2022年 34卷 第4期
利用自行研制的啁啾布拉格光纤光栅(CFBG)刻写系统完成CFBG样品制作,成功应用于光纤锁模振荡器和啁啾脉冲放大(CPA)系统中。振荡器可输出19.4 nm带宽、18 mW平均功率激光,并可压缩至143 fs,经时域展宽、功率放大、时域压缩后,脉冲宽度可至264 fs。实验结果初步证明了国产CFBG在飞秒激光系统应用的可行性。
窄谱光纤激光器在光束合成等领域有着广泛的应用,然而模式不稳定效应的出现严重限制着窄谱光纤激光器的功率提升。提出并验证了采用新型981 nm稳波长泵浦方案,能够应用于窄谱激光放大并提升模式不稳定效应阈值,通过采用单端后向泵浦结构,将单模窄谱光纤放大器功率提至4 kW以上。实验中采用白噪声相位调制展宽单频激光作为窄谱种子,主放大级分别采用稳波长976 nm和981 nm两种泵浦源单端后向泵浦。在采用976 nm泵浦源泵浦时,窄谱激光最高放大至3.4 kW,出现典型的模式不稳定效应特征,功率提升受到限制。在采用981 nm泵浦源泵浦时,窄谱激光最高放大至4.05 kW,且并未出现模式不稳定效应,输出光束质量M2因子为1.3,进一步功率提升仅受限于泵浦功率。通过优化激光器设计、结合双向泵浦结构,有望实现更高功率的窄谱光纤激光输出。
高功率掺镱光纤激光器在空间环境中的应用日益增多,但掺镱光纤材料在空间辐照条件下会产生色心效应,导致损耗增加,影响光纤器件以及激光器整机的性能,从而给高功率光纤激光器在空间环境的长期稳定工作带来隐患。从空间辐照对高功率光纤激光器性能的影响机理、抑制方法和研究进展等3个方面进行介绍。首先介绍了空间辐照对高功率掺镱光纤激光器中关键光学器件、放大级热负载、非线性效应等方面的影响分析,其次介绍了抑制辐照效应的典型方法及其在高功率掺镱光纤激光器中的可行性分析,最后介绍了国内外典型的高功率掺镱光纤激光器的辐照影响及抑制的研究成果,并展望了未来发展趋势。
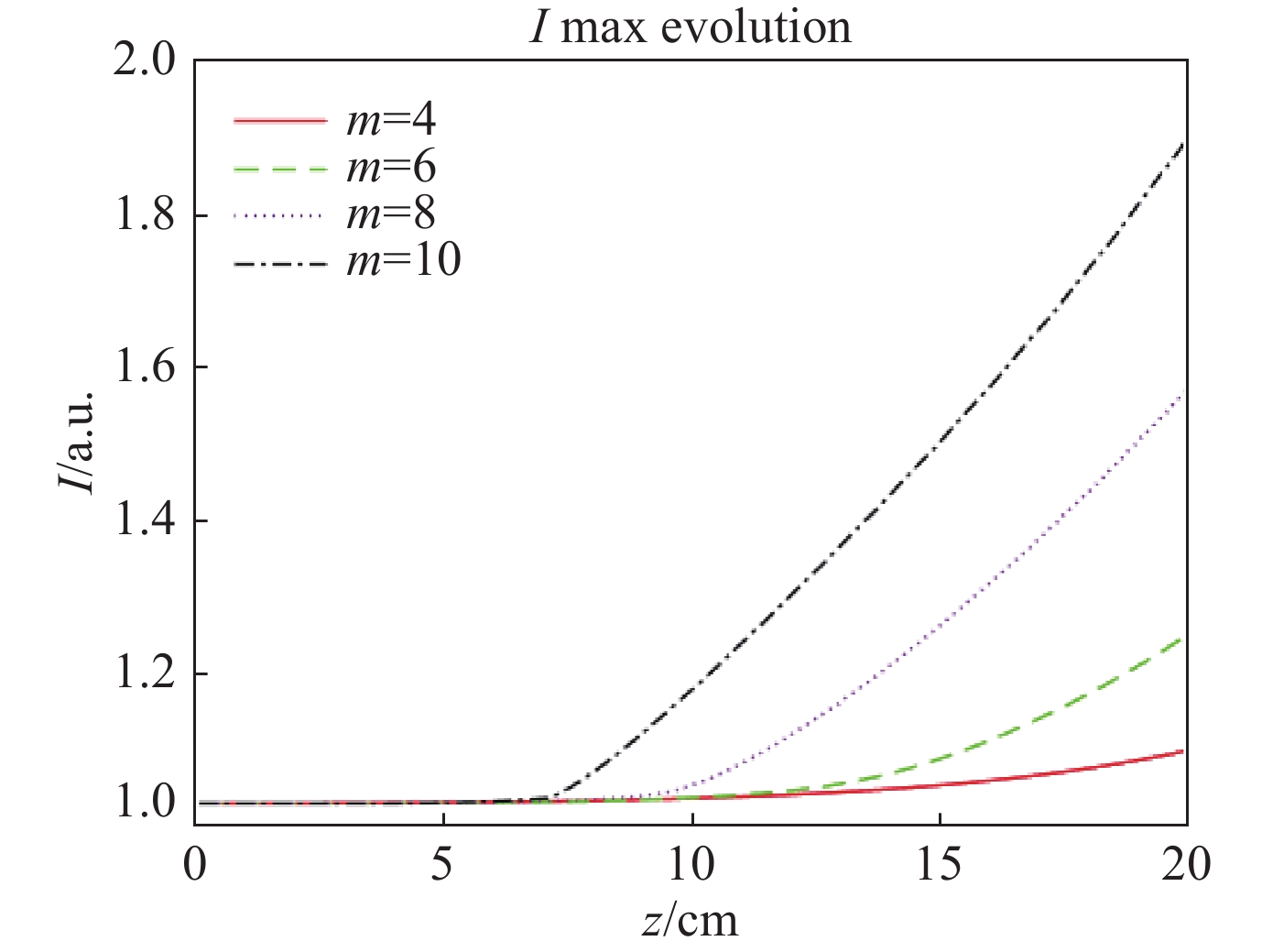
基于非线性薛定谔方程,采用分步傅里叶算法模拟了方形超高斯光束在Kerr介质中的传输情况,重点分析了方形超高斯光束轴向中心强度与对角方向强度的演化特性,同时还分析了其在Kerr介质中的自聚焦特性、峰值光强变化情况以及B积分变化情况。研究结果表明:方形超高斯光束通过Kerr介质后,距光束中心不同距离处有不同程度的强度增强和凹陷,光束中心附近的强度增强和凹陷较弱,光束边缘以及四角处的强度增强和凹陷较强,且对角方向上的强度增强和凹陷程度要强于轴向中心方向;减小阶数可以减缓光束的边缘强度增强,并可以减缓B积分的增长;减少Kerr介质厚度可以降低光束边缘强度增强程度,并可以减小B积分的大小。提出了光束边缘强度起伏的主要原因可能是光束的相干叠加。
实验研究了激光脉冲宽度和脉冲个数对镍基高温合金材料去除阈值的影响,分别在290 fs,1 ps和7 ps脉宽的激光下,使用1,10,50,100,300,500和1000个不同能量的激光脉冲辐照高温合金样品表面。实验结果表明,烧蚀坑尺寸会随脉冲数的增加而增加,而脉冲宽度的增加会加大脉冲个数对烧蚀坑直径的影响。通过烧蚀坑直径的平方值与激光脉冲能量之间存在的对数关系,得到了不同脉冲宽度下镍基高温合金的多脉冲材料阈值。3种不同脉宽下的高温合金多脉冲去除阈值都存在显著的累积效应。根据去除阈值计算得到290 fs,1 ps和7 ps脉宽下的累积效应系数分别为0.88,0.86和0.78。
提出了一种基于单元件干涉仪的计算机断层扫描方案,用于测量光纤三维折射率分布。该单元件干涉仪基于显微成像的原理,提高了系统的横向分辨率。利用快速傅里叶变换提取相位,采用滤波反投影算法重建了光纤的折射率分布。搭建了实验测量装置,实际测量了单模和多模光纤的折射率分布。结果表明,提供的方法可以简单快速地得到全光场数据,同时具有无损和非接触的优点,并且光路结构紧凑稳定,可为计算机断层扫描设备的小型化提供一种新的思路。
为了实现机械相控阵列天线的波束扫描,采用微型无刷直流电机驱动螺旋天线单元转动来到达预定的辐射相位。设计了一种新型微型无刷直流电机位置控制系统,构建了比例滑模面-超螺旋二阶滑模控制器用于速度控制,利用结合速度剖面策略的PID控制算法实现了转动位置的中间过程控制。建立了基于Simulink的系统仿真模型,验证了方案的可行性,并构建了FPGA硬件实验平台。仿真和实验结果均表明,微型无刷直流电机驱动天线单元精确按照预设的速度剖面曲线运行,在50 ms控制周期内转动角度达到180°,中间控制过程的位置跟踪误差和平衡位置处的残余震荡误差均小于±3°。
提出了一种小型化双枝节加载的L波段微带线定向耦合器。使用功率相消技术提高定向耦合器的隔离度,并且采用两根长度不同的加载枝节分别在两个相近的频点上反射信号,从而实现耦合器的带宽扩展;同时采用缺陷地结构的慢波特性减小该定向耦合器的物理尺寸,并利用缺陷地结构产生的陷波,合并上述两根枝节反射抵消产生的的两个陷波,进一步提高定向耦合器的带宽和隔离度。该耦合器工作在L波段,耦合度约为10 dB,在整个L波段内的隔离度均优于−20 dB,最大约为−52.81 dB,相对带宽为60%。最后对设计的定向耦合器进行加工和测试,测试与仿真结果一致性较好,证明了该电路的可行性。
雷击近场等强电场环境下的磁场测量是电磁脉冲测量技术中的难点之一,由于输出端结构的径向非对称性,传统的环天线很难避免电场干扰。针对于此,研制了一种基于双环差分结构的脉冲磁场传感器,该传感器由双环天线和光传输系统组成。根据近场电磁场量的分布特性,双环天线选择平行镜像对称放置的方式,从而能够将终端电压区分为磁场响应分量和电场响应分量,再通过末端差分电路即可去除电场响应分量,得到纯净的磁场响应分量。试验表明,在邻近雷击环境模拟装置中,双环传感器相较于单环传感器具备更强的抗电场干扰能力,能够实现磁场的准确测量。
提出了一种伸缩式全金属反射单元,在此基础上设计了一个可用于高功率微波领域的全金属反射阵列波束扫描天线。通过反射单元的上下独立滑动,阵列中每个阵元所接收电磁波的传输路径可改变,从而实现了相控波束扫描。由电磁仿真可知,设计的反射单元能够在10~13 GHz的频带范围内实现0~360°的线性相位调节,且可在15°~40°偏馈条件下相位调节时保持高功率容量。由该型单元组成的中心工作频率为10 GHz的伸缩式全金属反射阵列扫描天线具备90°锥角范围内的二维波束扫描能力,功率容量可达5 GW/m2。同时,在波束扫描过程中,天线增益变化小于3 dB,副瓣电平低于−13 dB,最大口径效率为54.59%。
在百千瓦或兆瓦级大功率毫米波系统中一般采用量热法对输出的毫米波功率进行测量。针对百千瓦级长脉冲大功率毫米波系统功率测量的需要,开展了基于量热法的功率测量系统设计,利用吸收负载将入射的毫米波能量转换为热量,通过监测出入水口的温度和流量实现了大功率毫米波功率测量,并开展了重复性测试。为了实现量值溯源,提高测量系统的准确性,开展了能量标准装置的设计,并推导了能量测量误差。
为分析多导体传输线耦合情况下线缆结构参数的不确定性对终端电压的影响,引入了一种基于区间分析的切比雪夫(Chebyshev)多项式逼近方法。该方法首先将传输线电报方程转换为常微分方程求解;其次采用Chebyshev多项式求得电报方程的扩张函数,进而获得终端电压的波动范围。相比于混沌多项式方法和蒙特卡罗(MC)法,此方法只需要输入随机参数的波动范围。针对电磁脉冲辐照下高度和间距随机变动的多导体线束进行仿真,仿真结果表明,间距基本不影响终端电压,终端电压对高度更为敏感。在计算结果基本一致的情况下,Chebyshev多项式逼近方法的计算耗时远小于MC方法。
利用三维电磁场仿真软件CST进行了圆形水室水负载的仿真设计,先后设计的两种不同规格的负载驻波比分别为1.032 5和1.055 3,在50 MW的峰值功率下,峰值场强分别为21.16 MV/m和17.57 MV/m;并探究了陶瓷片和水的介电性质对驻波比的影响;测试驻波比分别为1.058 2和1.076 3。对一种圆筒水负载进行了优化设计,结果表明其具有很高的功率耐受水平。最后设计了一种不锈钢干负载,对其吸收齿结构和长度进行了优化,使其更利于加工。使用ANSYS对干负载结构进行了热应力分析,结果显示,最高温度和最大应力分别为83.478 ℃和63.917 MPa,最大形变为0.072 971 mm。
设计了一款具有高功率容量与宽角度扫描特性的C/Ku双频段共口径平面相控阵天线。在同一辐射口径内,相控阵天线包含有基于平面偶极子单元的C波段4×4阵列,以及基于混合零阶谐振贴片单元的Ku波段8×9阵列。所设计的相控阵天线的宽角度扫描性能归功于双频段阵元天线的宽波束辐射特性。下层混合零阶谐振贴片天线既能作为Ku波段的宽波束辐射单元,又能够为C波段的偶极子天线提供零反射相位,进而基于镜像原理拓宽偶极子天线的波束宽度。并且,对天线进行了介质埋入式设计,避免了空气击穿以提高天线系统功率容量。全波仿真结果表明,所提出的共口径相控阵天线在C和Ku双频段均实现了±45°的波束扫描,增益波动小于3 dB,天线阵列在各单元输入功率之和为1 W时功率容量达18.9 MW。
基于泰勒展开的方法实现局部控制网的拟合,使用卡方检验判断局部控制网中是否存在形变点。若存在形变点,则在选权迭代的过程中找到局部控制网中所有的形变点,并将卡方检验通过作为迭代终止条件。对哈尔滨工业大学空间地面模拟装置2号终端控制网的两期观测成果进行了分析,实验表明,将卡方检验和选权迭代法加入控制网拟合之后,可以很好地探测出局部控制网中的形变点。在找出所有形变点之后,可以求得更为准确的局部控制网拟合参数。
单谐振腔束团长度监测器利用谐振腔内的两个本征模式测量ps量级的电子束团长度,它的关键是如何将两个不同频率的模式互不干扰地耦合提取出来。为解决这个问题,基于低通和带通滤波器的理论,提出了同轴滤波耦合结构和膜片加载波导滤波结构,借助CST微波工作室对滤波器进行建模并仿真得到其S参数。为测试耦合器的应用效果,设计了一套带有该耦合结构的单谐振腔束团长度监测器探头,根据国家同步辐射实验室基于可调谐红外激光的能源化学研究大型实验装置FELiChEM的束流特点,在CST内对所设计的探头进行束流模拟仿真。仿真结果表明,该耦合器可以实现对特定模式的耦合,并有效降低其它模式的干扰,采用同轴滤波耦合结构和膜片加载波导滤波结构的谐振腔监测器可以实现对FELiChEM装置束团长度的高精度测量,测量误差小于2 %。
利用环路热管换热技术对光子吸收器进行换热可以提高光子吸收器的换热效率、减小其结构尺寸,而且运行时无振动,是未来高性能加速器中设计光子吸收器的重要技术储备。分析环路热管在光子吸收器上应用时的传热性能,发现目前环路热管的换热能力完全满足光子吸收器的换热需求,但热沉的结构、特别是导热距离需要严格优化。利用航天五院C18型号环路热管,优化设计了一台环路热管式光子吸收器样机,数值模拟其运行时的温度分布,并实验测试了光子吸收器样机的总体换热能力。
CCD易受空间环境中高能电子辐射的影响,造成性能下降和工作异常,针对此问题,选取某国产N沟道3相多晶硅交迭栅、帧转移结构CCD开展了电子辐照效应研究。采用三维蒙特卡罗软件FLUKA建立电子辐照CCD的组成材料Si和SiO2模型,仿真模拟电子和材料相互作用的物理过程,计算不同能量电子在Si和SiO2中的总质量阻止本领和射程,与文献理论计算结果对比验证了本文仿真方法的正确性。建立CCD像元阵列的三维模型,模拟计算不同能量电子在CCD中能量沉积过程的影响,以及像元间有无边界对电子在CCD像元中平均原子离位(DPA)的影响,分析了辐照损伤差异产生的机理。结果表明,靠近入射点的像元能量沉积最大处对应的入射电子能量较小;对于无边界像元,电子辐照产生的DPA随入射深度的增加先增加后减小,而在有边界像元中产生的DPA随入射深度的增加先减小后增加,并且随入射深度的增加无边界像元中产生的DPA与有边界像元中产生的DPA差值越来越小。
为了提升20 cm离子推力器的抗冲击性能,对现有结构开展了力学分析和试验验证。对栅极组件进行结构等效处理后,采用有限元方法分析了整机的模态和冲击响应谱。分析结果显示,栅极组件结构等效前后的分析结果对比差距8.3%~11.9%;推力器的3个轴向基频分别为246,248,336 Hz,栅极组件和中间极靴是离子推力器的力学薄弱环节并对整体结构稳定性具有重要影响;在冲击载荷1600 g下,栅极组件表面应力主要集中在小孔区边缘处,且形变也主要发生在小孔区;在采取刚度为1000 kN/m的减振措施后,栅极组件的整体形变位移降低了60%~82%。试验结果显示,在10~1200 Hz的低频扫描过程中,推力器3个轴向的基频分别为256,258,348 Hz,与仿真结果基本一致,采用减振措施后的20 cm口径离子推力器通过了1600 g的冲击试验。
As a fundamental component of a linac-based beam injector, the rectangular-waveguide coupler is a conventional device for feeding high power, but it will induce field asymmetry and resonant-frequency shifting. Furthermore, it is also difficult to adjust the coupling factor for adjustable beam injectors. In this paper, an equivalent circuit model is established for the coupler with a tuning rod. Based on theoretical analysis, the optimal position for the rod is given. Besides, the frequency shifting is corrected by using another rod inserted to the cavity in the opposite direction. Sizes and adjustment ranges of both rods are given by three-dimensional electromagnetic simulation using CST MICROWAVE STUDIO. Jointly adjusted simulation results show that, critical-coupled states are achieved for different beam intensity while the resonant frequency remains stable, thus the risk of reflected power caused by coupler mismatching can be avoided, and the field asymmetry due to a small coupling hole can be reduced.
为研究Marx发生器机芯在公路运输条件下的力学环境适应性,基于随机振动理论和有限元分析方法对Marx机芯进行了仿真分析和随机振动试验。首先,建立了八级模块化Marx机芯的有限元动力学仿真模型,模拟确定了机芯的应力集中点;然后,通过振动台运输振动摸底试验修正了有限元模型,对机芯结构进行了优化设计,使Marx机芯整体一阶频率由15.4 Hz提高到19.7 Hz,降低了整机垂向的动力学响应,提高了机芯的力学环境适应性。试验结果表明,Marx发生器结构设计需要重点考虑其在垂直方向的可靠性;振动过程中,机芯整体连接稳定,振动应力集中于机芯与U型支撑杆连接处、支撑杆与支撑板连接的角片处,以及开关连接件处,是结构设计的薄弱环节。
提出一种基于谐振电路与脉冲变压器结合的高压脉冲实现方案,该方案利用电容与电感的谐振效应,结合脉冲变压器的升压作用,在仅使用一个半导体开关的条件下,实现高压脉冲的输出,其结构简单,成本低,并且可实现零电压关断。并对于电路的运行模式进行了理论分析,搭建了原理样机进行实验。容性负载条件下,实现频率1~ 15 kHz、幅值0~ 10 kV可调的高压脉冲输出,对比分析了续流支路以及续流电阻对于输出高压脉冲波形的影响。利用该脉冲电源进行DBD放电实验,成功驱动介质阻挡放电反应器,验证了该方案的可行性。
基于同轴传输线结构设计了两种不同喷嘴结构的大气压微波等离子体射流(MW-APPJ)装置,其工作频率2.45 GHz,工作气体为氩气,分别研究了两种不同喷嘴结构对等离子体放电特性产生的影响。仿真结果表明,MW-APPJ在气体喷嘴处会产生高强度的电场,经过优化结构,实现在频率2.45 GHz下,喷嘴处的场强满足氩气电离的击穿场强阈值要求。同时,利用多物理场耦合仿真软件对装置的气流分布进行了稳态模拟,并通过实验对比分析了两种喷嘴结构下大气压氩等离子体射流的基本特性。实验结果表明,不同的喷嘴结构会影响等离子体装置的反射系数随输入功率的变化规律,但并不影响等离子体射流长度随输入功率的变化规律和反射功率随进气流量的变化规律;同时,在大气压下,稳态微波等离子体射流呈现出类金属性,等离子体中的电子只能在很薄的区域中吸收微波能量,因而造成微波的反射功率较大。
针对空泡机制中的双束等离子体尾波电子加速设计,给出了能够快速得到被加速束流在最大加速距离下的相对能散的预测公式。通过加速初始时刻束流纵向分布以及束流所处位置的纵向尾波场可得到束流最终相对能散。该预测公式不仅可应用于驱动束流与被加速束流初始能量相同的情况,还可应用于两个束流初始能量不相同的情况。由该预测公式得到的束流相对能散与被加速束流和驱动束流的初始能量的比值有关,而与两个束流初始能量的数值无关。利用准静态近似的粒子网格模拟程序QuickPIC对理论进行了模拟验证,模拟结果与理论预期结果一致。

Email alert
RSS
