推荐文章
2026, 38: 1-7.
doi: 10.11884/HPLPB202638.250422
摘要:
针对高功率光纤放大器在γ射线辐照环境下出现的辐致模式不稳定性效应,基于光纤辐致损耗机理与线性稳态分析方法,系统研究了γ辐照对模式不稳定阈值的影响及自恢复机制。实验结果表明,当辐致模式不稳定效应发生时,放大器的输出功率存在着剧烈波动。随着泵浦电流的逐渐增加,输出功率呈现出相似的波动趋势,并随着出光时间依次经历快速下降、缓慢下降、缓慢上升和达到亚稳态4个阶段。在每个泵浦电流下,最高与最低输出功率之间的差值均稳定在辐照前输出功率的29.7%~39.1%范围。通过分析输出激光的频域信号,进一步验证了辐致模式不稳定的自恢复效应。本文的研究结果为高功率光纤激光器在辐照环境下TMI阈值的变化特性及自恢复设计提供了理论和实验参考,具有较大的研究意义和应用价值。
针对高功率光纤放大器在γ射线辐照环境下出现的辐致模式不稳定性效应,基于光纤辐致损耗机理与线性稳态分析方法,系统研究了γ辐照对模式不稳定阈值的影响及自恢复机制。实验结果表明,当辐致模式不稳定效应发生时,放大器的输出功率存在着剧烈波动。随着泵浦电流的逐渐增加,输出功率呈现出相似的波动趋势,并随着出光时间依次经历快速下降、缓慢下降、缓慢上升和达到亚稳态4个阶段。在每个泵浦电流下,最高与最低输出功率之间的差值均稳定在辐照前输出功率的29.7%~39.1%范围。通过分析输出激光的频域信号,进一步验证了辐致模式不稳定的自恢复效应。本文的研究结果为高功率光纤激光器在辐照环境下TMI阈值的变化特性及自恢复设计提供了理论和实验参考,具有较大的研究意义和应用价值。
2026, 38: 1-24.
doi: 10.11884/HPLPB202638.260017
摘要:
掺镱光纤激光器是绿色智能制造的重要工具,也是当代高能激光系统的首选光源。面向效能、平台和场景,光纤激光器系统需要具有高亮度、高效率、高鲁棒性、小型化、轻量化、低成本等“三高、三低”的性能要求。在实际设计中,如何对光纤激光器系统性能进行有效评价并提升其性能显得尤为重要。首先,根据光纤激光器系统的组成,给出光纤激光器系统性能评价的参数,重点明确了综合评价参数CSWpP(成本-体积-重量与功率比)、CSWpB(成本-体积-重量与亮度比)的定义与计算方法。其次,根据工业光纤激光器系统特性,对光纤激光器光学、电学、热学模块的效率、热量、体积、重量等参数等进行分析,指出热控模块对激光器系统轻质紧凑化设计的重要性,给出不同功率等级光纤激光系统的体积、重量和功耗的评估。再次,分析当前光纤激光器系统设计和认知的几个可能问题。最后,为了降低面向实际应用场景光纤激光器的CSWpP、CSWpB,提出高效率低产热、宽温域强耐热的光学和总体设计思路,容、导、扩、换、储、排的复合热管理技术方案和强耦合一体化的工程设计思路,以期为高性能光纤激光器的设计提供参考。
掺镱光纤激光器是绿色智能制造的重要工具,也是当代高能激光系统的首选光源。面向效能、平台和场景,光纤激光器系统需要具有高亮度、高效率、高鲁棒性、小型化、轻量化、低成本等“三高、三低”的性能要求。在实际设计中,如何对光纤激光器系统性能进行有效评价并提升其性能显得尤为重要。首先,根据光纤激光器系统的组成,给出光纤激光器系统性能评价的参数,重点明确了综合评价参数CSWpP(成本-体积-重量与功率比)、CSWpB(成本-体积-重量与亮度比)的定义与计算方法。其次,根据工业光纤激光器系统特性,对光纤激光器光学、电学、热学模块的效率、热量、体积、重量等参数等进行分析,指出热控模块对激光器系统轻质紧凑化设计的重要性,给出不同功率等级光纤激光系统的体积、重量和功耗的评估。再次,分析当前光纤激光器系统设计和认知的几个可能问题。最后,为了降低面向实际应用场景光纤激光器的CSWpP、CSWpB,提出高效率低产热、宽温域强耐热的光学和总体设计思路,容、导、扩、换、储、排的复合热管理技术方案和强耦合一体化的工程设计思路,以期为高性能光纤激光器的设计提供参考。
2026, 38: 1-7.
doi: 10.11884/HPLPB202638.250430
摘要:
高功率飞秒光纤激光在先进制造、激光粒子加速和高次谐波产生等领域具有广泛的应用,飞秒光纤激光相干合成技术是突破单根光纤功率极限、实现高功率飞秒激光输出的有效技术手段。搭建了一套基于全光纤结构啁啾脉冲放大的飞秒激光相干偏振合成系统,采用光纤拉伸器并结合随机并行梯度下降算法实现了三路激光放大器的相位调节与稳定相干合成。在总输出功率为1219.1 W时,系统合成功率为1072 W,对应的合成效率为87%。合成光束具有近衍射极限光束质量(M2=1.23),压缩后脉冲宽度为899 fs。此外,还理论分析了光束质量退化对合成效率的影响。该全光纤结构飞秒激光相干合成系统具有优异的稳定性并兼具高功率输出,未来通过增加合成通道数量可以进一步提升输出功率,为高通量超快超强激光的前沿应用提供技术支撑。
高功率飞秒光纤激光在先进制造、激光粒子加速和高次谐波产生等领域具有广泛的应用,飞秒光纤激光相干合成技术是突破单根光纤功率极限、实现高功率飞秒激光输出的有效技术手段。搭建了一套基于全光纤结构啁啾脉冲放大的飞秒激光相干偏振合成系统,采用光纤拉伸器并结合随机并行梯度下降算法实现了三路激光放大器的相位调节与稳定相干合成。在总输出功率为
2026, 38: 1-5.
doi: 10.11884/HPLPB202638.250251
摘要:
为有效抑制高功率光纤激光系统中的受激布里渊散射效应,采用白噪声射频信号对单频激光进行相位调制,将其光谱展宽为半高全宽89 GHz的高斯线型,从而实现对受激布里渊散射效应的有效抑制。通过采用自主制备的低数值孔径(约0.05)、大模场面积(约237 μm2)熊猫型掺镱保偏光纤,其双折射系数4.23×10−4,在抑制受激布里渊散射效应的同时也有效缓解了模式间热耦合问题,最终实现了5.09 kW窄线宽线偏振激光输出。输出光谱线宽为89 GHz,偏振消光比在整个放大过程中始终优于19.6 dB,光束质量因子M2<1.2。在最高输出功率下未观察到自脉冲或时域不稳定现象,表明受激布里渊散射效应与模式不稳定(TMI)已得到有效控制,证明该系统具备长期稳定运行的潜力。
为有效抑制高功率光纤激光系统中的受激布里渊散射效应,采用白噪声射频信号对单频激光进行相位调制,将其光谱展宽为半高全宽89 GHz的高斯线型,从而实现对受激布里渊散射效应的有效抑制。通过采用自主制备的低数值孔径(约0.05)、大模场面积(约237 μm2)熊猫型掺镱保偏光纤,其双折射系数4.23×10−4,在抑制受激布里渊散射效应的同时也有效缓解了模式间热耦合问题,最终实现了5.09 kW窄线宽线偏振激光输出。输出光谱线宽为89 GHz,偏振消光比在整个放大过程中始终优于19.6 dB,光束质量因子M2<1.2。在最高输出功率下未观察到自脉冲或时域不稳定现象,表明受激布里渊散射效应与模式不稳定(TMI)已得到有效控制,证明该系统具备长期稳定运行的潜力。
2026, 38: 1-7.
doi: 10.11884/HPLPB202638.250347
摘要:
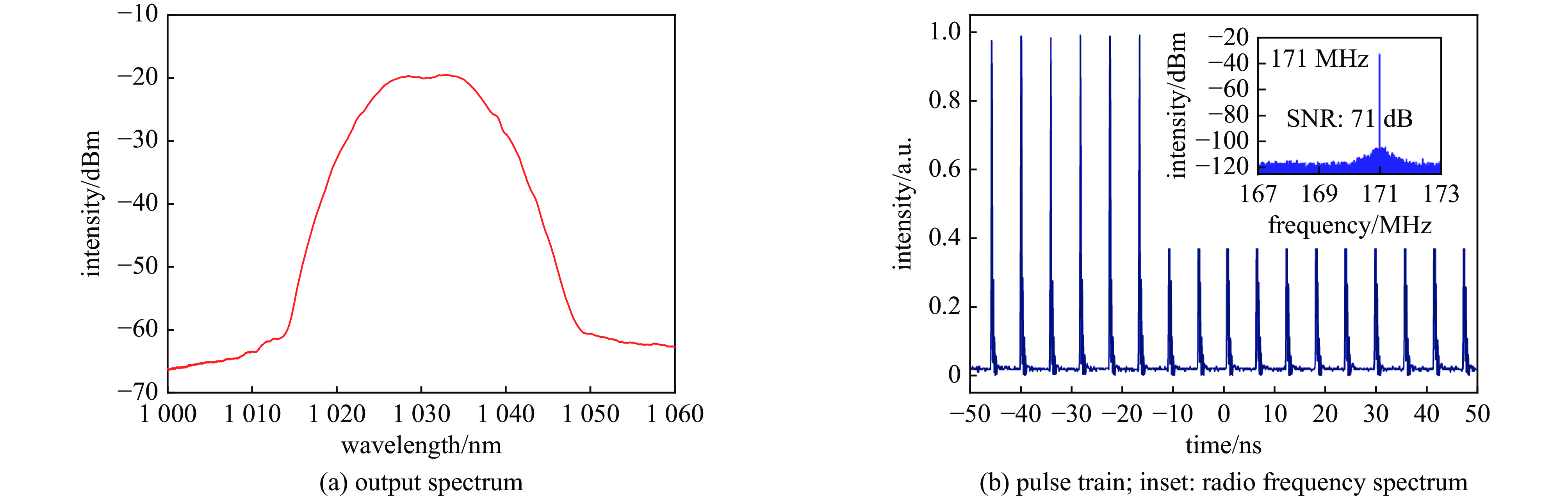
报道了一种基于被动谐波锁模种子源的 GHz 重复频率飞秒光纤激光放大系统,实现了1~3 GHz范围内的稳定运行。系统采用两级放大器并结合色散管理技术,在全调谐范围内均保持稳定输出。在脉冲重复频率为3.1 GHz和2.0 GHz的条件下,分别实现了2.1 W的平均输出功率和195 fs的最窄脉冲宽度,且相应放大后的边模抑制比均保持在33 dB以上。结果表明,该方案能够在宽频率范围内实现稳定的高功率放大与脉冲压缩,为高重复频率超快光纤激光的应用奠定了实验基础。
报道了一种基于被动谐波锁模种子源的 GHz 重复频率飞秒光纤激光放大系统,实现了1~3 GHz范围内的稳定运行。系统采用两级放大器并结合色散管理技术,在全调谐范围内均保持稳定输出。在脉冲重复频率为3.1 GHz和2.0 GHz的条件下,分别实现了2.1 W的平均输出功率和195 fs的最窄脉冲宽度,且相应放大后的边模抑制比均保持在33 dB以上。结果表明,该方案能够在宽频率范围内实现稳定的高功率放大与脉冲压缩,为高重复频率超快光纤激光的应用奠定了实验基础。
2026, 38: 1-6.
doi: 10.11884/HPLPB202638.250419
摘要:
Yb(TMHD)3是高增益掺镱石英光纤不可替代的气相掺杂前驱体,其Yb含量直接决定光纤性能。传统重量检测法周期长达6 h,无法满足光纤预制棒在线工艺调整的时效需求。为了提高生产效率,建立了一种“硝酸-双氧水敞口消解-EDTA络合滴定”的方法在六次甲基四胺缓冲体系(pH=5~6)中,以二甲酚橙(XO)为指示剂,用EDTA标准液与Yb3+按1∶1摩尔比络合滴定,终点由玫瑰红突变为亮黄色,变色敏锐、重现性好。系统研究了Yb(TMHD)3消解方法、缓冲液六次甲基四胺pH对镱测定的影响因素,确定了最优条件。方法平均回收率在98.2%~100.2%之间,精密度RSD(n=11)≤0.5%。Yb(TMHD)3实际样品测定结果与重量法对照偏差<0.3%,单样检测时间由6 h缩短至15 min。该方法准确、精密、简便、成本低,可直接部署于生产现场,实现Yb(TMHD)3中Yb含量的快速检测,为掺镱光纤预制棒的工艺实时优化与质量稳定提供了可靠的技术支撑。
Yb(TMHD)3是高增益掺镱石英光纤不可替代的气相掺杂前驱体,其Yb含量直接决定光纤性能。传统重量检测法周期长达6 h,无法满足光纤预制棒在线工艺调整的时效需求。为了提高生产效率,建立了一种“硝酸-双氧水敞口消解-EDTA络合滴定”的方法在六次甲基四胺缓冲体系(pH=5~6)中,以二甲酚橙(XO)为指示剂,用EDTA标准液与Yb3+按1∶1摩尔比络合滴定,终点由玫瑰红突变为亮黄色,变色敏锐、重现性好。系统研究了Yb(TMHD)3消解方法、缓冲液六次甲基四胺pH对镱测定的影响因素,确定了最优条件。方法平均回收率在98.2%~100.2%之间,精密度RSD(n=11)≤0.5%。Yb(TMHD)3实际样品测定结果与重量法对照偏差<0.3%,单样检测时间由6 h缩短至15 min。该方法准确、精密、简便、成本低,可直接部署于生产现场,实现Yb(TMHD)3中Yb含量的快速检测,为掺镱光纤预制棒的工艺实时优化与质量稳定提供了可靠的技术支撑。
2026, 38: 1-12.
doi: 10.11884/HPLPB202638.250314
摘要:
高功率光纤激光仿真技术可在研发阶段有效降低实验成本、缩短开发周期,并优化激光器性能参数,对推动高功率光纤激光器在工业加工、国防、科研、医疗设备等领域的应用具有重要意义。重点介绍了国内外典型高功率光纤激光器仿真软件的研究进展,研究了其功能特点、和应用场景等有关情况,总结了高功率光纤激光建模仿真的研究特点,对高功率光纤激光建模仿真软件如何有效验证和可靠应用进行了思考,并对高功率光纤激光仿真软件下一步的发展方向进行展望,可为相关行业仿真软件研发提供借鉴。
高功率光纤激光仿真技术可在研发阶段有效降低实验成本、缩短开发周期,并优化激光器性能参数,对推动高功率光纤激光器在工业加工、国防、科研、医疗设备等领域的应用具有重要意义。重点介绍了国内外典型高功率光纤激光器仿真软件的研究进展,研究了其功能特点、和应用场景等有关情况,总结了高功率光纤激光建模仿真的研究特点,对高功率光纤激光建模仿真软件如何有效验证和可靠应用进行了思考,并对高功率光纤激光仿真软件下一步的发展方向进行展望,可为相关行业仿真软件研发提供借鉴。
2026, 38: 1-6.
doi: 10.11884/HPLPB202638.250376
摘要:
U波段光纤激光器在通信、传感、科研等领域具有重要应用前景。本文以1.55 μm光纤激光器作为泵浦源,基于商用单模石英光纤实验搭建了U波段1.65 μm的拉曼光纤激光器。研究了拉曼光纤长度和输出耦合光纤光栅(OC-FBG)反射率对拉曼激光功率效率的影响规律,实验结果表明,随着拉曼激光功率的提升,Stokes光谱线宽展宽导致的光纤光栅等效反射率降低,从而发生反向功率泄露是钳制正向输出功率的主要问题。最终通过选用15.7%低反射率的OC-FBG,基于2.1 km石英光纤作为拉曼增益介质,实现了输出功率为10.1 W、3 dB带宽为2.5 nm的1648.8 nm拉曼激光输出,光光转换效率为65.2%。
U波段光纤激光器在通信、传感、科研等领域具有重要应用前景。本文以1.55 μm光纤激光器作为泵浦源,基于商用单模石英光纤实验搭建了U波段1.65 μm的拉曼光纤激光器。研究了拉曼光纤长度和输出耦合光纤光栅(OC-FBG)反射率对拉曼激光功率效率的影响规律,实验结果表明,随着拉曼激光功率的提升,Stokes光谱线宽展宽导致的光纤光栅等效反射率降低,从而发生反向功率泄露是钳制正向输出功率的主要问题。最终通过选用15.7%低反射率的OC-FBG,基于2.1 km石英光纤作为拉曼增益介质,实现了输出功率为10.1 W、3 dB带宽为2.5 nm的
2026, 38: 1-8.
doi: 10.11884/HPLPB202638.250310
摘要:
设计并实现了一种用于光纤激光器的多参量一体化同步测试系统,能够实现激光器功率、光谱、时域和光束质量的同步测量。通过外部接口、内部光路和控制软件的协同设计,该系统支持80 W至10 kW输出功率范围的光纤激光器测试。用户只需将待测激光器的光纤端帽(QBH)接入系统,通过上位机软件控制,即可实现光纤激光器的多参数同步测试而无需手动调节光路。测试完成后,系统会自动调用和处理原始测量数据并生成测试报告。该系统能够显著提升光纤激光器多参数测试效率并大幅降低数据处理复杂度,为科研和工业激光测试提供了高效、可靠的解决方案。
设计并实现了一种用于光纤激光器的多参量一体化同步测试系统,能够实现激光器功率、光谱、时域和光束质量的同步测量。通过外部接口、内部光路和控制软件的协同设计,该系统支持80 W至10 kW输出功率范围的光纤激光器测试。用户只需将待测激光器的光纤端帽(QBH)接入系统,通过上位机软件控制,即可实现光纤激光器的多参数同步测试而无需手动调节光路。测试完成后,系统会自动调用和处理原始测量数据并生成测试报告。该系统能够显著提升光纤激光器多参数测试效率并大幅降低数据处理复杂度,为科研和工业激光测试提供了高效、可靠的解决方案。
2026, 38: 1-21.
doi: 10.11884/HPLPB202638.250289
摘要:
振荡-放大一体化光纤激光器因其兼具振荡器结构简单、抗反射性能优异及放大器高效率等优势,在高功率激光领域展现出广阔的应用前景。从理论研究和实验研究两个维度综述了振荡-放大一体化光纤激光器的最新研究进展。在理论研究层面,重点梳理了包含模式不稳定效应及非线性效应的理论模型研究进展;在实验研究层面,按波长维度的常规波段、短波长、超连续谱归纳了单端输出振荡-放大一体化光纤激光器的研究成果,并梳理了双端输出结构的最新进展。基于上述分析,指出当前在理论模型普适性局限与系统性实验研究的不足,并对未来发展方向进行了展望。
振荡-放大一体化光纤激光器因其兼具振荡器结构简单、抗反射性能优异及放大器高效率等优势,在高功率激光领域展现出广阔的应用前景。从理论研究和实验研究两个维度综述了振荡-放大一体化光纤激光器的最新研究进展。在理论研究层面,重点梳理了包含模式不稳定效应及非线性效应的理论模型研究进展;在实验研究层面,按波长维度的常规波段、短波长、超连续谱归纳了单端输出振荡-放大一体化光纤激光器的研究成果,并梳理了双端输出结构的最新进展。基于上述分析,指出当前在理论模型普适性局限与系统性实验研究的不足,并对未来发展方向进行了展望。
2026, 38: 1-8.
doi: 10.11884/HPLPB202638.250420
摘要:
1 μm 波段高功率掺镱光纤激光器在激光加工、生物医疗及国防安全等领域应用广泛,然而,随着输出功率持续提升,传统大纤芯光纤易受模式不稳定与受激拉曼散射等非线性效应影响。全固态反谐振石英光纤(AS-ARF)基于其独特的反谐振导光机理,可在实现超大模场传输的同时抑制高阶模,为兼顾高功率与高光束质量提供了创新技术路径。然而,面向高功率增益应用的有源掺镱(Yb)AS-ARF,其纤芯折射率起伏对模式特性的影响机制及“阶跃光纤-AS-ARF”熔接传输特性尚未得到系统研究,制约了实用化进程。针对上述问题,通过构建六环结构AS-ARF模型,结合理论推导与数值仿真模拟,研究了折射率起伏对光纤导光特性的影响,明确了维持原有导光机制的折射率变化临界值,验证了该光纤在目标波长下的低损耗、大模场面积及良好的光束质量保持能力;同时探究了阶跃光纤与AS-ARF熔接耦合场景的光传输规律,仿真结果表明当入射光束直径与AS-ARF纤芯直径匹配时,传输能量衰减<2%。本研究实现了对有源AS-ARF核心调控参数的量化,为Yb3+-AS-ARF的制备工艺优化(重点关注折射率均匀性控制)及实际耦合方案的设计提供了理论基础。
1 μm 波段高功率掺镱光纤激光器在激光加工、生物医疗及国防安全等领域应用广泛,然而,随着输出功率持续提升,传统大纤芯光纤易受模式不稳定与受激拉曼散射等非线性效应影响。全固态反谐振石英光纤(AS-ARF)基于其独特的反谐振导光机理,可在实现超大模场传输的同时抑制高阶模,为兼顾高功率与高光束质量提供了创新技术路径。然而,面向高功率增益应用的有源掺镱(Yb)AS-ARF,其纤芯折射率起伏对模式特性的影响机制及“阶跃光纤-AS-ARF”熔接传输特性尚未得到系统研究,制约了实用化进程。针对上述问题,通过构建六环结构AS-ARF模型,结合理论推导与数值仿真模拟,研究了折射率起伏对光纤导光特性的影响,明确了维持原有导光机制的折射率变化临界值,验证了该光纤在目标波长下的低损耗、大模场面积及良好的光束质量保持能力;同时探究了阶跃光纤与AS-ARF熔接耦合场景的光传输规律,仿真结果表明当入射光束直径与AS-ARF纤芯直径匹配时,传输能量衰减<2%。本研究实现了对有源AS-ARF核心调控参数的量化,为Yb3+-AS-ARF的制备工艺优化(重点关注折射率均匀性控制)及实际耦合方案的设计提供了理论基础。
2026, 38: 1-8.
doi: 10.11884/HPLPB202638.250429
摘要:
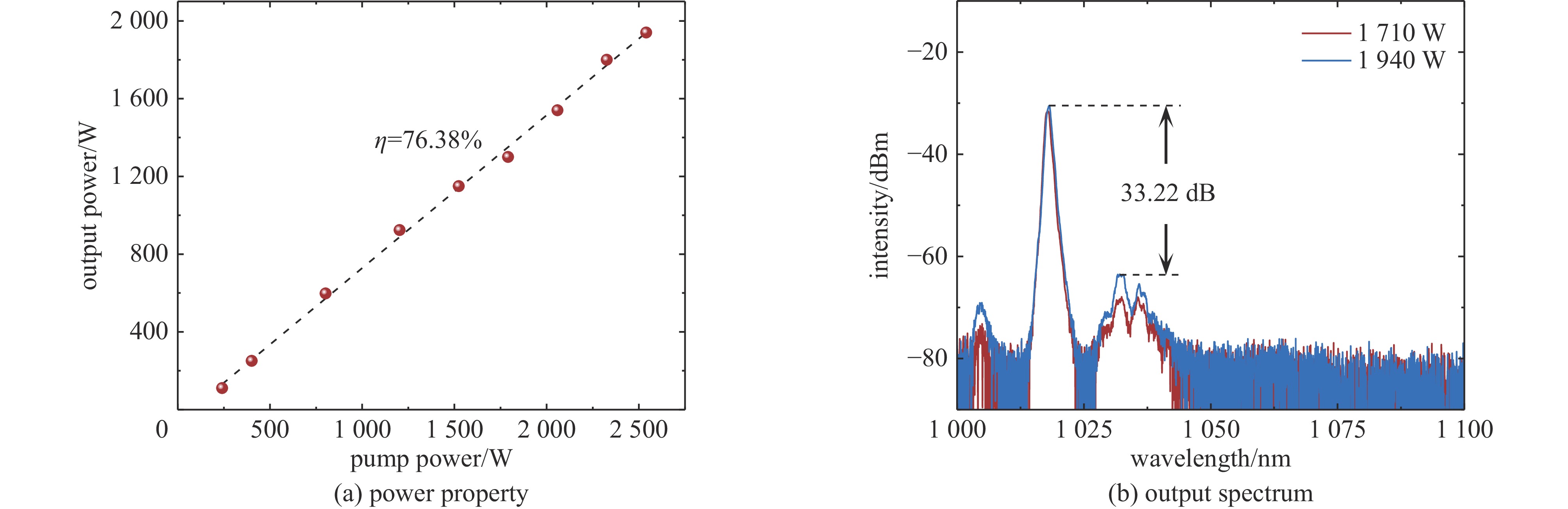
1 018 nm光纤激光器是级联泵浦方案高功率光纤激光器的核心泵浦源,其输出功率的提升受限于放大自发辐射等效应。本文基于光束传输方法与宽谱速率方程建立理论模型,给出1 018 nm光纤激光器输出特性平衡优化的参数窗口,采用双向泵浦结构并优化光纤盘绕,有效抑制了放大自发辐射、模式不稳定等效应,最终在1 018 nm处实现了1.94 kW单纤激光输出,光光转换效率为76.38%,放大自发辐射抑制比达到33.22 dB,光束质量因子M2为1.91。该研究成功将1 018 nm光纤激光器的单纤输出功率提升至2 kW级水平,可显著提升级联泵浦方案高功率光纤激光器结构的紧凑性与集成度,并助力级联泵浦光纤激光器输出功率与亮度实现进一步突破。
1 018 nm光纤激光器是级联泵浦方案高功率光纤激光器的核心泵浦源,其输出功率的提升受限于放大自发辐射等效应。本文基于光束传输方法与宽谱速率方程建立理论模型,给出1 018 nm光纤激光器输出特性平衡优化的参数窗口,采用双向泵浦结构并优化光纤盘绕,有效抑制了放大自发辐射、模式不稳定等效应,最终在1 018 nm处实现了1.94 kW单纤激光输出,光光转换效率为76.38%,放大自发辐射抑制比达到33.22 dB,光束质量因子M2为1.91。该研究成功将1 018 nm光纤激光器的单纤输出功率提升至2 kW级水平,可显著提升级联泵浦方案高功率光纤激光器结构的紧凑性与集成度,并助力级联泵浦光纤激光器输出功率与亮度实现进一步突破。
2026, 38: 1-22.
doi: 10.11884/HPLPB202638.250284
摘要:
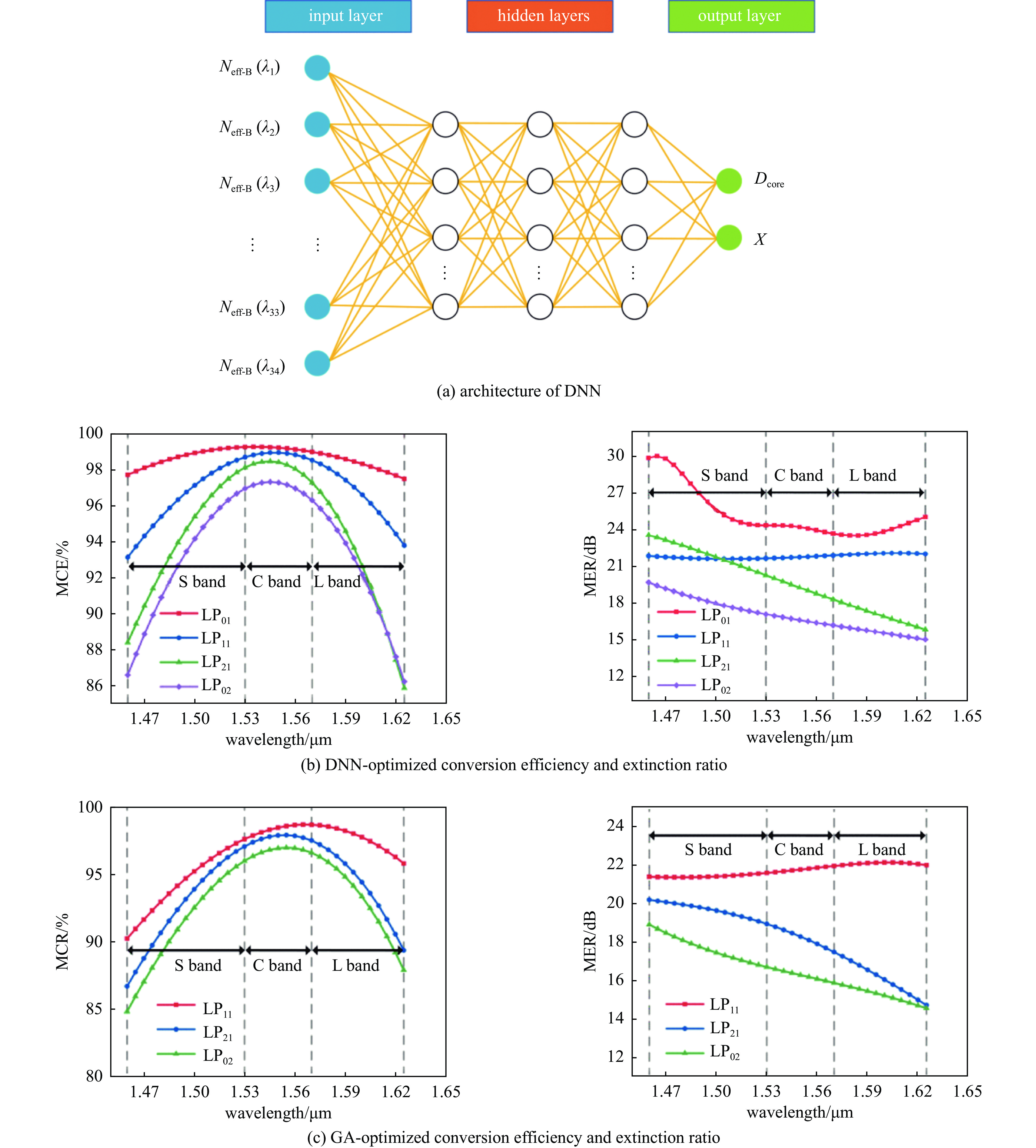
光纤激光技术历经多年发展,已在现代工业与科研领域奠定了不可或缺的重要地位。然而,传统性能优化方法在效率、速度、精度等方面存在显著局限,难以满足高性能、高效率应用场景的需求。机器学习与光纤激光的深度融合为光纤激光系统的多维度性能优化提供了全新技术范式,显著提升了激光性能并拓展了技术边界。介绍了机器学习的分类、适用范围及应用场景,并综述了近年来机器学习在光纤激光器件设计、光纤激光器仿真与预测、激光器与输出特性智能控制,以及激光特性参数测量与表征中的研究现状。基于当前研究在数据依赖性、泛化能力、可解释性、计算效率等方面的技术挑战,展望了机器学习在光纤激光领域的发展趋势。
光纤激光技术历经多年发展,已在现代工业与科研领域奠定了不可或缺的重要地位。然而,传统性能优化方法在效率、速度、精度等方面存在显著局限,难以满足高性能、高效率应用场景的需求。机器学习与光纤激光的深度融合为光纤激光系统的多维度性能优化提供了全新技术范式,显著提升了激光性能并拓展了技术边界。介绍了机器学习的分类、适用范围及应用场景,并综述了近年来机器学习在光纤激光器件设计、光纤激光器仿真与预测、激光器与输出特性智能控制,以及激光特性参数测量与表征中的研究现状。基于当前研究在数据依赖性、泛化能力、可解释性、计算效率等方面的技术挑战,展望了机器学习在光纤激光领域的发展趋势。

Email alert
RSS
