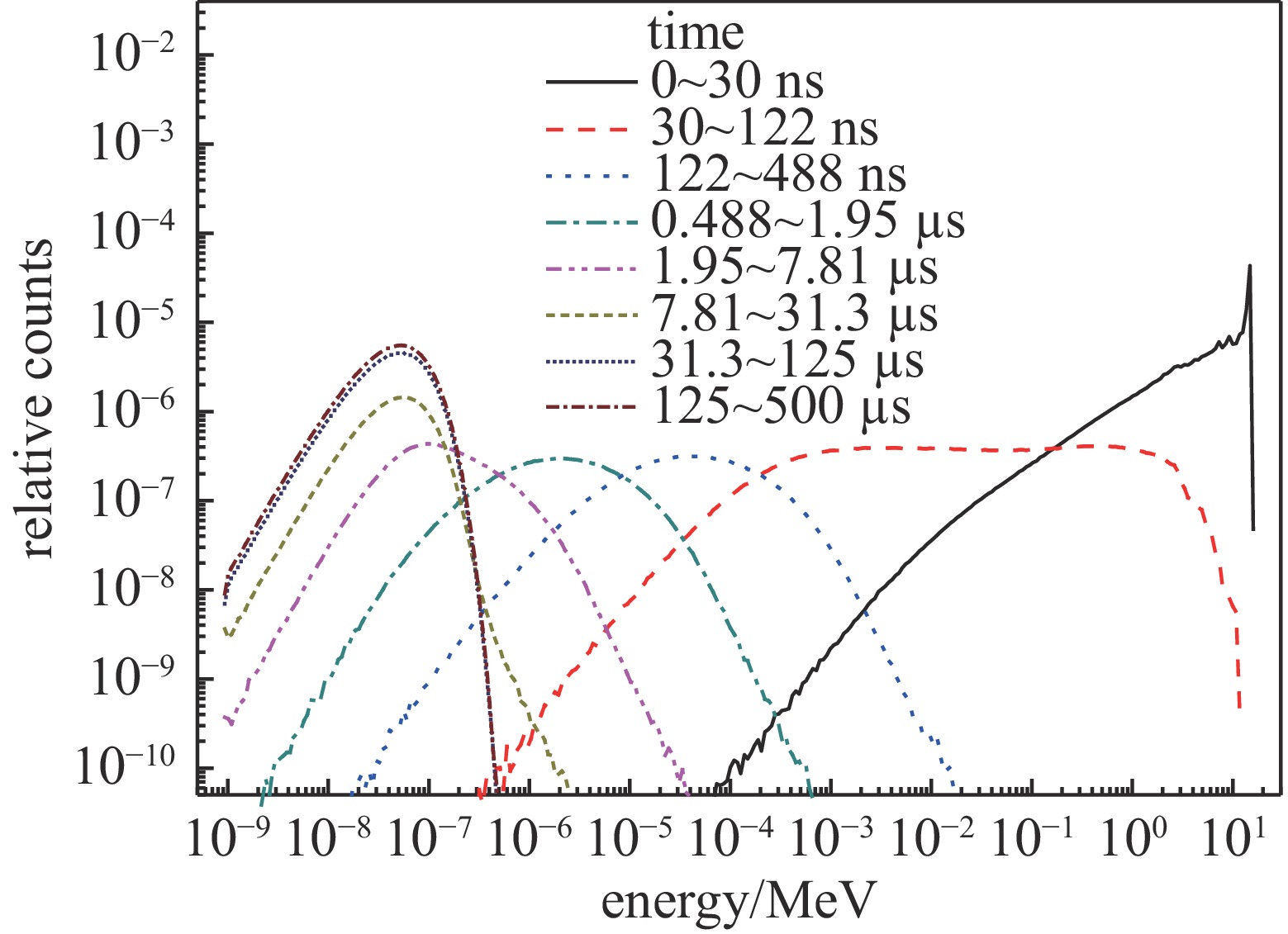
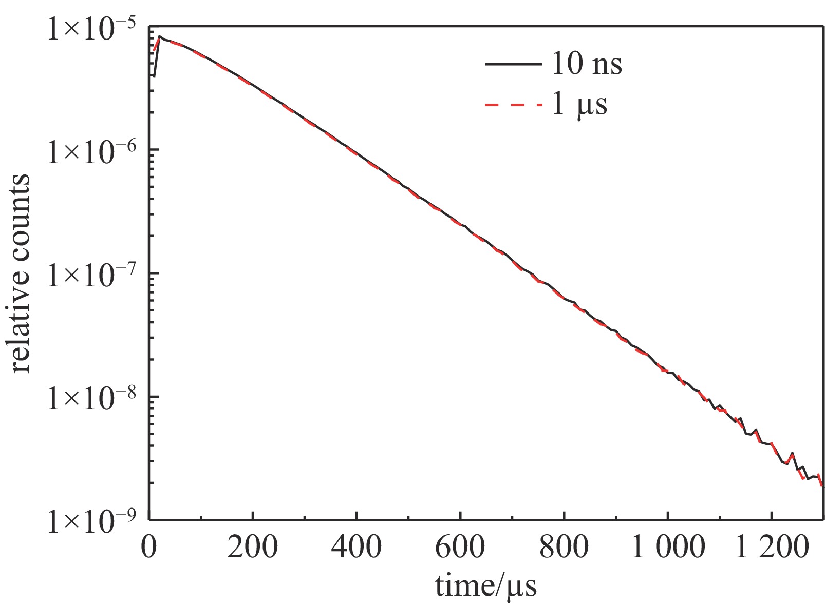
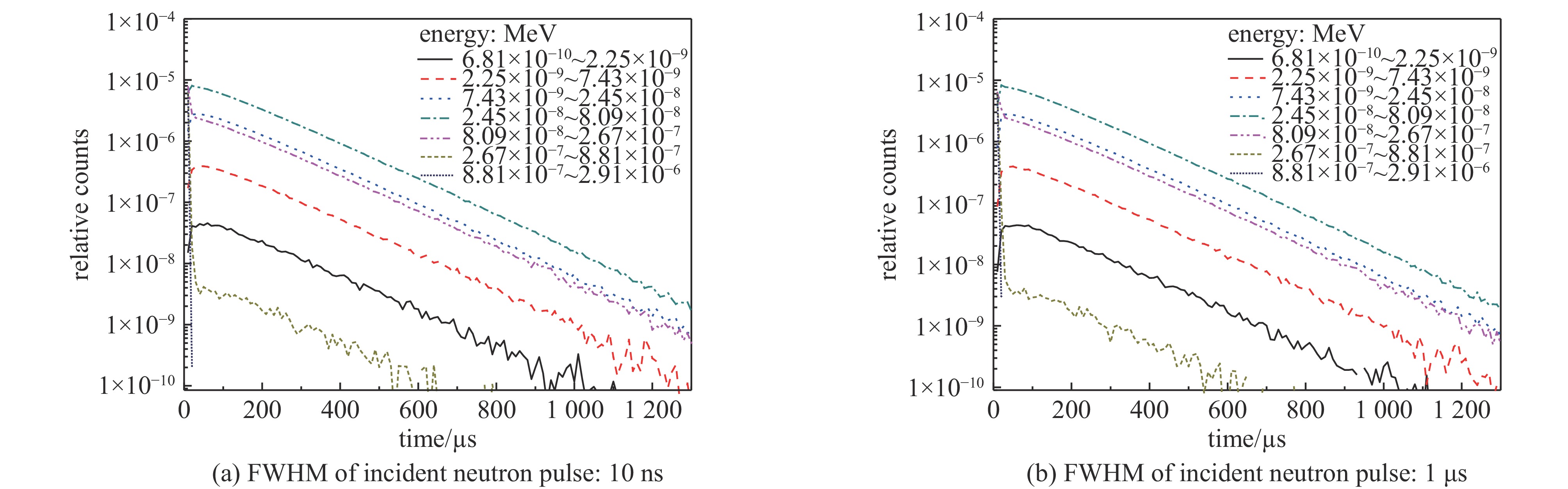
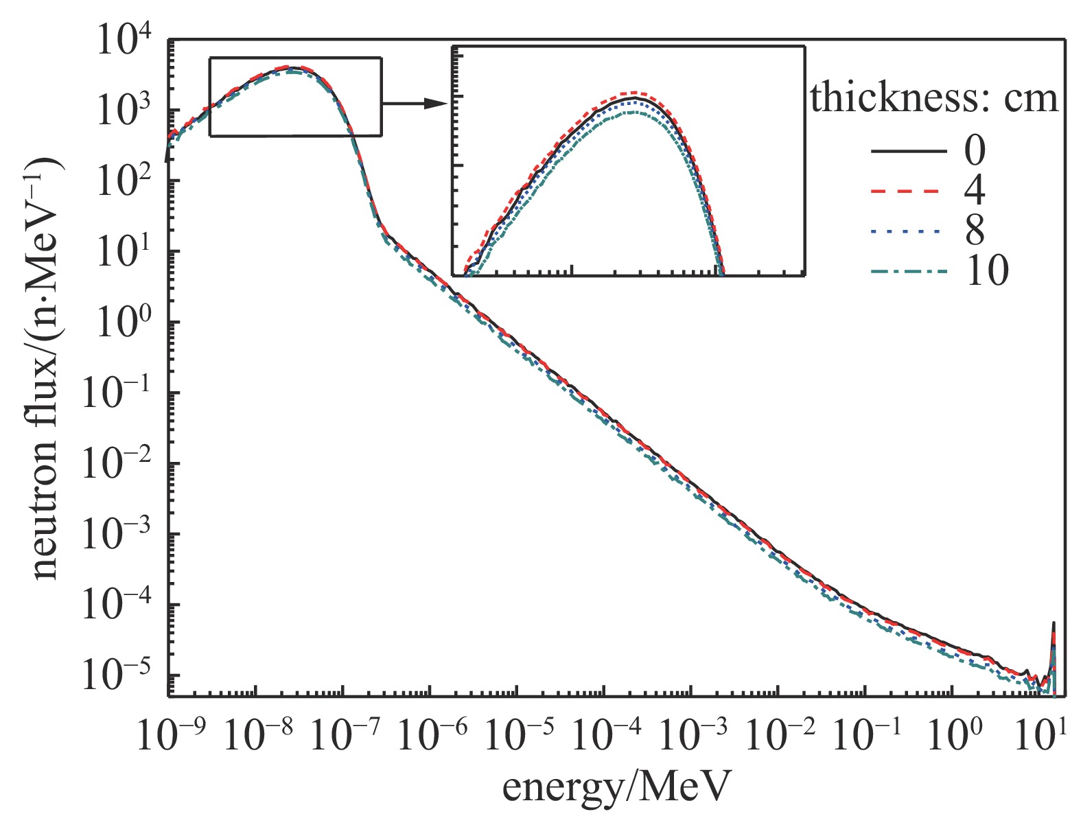
The long counters are widely applied among various types of neutron sources.
In this work, neutron spectra in the long counters are specifically studied, in order to obtain a better understanding of the influences on the detection efficiency due to the size of moderators.
According to the basic structure of long counters, a simple model is built to systematically simulate the spectrum and time distribution of neutrons entering the proportional counter tube from a pulsed fast neutron source.
The calculated results show that the evolution of the neutron spectrum is rapid at first, and becomes slower later. After 31 μs, the neutron spectrum almost no longer changes. The time distribution is different for neutrons of different energy. The lower the energy, the wider the distribution. For the energy of thermal neutrons, the time lasts more than 1 m s. Utilizing the time distribution of different energy, the change of counts of the long counter over time is calculated.
Basically, the flux and spectra of neutrons which enter the long counters do not change with the variation of the moderator radius when it exceeds 20 cm. This result can provide a reference for the optimal design of the long counter.
2025,
37: 124006.
doi: 10.11884/HPLPB202537.250175
Abstract:
Background Purpose Methods Results Conclusions
The very-high-frequency (VHF) photocathode electron gun operates in continuous-wave mode and serves as a critical electron source for generating high-repetition-rate, high-quality electron beams. It is widely used in advanced scientific facilities such as X-ray free-electron lasers and ultrafast electron diffraction systems. However, during operation, resonant frequency shifts caused by variations in feed power and cooling water temperature can destabilize the radio-frequency (RF) field inside the cavity.
This study aims to achieve stable amplitude and phase control of the RF field in a VHF electron gun under high-power continuous-wave operation by accurately tracking and tuning the resonant frequency of the cavity in real time.
Based on an LCR oscillator circuit model, the phase difference between the cavity-sampled microwave and the incident wave was analyzed to determine the cavity's resonant frequency. A three-step tuning strategy—comprising frequency scanning, frequency tracking, and active tuning—was implemented and applied to a VHF electron gun at Tsinghua University.
Using the proposed tuning method, the electron gun maintained resonance during high-power operation, with a resonant frequency deviation controlled at an RMS value of 94.2 Hz under full power. The amplitude stability at the microwave sampling port reached an RMS value of 0.0046 %, and the phase-locking accuracy achieved an RMS value of 0.0023 °. These results enabled long-term, stable full-power operation of the electron gun.
The developed three-step active tuning method effectively ensures high amplitude and phase stability for the VHF photocathode electron gun under continuous-wave operation, providing a reliable tuning solution for high-repetition-rate accelerator-based light sources and scientific instruments.
2025,
37: 125001.
doi: 10.11884/HPLPB202537.250210
Abstract:
Background Purpose Methods Results Conclusions
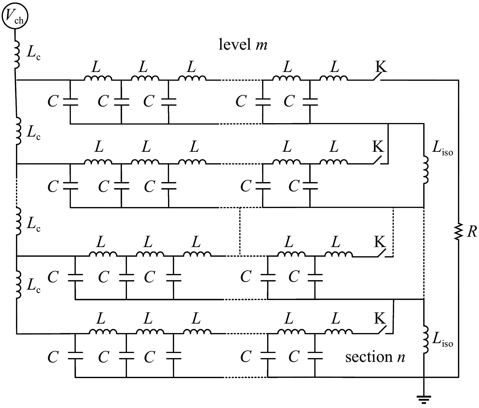
In recent years, the development of wound-type mica paper capacitors has significantly enhanced their operating voltage and energy density, and they remain highly reliable, showing potential for improving the overall energy storage density of PFN (pulse forming line)-Marx generators.
The lifetime of the capacitor is a crucial factor in ensuring system reliability. The lifetime of the mica paper capacitor reaches up to 100,000 times, meeting the requirements of highly compact pulse power drivers. However, the lifetime characteristics of this capacitor remain unclear, and its optimal operating conditions have not been well-defined.
In this paper, an investigation into the lifetime characteristics of mica paper capacitors under microsecond pulses is presented. First, the structure of the capacitor is analyzed in detail. Subsequently, numerical simulations of the electrical and thermal fields are carried out to further study its characteristics. To accurately test the mica paper capacitors, a lifetime test platform that can operate stably over an extended period was constructed.
Through the utilization of this platform, the electrical degradation parameters and the failure mechanisms of the mica paper capacitors are obtained and analyzed. Based on the test data, the lifetime empirical model of mica capacitors under given operating conditions is modified.
The results of the experiments and calculations of the lifetime empirical model indicate that the model aligns well with the experimental results. This work contributes to the lifetime prediction of mica capacitors and provides the design reference for system devices using mica capacitor under microsecond pulses.
2025,
37: 129001.
doi: 10.11884/HPLPB202537.250071
Abstract:
Background Purpose Methods Results Conclusions
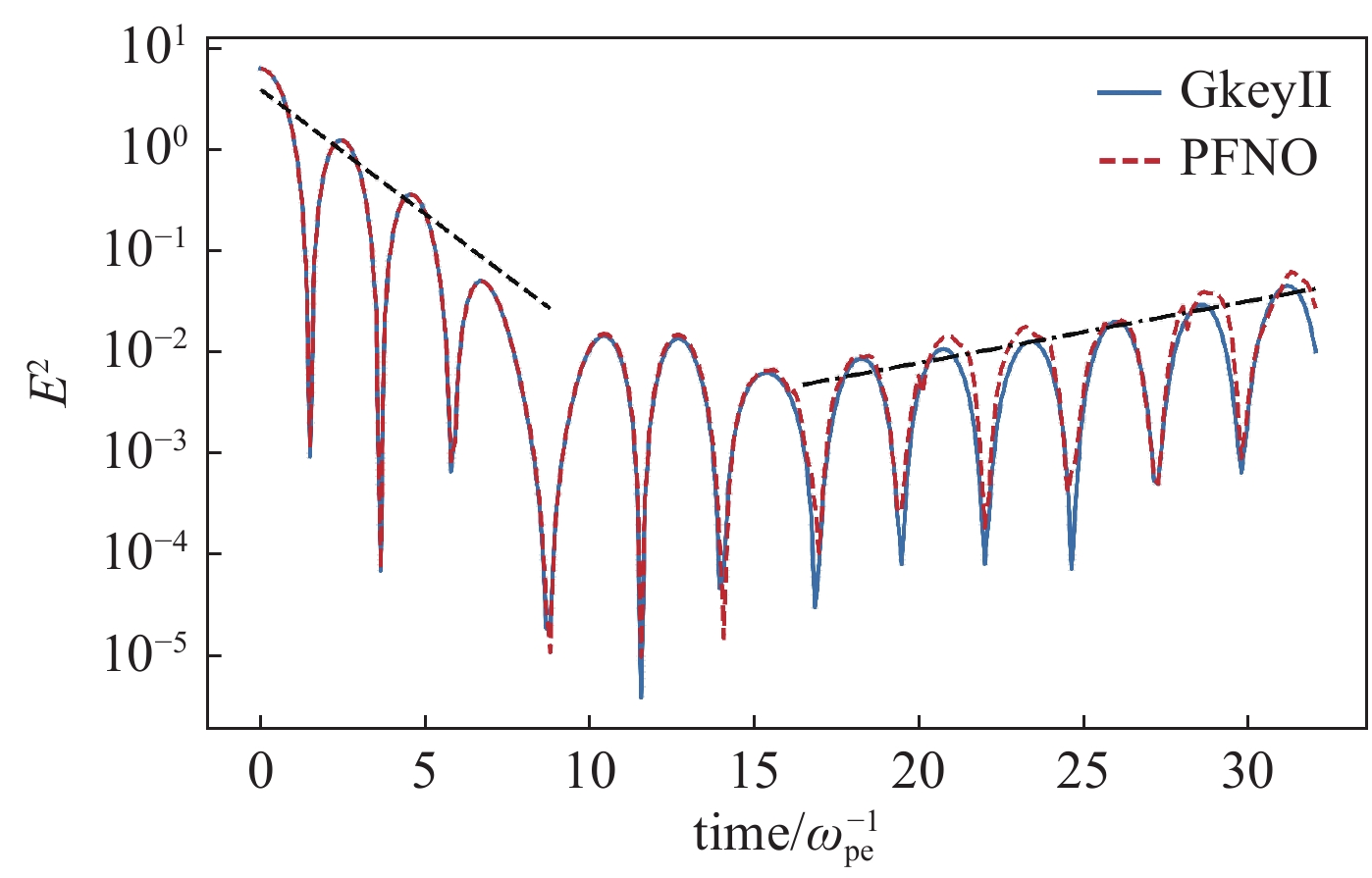
The Vlasov equation is a cornerstone in plasma physics, governing the evolution of distribution functions in high-temperature, collisionless plasmas. Conventional numerical methods, including Eulerian and Lagrangian approaches, often encounter severe computational challenges due to the rapid increase in cost with fine grid resolutions and the curse of dimensionality. These limitations restrict their effectiveness in large-scale kinetic plasma simulations needed in fusion research and space plasma studies.
This work aims to develop an efficient and scalable computational framework for solving the Vlasov equation that mitigates the drawbacks of traditional methods. The study particularly addresses the need for maintaining accuracy and physical consistency while significantly reducing computational costs in high-dimensional simulations. An approach based on the physics-informed Fourier neural operator (PFNO) is introduced.
The method integrates the high-dimensional function mapping ability of the fourier neural operator with the physical constraints of the Vlasov equation. A physics-informed loss function is constructed to enforce mass, momentum, and energy conservation laws. The framework was evaluated through benchmark tests against finite element and spectral solvers, and its parallel performance was assessed on large-scale computing platforms.
The PFNO approach demonstrates accuracy comparable to conventional solvers while achieving computational efficiency improvements of one to two orders of magnitude. The method shows strong generalization under sparse-data conditions, exhibits grid independence, and scales effectively in parallel computing environments, enabling efficient treatment of high-dimensional plasma dynamics. The study presents a novel paradigm for solving high-dimensional Vlasov equations by combining deep learning operators with physical principles.
The PFNO framework enhances efficiency without sacrificing physical accuracy, making it a promising tool for applications in inertial confinement fusion, astrophysical plasma modeling, and space plasma simulations. Future research directions include extension to multi-species and relativistic plasma systems.
2025,
37: 129002.
doi: 10.11884/HPLPB202537.250197
Abstract:
Background Purpose Methods Results Conclusions
The ion source system for DC high-voltage accelerators operates at megavolt-level high-potential platforms, where wired communication media such as optical fibers face the risk of dielectric breakdown in compact applications due to voltage withstand constraints.
To address this, a prototype of an ion source control and acquisition system based on wireless optical communication (WOC) is designed.
For the analog control and acquisition requirements of high-voltage power supplies, RF power sources, and mass flow controllers in the 2.5 MV DC high-voltage accelerator’s inductively coupled plasma (ICP) ion source system, differential-input analog-to-digital conversion (ADC) is adopted to sample raw control and acquisition signals. After digital processing, signals are transmitted via WOC. The optical signals are converted via photoelectric conversion, then reconstructed into original analog signals through digital-to-analog conversion (DAC) and amplification circuits. In this design, a ZYNQ-based digital processing platform coordinates the acquisition, transmission, and reconstruction processes, which enables ADC/DAC data interaction and stable Ethernet optical communication, ensuring the overall integrity of the wireless optical control system.
An offline test platform verified that the designed WOC system can stably control the relevant equipment in the DC high-voltage accelerator ion source system. The transmission accuracy remained within the 1.5% deviation requirement, and the link operated reliably over long durations.
Experimental results indicate that the WOC system meets the technical requirements of the BNCT project and is feasible for application in the 2.5 MV DC high-voltage accelerator ion source system.
2025,
37: 121001.
doi: 10.11884/HPLPB202537.250139
Abstract:
As a strategic material for lightweight design, aluminum alloys occupy an important position in the fields of marine equipment, aerospace, and transportation due to their low specific gravity, corrosion resistance, and good low-temperature properties. It is worth noting that surface wettability, as a key interface parameter for the functionalization of aluminum alloys, directly affects their engineering service performance. In recent years, surface wettability control technology based on laser texturing has broken through the limitations of traditional chemical modification and provided new ideas for the functionalization of aluminum alloy surfaces. This article systematically explains the basic theoretical system of wettability, including the Young model, the Wenzel model, and the Cassie-Baxter model, and analyzes the differences in the application of ultrashort pulse lasers and long pulse laser systems in the construction of biomimetic functionalization of aluminum alloy surfaces. Among them, ultrashort pulse lasers (femtosecond/picosecond) can achieve submicron-level precision texturing due to their extremely short pulse width and ultra-high peak power, while long pulse lasers have advantages in large-area processing efficiency. Research has shown that these functionalized surfaces exhibit significant advantages in areas such as surface self-cleaning, low-temperature anti-icing, Cl− corrosion resistance, efficient boiling heat transfer, bonding, and microfluidics. However, their practical application is still limited by key technical bottlenecks such as wetting stability degradation and insufficient environmental tolerance.
As a strategic material for lightweight design, aluminum alloys occupy an important position in the fields of marine equipment, aerospace, and transportation due to their low specific gravity, corrosion resistance, and good low-temperature properties. It is worth noting that surface wettability, as a key interface parameter for the functionalization of aluminum alloys, directly affects their engineering service performance. In recent years, surface wettability control technology based on laser texturing has broken through the limitations of traditional chemical modification and provided new ideas for the functionalization of aluminum alloy surfaces. This article systematically explains the basic theoretical system of wettability, including the Young model, the Wenzel model, and the Cassie-Baxter model, and analyzes the differences in the application of ultrashort pulse lasers and long pulse laser systems in the construction of biomimetic functionalization of aluminum alloy surfaces. Among them, ultrashort pulse lasers (femtosecond/picosecond) can achieve submicron-level precision texturing due to their extremely short pulse width and ultra-high peak power, while long pulse lasers have advantages in large-area processing efficiency. Research has shown that these functionalized surfaces exhibit significant advantages in areas such as surface self-cleaning, low-temperature anti-icing, Cl− corrosion resistance, efficient boiling heat transfer, bonding, and microfluidics. However, their practical application is still limited by key technical bottlenecks such as wetting stability degradation and insufficient environmental tolerance.
2025,
37: 123006.
doi: 10.11884/HPLPB202537.250183
Abstract:
Background Purpose Methods Results Conclusions
Gyrotron traveling-wave tubes (gyro-TWTs) hold significant potential for applications in millimeter-wave radar, communications, electronic countermeasures, and deep-space exploration.
This paper investigates the high-frequency interaction circuit of a gyro-TWT operating in the Q-band under third-harmonic conditions. With an operational magnetic field of approximately 0.6 T, achievable using conventional solenoid magnets, this design overcomes the limitations associated with superconducting magnets. Furthermore, the adoption of a large-orbit electron beam for interaction addresses the low efficiency inherent in small-orbit electron beams under high-harmonic operation. The interaction structure employs a five-fold helical corrugated waveguide, which not only enhances interaction bandwidth but also effectively suppresses mode competition.
The impedance perturbation method and coupled-wave equations are used.
The transmission coupling characteristics of the five-fold Q-band helical waveguide have been derived.
The mode coupling mechanisms have been analyzed, and the dispersion equation has been formulated, yielding the dispersion curve of the waveguide. Analysis of the dispersion properties reveals the existence of three eigenmodes. Mode 1 is largely decoupled from Modes 2 and 3. Mode 1 has been selected as the operational mode, as it exhibits broad tangential interaction with the electron beam mode within the 42–47 GHz frequency range. This feature significantly extends the interaction bandwidth while simultaneously suppressing mode competition.
2025,
37: 124007.
doi: 10.11884/HPLPB202537.250124
Abstract:
Background Purpose Methods Results Conclusions
The china spallation neutron source (CSNS) is a high-current proton accelerator, which relies on its beam loss monitor (BLM) system for critical roles in equipment machine protection and residual activation dose control; in CSNS Phase I, the BLM system adopted NI’s PXIe-6358 acquisition card combined with self-developed front-end analog electronics, while the rapid cycling synchrotron (RCS) of CSNS-II requires an upgraded and fully localized BLM system to meet enhanced operational demands.
This study aims to develop a novel ZYNQ-based BLM electronics system to replace the existing NI data acquisition system in CSNS-II RCS, realizing comprehensive functions including beam loss signal acquisition, gain control, Machine Protection Signal (MPS) output, and EPICS PV publishing.
The system comprises custom-developed components: a 19-inch 3U chassis with a dedicated backplane bus, 3 kV low-ripple high-voltage power modules, front-end analog boards, and digital acquisition boards based on the ZYNQ7020 system-on-chip (SOC) integrated with AD7060 and LTC2668, along with developed Linux drivers (including an AXI-DMA-based ADC driver and an AXI-GPIO-based gain control driver) and EPICS IOC software; it was subjected to laboratory functional tests using 25 Hz, 50 μs–1 ms pulse signals to simulate ion chamber outputs and on-beam tests at the RCS local station.
Laboratory tests validated key functions such as external trigger waveform acquisition, gain control, MPS threshold output, and background subtraction, while on-beam tests at the RCS local station clearly captured beam loss signals and extraction interference signals, with the system achieving 100% localization and meeting all engineering specifications.
In conclusion, the ZYNQ-based BLM system has completed the development of core components and demonstrated full functionality, enabling it to effectively replace the existing NI acquisition system and making it well-suited for beam loss measurement in CSNS-II.
2025,
37: 125002.
doi: 10.11884/HPLPB202537.250122
Abstract:
Background Purpose Methods Results Conclusions
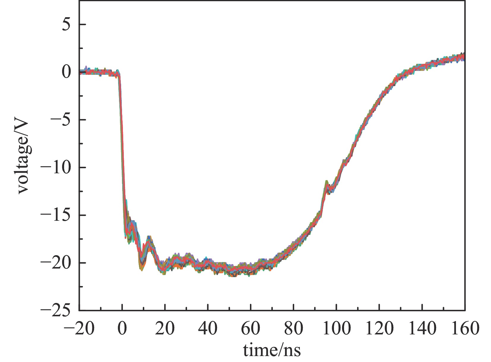
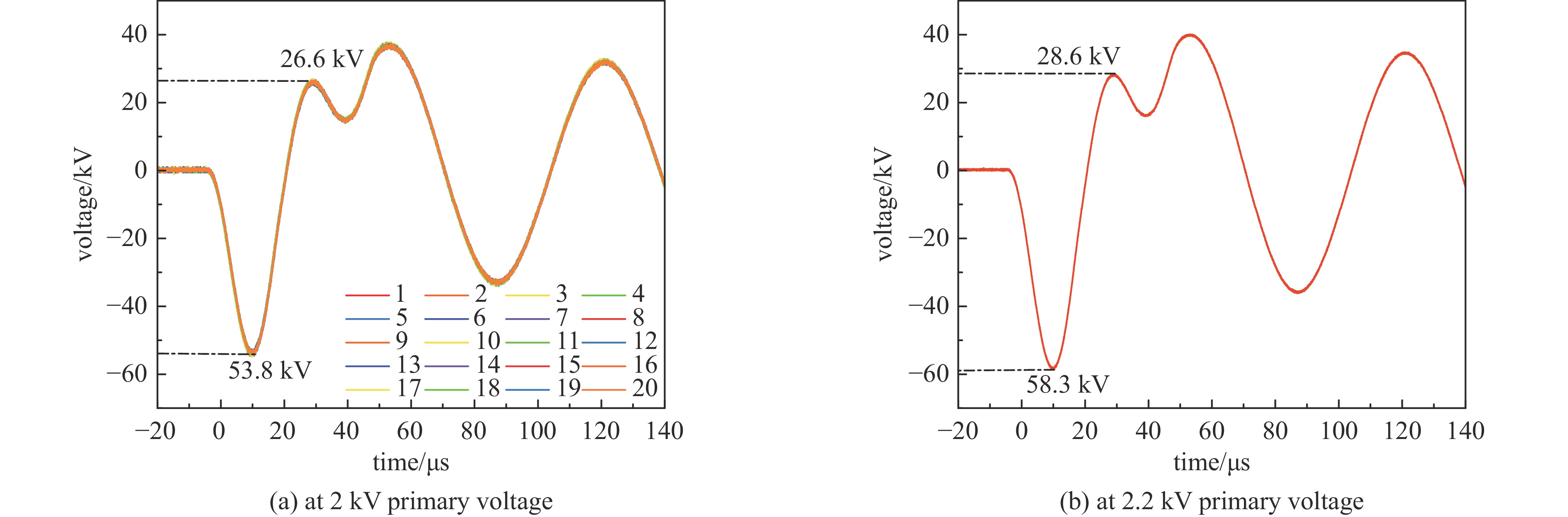
Pulse drive sources are critical components of high-power microwave systems. Existing drive sources based on Tesla+PFL or LTD technology offer good waveform quality but are limited by their large size and weight. PFN-Marx technology sequentially stacks voltages during pulse discharge, which requires relatively low insulation and makes it an ideal technical approach for drive source miniaturization. However, current PFN-Marx-based drive sources struggle to balance compact structural design with output waveform quality.
This study aims to design a compact high-power pulse drive source based on PFN-Marx technology to meet the requirements of a specific high-power microwave system.
To achieve this goal, a 7-stage unipolar pulse charging PFN-Marx generator is employed, with a high-power constant-current charging power supply powered by lithium batteries used to charge the primary capacitor of the Tesla transformer. The PFN modules are designed with identical charging loop inductors to ensure synchronized pulse charging waveforms, and their modular structure allows for flexible scalability. Additionally, the air-core Tesla transformer (with a coupling coefficient greater than 0.8) is integrated with the PFN-Marx within a high-voltage chamber filled with SF6 gas to ensure insulation.
The results show that the drive source outputs a single pulse energy of 45.6 J, and can output a quasi-square wave pulse at a 75 Ω load, with an amplitude of −189.2 kV, a pulse width of 93.2 ns, a rise time of 8.4 ns, and a peak power of 477 MW. The lithium-ion battery charging and control power supply has dimensions of 482 mm×443 mm×177 mm and weighs 12.6 kg; the integrated Tesla transformer and PFN-Marx generator have dimensions of ϕ370 mm×848 mm and weigh 28.7 kg. At a repetition rate of 5 Hz, the average output voltage is −183.4 kV, with a voltage dispersion of 4.1%.
Therefore, this compact PFN-Marx-based pulse drive source achieves both miniaturization and high-quality waveform output, laying the foundation for the development of higher-power and higher-performance compact pulse drive sources.
2025,
37: 126001.
doi: 10.11884/HPLPB202537.250157
Abstract:
Background Purpose Methods Results Conclusions
The assessment of gamma radiation dose released by strong explosions is an important direction in the research of nuclear emergency protection systems. Traditional research has mostly focused on dose assessment of prompt gamma radiation (with a duration of less that 1 μs), while delayed gamma radiation (on the second timescale) is often overlooked due to time delay.
This article focuses on the study of the delayed gamma dose released by fission products after a strong explosion within 0.2–0.5 s, as well as the secondary gamma dose generated by neutron leakage, with the aim of systematically evaluating their radiation hazards in the near to medium range.
Based on Monte Carlo (MC) method, a three-dimensional full-scale model coupling strong explosive source term atmospheric transport surface activation was constructed, and a dynamic dose assessment framework based on MC multi-step calculation was proposed. By modifying the importance card method, the variance of the simulation results at medium to close distances was effectively reduced, and a detailed comparison was made between the changing trends of delayed gamma and prompt gamma doses over time and distance.
The simulation results show that within a time window of 0.2– 0.5 s: at a distance of 500 m from the explosion source, the total dose of delayed gamma radiation reaches 0.829 Gy, which is 1.88 times that of the instantaneous gamma radiation dose (0.441 Gy); At a distance of 1000 m from the explosion source, the delayed gamma dose generated by fission products alone is 0.0318 Gy, which is 7.6 times that of the instantaneous gamma dose (0.0042 Gy), indicating that the hazard of delayed gamma is significantly higher than that of instantaneous gamma at longer distances. The secondary gamma dose generated by neutron leakage decays from 0.634 Gy at 500 m to 0.0485 Gy at 1000 m.
The dynamic dose assessment framework proposed in this article effectively reveals the significant contribution of delayed gamma radiation in the early radiation field after a strong explosion, especially at a distance where its hazard far exceeds that of instantaneous gamma radiation. This study provides key data support for optimizing nuclear emergency protection strategies.
Modeling and calculation of radiation effects of high-energy rays on PCB inside a shielded enclosure
2025,
37: 126002.
doi: 10.11884/HPLPB202537.250098
Abstract:
Background Purpose Methods Results Conclusions
X/γ-ray irradiation of an electronic system shielding box will penetrate the box body, generate photoelectrons or Compton electrons on the surface layers or inside the system, and excite electromagnetic pulses. These particles or electromagnetic fields will interfere with or even damage the sensitive electronic components of the electronic system inside the box, affecting the regular operation of the electronic system.
To rapidly assess the particle and electromagnetic environment inside electronic systems under radiation exposure and enable timely protective measures that mitigate radiation-induced damage and ensure reliable operation.
We present a theoretical analysis of irradiation responses arising from two coupling mechanisms: electromagnetic pulses excited by primary particles within the cavity of a shielded enclosure and their field-to-circuit coupling to a printed circuit board (PCB), and direct multi-layer penetration coupling of ionizing radiation. Equivalent-circuit models were constructed to represent these coupling paths, and transient current responses were calculated analytically.
The transient current responses of the shielded enclosure under high-energy radiation, computed using the equivalent-circuit approach, reproduce the trends observed in published experimental measurements and exhibit approximate numerical agreement.
The results validate the proposed theoretical modeling approach, showing that analytical equivalent-circuit analysis can provide rapid, simulation-free estimates of radiation effects on electronic systems. The method can be extended to scenarios that more closely match practical applications.

Email alert
RSS
