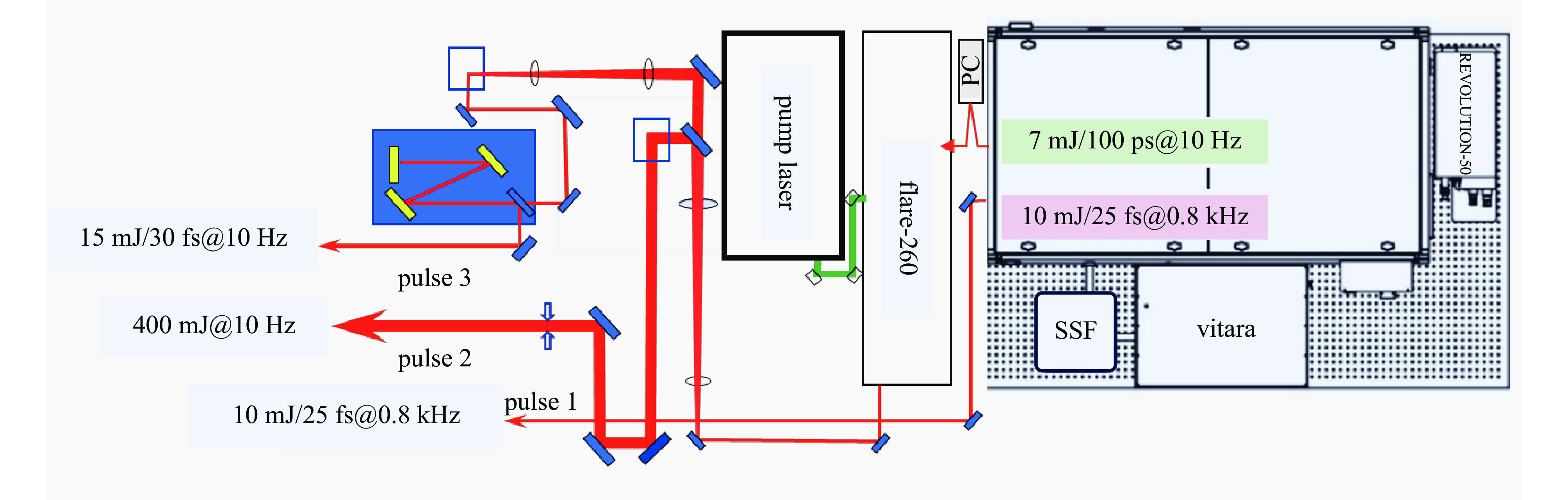
2026年 38卷 第3期
推荐文章
2026, 38: 031002.
doi: 10.11884/HPLPB202638.250390
2026, 38: 031007.
doi: 10.11884/HPLPB202638.260024
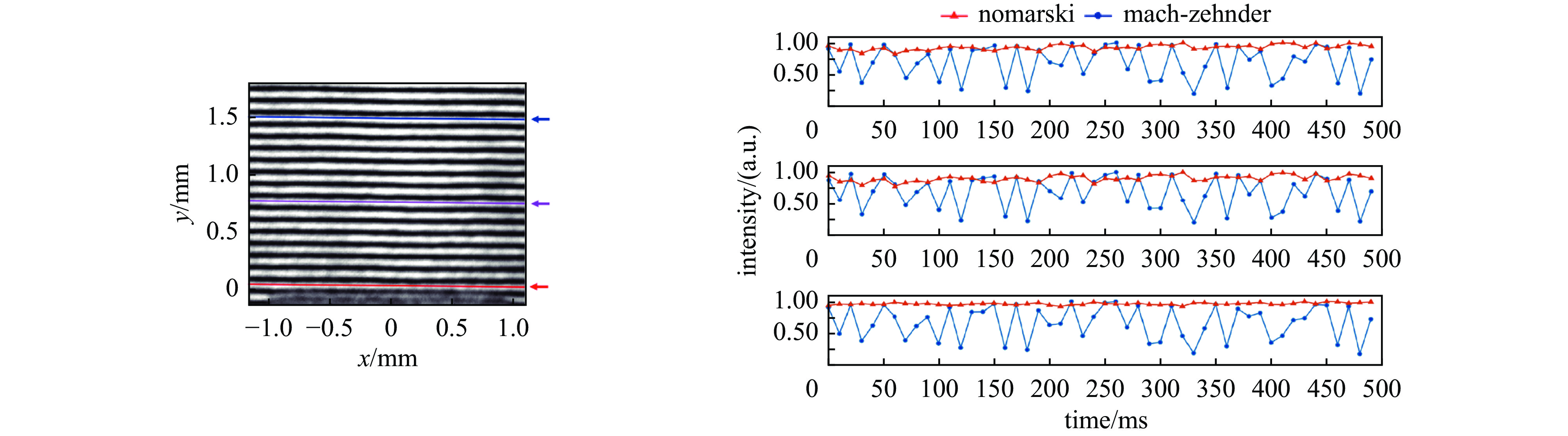
2026, 38: 031011.
doi: 10.11884/HPLPB202638.250468
2026, 38: 031002.
doi: 10.11884/HPLPB202638.250390
摘要:
综述了等离子体物理全国重点实验室“星光”超短超强脉冲激光实验平台的发展历程与现状。目前,平台包括星光III装置与SILEX-II装置。面向惯性约束聚变(ICF)、高能量密度物理(HEDP)、极端条件下的物质特性等研究开放,提供极端状态产生、“泵浦-探测”等关键实验能力。重点介绍了星光III装置和SILEX-II装置的系统构成与关键技术。星光III装置可实现纳秒、皮秒、飞秒三种脉宽激光的高精度同步输出;SILEX-II装置采用全OPCPA架构,可实现高对比度、拍瓦级峰值功率飞秒激光脉冲。最后,展示了“星光”平台上开展的多束激光协同的代表性实验。
综述了等离子体物理全国重点实验室“星光”超短超强脉冲激光实验平台的发展历程与现状。目前,平台包括星光III装置与SILEX-II装置。面向惯性约束聚变(ICF)、高能量密度物理(HEDP)、极端条件下的物质特性等研究开放,提供极端状态产生、“泵浦-探测”等关键实验能力。重点介绍了星光III装置和SILEX-II装置的系统构成与关键技术。星光III装置可实现纳秒、皮秒、飞秒三种脉宽激光的高精度同步输出;SILEX-II装置采用全OPCPA架构,可实现高对比度、拍瓦级峰值功率飞秒激光脉冲。最后,展示了“星光”平台上开展的多束激光协同的代表性实验。
2026, 38: 031003.
doi: 10.11884/HPLPB202638.260005
摘要:
超短超强激光技术的快速发展,极大推动了物理学在极端强场环境下的前沿探索。相关研究涵盖紧凑型粒子加速器、高亮度辐射源、非线性强场量子电动力学及强激光驱动的轴子暗物质产生和探测等多个重要方向。过去十余年,上海交通大学在本领域开展了系统性的理论、模拟和实验研究,先后建成了基于单束百太瓦级激光的相对论等离子体研究平台及具备高精度时空同步的双束百太瓦级激光驱动的极端相对论等离子体研究平台。本文对新建成的双束百太瓦“重明”激光等离子体实验装置的整体构成、关键参数与核心特色进行介绍,并进一步阐述依托以往和新建成装置完成和计划开展的前沿科学研究工作,包括激光固体高次谐波、激光等离子体尾波加速、非线性康普顿散射及强激光轴子暗物质产生和探测。新装置的建成运行,将为极端相对论等离子体物理实验研究提供重要的平台支撑。
超短超强激光技术的快速发展,极大推动了物理学在极端强场环境下的前沿探索。相关研究涵盖紧凑型粒子加速器、高亮度辐射源、非线性强场量子电动力学及强激光驱动的轴子暗物质产生和探测等多个重要方向。过去十余年,上海交通大学在本领域开展了系统性的理论、模拟和实验研究,先后建成了基于单束百太瓦级激光的相对论等离子体研究平台及具备高精度时空同步的双束百太瓦级激光驱动的极端相对论等离子体研究平台。本文对新建成的双束百太瓦“重明”激光等离子体实验装置的整体构成、关键参数与核心特色进行介绍,并进一步阐述依托以往和新建成装置完成和计划开展的前沿科学研究工作,包括激光固体高次谐波、激光等离子体尾波加速、非线性康普顿散射及强激光轴子暗物质产生和探测。新装置的建成运行,将为极端相对论等离子体物理实验研究提供重要的平台支撑。
2026, 38: 031004.
doi: 10.11884/HPLPB202638.250382
摘要:
激光等离子体加速的超高电子密度、超微时空结构、超高加速梯度,可产生飞秒(fs)级脉宽、高峰值亮度的实验室级超快光源,非常适宜构筑fs级时间分辨的超快动态诊断能力,可作为传统大型光源的补充和拓展。依托国家重大科技基础设施-综合极端条件实验装置(SECUF),建立了国内首个基于高功率飞秒激光驱动的超短X射线脉冲作为开放资源的用户实验站。激光系统具有两路输出:三太瓦(3 TW: 60 mJ/20 fs/800 nm)重频为100 Hz;拍瓦(PW: 25 J/25 fs/800 nm)每分钟1发。3 TW束可传输至两个靶室,建立了超快X射线衍射应用平台,具备多模式泵浦-探测能力,用于研究物质超快动力学过程;并基于激光等离子体电子加速研制出首个台面化高分辨超热中子共振谱学平台。PW束可传输至三个靶室,支持激光等离子体加速、激光核物理、超快X射线和新型太赫兹辐射产生等前沿研究,以及超快脉冲辐射的应用。实验站既支持利用飞秒激光产生的超快辐射脉冲开展物质科学研究,也支持直接利用高功率激光进行强场物理研究。
激光等离子体加速的超高电子密度、超微时空结构、超高加速梯度,可产生飞秒(fs)级脉宽、高峰值亮度的实验室级超快光源,非常适宜构筑fs级时间分辨的超快动态诊断能力,可作为传统大型光源的补充和拓展。依托国家重大科技基础设施-综合极端条件实验装置(SECUF),建立了国内首个基于高功率飞秒激光驱动的超短X射线脉冲作为开放资源的用户实验站。激光系统具有两路输出:三太瓦(3 TW: 60 mJ/20 fs/800 nm)重频为100 Hz;拍瓦(PW: 25 J/25 fs/800 nm)每分钟1发。3 TW束可传输至两个靶室,建立了超快X射线衍射应用平台,具备多模式泵浦-探测能力,用于研究物质超快动力学过程;并基于激光等离子体电子加速研制出首个台面化高分辨超热中子共振谱学平台。PW束可传输至三个靶室,支持激光等离子体加速、激光核物理、超快X射线和新型太赫兹辐射产生等前沿研究,以及超快脉冲辐射的应用。实验站既支持利用飞秒激光产生的超快辐射脉冲开展物质科学研究,也支持直接利用高功率激光进行强场物理研究。
2026, 38: 031005.
doi: 10.11884/HPLPB202638.250407
摘要:
强激光技术是当前物理学与核科学的前沿领域,其通过啁啾脉冲放大技术在飞秒至阿秒时间尺度内产生极端光场强度,为研究强场量子电动力学、激光等离子体物理及极端核环境提供了独特平台。系统介绍了中国原子能科学研究院核物理研究所激光核物理研究团队在百太瓦级超快超强激光装置研制、理论机制研究与实验技术等方面的进展,包括高对比度脉冲整形、粒子加速、高亮度偏振γ光源、激光光源研发及等离子体靶参数诊断等。同时,阐述了强激光在极端等离子体环境模拟、高压物态方程、涡旋γ光与微观核靶相互作用、激光等离子体光谱等相关领域的重要应用。文章最后展望了新的发展方向,强调了强激光技术在推动核工业发展与基础核科学研究方面的重要价值。
强激光技术是当前物理学与核科学的前沿领域,其通过啁啾脉冲放大技术在飞秒至阿秒时间尺度内产生极端光场强度,为研究强场量子电动力学、激光等离子体物理及极端核环境提供了独特平台。系统介绍了中国原子能科学研究院核物理研究所激光核物理研究团队在百太瓦级超快超强激光装置研制、理论机制研究与实验技术等方面的进展,包括高对比度脉冲整形、粒子加速、高亮度偏振γ光源、激光光源研发及等离子体靶参数诊断等。同时,阐述了强激光在极端等离子体环境模拟、高压物态方程、涡旋γ光与微观核靶相互作用、激光等离子体光谱等相关领域的重要应用。文章最后展望了新的发展方向,强调了强激光技术在推动核工业发展与基础核科学研究方面的重要价值。
2026, 38: 031006.
doi: 10.11884/HPLPB202638.250412
摘要:
超短超强激光的出现与迅猛发展,为人类创造了前所未有的极端物理条件和全新实验手段,极大深化和拓展了人类对客观世界规律的认识,显著推动了基础与前沿交叉学科以及战略高技术领域的创新发展。基于超短超强激光与等离子体相互作用的粒子加速技术作为新一代加速器与射线源技术,可将传统加速器装置规模缩小百倍,极大提升了高端加速器与射线源在工业、国防、医疗及科研等领域的适用性,在大型关键装备精细探伤、超低剂量超高精度肿瘤诊断、新型低损伤放疗技术、桌面型超快光源等诸多方向展现出广阔的应用前景。本文介绍的郑州大学超短超强激光平台,正是基于该技术建设的新一代先进激光加速器研究与应用装置。此外,本文还系统综述了郑州大学近年来在强场物理与先进加速研究方面取得的重要进展。
超短超强激光的出现与迅猛发展,为人类创造了前所未有的极端物理条件和全新实验手段,极大深化和拓展了人类对客观世界规律的认识,显著推动了基础与前沿交叉学科以及战略高技术领域的创新发展。基于超短超强激光与等离子体相互作用的粒子加速技术作为新一代加速器与射线源技术,可将传统加速器装置规模缩小百倍,极大提升了高端加速器与射线源在工业、国防、医疗及科研等领域的适用性,在大型关键装备精细探伤、超低剂量超高精度肿瘤诊断、新型低损伤放疗技术、桌面型超快光源等诸多方向展现出广阔的应用前景。本文介绍的郑州大学超短超强激光平台,正是基于该技术建设的新一代先进激光加速器研究与应用装置。此外,本文还系统综述了郑州大学近年来在强场物理与先进加速研究方面取得的重要进展。
2026, 38: 031007.
doi: 10.11884/HPLPB202638.260024
摘要:
伽马射线作为能量极高、穿透力极强的电磁波,在核物理、天体物理、高能物理、医疗健康及材料科学等众多前沿领域具有不可替代的重要价值。超强超短激光技术的发展,使得激光驱动的新型伽马射线源实现突破性进展。基于激光与等离子体相互作用方案能够产生高亮度、准直的飞秒级超短脉冲伽马射线,且该方案在装置紧凑性方面具备显著的优势。本文系统分析了激光驱动的数百keV至数十MeV伽马辐射的物理机制,重点讨论了逆康普顿散射、轫致辐射、Betatron辐射三类主要产生机制的特性,梳理了我国在该领域的主要研究进展及诊断技术。研究表明,通过优化激光与物质相互作用参数,可有效调控伽马射线的亮度、脉冲宽度及能谱特性。
伽马射线作为能量极高、穿透力极强的电磁波,在核物理、天体物理、高能物理、医疗健康及材料科学等众多前沿领域具有不可替代的重要价值。超强超短激光技术的发展,使得激光驱动的新型伽马射线源实现突破性进展。基于激光与等离子体相互作用方案能够产生高亮度、准直的飞秒级超短脉冲伽马射线,且该方案在装置紧凑性方面具备显著的优势。本文系统分析了激光驱动的数百keV至数十MeV伽马辐射的物理机制,重点讨论了逆康普顿散射、轫致辐射、Betatron辐射三类主要产生机制的特性,梳理了我国在该领域的主要研究进展及诊断技术。研究表明,通过优化激光与物质相互作用参数,可有效调控伽马射线的亮度、脉冲宽度及能谱特性。
2026, 38: 031008.
doi: 10.11884/HPLPB202638.250380
摘要:
康普顿散射是光子与电子之间发生散射的基本物理过程。基于其逆过程的逆康普顿散射光源,通过让相对论电子束与强激光束对撞,可产生高亮度、能量可调、短脉冲的X射线或伽马射线,为诸多科学研究与应用领域提供了高亮度、宽谱光子束。综述了逆康普顿散射光源的技术现状及应用,其技术演进可大致分为三个阶段:第一阶段为非相干逆康普顿散射光源技术,已成为目前绝大多数康普顿光源装置所采用的技术;第二阶段为相干逆康普顿散射光源技术,其核心原理是通过电子与光子的相干散射,以显著提升光源峰值亮度和束流品质,该技术目前正在研究发展中;第三阶段为受激逆康普顿散射光源技术,即通过受激辐射放大机制,实现光子与电子散射强度的非线性增强,以产生更高亮度、更高束流品质的技术。分析总结了各阶段的技术原理、核心步骤和挑战,并对领域的未来的发展方向进行了展望。
康普顿散射是光子与电子之间发生散射的基本物理过程。基于其逆过程的逆康普顿散射光源,通过让相对论电子束与强激光束对撞,可产生高亮度、能量可调、短脉冲的X射线或伽马射线,为诸多科学研究与应用领域提供了高亮度、宽谱光子束。综述了逆康普顿散射光源的技术现状及应用,其技术演进可大致分为三个阶段:第一阶段为非相干逆康普顿散射光源技术,已成为目前绝大多数康普顿光源装置所采用的技术;第二阶段为相干逆康普顿散射光源技术,其核心原理是通过电子与光子的相干散射,以显著提升光源峰值亮度和束流品质,该技术目前正在研究发展中;第三阶段为受激逆康普顿散射光源技术,即通过受激辐射放大机制,实现光子与电子散射强度的非线性增强,以产生更高亮度、更高束流品质的技术。分析总结了各阶段的技术原理、核心步骤和挑战,并对领域的未来的发展方向进行了展望。
2026, 38: 031009.
doi: 10.11884/HPLPB202638.250384
摘要:
随着超短超强激光技术的飞速发展,激光等离子体加速已成为产生GeV量级高能电子束与高品质辐射源的重要途径。其中,Betatron辐射作为一种机制紧凑、脉冲持续时间达飞秒量级的新型射线源,具有源尺寸小,高亮度等特点。在高能量密度物理、材料科学、成像及超快动态探测与高空间分辨成像等领域展现出巨大应用潜力。系统梳理了激光尾波场加速与直接激光加速两种核心机制产生Betatron辐射的物理原理、研究进展与发展趋势。详细对比了LWFA与DLA两种方案所产生Betatron辐射在关键参数(如光子能量、通量、亮度、能谱与稳定性)上的特性差异,总结了其各自的品质因子与适用场景。最后,展望了该领域未来面临的挑战,如提升光子的中心能量、产额、亮度及转换效率,并为基于下一代强激光大科学装置开展相关实验研究提供了方向性参考。
随着超短超强激光技术的飞速发展,激光等离子体加速已成为产生GeV量级高能电子束与高品质辐射源的重要途径。其中,Betatron辐射作为一种机制紧凑、脉冲持续时间达飞秒量级的新型射线源,具有源尺寸小,高亮度等特点。在高能量密度物理、材料科学、成像及超快动态探测与高空间分辨成像等领域展现出巨大应用潜力。系统梳理了激光尾波场加速与直接激光加速两种核心机制产生Betatron辐射的物理原理、研究进展与发展趋势。详细对比了LWFA与DLA两种方案所产生Betatron辐射在关键参数(如光子能量、通量、亮度、能谱与稳定性)上的特性差异,总结了其各自的品质因子与适用场景。最后,展望了该领域未来面临的挑战,如提升光子的中心能量、产额、亮度及转换效率,并为基于下一代强激光大科学装置开展相关实验研究提供了方向性参考。
2026, 38: 031010.
doi: 10.11884/HPLPB202638.250371
摘要:
相对论强度激光驱动固体密度表面等离子体产生的高次谐波和阿秒脉冲,是实现高亮度、短波长、超快相干光源和探索极端强场物理的重要途径。近年来,得益于激光技术的飞速发展,对光场振幅、相位、偏振等自由度的精细操控促使了结构光场的兴起。结构光场极大地丰富了激光与物质相互作用的调控手段与应用场景。综述了利用结构光场调控相对论激光等离子体高次谐波和阿秒脉冲相关的最新进展。文章重点探讨了偏振结构(如圆偏振光、矢量光)、相位结构(如空间涡旋光、时空涡旋光)及振幅结构(如贝塞尔光、艾里光)等新型结构光场驱动下高次谐波的特性调控与物理机制,旨在为基于强场激光与等离子体相互作用的新型光源研究提供新思路。
相对论强度激光驱动固体密度表面等离子体产生的高次谐波和阿秒脉冲,是实现高亮度、短波长、超快相干光源和探索极端强场物理的重要途径。近年来,得益于激光技术的飞速发展,对光场振幅、相位、偏振等自由度的精细操控促使了结构光场的兴起。结构光场极大地丰富了激光与物质相互作用的调控手段与应用场景。综述了利用结构光场调控相对论激光等离子体高次谐波和阿秒脉冲相关的最新进展。文章重点探讨了偏振结构(如圆偏振光、矢量光)、相位结构(如空间涡旋光、时空涡旋光)及振幅结构(如贝塞尔光、艾里光)等新型结构光场驱动下高次谐波的特性调控与物理机制,旨在为基于强场激光与等离子体相互作用的新型光源研究提供新思路。
2026, 38: 031011.
doi: 10.11884/HPLPB202638.250468
摘要:
超短超强中红外激光脉冲在强场物理、超快化学、环境监测、生物医疗等领域有独特应用价值,尤其在强场物理研究领域中,超短超强中红外光为开拓超强激光与物质相互作用的新物理提供了不同于以往近红外波段的波长新尺度。然而受限于传统激光晶体及非线性晶体损伤阈值,长期以来产生大能量近单周期中红外光源始终是超快激光技术领域的重要挑战。近年来,利用等离子体作为非线性光学介质,基于激光尾场的等离子体光子减速过程产生超短超强中红外脉冲成为激光等离子体领域的研究新方向。本文围绕等离子体光子减速这一物理机制,系统介绍其基本原理、数值模拟及实验研究进展以及未来的应用前景。
超短超强中红外激光脉冲在强场物理、超快化学、环境监测、生物医疗等领域有独特应用价值,尤其在强场物理研究领域中,超短超强中红外光为开拓超强激光与物质相互作用的新物理提供了不同于以往近红外波段的波长新尺度。然而受限于传统激光晶体及非线性晶体损伤阈值,长期以来产生大能量近单周期中红外光源始终是超快激光技术领域的重要挑战。近年来,利用等离子体作为非线性光学介质,基于激光尾场的等离子体光子减速过程产生超短超强中红外脉冲成为激光等离子体领域的研究新方向。本文围绕等离子体光子减速这一物理机制,系统介绍其基本原理、数值模拟及实验研究进展以及未来的应用前景。
2026, 38: 031012.
doi: 10.11884/HPLPB202638.250387
摘要:
超快强激光具有超快时域特性和高峰值功率特性。随着激光技术的迅猛发展,其脉冲重复频率也得到逐步提高,这种重频高功率飞秒激光为人类提供了前所未有的超快时间和超高强场等极端物理条件,为驱动产生新型超快粒子束源和强脉冲辐射源等前沿基础科学和交叉应用研究提供了新机遇、新途径和新方向。主要介绍上海师范大学超快光物理研究团队基于重频高功率飞秒激光系统新建的新型超快光物理综合实验平台,以及近期围绕气体高次谐波、强太赫兹辐射源和高亮度超快电子束源产生及其相关应用研究方面所取得的研究进展,并简述了若干前沿物理的主要进展和未来的展望。
超快强激光具有超快时域特性和高峰值功率特性。随着激光技术的迅猛发展,其脉冲重复频率也得到逐步提高,这种重频高功率飞秒激光为人类提供了前所未有的超快时间和超高强场等极端物理条件,为驱动产生新型超快粒子束源和强脉冲辐射源等前沿基础科学和交叉应用研究提供了新机遇、新途径和新方向。主要介绍上海师范大学超快光物理研究团队基于重频高功率飞秒激光系统新建的新型超快光物理综合实验平台,以及近期围绕气体高次谐波、强太赫兹辐射源和高亮度超快电子束源产生及其相关应用研究方面所取得的研究进展,并简述了若干前沿物理的主要进展和未来的展望。
2026, 38: 031013.
doi: 10.11884/HPLPB202638.250352
摘要:
研究了神光II升级装置上,高功率激光与固体靶相互作用产生的电磁脉冲特性及机制。实验中采用皮秒与纳秒脉冲激光,分析不同打靶方式下电磁脉冲的波形与频谱特征。结果表明,皮秒脉冲激光作用下的电磁脉冲主要由流经送靶装置的中和电流产生,其峰值电场强度随激光能量近似线性增加。纳秒脉冲激光作用下,电磁脉冲强度较低,振荡电场持续时间较短,并伴随较长的准直流分量。仅使用上方8路纳秒激光时,电磁脉冲强度显著高于16路同时作用,表明激光打靶构型对电磁脉冲产生具有调制作用。皮秒激光与纳秒激光组合实验中,皮秒激光产生的电磁脉冲峰值明显减弱,推测与纳秒激光形成的大尺度等离子体有关。研究结果为高功率激光-固体靶相互作用中的电磁干扰机理分析及实验装置防护提供了重要实验依据。
研究了神光II升级装置上,高功率激光与固体靶相互作用产生的电磁脉冲特性及机制。实验中采用皮秒与纳秒脉冲激光,分析不同打靶方式下电磁脉冲的波形与频谱特征。结果表明,皮秒脉冲激光作用下的电磁脉冲主要由流经送靶装置的中和电流产生,其峰值电场强度随激光能量近似线性增加。纳秒脉冲激光作用下,电磁脉冲强度较低,振荡电场持续时间较短,并伴随较长的准直流分量。仅使用上方8路纳秒激光时,电磁脉冲强度显著高于16路同时作用,表明激光打靶构型对电磁脉冲产生具有调制作用。皮秒激光与纳秒激光组合实验中,皮秒激光产生的电磁脉冲峰值明显减弱,推测与纳秒激光形成的大尺度等离子体有关。研究结果为高功率激光-固体靶相互作用中的电磁干扰机理分析及实验装置防护提供了重要实验依据。
2026, 38: 031014.
doi: 10.11884/HPLPB202638.250410
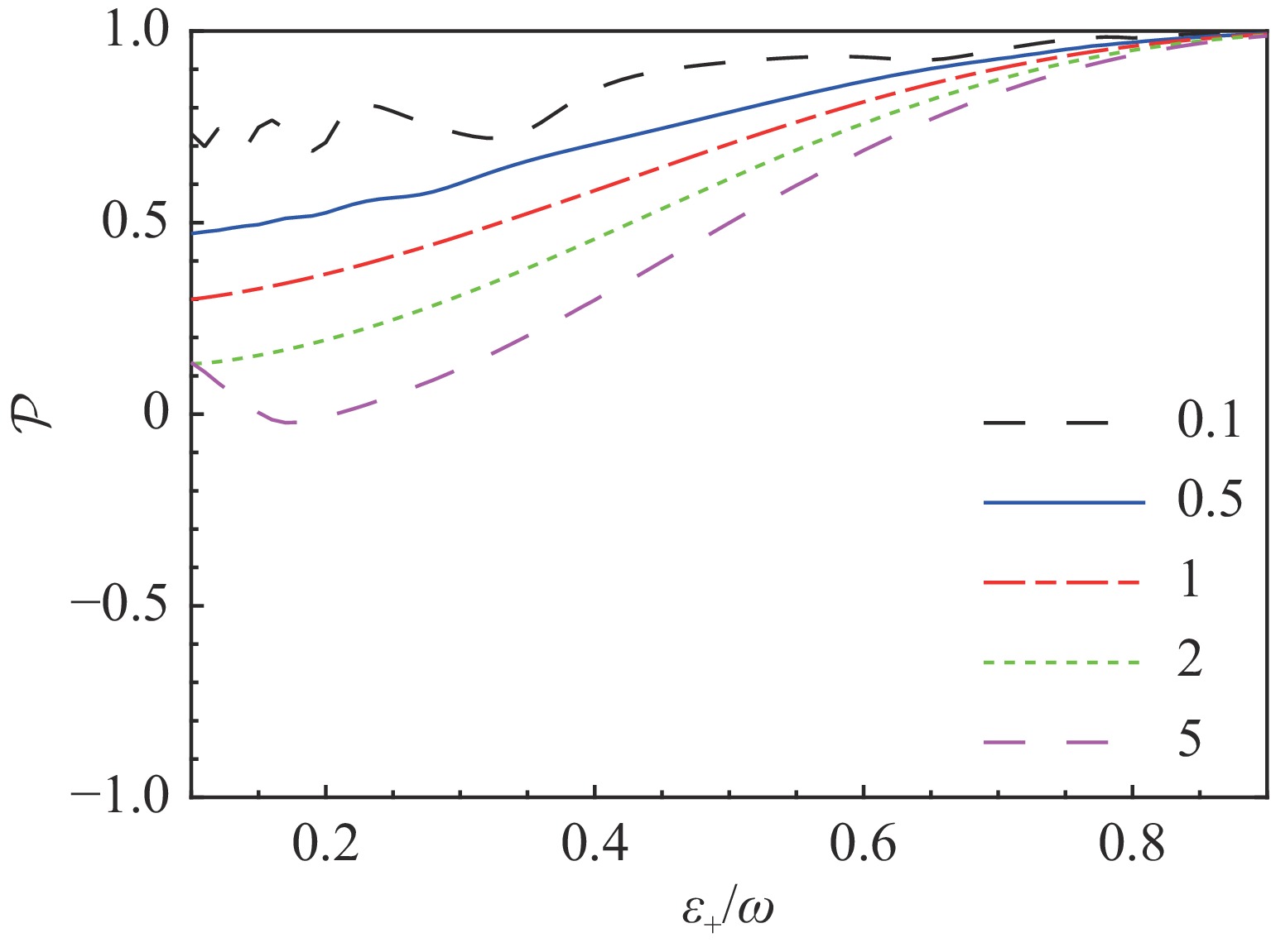
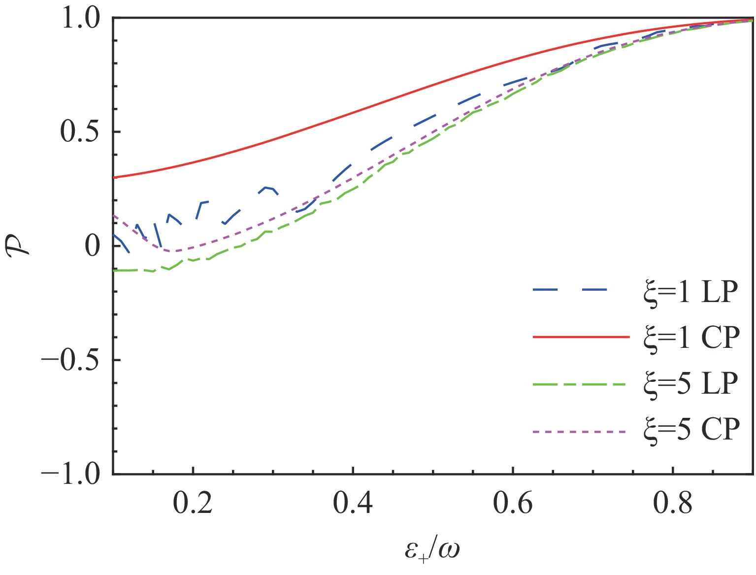
摘要:
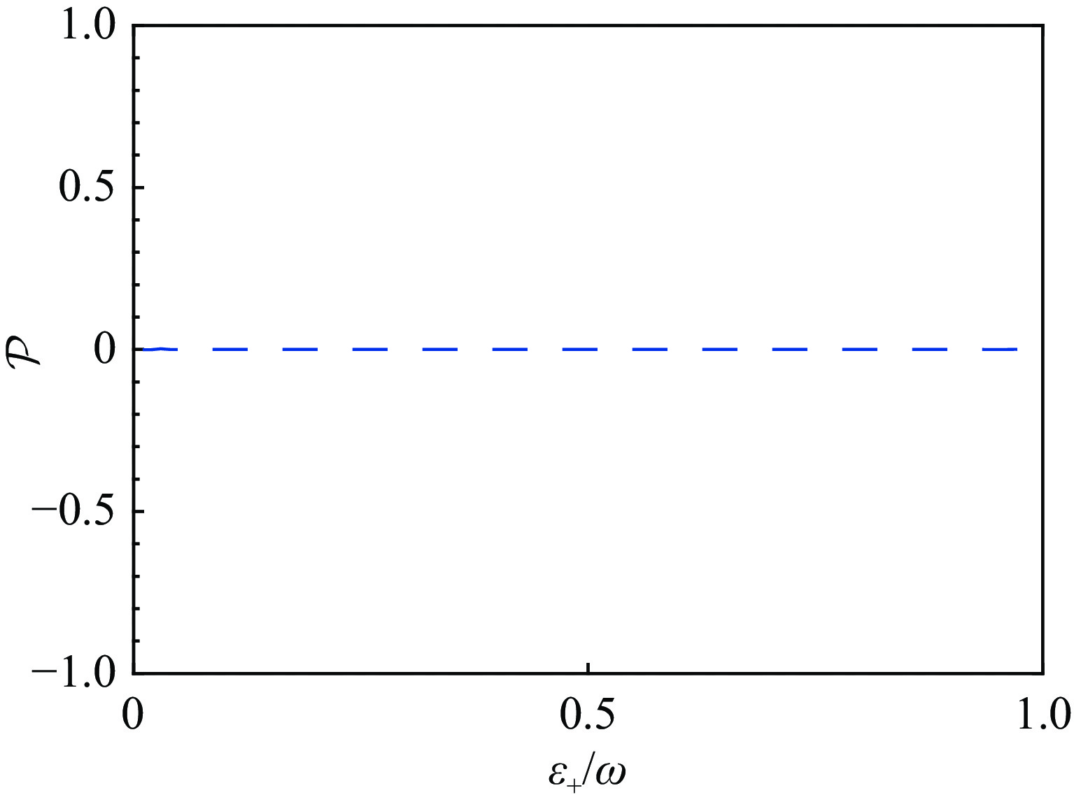
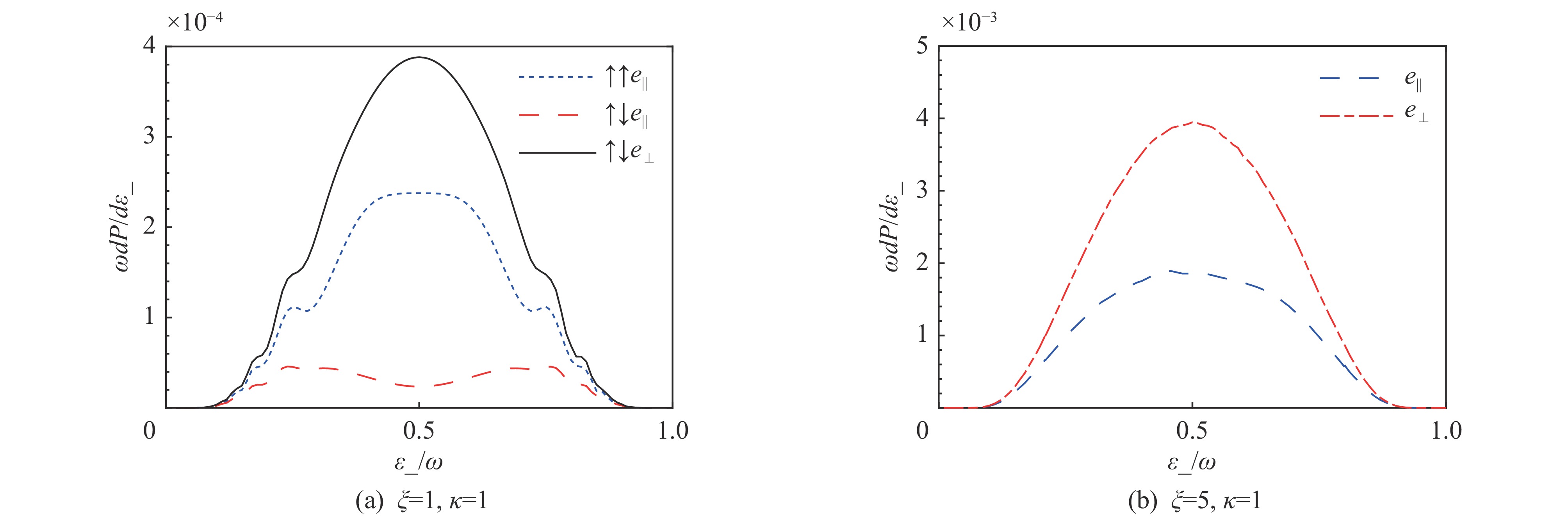
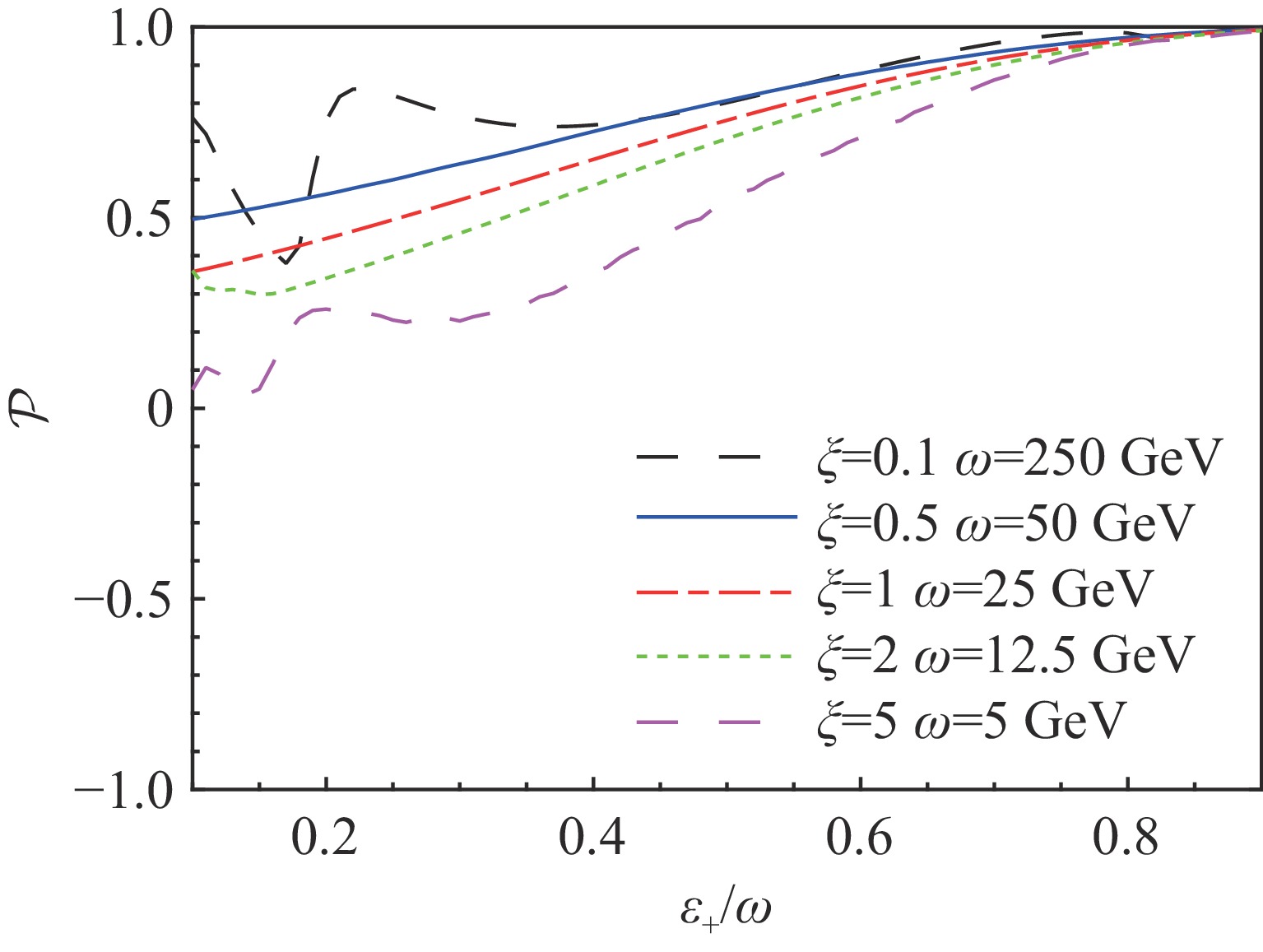
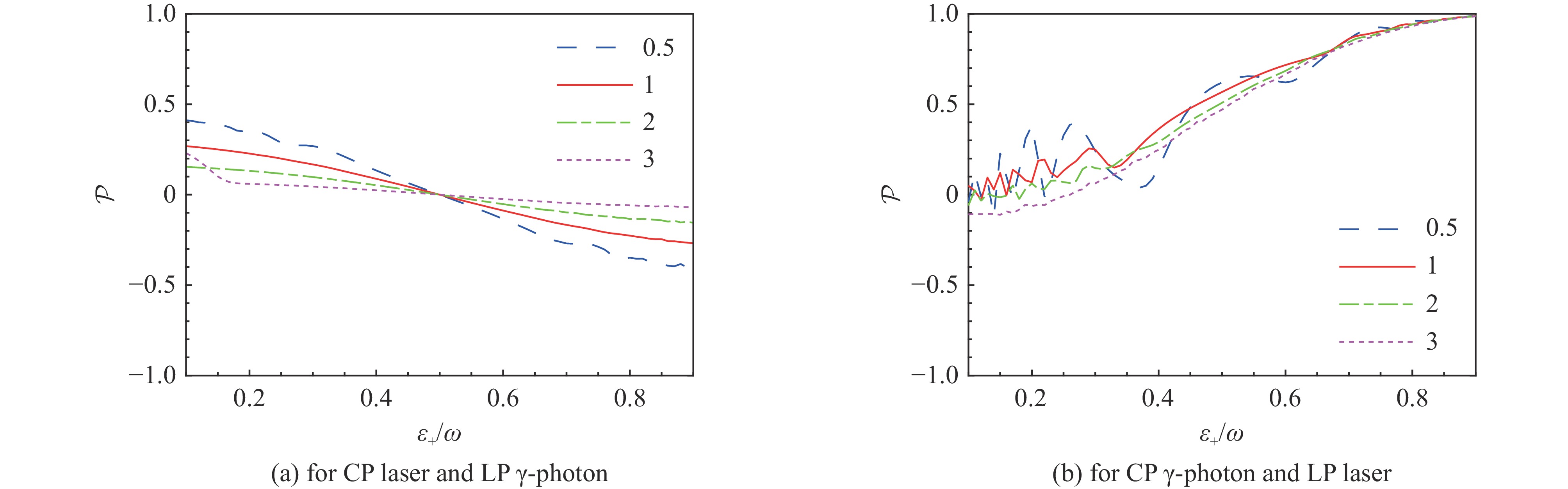
极化正电子束是前沿科学研究所需的重要探针。利用强激光场中非线性Breit-Wheeler散射产生极化正电子是近年来备受关注的新方案。探究该过程中激光与伽马光子参数对正电子最终极化状态的调控机理。在强场量子电动力学理论框架下,完整保留了所有粒子的自旋极化自由度,并精确纳入了平面波激光场的有限脉冲包络结构。计算表明:当激光与高能伽马光子皆为线偏振时,产生的正电子极化度为零;当驱动激光和伽马光子有一个为圆偏振时,正电子极化由圆偏振光主导,并随激光强度增强或伽马光子能量增加而下降,线偏振光的影响很小;当激光与伽马光子均为圆偏振时,高能正电子的极化由伽马光子主导,而低能正电子的极化则由二者共同决定,且激光强度的调控作用尤为显著。揭示了激光强度和伽马光子能量等关键因素对极化正电子产生的影响机理,为未来利用强激光与高能伽马光对撞产生高品质极化正电子束的实验方案提供了关键理论依据。
极化正电子束是前沿科学研究所需的重要探针。利用强激光场中非线性Breit-Wheeler散射产生极化正电子是近年来备受关注的新方案。探究该过程中激光与伽马光子参数对正电子最终极化状态的调控机理。在强场量子电动力学理论框架下,完整保留了所有粒子的自旋极化自由度,并精确纳入了平面波激光场的有限脉冲包络结构。计算表明:当激光与高能伽马光子皆为线偏振时,产生的正电子极化度为零;当驱动激光和伽马光子有一个为圆偏振时,正电子极化由圆偏振光主导,并随激光强度增强或伽马光子能量增加而下降,线偏振光的影响很小;当激光与伽马光子均为圆偏振时,高能正电子的极化由伽马光子主导,而低能正电子的极化则由二者共同决定,且激光强度的调控作用尤为显著。揭示了激光强度和伽马光子能量等关键因素对极化正电子产生的影响机理,为未来利用强激光与高能伽马光对撞产生高品质极化正电子束的实验方案提供了关键理论依据。
2026, 38: 031015.
doi: 10.11884/HPLPB202638.250101
摘要:
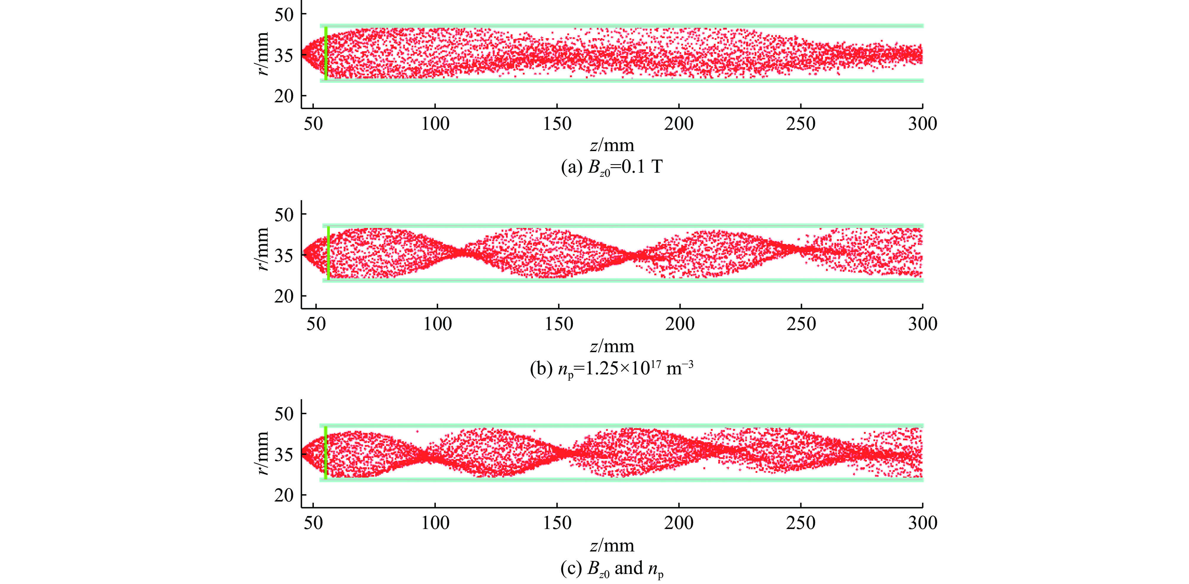
基于强流电子束-等离子体系统,对高性能电子束窗口设计与强流环形电子束在等离子体中聚焦传输机制展开研究。通过有限元分析和蒙特卡罗模拟,对电子束窗口的力学、热学和传输性能进行对比判断,筛选出TC4钛合金作为窗口材料,其在10 kPa压力下仅需0.04 mm厚度,能量传输效率达90%以上,且温度变化可控。通过理论推导和粒子模拟研究,揭示了在500 kV、20 kA的情况下的强流环形电子束在等离子体中自聚焦传输的物理机制,阐明了电子束聚焦传输周期与等离子体密度之间的关系。最后根据等离子体振荡周期和电子束回旋周期的对应关系,建立了等离子体密度与外加轴向导引磁场的等效关系,讨论了低强度磁场和等离子体共同作用对电子束聚焦传输的影响。
基于强流电子束-等离子体系统,对高性能电子束窗口设计与强流环形电子束在等离子体中聚焦传输机制展开研究。通过有限元分析和蒙特卡罗模拟,对电子束窗口的力学、热学和传输性能进行对比判断,筛选出TC4钛合金作为窗口材料,其在10 kPa压力下仅需0.04 mm厚度,能量传输效率达90%以上,且温度变化可控。通过理论推导和粒子模拟研究,揭示了在500 kV、20 kA的情况下的强流环形电子束在等离子体中自聚焦传输的物理机制,阐明了电子束聚焦传输周期与等离子体密度之间的关系。最后根据等离子体振荡周期和电子束回旋周期的对应关系,建立了等离子体密度与外加轴向导引磁场的等效关系,讨论了低强度磁场和等离子体共同作用对电子束聚焦传输的影响。

Email alert
RSS
