2021年 33卷 第7期
对全腔输出半透明阴极相对论磁控管做了进一步的改进,并对其进行了物理分析和三维全电磁粒子模拟研究。通过半透明阴极结构的改进,即改变阴极角向方位和阴极发射面高度参差设计以及局部参数优化,使得在较宽的工作参数范围内,器件起振初期可能出现的模式竞争得到抑制,起振时间进一步缩短,同时输出效率得到较大提高。在注入电子束电压和电流分别约为518 kV和4.1 kA、外加磁场为0.575 T时,模拟在S波段获得了效率大于66%、功率约1.42 GW的微波输出。同时还给出了电子束电压和外加磁场等参数在一定范围内变化时对输出性能的影响规律。研究结果可应用于高效紧凑型相对论磁控管的实验研究。
以实现GW级高功率微波源长时间稳定运行为目标,利用应用电子学研究所小型化Marx型脉冲功率源平台开展了L波段六腔衍射输出相对论磁控管长时间稳定运行实验研究。首先介绍了L波段六腔衍射输出相对论磁控管基本结构及长时间稳定运行实验装置基本情况,接着给出了测试系统布局及各参数测试方法,最后给出了实验研究结果:所研制的L波段衍射输出相对论磁控管在输出功率大于1 GW、重复频率10 Hz的条件下实现了超过55 min的长时间稳定运行,输出微波模式稳定,无竞争模式出现,中心频率为1.57 GHz。
提出了一种圆极化TE11输出模式旋向可在线切换的相对论磁控管。该器件互作用区结构采用同腔型磁控管结构,输出结构采用全腔提取结构,励磁系统采用Helmholtz线圈磁场系统。本文利用全腔提取结构的模式激励理论对该器件的输出模式成分进行了理论分析,利用粒子模拟软件对该器件的工作性能进行了模拟研究。粒子模拟结果表明:在外加电压770 kV和外加轴向磁场0.2 T(方向与微波轴向输出方向同向)的条件下,该器件的工作模式为5π/6模,工作频率为2.35 GHz,输出功率为3.86 GW,功率效率达到55.5%,输出模式为右旋圆极化TE11模式且模式纯度达到99%以上;当外加轴向磁场与微波轴向输出方向反向时,该器件的输出模式即可在线切换为左旋圆极化TE11模式,而其他输出性能基本保持不变。
相对论电子轰击阳极产生二次电子和释气以及释气电离产生的击穿现象是限制全腔轴向提取透明阴极磁控管(TCMAC)工作性能的一个重要因素。本研究对TCMAC中轰击产生的阳极二次电子以及释气电离现象进行了物理建模以及三维数值模拟研究,考察了其对TCMAC运行性能的影响。初步计算结果表明,二次电子发射与阳极释气对TCMAC工作都有一定影响,释气后电离产生的正离子数大于系统中电子数时,会导致TCMAC击穿。
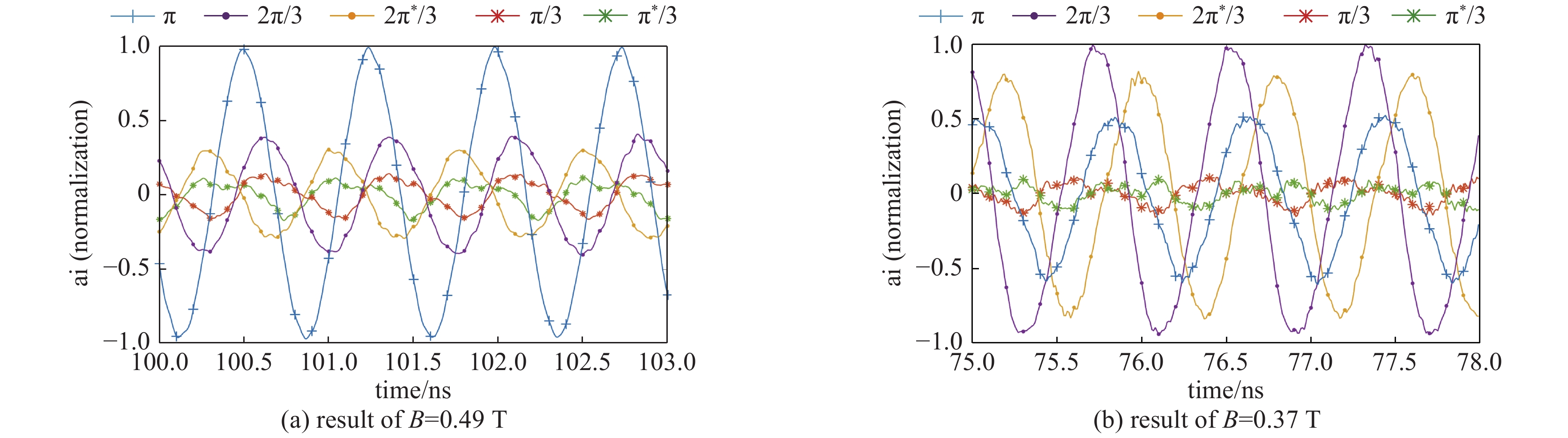
随着磁控管的发展,磁控管中的模式关系变得愈发复杂,模式间的竞争也愈发激烈。为了更好地进行磁控管的模式研究,基于本征模的正交性,推导并提出了一种模式分解的方法,并以A6型相对论磁控管作为研究对象,对其不同振荡状态下的工作场进行了模式分解的应用。结果表明,相对论磁控管振荡时,将会出现多模共存的现象,且磁控管将会振荡在成分最高的本征模频率上。同时,结果中展现了简并模式同时存在,以同趋势振荡的现象,结合PIC模拟方法,确定了具有径向输出结构的相对论磁控管能够在简并模式振荡的情况下,能够实现稳定的输出。
An L-band relativistic magnetron with cathode endcaps is presented and investigated numerically. Cathode endcaps are introduced in the relativistic magnetron to decrease the axial leakage current and enhance the power efficiency. Three-dimensional particle-in-cell simulations are carried out to investigate the effects of the cathode endcaps. The simulation results indicate that when adding cathode endcaps at both upstream and downstream of the interaction space and extending cathode beyond the anode block into the diffraction output (DO), electron leakage current is reduced from above 1 kA to 72 A and the power efficiency increases obviously. The endcaps can not only decrease the leakage current but also bring microwave reflection. Thus, the radius and the location of the endcaps have significant impact on power efficiency, and they have optimum values to make the efficiency highest. Typical optimized simulation results are as follows: working at an applied voltage of 563 kV and a magnetic field of 0.34 T, the relativistic magnetron with diffraction output (MDO) radiates microwave of 2.13 GW at 1.59 GHz, and the corresponding power conversion efficiency is 75.5%.
透明阴极技术对相对论磁控管振荡启动过程具有显著影响,但其加速启动过程的作用机理仍有待深入研究。对采用扇形单元透明阴极的L波段相对论磁控管进行数值模拟,分析了场分布模式和带电粒子空间运动规律,发现透明阴极与实心阴极在磁控管振荡启动过程的差异。可见透明阴极带来的静电场角向分量与外加轴向磁场引起的洛伦兹力,对初始工作状态的电子具有向阳极加速漂移的作用。采用透明阴极的相对论磁控管的电子轮辐外缘更贴近阳极,群聚电子在轴向上具有随距离连续变化的速度分布,使得电子与高频电磁场的能量交换更加充分。对扇形阴极单元的个数与张角组合的匹配效果进行了模拟,给出了磁控管振荡建立阶段静电场角向分量对阴极电子发射与漂移运动的作用规律。透明阴极的设计需要与磁控管慢波结构相匹配,以得到最优化的工作状态。
振荡放大一体化光纤激光器具有振荡器抗回光能力强和放大器效率高的双重优点,在工业领域有着很好的应用前景。国防科大首次实现了输出功率大于5 kW的振荡放大一体化光纤激光器,光光效率约为80%。重点研究了该激光器在高功率运行时的可靠性和控制逻辑。首先,类比普通放大器中“不开种子、只开放大”的情况:在振荡部分泵浦源关闭时,瞬间开启放大部分泵浦源;其次,类比普通放大器中“不关放大、只关种子”的情况:在放大部分泵浦源开启时,瞬间关闭振荡部分泵浦。实验结果表明,以上两种极端情况下激光器都可稳定正常工作。首次验证了该激光器在控制逻辑和泵浦源开关顺序方面无特殊要求。
本文采用溶胶-凝胶法制备了SiO2增透膜,然后对其进行等离子体结合六甲基二硅胺烷(HMDS)表面改性处理。研究了后处理改性对增透膜表面形貌、微观结构、光学性能及激光损伤性能的影响规律,获得了抗真空有机污染的二氧化硅增透膜。结果表明,增透膜在采用等离子体结合HMDS表面改性处理后,膜层收缩、粗糙度下降、极性羟基等有机基团含量减少;两步后处理改善了增透膜膜层结构和光学性能,显著提高了膜层疏水能力和真空条件下的抗污染性能,并且对溶胶-凝胶二氧化硅增透膜的高损伤阈值属性不产生影响。
宽带光打靶可以有效降低激光等离子体相互作用过程中非线性效应。提出一种基于角色散的非共线匹配宽带三倍频方案,利用宽带基频与窄带二倍频的非共线和频产生宽带三倍频,和频过程中通过特殊设计的渐变光栅实现不同频率的基频光束以特定角度入射,补偿了波长差异引入的位相失配使得全波段满足位相匹配条件。理论模拟表明,采用KDP晶体Ⅱ类位相匹配,将中心波长为1058 nm、带宽10 nm的宽带基频光与526.5 nm的二倍频光进行非共线匹配和频,可以实现高效宽带三倍频转换。
根据高功率半导体激光器对大功率、低纹波、高可靠性恒流源驱动源的需求,设计了基于4个BUCK模块并联交错输出的恒流电源,最大输出功率37.5 kW(250 V×150 A)。4个模块导通时间依次间隔T/4使模块间的纹波抵消降低,实现输出电流纹波率0.066%。利用FPGA并行优势快速响应输出保护,在12.2 µs内即可关断输出,保护优异。测试结果验证了设计,目前已成功应用于某项目中。
传统测量光束时间相干性的方法是通过机械扫描的方式实现的,这种方法不能够实现单次测量,而且对于相干时间较短的宽带光测量误差较大。本文提出了一种单次时间相干性测量的新方法,通过给迈克尔逊干涉仪的反射镜引入楔角,使光束波前产生随位置变化的延迟差,可从单次测量的一幅干涉图中计算提取出光场完整的时间相干性信息。实验中测量了不同宽带入射光的时间相干性,均与理论结果吻合较好。单次时间相干性测量的方法将为高功率宽带激光装置提供更为方便的时间相干性测量手段,提高实验测量效率。
为研究不同结构参数与来流参数下变截面超-超引射器的启动特性,用于指导超-超引射器设计与工况调试,采用二维雷诺平均Naiver-Stokes方程,数值研究了引射器混合室不同收缩比、一次流和二次流的不同总压比、总温比下超-超引射器的启动规律,并定义了“启动系数”来判别超-超引射流场是否建立。研究结果表明:随着收缩比(范围0.7~0.9)的增加,超-超引射器启动的临界总压比、总温比均先降低后升高,收缩比0.8时,存在最佳总压比5.88,最佳总温比0.21。结构参数一定,超-超引射器随总温比升高启动难度增加。当超-超引射器处于启动状态下,室压不随总温比、总压比变化而变化,引入的启动系数较引射系数可不依赖具体工况而直接判别超-超引射器是否启动。
针对大范围空间模拟强场电磁环境进行辐射效应试验难度大以及现有大电流注入(BCI)技术应用于非线性系统试验存在空白的问题,开展了屏蔽线耦合通道BCI等效替代辐照试验方法研究。以受试设备响应相等作为等效依据,建立了辐照法和注入法两种条件下受试设备响应的分析模型,推导出了注入激励源电压与辐照场强之间的等效对应关系,提出了BCI等效替代辐照的条件和试验方法,并进行了试验验证。研究结果表明,BCI方法是可以精确等效受试设备的辐照效应试验,试验误差不超过2 dB,能够满足工程的实际需求。
从降低收集极表面峰值功率和平均功率入手,设计了一种由12个横向椭圆交流线圈和2个轴向直流线圈组成的磁场扫描系统。针对140 GHz、TE28,8模、1 MW功率输出回旋振荡管收集极的设计参数,结合电磁场理论和带电粒子电磁软件仿真,获得收集极表面上电子注的峰值和平均功率密度分别不超过404.91 W/cm2和244.01 W/cm2,以及扫描长度达到443.33 mm的扫描效果,有效地缓解了收集极功率耗散和冷却的压力。
介质沿空间固定方向均匀分布的结构在电磁导波器件中有十分广泛的应用,对这类器件的分析通常被称为2.5D电磁问题。利用器件在固定方向介质分布均匀的特点,将电磁场量沿该方向进行空间傅里叶变换,可以把对三维问题的分析转化为两维问题求解,从而极大地减小计算开销。针对传统基于差分的2.5D电磁场算法在弯曲形状逼近上有阶梯误差的缺陷,本文提出了基于三角形网格的2.5D时域间断有限元方法(DGTD),并用它模拟了电偶极子与光纤的耦合效率和光子晶体光纤的色散特性。与基于规则网格的2.5D差分方法进行对比。结果表明,文中建立的2.5D DGTD方法对弯曲形状的模拟更加逼真,计算内存占用最大减少10.4%,计算精度最大相差0.011%,计算时间缩短74.9%,计算效率提高。
发展微焦点高能X射线源技术是实现高精度高能工业CT突破的关键,基于激光尾波加速驱动高能轫致辐射源开展了微焦点高能X射线源产生以及对涡轮叶片高能CT成像研究。利用一台20 TW钛蓝宝石超快超强激光器,通过电离注入的方式获得了(140±44)pC的高能电子束,并使用1.5 mm厚钨靶产生了累积源尺寸为25 μm的高能轫致辐射X射线。利用该微焦点高能X射线源,采用基于压缩感知的CT重建算法,在获取较少角度投影(31个角度)的情况下,获得了对涡轮叶片叶榫结构的CT重建。
强流重离子加速器装置(HIAF)的增强器(BRing)二极铁电源样机采用多模块串并联的全储能快循环脉冲电源实现方案,电源功率达到MW级。由于电源规模庞大和功率巨大,为了在运行中迅速保护电源设备,设计并实现了一套双冗余的基于可编程逻辑控制器(PLC)、模块故障联锁板和现场可编程门阵列(FPGA)的模块故障联锁保护系统,利用硬件和软件同时对电源功率单元模块实施故障检测、故障传递和故障保护。设计完成后分别从电源联锁环路的响应时间、核心控制板故障引发电源环路联锁的总时间和设备故障响应等三个方面进行测试,测试结果表明,在电源发生故障时,模块故障联锁保护系统满足电源样机对实时性和可靠性的要求,达到设计目标。
在合肥先进光源(HALF)建设中,由低温超导材料组成的真空部件被大量使用,尤其是超导高频腔。超导腔以高加速梯度、低束流阻抗、高无载品质因数和低运行成本等特点,成为21世纪国际上拟建的大型加速器的首选。而超导腔和低温真空室内表面的二次电子发射可能会引发电子云(EC)现象。超剂量的二次电子倍增功率沉积会引起低温区域热负载增加、超导腔失超等现象,因此降低超导高频腔内二次电子发射成为合肥先进光源设计过程中的巨大挑战。在常温材料二次电子产额(SEY)测试系统的基础上,作者自主研发设计低温样品架结构,使液氦流经样品台并通过热传导冷却样品,计算漏热来反推所需要的制冷量和液氦的消耗速率。在系统集成调试后进行降温性能测试,搭建了低温材料二次电子测试系统。
对加速器运行过程中出现的故障进行准确分析,可有效提升加速器的可靠性及运行效率。而对于一些快速故障过程,必须依赖故障发生时刻存储的高度时间相关和高分辨率的数据,才能进行准确分析。设计了一种用于加速器的故障分析软件,可用于对快速故障进行可靠分析。在中国散裂中子源加速器中进行了应用,该系统非常准确地分析了此前无法定位的大部分束流丢失过程。该故障分析具有一定的通用性,可应用到其它加速器装置。
以能量平衡方程为基础,采用不同的电导率唯象模型描述了液相放电等离子体圆柱形通道特性,得到了通道内半径、温度、电阻、电流和耗散能量随时间的变化关系,还给出了距离放电间隙中心一定距离处的冲击波压力变化,并与前人利用等离子体通道球状模型计算得到的结果进行了比较。结果表明:把等离子体通道看成球状和看成圆柱状在描述通道压力和通道半径时差异显著,而在描述其他物理特性时差别不大;三种电导率模型在描述等离子体通道物理特性时,变化趋势大体相同,而在描述激波特性时,电导率模型σ2更符合实际;通过对比电学参数与压力参数的变化,就可以在实验中根据实验数据以及具体的研究问题进行模型的适用性选择。
二代加百万千万级核电站严重事故下卸压过程中高温流体流经卸压阀,可能造成流道变形,甚至造成阀杆下落使得排放流道封闭,造成卸压失败。对严重事故专用卸压阀在卸压过程中可能经历的高温流体状态进行谱分析,获得了不同卸压能力下阀门经受的高温流体状态。开展了高温可能引起的阀门流道变形对卸压效果的影响分析。第二类阀门虽然存在阀门流道变形的可能,但能够获得较长严重事故处置时间,从优化严重事故对策的角度,严重事故专用卸压阀推荐采用第二类阀门排放能力450~600 t/h范围。
液滴发生器产生液滴的尺寸和间距影响液滴层的辐射和蒸发特性,液滴尺寸及间距的可控性值得重点关注。根据Weber的射流不稳定修正方程,确定了均匀液滴流产生的无量纲波数及扰动频率范围,结合射流质量守恒,分析了均匀液滴流中液滴的尺寸和间距与无量纲波数的关系。在不同喷孔直径和射流压力下,对理论和实验结果进行了对比,验证了液滴尺寸和液滴间距的理论计算结果,为液滴层辐射蒸发特性的研究提供了依据。
为实现远区核爆电磁脉冲(NEMP)和闪电电磁脉冲(LEMP)的有效识别,提出一种基于希尔伯特黄变换(HHT)和最小二乘支持向量机(LSSVM)的识别算法。采用希尔伯特黄变换对远区NEMP和LEMP进行分析,利用两种信号的Hilbert谱在不同频带上分布的差异性,选择谱图中两个区域的能量占比作为信号的特征,选择LSSVM作为分类器进行分类识别。实验结果表明,采用能量占比特征可有效识别NEMP和LEMP,且综合识别率可达到98.59%。

Email alert
RSS
