2020年 32卷 第5期
利用调焦方式可以实现焦距的连续变化从而对不同物距下的光学组件进行在线检测,但是调焦过程操作复杂且对调焦位移精度要求较高,景深内光学元件缺陷无法区分,难以实现真正意义上的在线检测。因此,本文提出了基于相机阵列的光学组件缺陷在线检测方法。首先建立了相机阵列的成像模型并给出了数字重聚焦表达式以及空间分辨率的表达式。接着利用MATLAB模拟相机阵列成像过程和数字重聚焦过程。最后进行实验验证,通过二维位移台带动相机对不同物距下的多个光学元件表面缺陷进行成像获得阵列相机图像,通过数字重聚焦算法得到不同物距下的光学元件表面缺陷分布信息。实验结果表明,基于相机阵列的光学组件缺陷在线检测技术能够同时对位于景深范围内的光学组件进行在线检测。该方法在光学元件缺陷在线检测方面有着一定的应用价值。
针对我国氧碘化学激光器输出能量不断提高的情况下,主要限制光束质量的因素之一是出光过程中的光腔失调,提出了一种基于图像处理的光学谐振腔自准直研究方法。该研究方法利用氦氖穿腔光通过凹腔镜中心孔,并在凸腔镜后方放置工业相机,在屏幕上方形成一个干涉同心圆环。通过借助OpenCV库中二值化、霍夫圆检测等图像处理的方法,获得干涉同心圆环的圆心坐标,再通过以圆心为中心将图像分成上下左右四个部分,通过判断这四部分亮点像素的数量差值来预估干涉同心圆环的偏移状态,进而获得空腔条件下光学谐振腔发生变化的理论判据。实验结果表明,该方法可以获得相当精准的光学谐振腔失调判据,其失调判据选取左右亮点像素差值30 000,上下亮点像素差值45 000,为今后失调判据与步进电机自动调腔的结合做好充足的准备。
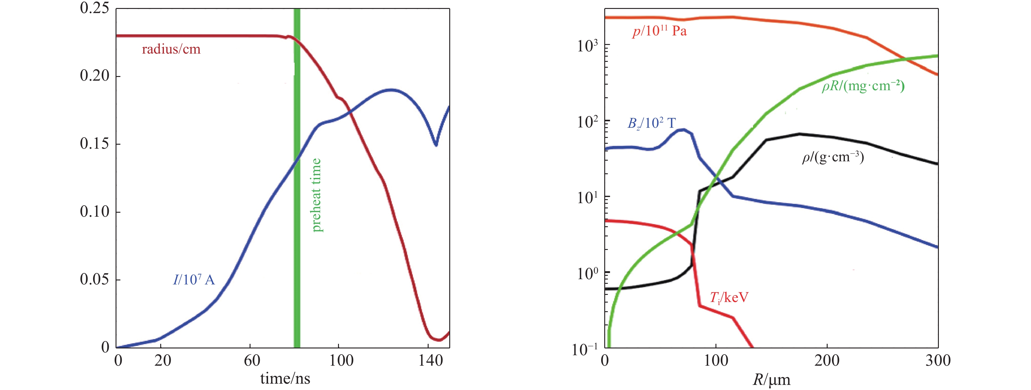
磁化套筒惯性聚变(MagLIF)是一种新的聚变构型,它结合了传统惯性约束聚变和磁约束聚变的优点,理论上可以显著地降低聚变实现的难度,未来必将朝着点火的目标进一步发展,具备极大的应用潜力。针对这一特殊构型,分别从理论、实验和工程三个部分介绍了国际上该领域主要的研究进展,内容覆盖理论研究、数值模拟、实验加载、测量与诊断、负载设计与加工、分解实验、构型改进等多个方面,通过该文能够对该领域的研究现状有相对完善的了解,对未来发展趋势也有一定的认知。
介绍了在大型激光装置上进行 扩展X射线吸收精细结构(EXAFS)谱压缩物态参数测量的基本原理,以及为获得高质量EXAFS谱在神光III原型装置上进行的实验研究。实验采用玻璃靶球、CH靶丸和金球作为EXAFS谱测量的背光源,通过多发次叠加、光子数累积的方法获得了信噪比良好的金属Ti在常温常压下的EXAFS谱,数据处理结果表明,实验测得的金属Ti EXAFS谱拟合结果与同步辐射实验拟合结果相吻合,表明实验设计的正确性与可靠性。对实验结果的分析表明,影响EXAFS谱质量的因素主要是光子计数、测量系统谱分辨率、噪声以及实验器件上的瑕疵。
回旋管一般使用准光模式变换器实现高阶腔体模式到高斯波束的转换。结合标量衍射理论、KS迭代算法、几何光学、最小均方法等方法设计了工作频率为140 GHz(TE24, 9)和105 GHz(TE18, 7)的双频准光模式变换器。仿真结果显示所设计的准光模式变换器工作频率为140 GHz(TE24, 9)时能量传输效率99.0%、高斯含量99.7%,工作频率为105 GHz(TE18, 7)时能量传输效率97.3%、高斯含量98.0%。能够满足MW级双频回旋管的应用需求。
倒相开关是能量倍增器法(SLED)脉冲压缩系统中的关键器件,它的倒相精度和开关速度对脉冲压缩系统的性能有重要影响。设计了一种工作在S波段的精度可调、响应迅速的微带反射式倒相开关,并对其进行了理论分析,电路结构设计和仿真研究。对倒相开关的反射终端进行了改进设计,利用一个变容二极管来代替传统的并联枝节电路,通过调节变容二极管的偏置电压改变反射终端的反射系数,从而实现对倒相相位的精确调节。仿真结果表明,倒相开关响应时间约4 ns,且通过调节变容二极管偏置电压可以在一定范围内调节倒相精度。
分析了采用单一同轴磁场时强流相对论多注阴极的侧端发射问题,研究了在不同磁场内半径和多注漂移管长度情况下多注电子束的传输效率。研究发现:由于引导磁场尺寸有限,高压下多注阴极杆及多注阴极柱的电子束发射是影响多注电子束传输效率的主要因素,且该部分电子束对多注漂移管入口管壁的轰击直接影响了多注速调管的重频能力。设计了采用永磁铁和同轴磁场组合工作的强流相对论多注二极管,理论分析和模拟计算证明:基于组合磁场的多注二极管可明显减弱甚至抑制多注阴极发射球头以外的电子束发射,并且组合磁场的磁场位形和强度可满足强流相对论多注电子束的高效、稳定传输。
针对包含近源障碍物条件下的电波传播问题,提出了一种新颖的电波传播预测混合建模方法:矩量法(MOM)和圆柱坐标系抛物方程法(PEM)混合建模方法(MOM-PEM);MOM用于包含辐射源和近源障碍物的小圆柱区域内的电波传播建模,PEM用于MOM计算空间外的大区域范围内电波传播建模。MOM和PEM的计算过渡区域进行精细化网格剖分处理以避免场强数值传递的不兼容。仿真模拟了三类近源障碍物存在场景下的电波传播问题:有限开窗屏障碍物、立方体障碍物以及包含辐射源的半封闭空间障碍物,并将混合算法计算得到的结果和相同环境下采用全矩量法计算得到的结果进行了数值对比,结果表明混合算法和矩量法在精度上吻合较好。
为掌握雷达装备在带内连续波辐射下的效应规律、揭示带内连续波对雷达的干扰作用机理,以某型频率步进雷达为受试对象,采用全电平辐照法对其进行电磁辐射效应试验研究。带内单频点电磁辐射效应试验结果表明,受试雷达在带内连续波辐射能量作用下,出现测距不准、目标回波电平受到压制等效应。测距误差随辐射干扰功率的增加不规则地变化,而目标回波电平随辐射功率的增加而逐渐减小。带内单频连续波辐射敏感度试验结果表明,受试雷达对带内电磁辐射能量非常敏感。在给定试验条件下,最小只需要0.32 V/m(频差为−0.1 GHz时)的辐射场强就能对受试雷达造成有效干扰。辐射频差超过±0.16 GHz后,临界干扰场强开始急剧增加,受试雷达的连续波电磁辐射效应表现出明显的选频特性。
为了满足在隧道环境中实现高速率、高质量无线通信的迫切需求,研究了适用于隧道环境的高增益天线,提出了利用二元相控阵天线系统提高隧道内信号传输质量的新方法。相控阵天线系统由两个高增益天线单元及一个移相器组成,通过移相器调整其中一个天线单元的相位,使隧道内合成电场的最小值幅值达到最大,提升信号的平均场强。仿真结果表明:与单个天线发射信号相比,在3 000 m隧道轴向传播范围内,相控阵天线系统发射信号合成电场的最低电平最少提升了19.6 dB;与两个天线同时发射信号相比,最低电平最少提升了12.4 dB,取得较好分集优化效果,消除多径效应导致的深度衰落,解决了隧道环境中存在的通信问题。
密度高、成像分辨率高、成像速度快的X射线数字成像检测需要高能微焦点大剂量X射线源,高品质电子源是实现这一X射线源的关键手段。基于中国工程物理研究院太赫兹自由电子激光的主加速器,验证了低发射度、低能散度的高亮度电子束实现高能微焦点的可行性,得到电子束半高全宽尺寸小于70 μm的9 MeV微焦点,并初步开展成像实验,双丝像质计焦斑清晰分辨9D号丝,丝直径0.13 mm。
焦斑大小是评价加速器性能的关键指标之一,减小焦斑尺寸可以有效提高闪光照相中对客体成像的空间分辨能力。本文研究设计空间限束结构,减小加速器光源焦斑的有效尺寸降低成像几何模糊。采用蒙特卡罗方法对电子束打靶产生轫致辐射和光子穿过空间限束结构的成像过程进行模拟,分析采用不同空间限束结构时光源有效焦斑的分布及大小、光子角度分布和能谱分布等特征参数。理论计算结果表明,通过空间限束可以使强流加速器光源焦斑FWHM减小至亚毫米量级。
匀速运动的带电粒子在穿过具有不同介电常数的两种媒质界面时要产生所谓光学渡越辐射。该辐射在粒子的入射平面上呈偏振行为;从辐射强度的角分布可以确定入射粒子的能量。在入射到双膜系统的情况下,由于干涉的发生,在第二膜前表面的强度角分布有振荡行为。利用这些现象,可对脉冲电子束包络半径、束电流密度的横向分布,束能量以及横向散角进行测量,依照这原理在各LIA加速器上进行的脉冲电子束参数测量,获得的有效数据极大地提高了加速器的调试效率。
A novel adjustable aperture is developed for the low energy beam transport line (LEBT) of the China Accelerator Driven Subcritical System (C-ADS). Two relatively rotating mirror-symmetry cores are adopted for the adjustable aperture to scrape unwanted outer particles, improve the beam quality and reduce the beam losses, and most of all, realize continuously tunable beam current and meet the requirement of round beam. The results of simulation and test show that the unwanted outer particles can be cut away and the beam current can be adjusted continuously online within the range of 0 to 10 mA. This device provides a convenient beam tuning method for the proton linear accelerator, which can satisfy the stable and reliable online operation of C-ADS linear accelerator.
脉冲功率技术在工业和生物医学领域有着广泛的应用,很多应用场合要求输出数百安培的高压脉冲。固态Marx发生器虽已研究多年,但是被广泛采用直插封装的IGBT和MOSFET功率半导体开关管的额定电流通常都低于100 A,无法满足低阻抗负载的应用需求。为提高输出脉冲电流幅值,提出两种多路Marx发生器并联的脉冲电源的拓扑结构,第一种方案采用多路Marx发生器直接并联,第二种是共用一组充电开关管的多路Marx发生器并联。由FPGA提供充放电控制信号,采用串芯磁环隔离驱动方案实现带负压偏置的同步驱动,主电路选用开通速度快、通流能力强的IGBT为主开关的半桥式固态方波Marx电路。实验结果表明,6路16级Marx直接并联的脉冲发生器能输出重频100 Hz高压方波脉冲幅值可达10 kV,在30 Ω负载侧输出峰值电流可达300 A,上升时间230 ns。共用充电开关管的6路4级Marx并联发生器在5 Ω电阻负载上的输出电流峰值可达300 A,最大输出电流可达460 A,上升时间272 ns。表明多路Marx发生器并联可以有效地减小系统内阻,提高系统带载能力;改进后的并联方案实现大电流脉冲输出的同时,所采用的开关管数量减小近一半,提高了系统的抗干扰能力的同时,降低了脉冲电源的成本;且增加级间并联导线可进一步改善均流效果。
将基于MPI平台的并行时域有限差分(FDTD)方法与基于完全磁导体(PMC)镜像法相结合,并结合CST模拟软件,模拟给出分布式负载垂直极化有界波电磁脉冲(EMP)的外泄场(包括侧泄场和后泄场)的分布规律。模拟结果与实验结果符合得很好。研究表明:在高度方向上,地面附近的外泄场峰值最大,但远离模拟器时,在1.5 m高的高度范围内,外泄场的峰值差别不大;不管采用何种双指数脉冲源,距离模拟器边缘位置比较近的测点在传输线段的侧泄场的幅值大于分布式负载段侧泄场的幅值,且两者都大于分布式负载末端的后泄场幅值,但随着测点与模拟器边缘的垂直距离的增加,分布式负载段的后泄场可能会比侧泄场大;对于电压峰值相同的双指数激励源而言,所含的高频分量越多,在一定范围内,从其分布式负载末端外泄的后泄场更大;模拟器下方大地的电导率增加,模拟器的外泄场增加。
在脉冲大电流直线驱动装置中,电枢和轨道的接触状态会改变电枢起动特性,而电枢起动过程将直接影响整个发射系统的效率和寿命,因此有必要对电枢起始阶段的滑动接触状态进行研究。搭建发射实验平台,通过高速相机观察电枢起动状态,并结合有限元软件 ANSYS,对电枢的预紧力、初始接触状态以及电磁压力、电流密度进行仿真分析,研究电枢表面形貌对电枢起动的影响。结论表明:开槽电枢增加了电枢本身的柔顺性,使得预紧力增大,同时由于电流趋肤效应使得电流密度分布更加均匀,从而电磁压力增大,电枢起动变慢,接触电阻变小。实验和仿真结果对于改善电枢起动过程的接触状态,减轻烧蚀具有重要意义。
研究用于校准场所中子剂量监测仪表的241Am-Be中子参考辐射场计量特性。采用蒙特卡罗方法模拟了空气自由中子参考辐射(FRNR),GB/T 14055规定的最小尺寸中子参考辐射(SRNR)和实际中子参考辐射(ARNR)中不同检验点处中子周围剂量当量率、散射中子占比和能谱分布特征。研究结果表明,空气对FRNR中的剂量率和能谱分布影响小,近似为理想中子参考辐射;采用5%含硼聚乙烯作屏蔽的最小尺寸SRNR可减少热中子,降低散射中子占比,影锥法不适用于小尺寸中子参考辐射中对散射中子的修正;ARNR中的散射中子更少、占比更低,影锥法所得散射中子占比与理论值基本一致。
以局部隔间氢气流动分布特性研究实验装置中的单个隔间作为几何结构,建立小空间内氢气分布数值研究的计算流体动力学分析模型,对不同湍流模型适用性展开讨论分析,通过对比实验数据和模拟数据,给出最优湍流模型的选择,进一步对低质量流量工况下氢气在小空间内的流动分布进行数值模拟。模拟结果表明:在选取的6种两方程湍流模型中,采用Realizable k-ε、RNG k-ε、Standard k-ε湍流模型计算得到的结果与实验值吻合较好,能够准确地反映氢气在小空间内的释放过程和分布情况;低质量流量工况下,氢气主流区域径向范围较小,氢气在容器中上部呈稳定均匀分布。
消毒灭菌技术广泛应用于食品工业、医疗领域、水处理等方面。相对于传统化学和热效应的消毒灭菌方法,γ射线、X射线、电子束、微波、低温等离子体、紫外线、高压脉冲电场等物理手段具有不污染环境、消毒灭菌温度低、没有化学残留物等优点而日益受到重视。但这些物理技术手段各有不同,本文首先介绍了γ射线、X射线、电子束、微波、低温等离子体、紫外线、高压脉冲电场等消毒灭菌的技术原理,然后对比了各自优缺点和应用领域。每种方法都有优势和不足,应针对不同的消毒灭菌对象而选择不同的方式。最后,展望了消毒灭菌的发展方向,提出了消毒灭菌在家庭日常消毒、医疗垃圾处理、有人状态下的室内空气消毒等方面的迫切需求。

Email alert
RSS
