2021年 33卷 第2期
设计了纤芯直径小—大—小变化的“纺锤形”增益光纤,利用该光纤可均衡模式不稳定和受激拉曼散射抑制的矛盾,提升光纤激光器的输出功率。基于自研的纺锤形增益光纤搭建了主振荡功率放大器(MOPA),实现了5 kW的功率输出,放大器光光效率为66.6%,拉曼散射抑制比大于45 dB,M2因子约2.0。通过优化光纤的设计,可以提升激光器的光束质量和效率。
基于小芯径、大占空比、纤芯渐变的长锥区光子晶体光纤搭建了全光纤超连续谱产生系统。使用高功率皮秒种子源泵浦,实现了314.7 W的高功率可见光超连续谱输出,光谱覆盖388~2400 nm。同时兼顾了输出高功率及短波方向的蓝移增强,是国内外公开报道的覆盖可见光的超连续谱的最高功率。
为降低半导体激光芯片的慢轴远场发散角,提高其慢轴方向的光束质量,设计了横向热流抑制的封装结构。利用热沉间的物理隔离,削弱了半导体激光芯片慢轴方向上的温度梯度,有效降低了半导体激光芯片慢轴方向的发散角。采用热分析模拟了不同封装结构下芯片发光区的温度分布,并对波长915 nm的窄条宽半导体激光芯片进行封装。实验结果表明,在工作电流15 A,封装在隔离槽长4 mm,脊宽120 μm刻槽热沉上的芯片,其慢轴远场发散角由12.25°降低至10.49°,相应的光参量积(BPP)由5.344 mm·mrad 降低至4.5763 mm·mrad,慢轴方向亮度提升了约5.5%。实验结果表明,横向热流抑制的封装结构可以有效地削弱半导体激光芯片慢轴方向上由热透镜效应引起的高阶模激射,从而降低其慢轴远场发散角。
编码结构光技术是一种获取复杂目标三维结构的典型测量技术,其将编码后的结构光图案投射到待测物体表面进行调制、采集,并通过解码计算三维面形数据,可见编码方法是结构光三维测量技术的核心问题。然而,通用的格雷码编码方法和六步相移编码方法都存在一定缺陷,为此,以获取物体的高精度三维点云数据为目标,提出了一种融合格雷码与六步相移的结构光技术。首先,将格雷码结构光设计为7幅黑白相间的条纹周期图像,并通过投射角度解码操作将图像划分为多个区域;然后,设计六步相移结构光为6幅具有相位差的余弦周期图像,通过相位解包裹操作将每个子区域细分到单个像素单元;最后,融合以上两种编码结构光解码值,计算图像内每个空间点的绝对相位信息。仿真实验与实际测试实验显示,与传统六幅莫尔条纹结构光技术相比,融合结构光技术计算量较小,同时也克服了单独使用格雷码或相移技术所存在的问题,能够以较高精度获取物体目标的三维结构细节,为基于结构光的双目三维扫描系统提供一定理论依据。
为实现高功率光纤包层光剥离器被动冷却,需要同时对光纤和封装壳体进行有效热管理。采用一种基于铁氟龙毛细管分段化学腐蚀光纤的制备技术,使用紫铜作为壳体材料,并通过有限元分析算法对壳体温度场进行仿真计算,对壳体各个结构参量进行优化分析,设计了满足500 W散热能力的包层光剥离器,并开展了实验验证。研究结果表明,采用铁氟龙管分段腐蚀法,包层光剥离比达到23.7 dB,光纤裸纤上的功率温升速率仅0.007 ℃/W。采用优化设计的壳体,在540 W功率注入下,包层光剥离器使用水冷冷板冷却可以连续出光,壳体最高温度58.7 ℃,使用相变冷板冷却可以单次安全出光50 s,壳体最高温度80 ℃。此研究结果可以为高功率光纤激光设计与研发提供重要参考。
介绍了基于紫外光侧写和相位掩模法制作双包层光纤光栅的工艺,制作了一对中心波长1080 nm的光纤光栅,测试光谱得到其反射谱带宽分别为2 nm和1 nm。采用自制的光纤光栅搭建了一个高功率光纤振荡器,得到最高502 W的激光输出,并测试了输出激光的光谱和光束质量。
通过对时间关联信号的筛选、转换和延时等方法建立了用于8 MA脉冲功率装置上Z箍缩实验中诊断设备的触发网络,其输出触发信号与被测X射线之间的时间抖动小于2 ns,满足了纳秒级的诊断时间同步要求。采用屏蔽、接地等有效措施基本消除了放电产生的强电磁环境以及其它杂散信号对触发线缆和诊断设备的干扰,保证了诊断设备的正常工作和实验数据的质量。
波导型高功率微波输能窗是高功率速调管和高能粒子加速器的关键部件,输出窗高频击穿是引起高功率速调管失效的一个重要因素。综述了国内外电真空领域波导型输能窗的研究进展,介绍了传统盒型窗的研究现状、工艺要求和击穿机理;介绍了锥型窗、行波窗、复合模窗以及过模窗等新型输能窗的设计特点,给出了改变窗片材料属性、改变窗片表面形态、窗片边缘倒角、外置直流电场/直流磁场、改变信号波形等击穿抑制技术的研究进展。
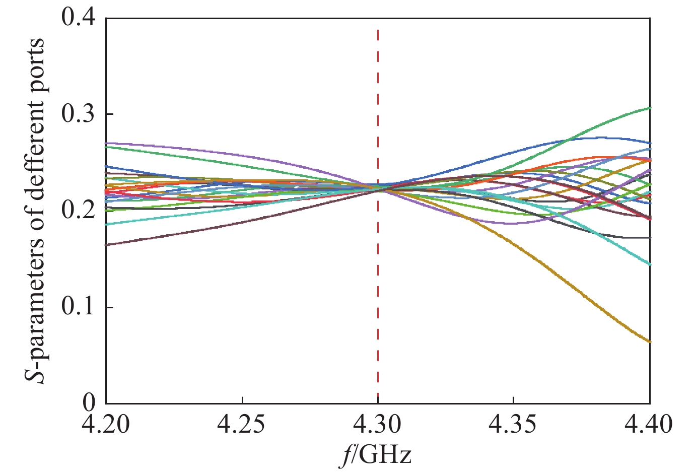
提出了一种工作在C波段的高功率平板波导螺旋阵列天线。以平板波导馈电,降低了馈电复杂性和馈电结构高度;对基本的电探针结构进行改进,通过控制扇形缝隙的圆心角大小来调整耦合量,并采用上下脊结构消除反射;设计了短螺旋天线结构,通过分离的参数分别优化轴比和反射,得到天线的轴比在−7°~7°的范围内小于0.5 dB;构建了一个20单元的直线馈电阵列,通过电探针结构从平板波导中耦合能量,实现了20单元的等幅馈电。最后仿真了一个工作在4.3 GHz,包含20×20个单元的螺旋阵列天线,结果表明:该天线的增益为31.6 dB,口径效率为74%,在4.11~4.43 GHz的频带范围内反射小于−16 dB,功率容量3.6 GW。
为研究碰撞等离子体对电磁波传输性质的影响,基于电磁波在介质中的传输特性,将等离子体作为一种特殊的介质,针对一定实验条件下的高功率微波(HPM)大气等离子体与一定范围电磁波的透射特性开展了实验、理论及仿真研究。研究发现:S波段HPM在50 Pa真空下形成的等离子体对不同频率的电磁波透射特性具有较大影响,且在一定频率范围内有规律地出现电磁波透射信号增强效应现象;获取了一系列不同频率连续电磁波穿过HPM等离子体区域的透射波形,并对波形进行了归一化处理,在32.4 GHz下,连续电磁波穿过有无等离子体区域的透射系数约有2倍的差异。建立了仿真模型,获得31.5~32.5 GHz范围内透射系数分布曲线图,穿过等离子体的电磁波出现透射增强效应,且在某些频点上出现了约1.9倍的透射增强。该研究成果为HPM大气等离子体在隐身、应急通讯、黑障通讯等方面的应用提供了重要的技术支撑。
当前我国Q/V频段的低轨卫星互联网项目正在大力开展,宽带通信正在逐步发展。而国内相关线性化技术一般局限于较窄频带,相关研究尚不成熟。因此尽快研究设计宽频带线性化器十分有必要。采用适用于空间环境的模拟预失真技术,设计出针对卫星通信所用的行波管功率放大器(TWTA)的Q波段线性化器。其利用新型微带传输结构,结合肖特基二极管,可在毫米波频段实现超宽瞬时频带的线性化。在38~43 GHz(5 GHz)的瞬时频带内对TWTA的幅度失真以及相位失真有着很好的改善。线性化器在输入功率为−17~13 dBm的范围内,频带内幅度增益约为4.8~7.2 dB,相位扩张约为70°~88°。相对其他同类型线性化器,此线性化器对应频率较高,且可在很宽的瞬时频带内对TWTA实现比较稳定的线性化。
基于功率容量和口径匹配扩展低频工作带宽两方面的考虑,设计了一种具有分布式阻抗末端加载结构的超宽带TEM喇叭天线。首先,对渐变式同轴-平板的巴伦结构进行了优化设计,扩展了馈电结构的工作带宽,提高了馈电效率;其次,对指数型TEM喇叭天线末端进行了分布式阻抗的匹配设计,其端口特性和辐射特性均得到了明显改善,并采用功率方向图和能量方向图对天线的辐射效果进行评估。实验结果表明,相对于指数型TEM喇叭天线,加载分布式阻抗匹配末端结构后,天线低频带宽展宽了330 MHz,天线主轴辐射电场峰峰值提高了10%,馈电效率提高了17%。
针对平衡滤波器的高集成度和高选择性的应用需求,基于一种新型自耦合非对称阶梯阻抗谐振器提出了一种具有高选择性的小型化三通带平衡滤波器。首先通过该平衡滤波器的差模和共模等效电路详细分析了其谐振器结构的谐振特性,并利用差模等效电路下的前三个谐振模式来分别实现三个通带。另外通过在电路对称面上加载电容和电阻元件来提高对共模噪声的抑制,且不影响差模频率响应特性。基于提出的多模平衡滤波器结构和设计方法,设计了一个通带频率为2.75/4.46/6.21 GHz的三通带平衡滤波器,并对其进行了加工和测试,结果表明,该结构可以实现紧凑的体积和高选择特性,并且具有很好的共模抑制特性。
为了进一步贴近航天器表面起电环境以得到更加可信的分析结果,针对航天器在恶劣充电环境下的表面起电问题,考虑空间等离子体双麦克斯韦分布情况,建立了基于平均二次电子发射系数的航天器表面起电阈值方程,可在入射电子能量连续分布情况下定量分析航天器表面起电特征,其中双麦分布可更好地描述磁层亚爆期间的恶劣充电环境。经过理论分析,归纳出双麦分布下的两种典型等离子体状态。通过仿真计算,得到了在两种典型等离子体状态下航天器表面电位随等离子体浓度和温度变化的特征。结果表明:电子温度越高,表面负带电电位越高,充电越严重,与此同时,双麦分布下等离子体两种电子组分的浓度比值对带电结果有重要影响。
介绍北京大学垂直测试系统的数字化自激励环路系统,重点分析了实际测试中避免多单元(cell)超导腔模式串扰的方法以及偏离四倍频采样对信号幅度和相位的影响。该系统运行稳定可靠,可有效区分1.3 GHz 9-cell超导腔
Hybrid聚束-加速结构是把驻波预聚束器、行波聚束器和标准加速管集成到一起的新型RF结构。简述了对S波段Hybrid聚束-加速结构样机的束流动力学优化和微波设计结果,解释了Hybrid结构导致发射度增长的原因,对此样机进行了射频低功率测试。样机的冷测结果与RF设计结果一致性很好。在冷测频率2 855.21 MHz处,实测S11小于−45 dB,腔间相移偏差小于±2°,VSWR≤1.2对应的带宽大于5 MHz,轴向场分布完全满足动力学要求。
在一种猝发高重频的X射线自由电子激光(XFEL)装置中,由于受到光阴极注入器内补偿螺线管与电子枪之间特殊结构的限制,阴极附近电场与磁场为叠加状态。实验中需要对阴极热发射度进行测量,而测量热发射度常用的螺线管扫描法基于几何发射度不变的前提,无法直接应用于电磁场叠加的结构。针对这一问题,考虑到归一化过程可以剔除电场对发射度的影响,基于此,研究归一化相空间中应用的螺线管扫描法,并通过仿真计算与分析,最终证明该方法适用于电磁叠加场中阴极热发射度的测量。
通过研究均匀传输线特征阻抗失配原理,发现传输电缆特征阻抗失配会导致负载终端励磁电流幅值发生畸变。对电源主电路关键参数进行分析,发现均匀传输线匹配阻抗失配会造成磁铁处励磁电流幅值变小,上升时间变短。建立均匀传输线障碍点等效模型,推导出脉冲电源传输线障碍点处反射系数,对串联电阻和并联电阻障碍点深入分析,发现传输线特征阻抗失配,会导致匹配负载处有功功率减小。最后通过高压电缆被击穿故障使其得以验证。
为了研究30 cm离子推力器束流引出状态对栅极刻蚀的影响,建立了束流引出模型,并采用PIC-MCC方法对CEX离子造成的栅极腐蚀速率进行了计算,最后将计算结果与1500 h寿命试验结果进行比对分析。结果显示:束流正常聚焦时,在3 kW和5 kW两种工作模式下,加速栅和减速栅的质量刻蚀速率分别为(1.11~1.72)×10−15 kg/s及(1.22~1.26)×10−17 kg/s。在5 kW工况下,当屏栅上游等离子体密度达到4.03×1017 m−3时,束流出现欠聚焦现象,此时加速栅和减速栅的最大离子刻蚀速率分别为4.33×10−15 kg/s和4.02×10−15 kg/s;在3 kW工况下,当屏栅上游等离子体密度达到0.22×1017 m−3时,束流出现过聚焦现象,此时加速栅和减速栅的最大离子刻蚀速率分别为3.24×10−15 kg/s和5.01×10−15 kg/s。寿命试验结果表明,加速栅孔质量刻蚀速率的计算值与试验值比对误差较小,而由于束流离子对减速栅孔的直接轰击,导致减速栅孔刻蚀速率的计算值和试验值差异极大。经研究认为,对屏栅小孔采用变孔径设计,是降低当束流处于欠聚焦或过聚焦状态下,CEX离子造成加速栅孔和减速栅孔刻蚀速率,并提升推力器工作寿命的有效措施。
随着全固态高压脉冲发生器在材料改性、生物医学和工业等领域上的广泛应用,全固态脉冲发生器正朝着小型化、智能化和模块化方向发展。为了进一步减小电源的体积、降低成本,提出了一种自触发驱动的正极性全固态Marx发生器的拓扑。只需提供一路隔离信号控制一级放电开关管的导通和关断,通过级间电容对相邻级的放电管门极自动充电和放电,使其依次导通和关断。这种拓扑使得Marx发生器中的多个开关管的驱动电路简单很多,无需提供隔离供电的多路驱动电源,且避免了开关的动态、静态均压问题。基于这种拓扑搭建了一台17级的正极性Marx发生器样机,且电压幅值和脉宽都连续可调,在10 kΩ纯阻性负载上输出10 kV、重复频率100 Hz的正极性高压脉冲,脉冲前沿约为328 ns。样机体积小巧、工作稳定,验证了该方案的可行性。
针对轨道炮电枢出炮口时拉弧问题,提出了一种基于分流器形式的炮口电弧抑制方案。以固体电枢为研究对象,采用Simulink软件根据发射器与消弧装置的电气参数建立含有炮口消弧装置的发射系统仿真模型,目的是通过对消弧装置电气参数不同阻抗值的仿真计算,实现消弧装置电气参数与发射系统电气参数的最佳匹配,达到降低消弧支路对电枢出炮口速度的影响,同时有效地抑制炮口电弧。由于与消弧装置串联的电枢前方轨道阻抗在消弧支路阻抗中占比很大,通过消弧装置阻抗电阻、电感优化调整,实现电枢在膛内运动起始阶段,消弧支路的阻抗远大于电枢支路的阻抗,发射电流大部分都流过电枢,保证了电枢的加速运动。随着电枢向炮口方向运行,消弧支路阻抗快速减小,同时在磁通压缩作用下,消弧支路中电流快速增加,电枢支路电流减小,但由于电枢前后方磁场对其都是推进作用,电枢出炮口速度基本不受影响,保持较高的系统效率;电枢出炮口后,消弧支路的阻抗小于电弧的阻抗值,建立合理的电弧快速消引条件,消弧支路电流远大于电枢上电流,发射系统的剩余能量可通过消弧装置释放,降低炮口拉弧对发射性能的影响。经过消弧装置的电阻和电感多参数值的计算与分析,最后确定与文中发射系统匹配的消弧装置电阻约为1 mΩ,电感约为0.1 μH。结合发射装置结构,设计出的消弧装置电阻为1.32 mΩ,电感为0.124 μH,在搭建的发射系统仿真模型中对其进行了充电电压3 kV等级的发射仿真计算,在充电电压3 kV的发射能量等级下进行了消弧发射试验,仿真结果与试验结果具有较好的一致性,消弧效果良好。
针对合肥光源(HLS-Ⅱ)辐射防护与安全需求,且合肥光源的控制系统是基于EPICS架构,为减少辐射监测系统中间的环节,提高合肥光源人身安全联锁可靠性,研制了基于嵌入式EPICS控制系统的中子监测仪。中子监测仪的关键部件-探测器选用BF3针对合肥光源(HLS-Ⅱ)辐射防护与安全需求,研制了基于嵌入式EPICS的中子监测仪,用于场所与环境辐射场中子的监测。合肥光源的控制系统是基于EPICS架构,为减少辐射监测系统中间的环节,提高合肥光源人身安全联锁可靠性,研制了基于嵌入式EPICS控制系统的中子监测仪。中子监测仪的关键部件-探测器选用BF3正比计数管,通过对正比计数管产生的微弱电信号加2 kV的正高压偏置,交流耦合介入前置放大器放大,后输出固定宽度的脉冲信号。信号由CORTEX-M3电路计数,后经CORTEX-A8电路处理后将数据发布到局域网。利用镅铍中子源和合肥光源现场辐射环境对所研制的监测仪性能进行了初步测试,结果表明,该监测仪达到设计要求,可用于中子监测。
4.6 GHz 低杂波电流驱动(LHCD)是EAST托卡马克装置辅助加热系统的重要组成部分。其阴极高压直流电源基于脉冲阶梯调制(PSM)技术,采用64个直流模块串联输出50 kV直流电压。单模块的调制频率设计为50 Hz,故而系统调节速度有限,面对实际运行中网侧电压波动引起的干扰时,电源无法做出更快速的响应与反馈调节,从而导致输出电压产生大幅波动,影响输出性能。为提高电源调节速度和抗干扰能力,设计了具有1 kHz调制能力的高频整流模块以替代部分原低频模块,利用高频模块的快速调节能力抑制输出电压的波动。实验结果表明,升级后的电源输出电压波动减小了50%,更好地满足速调管对于电压精度和稳定度的控制要求,保障了系统运行的可靠性。
与点扫描方式相比,面曝光选区激光熔化因具有成形效率高、残余应力水平低等优势,而成为极具发展前景的新一代选区激光熔化增材制造技术的发展方向。利用波长为915 nm的二极管连续激光器作为光源,结合电寻址反射式纯相位液晶空间光调制器,搭建了新一代面曝光选区激光熔化增材制造原理装置平台。获得了“○”形样式的面光斑曝光,基于光敏纸和低熔点金属粉末材料进行面曝光熔化成形并获得了样品,实现了面曝光选区激光熔化的原理性实验验证。
为了解决高功率白光LED光源输出高均匀度窄光束的问题,设计了一种由复合抛物面反射器、菲涅尔透镜和非球面透镜组成的照明系统。设计中以板上芯片型(COB)集成光源的配光曲线为依据构建光源仿真模型,由复合抛物面反射器实现大角度光线初次会聚之后,再由菲涅尔透镜控制溢散光,最后利用非球面透镜进行准直配光。采用TracePro进行蒙特卡洛光线追迹,根据仿真得到的系统性能指标,并研制出实物装置进行实验测试。最终测试结果表明:窄光束均匀照明系统可以输出±7.9°的光束,并且在距离系统出光面0.7 m左右的区域形成均匀度超过96%的圆形光斑,整体光效达到60%。

Email alert
RSS
