2021年 33卷 第6期
推荐文章
2021, 33: 065001.
doi: 10.11884/HPLPB202133.210190
2021, 33: 065002.
doi: 10.11884/HPLPB202133.210083
2021, 33: 065005.
doi: 10.11884/HPLPB202133.210008
2021, 33: 065001.
doi: 10.11884/HPLPB202133.210190
摘要:
液相放电是高电压与绝缘技术领域持续的研究热点,深入理解微/纳秒脉冲放电的特性与机理有利于促进液相放电在电气装备设计优化、深远海勘探、先进材料制备等前沿领域的创新与突破。总结梳理了近年来液体介质微/纳秒脉冲流注放电特性与机理研究的进展,从放电模式与转化、分叉行为、击穿过程等方面阐释了流注放电的基础特性,归纳了液体电导率、压强、溶解气体、杂质与添加剂等物性参数对流注放电特性的影响规律,分析了液体介质流注放电起始与发展机制(包括气泡理论、液相直接碰撞电离、场致分子电离、电致伸缩效应等)及其适用范围。在此基础上,展望了液相放电领域的发展方向和面临的挑战,为相关领域的基础研究和工程应用提供参考。
液相放电是高电压与绝缘技术领域持续的研究热点,深入理解微/纳秒脉冲放电的特性与机理有利于促进液相放电在电气装备设计优化、深远海勘探、先进材料制备等前沿领域的创新与突破。总结梳理了近年来液体介质微/纳秒脉冲流注放电特性与机理研究的进展,从放电模式与转化、分叉行为、击穿过程等方面阐释了流注放电的基础特性,归纳了液体电导率、压强、溶解气体、杂质与添加剂等物性参数对流注放电特性的影响规律,分析了液体介质流注放电起始与发展机制(包括气泡理论、液相直接碰撞电离、场致分子电离、电致伸缩效应等)及其适用范围。在此基础上,展望了液相放电领域的发展方向和面临的挑战,为相关领域的基础研究和工程应用提供参考。
2021, 33: 065002.
doi: 10.11884/HPLPB202133.210083
摘要:
重复频率脉冲流注放电是低温等离子体前沿应用的关键使能因子,然而,高重复频率脉冲作用下流注放电呈现复杂的不稳定和记忆效应现象,放电基础演变机理和调控方法尚不完善,极大影响应用的安全性和放电特性调控的有效性。综述了重复频率脉冲流注放电演变现象与机制的研究进展。首先归纳了重复频率脉冲流注放电的强非线性和渐进式演变特征,然后分析不同类型放电记忆效应因子对后续流注起始和传播的作用机制,最后总结了脉冲波形参数对重复频率脉冲流注放电的影响规律。凝练了重复频率脉冲流注放电演变机制研究的若干挑战,对脉冲放电等离子体机理研究具有一定的借鉴作用。
重复频率脉冲流注放电是低温等离子体前沿应用的关键使能因子,然而,高重复频率脉冲作用下流注放电呈现复杂的不稳定和记忆效应现象,放电基础演变机理和调控方法尚不完善,极大影响应用的安全性和放电特性调控的有效性。综述了重复频率脉冲流注放电演变现象与机制的研究进展。首先归纳了重复频率脉冲流注放电的强非线性和渐进式演变特征,然后分析不同类型放电记忆效应因子对后续流注起始和传播的作用机制,最后总结了脉冲波形参数对重复频率脉冲流注放电的影响规律。凝练了重复频率脉冲流注放电演变机制研究的若干挑战,对脉冲放电等离子体机理研究具有一定的借鉴作用。
2021, 33: 065003.
doi: 10.11884/HPLPB202133.210114
摘要:
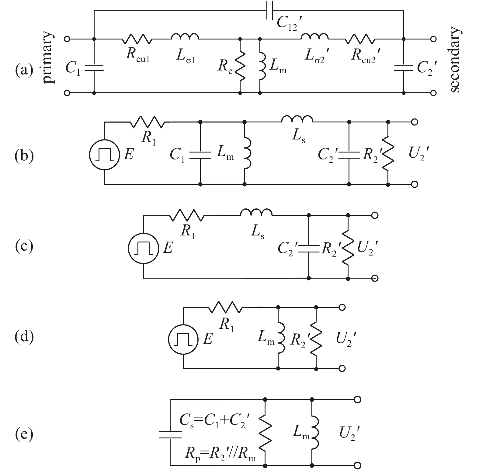
通过理论、模拟和实验对提出的全固态LC-Marx发生器进行研究。整个系统由一个MOSFET开关和多个由一个磁芯制成的磁开关控制,该脉冲发生器直径为140 mm,高为17 mm,且随着级数的增加尺寸和重量基本不变。运用谐振充电可以使电容充到源电压的1.82倍,五级LC-Marx发生器用950 V直流电压充电时,在500 Ω电阻上得到峰值电压为10.9 kV、半高宽为400 ns、上升时间为85 ns、效率为30.43%的高压脉冲。输出电压的上升前沿可以根据实际应用的要求,通过减小电容量缩短。该脉冲发生器在频率低于30 kHz下,可以持续稳定地运行。该LC-Marx脉冲发生器在气体放电中将具有较好的应用效果。
通过理论、模拟和实验对提出的全固态LC-Marx发生器进行研究。整个系统由一个MOSFET开关和多个由一个磁芯制成的磁开关控制,该脉冲发生器直径为140 mm,高为17 mm,且随着级数的增加尺寸和重量基本不变。运用谐振充电可以使电容充到源电压的1.82倍,五级LC-Marx发生器用950 V直流电压充电时,在500 Ω电阻上得到峰值电压为10.9 kV、半高宽为400 ns、上升时间为85 ns、效率为30.43%的高压脉冲。输出电压的上升前沿可以根据实际应用的要求,通过减小电容量缩短。该脉冲发生器在频率低于30 kHz下,可以持续稳定地运行。该LC-Marx脉冲发生器在气体放电中将具有较好的应用效果。
2021, 33: 065004.
doi: 10.11884/HPLPB202133.210078
摘要:
针对双极性脉冲电压介质阻挡放电(DBD)的应用需求,提出了一种基于直线型变压器驱动源(LTD)的全固态双极性纳秒脉冲形成拓扑。脉冲产生期间各开关的驱动电路均可靠共地极大降低了高低压隔离需求,因此与传统单极性LTD一样理论上可实现脉冲子模块的无限制叠加以获得更高电压的双极性脉冲输出。各脉冲子模块上集成数量相等但具有相反电压极性的储能电容,使隔离磁心的励磁电流在不同脉冲极性下正负交变,有效提高了磁心的利用率,不再需要设置专门的磁通复位电路。最后研制了一套模块化紧凑型双极性LTD原理验证样机,可输出脉冲参数为:电压幅值0~±2 kV,脉冲电流80 A,脉冲宽度50~200 ns,所有脉冲参数可通过上位机灵活可调,通过增加LTD子模块数量可获得更高的脉冲电压。
针对双极性脉冲电压介质阻挡放电(DBD)的应用需求,提出了一种基于直线型变压器驱动源(LTD)的全固态双极性纳秒脉冲形成拓扑。脉冲产生期间各开关的驱动电路均可靠共地极大降低了高低压隔离需求,因此与传统单极性LTD一样理论上可实现脉冲子模块的无限制叠加以获得更高电压的双极性脉冲输出。各脉冲子模块上集成数量相等但具有相反电压极性的储能电容,使隔离磁心的励磁电流在不同脉冲极性下正负交变,有效提高了磁心的利用率,不再需要设置专门的磁通复位电路。最后研制了一套模块化紧凑型双极性LTD原理验证样机,可输出脉冲参数为:电压幅值0~±2 kV,脉冲电流80 A,脉冲宽度50~200 ns,所有脉冲参数可通过上位机灵活可调,通过增加LTD子模块数量可获得更高的脉冲电压。
2021, 33: 065005.
doi: 10.11884/HPLPB202133.210008
摘要:
研制了一种双极性交替的纳秒高压脉冲电源,进行了双极性纳秒脉冲放电产生等离子体研究。该电源先通过固态开关IGBT将直流电压截断成电压脉冲,通过可饱和脉冲变压器拓扑,实现升压并缩短脉冲上升沿。该电源可在一个周期内输出极性相反的2个脉冲,且时序可以灵活控制。通过优化调整器件参数,研制了两种不同输出性能参数的双极性纳秒脉冲电源:①峰值电压10 kV、爆发模式脉冲重复频率500 kHz(正负脉冲间隔2 μs)、连续重复频率1 kHz;②峰值电压25 kV、爆发重频200 kHz、连续重频600 Hz。测试电源的运行性能,发现电源存在温度升高的情况,但长时间(>0.5 h)运行温度趋于稳定。10 kV电源连续运行在1 kHz时最高温度点50.5 ℃;25 kV电源连续运行在600 Hz时最高温度点60 ℃。利用该电源驱动线板电极阵列和表面介质阻挡放电结构,证实了该电源可以用于常压空气条件下产生大面积等离子体。
研制了一种双极性交替的纳秒高压脉冲电源,进行了双极性纳秒脉冲放电产生等离子体研究。该电源先通过固态开关IGBT将直流电压截断成电压脉冲,通过可饱和脉冲变压器拓扑,实现升压并缩短脉冲上升沿。该电源可在一个周期内输出极性相反的2个脉冲,且时序可以灵活控制。通过优化调整器件参数,研制了两种不同输出性能参数的双极性纳秒脉冲电源:①峰值电压10 kV、爆发模式脉冲重复频率500 kHz(正负脉冲间隔2 μs)、连续重复频率1 kHz;②峰值电压25 kV、爆发重频200 kHz、连续重频600 Hz。测试电源的运行性能,发现电源存在温度升高的情况,但长时间(>0.5 h)运行温度趋于稳定。10 kV电源连续运行在1 kHz时最高温度点50.5 ℃;25 kV电源连续运行在600 Hz时最高温度点60 ℃。利用该电源驱动线板电极阵列和表面介质阻挡放电结构,证实了该电源可以用于常压空气条件下产生大面积等离子体。
2021, 33: 065006.
doi: 10.11884/HPLPB202133.200323
摘要:
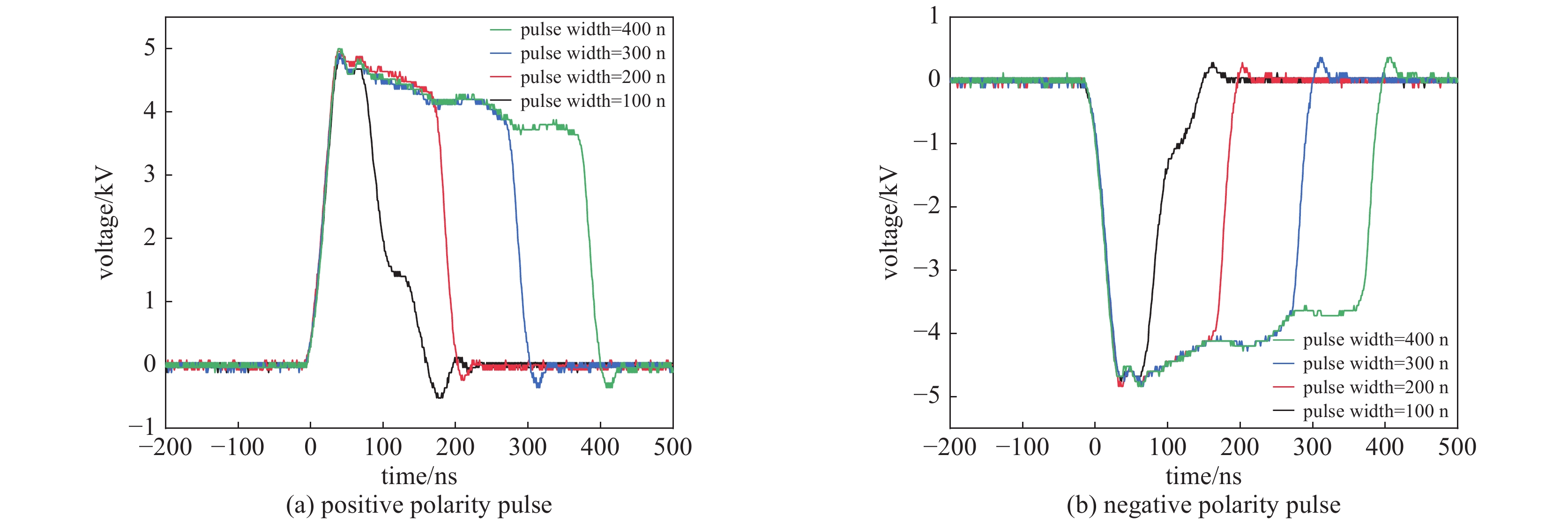
在针对脉冲电磁场肿瘤消融的应用场合,双极性脉冲比单极性脉冲效果更均匀,而要产生ns级前沿的双极性高压纳秒或亚微秒脉冲难度大,电磁干扰强,控制要求更高。设计了一台双极性全固态直线型变压器驱动源(SSLTD),双极性SSLTD由结构完全相同的LTD模块经过副边绕组反向串联构成,在负载上实现双极性窄脉冲。双极性SSLTD输出波形稳定的脉冲的关键在于磁芯复位,通过电阻负载实验,重点对比分析了复位电流的形式对复位效果的影响,以及采用直流复位时幅值、脉宽、正负脉冲时间间隔、单级模块中开关管并联数量、复位电流大小对双极性SSLTD输出的影响。实验结果表明,所设计的双极性SSLTD能够在500 Ω负载上稳定产生重频双极性纳秒脉冲,输出电压0~±5 kV可调,脉宽200~400 ns可调,正负脉冲时间间隔0~1 ms可调,上升沿和下降沿20~50 ns;反向串联的直流复位电路结构简单、复位效果好。该脉冲源使用模块化设计,结构紧凑,电气绝缘要求较低,可灵活输出双极性、正极性与负极性高压亚微秒脉冲。
在针对脉冲电磁场肿瘤消融的应用场合,双极性脉冲比单极性脉冲效果更均匀,而要产生ns级前沿的双极性高压纳秒或亚微秒脉冲难度大,电磁干扰强,控制要求更高。设计了一台双极性全固态直线型变压器驱动源(SSLTD),双极性SSLTD由结构完全相同的LTD模块经过副边绕组反向串联构成,在负载上实现双极性窄脉冲。双极性SSLTD输出波形稳定的脉冲的关键在于磁芯复位,通过电阻负载实验,重点对比分析了复位电流的形式对复位效果的影响,以及采用直流复位时幅值、脉宽、正负脉冲时间间隔、单级模块中开关管并联数量、复位电流大小对双极性SSLTD输出的影响。实验结果表明,所设计的双极性SSLTD能够在500 Ω负载上稳定产生重频双极性纳秒脉冲,输出电压0~±5 kV可调,脉宽200~400 ns可调,正负脉冲时间间隔0~1 ms可调,上升沿和下降沿20~50 ns;反向串联的直流复位电路结构简单、复位效果好。该脉冲源使用模块化设计,结构紧凑,电气绝缘要求较低,可灵活输出双极性、正极性与负极性高压亚微秒脉冲。
2021, 33: 065007.
doi: 10.11884/HPLPB202133.210086
摘要:
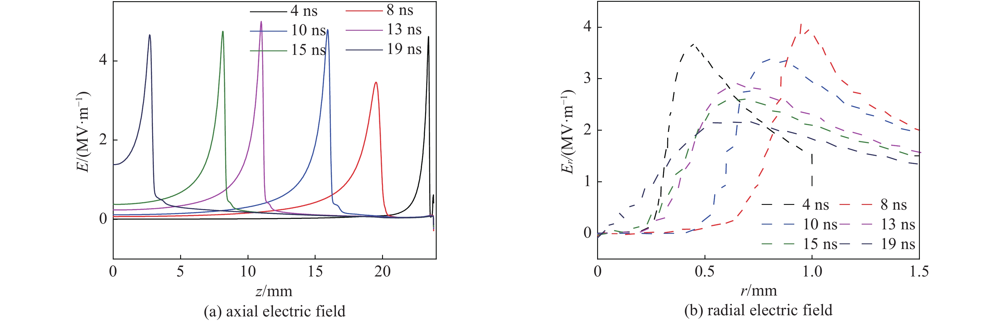
构建了输出电压幅值为0~20 kV、脉冲重复频率为0.25~20 kHz的双极性高压脉冲电源实验平台,研究了变压器寄生参数与负载特性对输出脉冲波形的影响。采用等效电路复频域解析方法,分析了变压器寄生参数对输出脉冲波形的上升沿、平顶及下降沿的影响规律,并通过改变变压器绕线方案间接验证。发现变压器分布电容和漏感越大,输出脉冲波形上升沿与下降沿越平缓,过冲电压幅值越大,并采用脉冲变压器二次侧均匀密绕、一次侧均匀疏绕、高匝数的方案进行优化。进一步分析了纯阻性、阻容性或阻感性负载特性对输出高压脉冲波形的影响规律,发现电阻值增大(5~50 kΩ),过冲电压幅值增大,脉冲上升沿和下降沿变陡;当负载电阻回路串联小电容时,过冲电压幅值显著增大,而电容值高于一定值时输出脉冲波形恢复至与纯电阻波形一样;当负载电阻回路串联电感时,输出脉冲波形下降沿变平缓。
构建了输出电压幅值为0~20 kV、脉冲重复频率为0.25~20 kHz的双极性高压脉冲电源实验平台,研究了变压器寄生参数与负载特性对输出脉冲波形的影响。采用等效电路复频域解析方法,分析了变压器寄生参数对输出脉冲波形的上升沿、平顶及下降沿的影响规律,并通过改变变压器绕线方案间接验证。发现变压器分布电容和漏感越大,输出脉冲波形上升沿与下降沿越平缓,过冲电压幅值越大,并采用脉冲变压器二次侧均匀密绕、一次侧均匀疏绕、高匝数的方案进行优化。进一步分析了纯阻性、阻容性或阻感性负载特性对输出高压脉冲波形的影响规律,发现电阻值增大(5~50 kΩ),过冲电压幅值增大,脉冲上升沿和下降沿变陡;当负载电阻回路串联小电容时,过冲电压幅值显著增大,而电容值高于一定值时输出脉冲波形恢复至与纯电阻波形一样;当负载电阻回路串联电感时,输出脉冲波形下降沿变平缓。
2021, 33: 065008.
doi: 10.11884/HPLPB202133.210020
摘要:
利用纳秒脉冲电源激励大气压空气中针-水结构气液放电,研究了不同脉冲参数下的放电特性、等离子体特性和活化水中活性粒子浓度的变化规律。结果表明,在一个脉冲周期内放电分为3个阶段,其中发生在脉冲持续时间内和下降沿的两次放电较强,上升沿的放电较弱。当脉冲电压增大时,放电电流、平均功率、发光强度和发射光谱强度均逐渐增大;当频率增大时,放电电流几乎不变,但是功率显著增大,放电发光强度和发射光谱强度均增大。电压上升沿时间的增大则会减弱放电强度,相应的放电发光强度和发射光谱强度均减弱。而电压下降沿的增大则会增强放电,发光强度和发射光谱强度增大。当脉冲电压、频率和下降沿时间增大,H2O2,\begin{document}${\rm{NO}}_2^ - $\end{document} ![]()
![]()
和\begin{document}${\rm{NO}}_3^ - $\end{document} ![]()
![]()
浓度逐渐增大;而电压上升沿时间增大会导致3种活性粒子浓度逐渐降低。
利用纳秒脉冲电源激励大气压空气中针-水结构气液放电,研究了不同脉冲参数下的放电特性、等离子体特性和活化水中活性粒子浓度的变化规律。结果表明,在一个脉冲周期内放电分为3个阶段,其中发生在脉冲持续时间内和下降沿的两次放电较强,上升沿的放电较弱。当脉冲电压增大时,放电电流、平均功率、发光强度和发射光谱强度均逐渐增大;当频率增大时,放电电流几乎不变,但是功率显著增大,放电发光强度和发射光谱强度均增大。电压上升沿时间的增大则会减弱放电强度,相应的放电发光强度和发射光谱强度均减弱。而电压下降沿的增大则会增强放电,发光强度和发射光谱强度增大。当脉冲电压、频率和下降沿时间增大,H2O2,
2021, 33: 065009.
doi: 10.11884/HPLPB202133.210113
摘要:
为了提高非常规油气的产量,解决非常规油气储层改善的难题,对储层的电脉冲共振技术进行研究,利用电脉冲激励源作为敲击锤实现对储层固有频率的检测,通过对电压电流环的控制实现放电频率的快速准确调节。研发了可用于现场施工作业的非常规储层共振增产装置样机,形成了初步的施工作业流程,完成了山西五口煤层气井的现场实验。实验结果表明电脉冲冲击波的有效作用范围可达400~500 m,对储层裂缝改善效果明显,应用前景十分广阔。
为了提高非常规油气的产量,解决非常规油气储层改善的难题,对储层的电脉冲共振技术进行研究,利用电脉冲激励源作为敲击锤实现对储层固有频率的检测,通过对电压电流环的控制实现放电频率的快速准确调节。研发了可用于现场施工作业的非常规储层共振增产装置样机,形成了初步的施工作业流程,完成了山西五口煤层气井的现场实验。实验结果表明电脉冲冲击波的有效作用范围可达400~500 m,对储层裂缝改善效果明显,应用前景十分广阔。
2021, 33: 065010.
doi: 10.11884/HPLPB202133.210103
摘要:
脉冲电流驱动金属丝电爆炸可产生具有较高能量密度的等离子体,并伴随脉冲电磁辐射、强冲击波等效应,广泛应用于Z箍缩、电热化学武器、油气助采等领域;与纯金属相比,合金具备电阻率高、成分可调、相变复杂等特点,在电爆炸效应参数的调控方面具有很大潜力。开展了大气空气介质中铜、镍、铜镍(康铜)丝在微秒时间尺度电脉冲作用下电爆炸实验研究,通过放电参数与自辐射图像诊断,获取电爆炸过程放电参数与时空演变的特性规律,得到脉冲电流作用下合金电爆炸在相变与等离子体方面的特征。实验发现,在电爆炸早期,铜镍合金的高电阻率能够提高能量沉积效率:铜52%、镍74%、铜镍合金78%;而相爆开始后,合金丝负载则更接近纯镍丝负载性能。等离子体通道早期膨胀速率在5 mm/μs量级,随后迅速衰减;合金丝等离子体膨胀时间更久,击穿后平均电阻率上升缓慢,且等离子体辐射与金属爆炸产物在空间尺度上存在关联性。特别地,铜镍合金气溶胶分层同时具有横向和纵向特征(特征尺度10−1 mm),但整体较铜气溶胶更为均匀。
脉冲电流驱动金属丝电爆炸可产生具有较高能量密度的等离子体,并伴随脉冲电磁辐射、强冲击波等效应,广泛应用于Z箍缩、电热化学武器、油气助采等领域;与纯金属相比,合金具备电阻率高、成分可调、相变复杂等特点,在电爆炸效应参数的调控方面具有很大潜力。开展了大气空气介质中铜、镍、铜镍(康铜)丝在微秒时间尺度电脉冲作用下电爆炸实验研究,通过放电参数与自辐射图像诊断,获取电爆炸过程放电参数与时空演变的特性规律,得到脉冲电流作用下合金电爆炸在相变与等离子体方面的特征。实验发现,在电爆炸早期,铜镍合金的高电阻率能够提高能量沉积效率:铜52%、镍74%、铜镍合金78%;而相爆开始后,合金丝负载则更接近纯镍丝负载性能。等离子体通道早期膨胀速率在5 mm/μs量级,随后迅速衰减;合金丝等离子体膨胀时间更久,击穿后平均电阻率上升缓慢,且等离子体辐射与金属爆炸产物在空间尺度上存在关联性。特别地,铜镍合金气溶胶分层同时具有横向和纵向特征(特征尺度10−1 mm),但整体较铜气溶胶更为均匀。
2021, 33: 065011.
doi: 10.11884/HPLPB202133.210148
摘要:
采用二维轴对称流体模型对比研究了3种不同电极结构下大气压Ar等离子体射流的基本特性。第一种是带绝缘介质的针电极结构(电场方向和气体流方向平行),第二种是在第一种电极结构的介质管外增加一个垂直气流方向的接地环电极,第三种是不带绝缘介质的裸针电极结构。研究结果表明,接地环电极的引入对介质管内外的射流传播影响不同。在介质管内,接地环电极使管内表面附近的径向电场增加,电子密度升高,射流传播速度加快,但对中心轴附近的电场和电子密度影响很小;然而在介质管外,接地环电极的引入导致轴向和径向电场均减小,从而引起射流的传播长度减小,射流通道径向收缩。通过带绝缘介质的针电极和裸针电极结构的对比研究发现,保持其他条件不变,去掉包裹在针电极上的介质后,由于等离子体电势升高,电场增加,射流的传播长度几乎增加一倍,峰值电子密度增加近一个数量级,而且在整个射流通道内电子密度都保持相对高的值。此外,对3种电极结构下的主要活性粒子的产生和输运进行了比较研究。
采用二维轴对称流体模型对比研究了3种不同电极结构下大气压Ar等离子体射流的基本特性。第一种是带绝缘介质的针电极结构(电场方向和气体流方向平行),第二种是在第一种电极结构的介质管外增加一个垂直气流方向的接地环电极,第三种是不带绝缘介质的裸针电极结构。研究结果表明,接地环电极的引入对介质管内外的射流传播影响不同。在介质管内,接地环电极使管内表面附近的径向电场增加,电子密度升高,射流传播速度加快,但对中心轴附近的电场和电子密度影响很小;然而在介质管外,接地环电极的引入导致轴向和径向电场均减小,从而引起射流的传播长度减小,射流通道径向收缩。通过带绝缘介质的针电极和裸针电极结构的对比研究发现,保持其他条件不变,去掉包裹在针电极上的介质后,由于等离子体电势升高,电场增加,射流的传播长度几乎增加一倍,峰值电子密度增加近一个数量级,而且在整个射流通道内电子密度都保持相对高的值。此外,对3种电极结构下的主要活性粒子的产生和输运进行了比较研究。
2021, 33: 065012.
doi: 10.11884/HPLPB202133.200320
摘要:
射频电感耦合等离子体(ICP)放电方式能够在较宽的压强范围内产生大面积、密度高的等离子体,在对电磁波衰减应用中具有较大优势。通过研究ICP等离子体与电磁波相互作用的过程,改进闭式等离子体模型,建立电磁波在非均匀等离子体中传播的分层计算模型,对实测诊断分布情形下等离子体与电磁波的相互作用进行研究,得到不同功率条件下电磁波衰减的变化情况;提出射频电感耦合闭式等离子体用于电磁波衰减的方法并实验验证,基于等离子体覆盖金属平板的测量模型,在实验室内搭建了以金属板为衬底的弓形微波反射测试系统,研究了闭式等离子体对4~8 GHz频段范围内微波反射的作用特性,以及不同射频功率对微波反射的影响规律,并将实验测量与计算结果进行对比分析。实验表明,通过功率调节,电感耦合闭式等离子体对5.92~6.8 GHz频带电磁波具有明显的衰减作用。
射频电感耦合等离子体(ICP)放电方式能够在较宽的压强范围内产生大面积、密度高的等离子体,在对电磁波衰减应用中具有较大优势。通过研究ICP等离子体与电磁波相互作用的过程,改进闭式等离子体模型,建立电磁波在非均匀等离子体中传播的分层计算模型,对实测诊断分布情形下等离子体与电磁波的相互作用进行研究,得到不同功率条件下电磁波衰减的变化情况;提出射频电感耦合闭式等离子体用于电磁波衰减的方法并实验验证,基于等离子体覆盖金属平板的测量模型,在实验室内搭建了以金属板为衬底的弓形微波反射测试系统,研究了闭式等离子体对4~8 GHz频段范围内微波反射的作用特性,以及不同射频功率对微波反射的影响规律,并将实验测量与计算结果进行对比分析。实验表明,通过功率调节,电感耦合闭式等离子体对5.92~6.8 GHz频带电磁波具有明显的衰减作用。
2021, 33: 065013.
doi: 10.11884/HPLPB202133.210071
摘要:
真空断路器开断过程中弧后残余等离子体是表征其开断性能的重要参量。基于探针电子饱和区域工作原理,提出了一种真空电弧弧后残余等离子体电子密度测量方法,分析了其结构和工作原理。设计了探针诊断系统的探针结构和控制系统,基于可拆卸真空腔体进行了残余等离子体电子密度的单探针测量实验,采用高速相机观测电弧发展演变过程,研究了电流大小、触头结构等参数对残余等离子体衰减过程的影响。通过前人其他诊断方法对比验证了该测量方法的有效性,为后续真空断路器弧后微观特性研究提供了一种低成本、有效的诊断方法。
真空断路器开断过程中弧后残余等离子体是表征其开断性能的重要参量。基于探针电子饱和区域工作原理,提出了一种真空电弧弧后残余等离子体电子密度测量方法,分析了其结构和工作原理。设计了探针诊断系统的探针结构和控制系统,基于可拆卸真空腔体进行了残余等离子体电子密度的单探针测量实验,采用高速相机观测电弧发展演变过程,研究了电流大小、触头结构等参数对残余等离子体衰减过程的影响。通过前人其他诊断方法对比验证了该测量方法的有效性,为后续真空断路器弧后微观特性研究提供了一种低成本、有效的诊断方法。
2021, 33: 065014.
doi: 10.11884/HPLPB202133.210116
摘要:
真空断路器的开断容量限制其在高压大电流开断领域的应用,获取燃弧过程中的等离子体参数对于提高真空断路器的开断容量至关重要。利用发射光谱法对真空电弧内的等离子体参数进行了诊断,研究了在不同电流幅值条件下真空电弧内电子温度、电子密度、谱线强度的轴向分布规律,结合真空电弧高速图片对真空电弧内不同粒子的扩散过程与弧柱直径之间的关系进行了分析。得到的电子温度在8000~10 000 K量级,电子密度在1019~1020 m−3量级,电子温度与电子密度从阴极向阳极逐渐下降,同时铜原子谱线强度主要集中在两极而一价铜离子谱线强度由阴极向阳极逐渐升高。铜原子谱线强度的径向分布呈现类平顶波分布、一价铜离子谱线强度的径向分布呈现类高斯分布的特点,且铜原子的谱线范围略大于弧柱直径,一价铜离子的谱线范围略小于弧柱直径,两种粒子的扩散速度存在差异。
真空断路器的开断容量限制其在高压大电流开断领域的应用,获取燃弧过程中的等离子体参数对于提高真空断路器的开断容量至关重要。利用发射光谱法对真空电弧内的等离子体参数进行了诊断,研究了在不同电流幅值条件下真空电弧内电子温度、电子密度、谱线强度的轴向分布规律,结合真空电弧高速图片对真空电弧内不同粒子的扩散过程与弧柱直径之间的关系进行了分析。得到的电子温度在8000~10 000 K量级,电子密度在1019~1020 m−3量级,电子温度与电子密度从阴极向阳极逐渐下降,同时铜原子谱线强度主要集中在两极而一价铜离子谱线强度由阴极向阳极逐渐升高。铜原子谱线强度的径向分布呈现类平顶波分布、一价铜离子谱线强度的径向分布呈现类高斯分布的特点,且铜原子的谱线范围略大于弧柱直径,一价铜离子的谱线范围略小于弧柱直径,两种粒子的扩散速度存在差异。
2021, 33: 065015.
doi: 10.11884/HPLPB202133.210084
摘要:
氧气是石墨电极气体开关中必不可少的组分,用于氧化石墨电极在高温电弧冲击下形成的石墨蒸汽,防止熄弧后石墨蒸汽凝华成固体粉末给开关带来绝缘危害。为提高石墨蒸汽的氧化比例,研究了背景气体组分和氧气浓度对石墨氧化反应的影响,选取3种气体N2,Ar,He作为背景气体,研究不同气氛电弧的氧化反应特征;在传统的类空气气体(80%的N2+20%的O2)的基础上,提高氧气浓度至40%和60%,研究氧气浓度对碳质氧化比例的改善作用。基于不同气体组分的热力学参数和输运系数,通过电弧磁流体动力学计算模型得到开关温度特征,将电弧与电极界面的热流强度作为石墨电极质量损失速率的评估依据。实验结果表明,随着氧气浓度的升高,石墨蒸汽的氧化比例逐步提高,但当氧气浓度高于40%时,存在电弧引燃石墨电极的风险。当氧气浓度恒定20%时,以Ar作为背景气体时石墨电极质量损失速率较小,且碳蒸汽在电弧中氧化更加充分。因此,相比于传统的开关气体介质,将背景气体替换为Ar或将氧气浓度提高至约40%均能提升碳氧反应效率,降低开关中的杂质残余量。
氧气是石墨电极气体开关中必不可少的组分,用于氧化石墨电极在高温电弧冲击下形成的石墨蒸汽,防止熄弧后石墨蒸汽凝华成固体粉末给开关带来绝缘危害。为提高石墨蒸汽的氧化比例,研究了背景气体组分和氧气浓度对石墨氧化反应的影响,选取3种气体N2,Ar,He作为背景气体,研究不同气氛电弧的氧化反应特征;在传统的类空气气体(80%的N2+20%的O2)的基础上,提高氧气浓度至40%和60%,研究氧气浓度对碳质氧化比例的改善作用。基于不同气体组分的热力学参数和输运系数,通过电弧磁流体动力学计算模型得到开关温度特征,将电弧与电极界面的热流强度作为石墨电极质量损失速率的评估依据。实验结果表明,随着氧气浓度的升高,石墨蒸汽的氧化比例逐步提高,但当氧气浓度高于40%时,存在电弧引燃石墨电极的风险。当氧气浓度恒定20%时,以Ar作为背景气体时石墨电极质量损失速率较小,且碳蒸汽在电弧中氧化更加充分。因此,相比于传统的开关气体介质,将背景气体替换为Ar或将氧气浓度提高至约40%均能提升碳氧反应效率,降低开关中的杂质残余量。
2021, 33: 065016.
doi: 10.11884/HPLPB202133.210100
摘要:
结合等离子体表面刻蚀方法与梯度改性方法,实现了氧化铝/环氧树脂表面的等离子体梯度刻蚀。利用扫描电子显微镜(SEM)、表面轮廓仪、X射线光电子能谱分析(XPS)、高阻计、闪络电压和表面电位测试系统,对比了未处理、等离子体均匀刻蚀、等离子体梯度刻蚀三种情况的样片表面形貌、化学元素和电气参数,研究了等离子体梯度刻蚀对沿面闪络性能的提升机理。结果表明,等离子体表面刻蚀可提升环氧树脂表面粗糙度、提高样片表面电导率、浅化陷阱能级以及提升沿面闪络电压。等离子体梯度刻蚀对闪络电压的提升效果要优于等离子体均匀刻蚀,相比于未处理样片最大可提升26.5%。分析认为针-针电极的电场分布可划分为三结合点处附近的高场强区和电极之间的低场强区,加快高场强区的表面电荷消散速率并适当控制低场强区表面电荷迁移速率,可以最大程度地提升样片整体的沿面闪络性能。
结合等离子体表面刻蚀方法与梯度改性方法,实现了氧化铝/环氧树脂表面的等离子体梯度刻蚀。利用扫描电子显微镜(SEM)、表面轮廓仪、X射线光电子能谱分析(XPS)、高阻计、闪络电压和表面电位测试系统,对比了未处理、等离子体均匀刻蚀、等离子体梯度刻蚀三种情况的样片表面形貌、化学元素和电气参数,研究了等离子体梯度刻蚀对沿面闪络性能的提升机理。结果表明,等离子体表面刻蚀可提升环氧树脂表面粗糙度、提高样片表面电导率、浅化陷阱能级以及提升沿面闪络电压。等离子体梯度刻蚀对闪络电压的提升效果要优于等离子体均匀刻蚀,相比于未处理样片最大可提升26.5%。分析认为针-针电极的电场分布可划分为三结合点处附近的高场强区和电极之间的低场强区,加快高场强区的表面电荷消散速率并适当控制低场强区表面电荷迁移速率,可以最大程度地提升样片整体的沿面闪络性能。
2021, 33: 065017.
doi: 10.11884/HPLPB202133.210021
摘要:
为了提高等离子体对聚合物材料表面处理的应用效果,优化亲水处理的条件,研究了交流和纳秒脉冲氩气介质阻挡放电(DBD)中添加适量H2O,对聚丙烯(PP)亲水改性的处理效果。利用电学和光学诊断方法,系统地对比了交流DBD和纳秒脉冲DBD的放电特性,结果表明,纳秒电源驱动DBD具有更高的放电瞬时功率,更好的放电均匀性和更高的能量效率。通过测量不同水蒸气含量下DBD的OH发射光谱强度,确定了PP材料亲水性处理中H2O添加的最优含量。利用交流和纳秒脉冲电源驱动DBD分别对PP材料进行亲水改性的处理,测量了不同条件下改性处理后的表面水接触角,并利用原子力显微镜(AFM)和傅里叶红外光谱(FTIR)分别对处理前后PP材料的表面物理形貌和表面化学成分进行分析。结果发现,经DBD处理后PP材料的水接触角明显降低,表面粗糙度明显增大,表面的亲水性含氧基团,羟基(−OH)和羰基(C=O)的数量大幅增加。相比交流电源,纳秒脉冲DBD处理的改性效果更好,其处理后的材料表面水接触角,比交流DBD处理的低5°左右,表面粗糙度也有所提升。而水蒸气的加入可使PP材料的表面水接触角进一步减小4°左右,表面粗糙度明显提升。研究结果为优化DBD聚合物材料表面改性实验条件及处理的效果提供了重要的参考依据。
为了提高等离子体对聚合物材料表面处理的应用效果,优化亲水处理的条件,研究了交流和纳秒脉冲氩气介质阻挡放电(DBD)中添加适量H2O,对聚丙烯(PP)亲水改性的处理效果。利用电学和光学诊断方法,系统地对比了交流DBD和纳秒脉冲DBD的放电特性,结果表明,纳秒电源驱动DBD具有更高的放电瞬时功率,更好的放电均匀性和更高的能量效率。通过测量不同水蒸气含量下DBD的OH发射光谱强度,确定了PP材料亲水性处理中H2O添加的最优含量。利用交流和纳秒脉冲电源驱动DBD分别对PP材料进行亲水改性的处理,测量了不同条件下改性处理后的表面水接触角,并利用原子力显微镜(AFM)和傅里叶红外光谱(FTIR)分别对处理前后PP材料的表面物理形貌和表面化学成分进行分析。结果发现,经DBD处理后PP材料的水接触角明显降低,表面粗糙度明显增大,表面的亲水性含氧基团,羟基(−OH)和羰基(C=O)的数量大幅增加。相比交流电源,纳秒脉冲DBD处理的改性效果更好,其处理后的材料表面水接触角,比交流DBD处理的低5°左右,表面粗糙度也有所提升。而水蒸气的加入可使PP材料的表面水接触角进一步减小4°左右,表面粗糙度明显提升。研究结果为优化DBD聚合物材料表面改性实验条件及处理的效果提供了重要的参考依据。
2021, 33: 065018.
doi: 10.11884/HPLPB202133.210106
摘要:
环氧树脂作为常见的绝缘材料,在高压直流电场作用下易在其表面积累电荷,发生电场畸变,导致材料绝缘性能下降,影响电力系统运行可靠性。为改善气固界面的电荷特性和绝缘性能,在大气压等离子体射流技术的基础上,对环氧树脂表面进行等离子体梯度硅沉积处理。对改性前后环氧树脂表面理化特性、表面电导率、表面电荷消散和沿面耐压特性进行了多参数测量。实验结果表明,梯度改性对材料表面的物理形貌和化学组分均有明显影响,不同区域的电导率实现了梯度分布,加快了表面电荷消散速度,表面陷阱能级变浅;梯度改性后的样品沿面闪络电压提升幅度可达30.16%。通过等离子体表面梯度硅沉积处理能够改善环氧树脂表面电气性能,在高压直流设备的绝缘设计方面具有广阔的应用前景。
环氧树脂作为常见的绝缘材料,在高压直流电场作用下易在其表面积累电荷,发生电场畸变,导致材料绝缘性能下降,影响电力系统运行可靠性。为改善气固界面的电荷特性和绝缘性能,在大气压等离子体射流技术的基础上,对环氧树脂表面进行等离子体梯度硅沉积处理。对改性前后环氧树脂表面理化特性、表面电导率、表面电荷消散和沿面耐压特性进行了多参数测量。实验结果表明,梯度改性对材料表面的物理形貌和化学组分均有明显影响,不同区域的电导率实现了梯度分布,加快了表面电荷消散速度,表面陷阱能级变浅;梯度改性后的样品沿面闪络电压提升幅度可达30.16%。通过等离子体表面梯度硅沉积处理能够改善环氧树脂表面电气性能,在高压直流设备的绝缘设计方面具有广阔的应用前景。
2021, 33: 065019.
doi: 10.11884/HPLPB202133.210102
摘要:
等离子体对材料的改性效果随放置时间会有所减弱,即表现出一定的时效性,限制了等离子体改性技术的进一步发展。为了探究等离子体介质阻挡放电(DBD)氟化改性环氧树脂的时效性,利用等离子体介质阻挡放电实现了环氧树脂表面氟化改性,并利用扫描电镜(SEM)、表面轮廓仪、X射线光电子能谱分析(XPS)、接触角测试仪、高阻计和闪络电压、表面电位测试系统对改性前和改性后放置在25 ℃老化箱中0~30 d的环氧树脂表面进行了物理形貌和化学组分的表征以及电气性能的测试。测试结果表明,DBD氟化改性实现了氟元素在环氧树脂表面接枝,这使得环氧树脂表面能降低,表面电阻率减小,陷阱能级变浅,从而加快了表面电位衰减速度,进而提升了沿面闪络电压。同时,等离子体DBD氟化改性环氧树脂表现出一定的时效性,放置30 d后,氟元素含量减少,表面能增大,表面电位衰减速度略有减慢,闪络电压也有所下降,但仍高于未处理的试样。
等离子体对材料的改性效果随放置时间会有所减弱,即表现出一定的时效性,限制了等离子体改性技术的进一步发展。为了探究等离子体介质阻挡放电(DBD)氟化改性环氧树脂的时效性,利用等离子体介质阻挡放电实现了环氧树脂表面氟化改性,并利用扫描电镜(SEM)、表面轮廓仪、X射线光电子能谱分析(XPS)、接触角测试仪、高阻计和闪络电压、表面电位测试系统对改性前和改性后放置在25 ℃老化箱中0~30 d的环氧树脂表面进行了物理形貌和化学组分的表征以及电气性能的测试。测试结果表明,DBD氟化改性实现了氟元素在环氧树脂表面接枝,这使得环氧树脂表面能降低,表面电阻率减小,陷阱能级变浅,从而加快了表面电位衰减速度,进而提升了沿面闪络电压。同时,等离子体DBD氟化改性环氧树脂表现出一定的时效性,放置30 d后,氟元素含量减少,表面能增大,表面电位衰减速度略有减慢,闪络电压也有所下降,但仍高于未处理的试样。
2021, 33: 065020.
doi: 10.11884/HPLPB202133.210051
摘要:
综述了不同阳极结构脉冲金属离子等离子体推进器的放电特性、等离子体生成及传播特性。首先,讨论了一种带有绝缘套筒的裸阳极推进器结构。对比分析了无、有绝缘套筒的裸阳极推进器的等离子体生成及传播特性的区别。结果表明,绝缘套筒阻碍了阴极近旁带电粒子的径向运动,提高了沿绝缘套筒轴向喷射出去的等离子体的喷射性能。此外,发现采用裸阳极推进器结构放电过程中会有大量带电粒子进入阳极。其次,讨论了一种绝缘阳极推进器结构。结果表明,采用绝缘阳极结构进一步提高了沿绝缘套筒轴向喷射出去的等离子体密度。但是,与裸阳极推进器结构相比,等离子体的生成量减少。再次,讨论了一种微孔绝缘阳极推进器结构。结果表明,与裸阳极推进器结构相比,采用微孔绝缘阳极推进器结构生成的等离子体的密度峰值和传播速度峰值分别提高了12.6倍、3.9倍。最后,分别讨论了一种螺旋阳极推进器结构和一种多阳极推进器结构。结果表明,这两种推进器结构分别利用放电过程中形成的自磁场及电场有效提高了等离子体羽流的定向喷射性能。本研究可以为金属等离子体喷射性能的提高以及脉冲金属离子等离子体推进器的设计提供支持。
综述了不同阳极结构脉冲金属离子等离子体推进器的放电特性、等离子体生成及传播特性。首先,讨论了一种带有绝缘套筒的裸阳极推进器结构。对比分析了无、有绝缘套筒的裸阳极推进器的等离子体生成及传播特性的区别。结果表明,绝缘套筒阻碍了阴极近旁带电粒子的径向运动,提高了沿绝缘套筒轴向喷射出去的等离子体的喷射性能。此外,发现采用裸阳极推进器结构放电过程中会有大量带电粒子进入阳极。其次,讨论了一种绝缘阳极推进器结构。结果表明,采用绝缘阳极结构进一步提高了沿绝缘套筒轴向喷射出去的等离子体密度。但是,与裸阳极推进器结构相比,等离子体的生成量减少。再次,讨论了一种微孔绝缘阳极推进器结构。结果表明,与裸阳极推进器结构相比,采用微孔绝缘阳极推进器结构生成的等离子体的密度峰值和传播速度峰值分别提高了12.6倍、3.9倍。最后,分别讨论了一种螺旋阳极推进器结构和一种多阳极推进器结构。结果表明,这两种推进器结构分别利用放电过程中形成的自磁场及电场有效提高了等离子体羽流的定向喷射性能。本研究可以为金属等离子体喷射性能的提高以及脉冲金属离子等离子体推进器的设计提供支持。
2021, 33: 065021.
doi: 10.11884/HPLPB202133.210118
摘要:
石墨材料作为一种工业原料,特别是纯度在99.9%以上的高纯石墨被应用在各大高科技领域,现有物理法和化学法的石墨提纯技术成本高、酸碱对设备和环境破坏严重、工艺流程复杂,因此开发一种优良有效的石墨提纯技术,已成为近年来国内外研究的热点。建立了一种利用非转移电弧等离子体炬提纯大鳞片石墨的方法,利用电弧可快速产生高温的特性,对黑龙江省鸡西市纯度为94.18%的大鳞片石墨样品进行高温处理。研究显示在本文电弧装置下提纯石墨的最佳放电参数范围气流量为25 L/min、电流为400 A、功率为10 kW,此时的电弧表面温度高达3350 ℃,利用扫描电子显微镜等对电弧处理前后石墨样品的微观结构对比发现石墨样品出现粉碎、断裂等特点,根据石墨化学分析方法国家标准GB/T 3521 2008对石墨纯度及其杂质进行研究分析,经电弧处理后石墨纯度提高到99.21%。
石墨材料作为一种工业原料,特别是纯度在99.9%以上的高纯石墨被应用在各大高科技领域,现有物理法和化学法的石墨提纯技术成本高、酸碱对设备和环境破坏严重、工艺流程复杂,因此开发一种优良有效的石墨提纯技术,已成为近年来国内外研究的热点。建立了一种利用非转移电弧等离子体炬提纯大鳞片石墨的方法,利用电弧可快速产生高温的特性,对黑龙江省鸡西市纯度为94.18%的大鳞片石墨样品进行高温处理。研究显示在本文电弧装置下提纯石墨的最佳放电参数范围气流量为25 L/min、电流为400 A、功率为10 kW,此时的电弧表面温度高达3350 ℃,利用扫描电子显微镜等对电弧处理前后石墨样品的微观结构对比发现石墨样品出现粉碎、断裂等特点,根据石墨化学分析方法国家标准GB/T 3521 2008对石墨纯度及其杂质进行研究分析,经电弧处理后石墨纯度提高到99.21%。

Email alert
RSS
