2018年 30卷 第3期
推荐文章
显示方式:
2018, 30: 031001.
doi: 10.11884/HPLPB201830.170299
摘要:
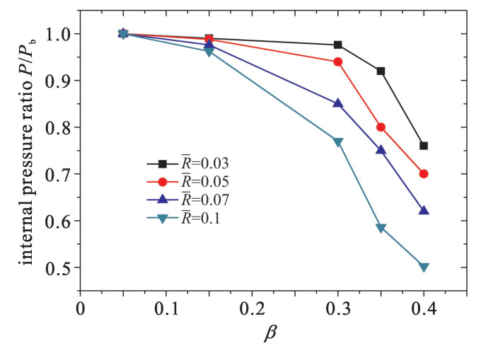
通过数值计算模拟了激光诱导充压柱壳的热力破坏效应,研究了典型结构的动态爆裂过程,获得的破坏模式与实验结果基本一致。给出了三类典型破坏模式及其对应的参数范围,探讨了各类破坏模式的形成机理,并分析了不同光斑尺寸、壳体厚度条件下热软化效应对破坏内压阈值的影响,以及预内压与破坏时间的关系。研究结果表明:光斑半径越大、热软化程度越高,柱壳的破坏内压阈值越低,且破坏内压阈值随着壳体厚度的减小呈线性下降;给定激光参数和壳体参数下破坏时间随预充内压增大而减小并呈二次函数关系。给出了一种通过热软化程度预估激光诱导充压柱壳破坏时间的方法。
通过数值计算模拟了激光诱导充压柱壳的热力破坏效应,研究了典型结构的动态爆裂过程,获得的破坏模式与实验结果基本一致。给出了三类典型破坏模式及其对应的参数范围,探讨了各类破坏模式的形成机理,并分析了不同光斑尺寸、壳体厚度条件下热软化效应对破坏内压阈值的影响,以及预内压与破坏时间的关系。研究结果表明:光斑半径越大、热软化程度越高,柱壳的破坏内压阈值越低,且破坏内压阈值随着壳体厚度的减小呈线性下降;给定激光参数和壳体参数下破坏时间随预充内压增大而减小并呈二次函数关系。给出了一种通过热软化程度预估激光诱导充压柱壳破坏时间的方法。
2018, 30: 031002.
doi: 10.11884/HPLPB201830.170312
摘要:
针对当前大部分超快激光制造系统中存在的三维移动平台控制软件和光学显微镜软件集成化程度低而导致的操作方式繁琐等问题,设计了一种基于LabVIEW软件开发平台的集成化超快激光制造系统控制软件,以实现对超快激光制造系统的高效调控。该系统由飞秒激光器、三维移动平台、在线监测CCD、激光功率计、快门和计算机等六部分构成。设计思路是基于LabVIEW软件平台的多线程编程技术,将飞秒激光束的通断与三维移动平台的移动实现协调控制,采用CCD相机对样品进行对焦和监控加工状态,利用激光功率计对激光功率进行在线监测,并将其集成于同一界面以实现控制。实验证明,与常见超快激光制造系统相比,该系统稳定度高、操作简单、界面简洁、可扩展性强、调节效率高。
针对当前大部分超快激光制造系统中存在的三维移动平台控制软件和光学显微镜软件集成化程度低而导致的操作方式繁琐等问题,设计了一种基于LabVIEW软件开发平台的集成化超快激光制造系统控制软件,以实现对超快激光制造系统的高效调控。该系统由飞秒激光器、三维移动平台、在线监测CCD、激光功率计、快门和计算机等六部分构成。设计思路是基于LabVIEW软件平台的多线程编程技术,将飞秒激光束的通断与三维移动平台的移动实现协调控制,采用CCD相机对样品进行对焦和监控加工状态,利用激光功率计对激光功率进行在线监测,并将其集成于同一界面以实现控制。实验证明,与常见超快激光制造系统相比,该系统稳定度高、操作简单、界面简洁、可扩展性强、调节效率高。
2018, 30: 032001.
doi: 10.11884/HPLPB201830.170264
摘要:
针对灯箱中反射器的设计和运行情况,设计实验量化了反射器对氙灯辐射和钕玻璃荧光效率的影响。氙灯辐射由强流管测量的氙灯辐射波形和能量计测量的辐射能量获得;钕玻璃荧光由自主设计的荧光测量系统获得;同时,使用高速摄影仪对放电通道进行观测。实验发现,反射器在此次实验条件下可以提高氙灯辐射效率89%,提高钕玻璃荧光效率78%。而且,实验发现工程运行中氙灯“发白”,是反射器引导氙灯放电通道在靠近反射器一侧形成,导致该处过度烧蚀的结果。
针对灯箱中反射器的设计和运行情况,设计实验量化了反射器对氙灯辐射和钕玻璃荧光效率的影响。氙灯辐射由强流管测量的氙灯辐射波形和能量计测量的辐射能量获得;钕玻璃荧光由自主设计的荧光测量系统获得;同时,使用高速摄影仪对放电通道进行观测。实验发现,反射器在此次实验条件下可以提高氙灯辐射效率89%,提高钕玻璃荧光效率78%。而且,实验发现工程运行中氙灯“发白”,是反射器引导氙灯放电通道在靠近反射器一侧形成,导致该处过度烧蚀的结果。
2018, 30: 032002.
doi: 10.11884/HPLPB201830.170368
摘要:
为了探讨载能重粒子辐照改善惯性约束聚变中所用玻璃微球的充气性能,以及热弛豫过程中改善其保气性能的微观机制,利用分子动力学的方法对载能重粒子辐照前后的SiO2玻璃在内部形成气体扩散微通道的机理进行了模拟研究。结果表明,重粒子辐照可以在SiO2玻璃中形成明显的扩散通道,说明辐照后的玻璃更适合通入Ar等较大尺寸气体;在高温高压的条件下,形成的扩散通道有逐渐关闭的趋势,辐照产生的缺陷能够在一定程度上得到修复。因此,利用重粒子辐照的方法,可在玻璃体中产生充气的微通道,该通道在高温高压下可实现关闭,从而起到开关的作用。模拟结果可为实验上通过重粒子辐照提升微球玻璃充气保气性能的方法提供理论支持,说明该方法具有可行性。
为了探讨载能重粒子辐照改善惯性约束聚变中所用玻璃微球的充气性能,以及热弛豫过程中改善其保气性能的微观机制,利用分子动力学的方法对载能重粒子辐照前后的SiO2玻璃在内部形成气体扩散微通道的机理进行了模拟研究。结果表明,重粒子辐照可以在SiO2玻璃中形成明显的扩散通道,说明辐照后的玻璃更适合通入Ar等较大尺寸气体;在高温高压的条件下,形成的扩散通道有逐渐关闭的趋势,辐照产生的缺陷能够在一定程度上得到修复。因此,利用重粒子辐照的方法,可在玻璃体中产生充气的微通道,该通道在高温高压下可实现关闭,从而起到开关的作用。模拟结果可为实验上通过重粒子辐照提升微球玻璃充气保气性能的方法提供理论支持,说明该方法具有可行性。
2018, 30: 033001.
doi: 10.11884/HPLPB201830.170328
摘要:
提出了一种可由脉冲功率驱动的新型二次电子倍增阴极构型,并对其进行了动力学过程的初步理论研究。首先,针对该二次电子倍增阴极,建立了动力学模型,获得了二次电子的位移和速度方程,讨论了电子初始出射速度对其轨迹、渡越时间和碰撞能量的影响,理论给出了渡越时间和碰撞能量的近似解析表达式。其次,通过动力学方程与Vaughan二次电子产额经验公式的耦合求解,获得了该二次电子倍增阴极的工作区间,并对其进行了细致讨论。结果表明:该新型二次电子倍增阴极二极管概念上是可行的,在涂敷高二次电子产额系数材料的圆柱形介质上施加合适的轴向和径向静电场(MV/m量级)以及轴向静磁场(T量级),可以达到电子沿阴极表面螺旋行进过程中实现二次电子倍增并最终获得电流沿轴向放大的设计目标。另外,讨论了正电荷沉积引发的二次电子倍增饱和现象,并对阴极发射电流密度进行了理论粗估,结果表明:阴极发射电流密度可达kA/cm2水平,具备强流发射特性;增加外加径向场强幅值可有效提升阴极发射电流密度。
提出了一种可由脉冲功率驱动的新型二次电子倍增阴极构型,并对其进行了动力学过程的初步理论研究。首先,针对该二次电子倍增阴极,建立了动力学模型,获得了二次电子的位移和速度方程,讨论了电子初始出射速度对其轨迹、渡越时间和碰撞能量的影响,理论给出了渡越时间和碰撞能量的近似解析表达式。其次,通过动力学方程与Vaughan二次电子产额经验公式的耦合求解,获得了该二次电子倍增阴极的工作区间,并对其进行了细致讨论。结果表明:该新型二次电子倍增阴极二极管概念上是可行的,在涂敷高二次电子产额系数材料的圆柱形介质上施加合适的轴向和径向静电场(MV/m量级)以及轴向静磁场(T量级),可以达到电子沿阴极表面螺旋行进过程中实现二次电子倍增并最终获得电流沿轴向放大的设计目标。另外,讨论了正电荷沉积引发的二次电子倍增饱和现象,并对阴极发射电流密度进行了理论粗估,结果表明:阴极发射电流密度可达kA/cm2水平,具备强流发射特性;增加外加径向场强幅值可有效提升阴极发射电流密度。
2018, 30: 033002.
doi: 10.11884/HPLPB201830.170364
摘要:
In conventional High Power Microwave(HPM) waveguide arrays of longitudinal shunt slots, the mutual coupling of slots in different waveguide can badly decrease the capability of wide-angle scanning of array. For this reason, an L-band HPM waveguide array of longitudinal shunt slots was designed. The choke groove was adopted to restrain the mutual coupling of slots of the HPM array antenna. The results of simulation are: the scanning angle of array without choke groove structure with the gain of antenna decreased 3 dB is only 24.7°, and it is 33.0° for array with choke groove structure; the wideband of active reflection of array have been improved with choke groove structure, the bandwidth of VSWR ≤3 of array with choke groove is 6.6%, and that is 5.0% without choke groove; the power-handling capacity of array antenna with scanning angle of 35° can reach 957 MW, which is a little less than that of array without scanning(1008 MW).
In conventional High Power Microwave(HPM) waveguide arrays of longitudinal shunt slots, the mutual coupling of slots in different waveguide can badly decrease the capability of wide-angle scanning of array. For this reason, an L-band HPM waveguide array of longitudinal shunt slots was designed. The choke groove was adopted to restrain the mutual coupling of slots of the HPM array antenna. The results of simulation are: the scanning angle of array without choke groove structure with the gain of antenna decreased 3 dB is only 24.7°, and it is 33.0° for array with choke groove structure; the wideband of active reflection of array have been improved with choke groove structure, the bandwidth of VSWR ≤3 of array with choke groove is 6.6%, and that is 5.0% without choke groove; the power-handling capacity of array antenna with scanning angle of 35° can reach 957 MW, which is a little less than that of array without scanning(1008 MW).
2018, 30: 033003.
doi: 10.11884/HPLPB201830.170314
摘要:
提出了一种采用圆弧型结构的宽频Wilkinson功分器的优化设计方法。在研究奇模-偶模分析理论的基础上,首先,根据奇-偶模分析理论得出设计电路的参数方程,接着采用粒子群算法对方程进行优化,获得具体的设计参数,有效提高功分器的设计效率与准确性。为了验证设计方案的正确性,设计了8~12 GHz的宽带功分器。测试结果显示,在工作频段范围内,各端口回波损耗小于-20 dB,传输损耗小于3.4 dB,隔离度小于-20 dB,实物测试结果与仿真结果吻合良好,验证了设计方法的可行性。
提出了一种采用圆弧型结构的宽频Wilkinson功分器的优化设计方法。在研究奇模-偶模分析理论的基础上,首先,根据奇-偶模分析理论得出设计电路的参数方程,接着采用粒子群算法对方程进行优化,获得具体的设计参数,有效提高功分器的设计效率与准确性。为了验证设计方案的正确性,设计了8~12 GHz的宽带功分器。测试结果显示,在工作频段范围内,各端口回波损耗小于-20 dB,传输损耗小于3.4 dB,隔离度小于-20 dB,实物测试结果与仿真结果吻合良好,验证了设计方法的可行性。
2018, 30: 033201.
doi: 10.11884/HPLPB201830.170177
摘要:
针对车载系统中使用广泛的短波/超短波单极天线,利用CST仿真分析了高空核电磁脉冲对单极天线的耦合响应特性。计算了天线端接的50 Ω负载对电磁脉冲的时频域感应电压信号,研究了电压信号随不同的脉冲入射角、不同车顶面积以及天线不同位置的变化规律。仿真结果表明:馈电点响应电压峰值随着入射脉冲电场矢量与水平夹角的增大而增大,随着车顶对入射脉冲的有效反射面积增大而增大。仿真结果对车辆天线布局方案的定制及天线系统电磁脉冲防护器件的选择具有重要的指导意义。
针对车载系统中使用广泛的短波/超短波单极天线,利用CST仿真分析了高空核电磁脉冲对单极天线的耦合响应特性。计算了天线端接的50 Ω负载对电磁脉冲的时频域感应电压信号,研究了电压信号随不同的脉冲入射角、不同车顶面积以及天线不同位置的变化规律。仿真结果表明:馈电点响应电压峰值随着入射脉冲电场矢量与水平夹角的增大而增大,随着车顶对入射脉冲的有效反射面积增大而增大。仿真结果对车辆天线布局方案的定制及天线系统电磁脉冲防护器件的选择具有重要的指导意义。
2018, 30: 033202.
doi: 10.11884/HPLPB201830.170427
摘要:
FM信号受单音干扰时,有时无法获取干扰信号信息,但易获取输入信号和输出信号信息。提出将均方误差公式进行改进,并与干信比这一指标相关联,间接对FM信号进行单音干扰效果评估的方法。首先,建立了FM信号仿真模型,分析了不同信噪比下FM解调信号的波形失真情况;其次,分析了FM调制信号受到单音干扰时,在不同干信比下FM解调信号的波形失真情况;然后,用均方误差公式来表示模拟信号失真度,分析其与干信比的变化曲线,并对均方误差公式进行改进,仿真研究后得到新的评估指标;最后,分析了新评估指标与干信比和占空比的关系。
FM信号受单音干扰时,有时无法获取干扰信号信息,但易获取输入信号和输出信号信息。提出将均方误差公式进行改进,并与干信比这一指标相关联,间接对FM信号进行单音干扰效果评估的方法。首先,建立了FM信号仿真模型,分析了不同信噪比下FM解调信号的波形失真情况;其次,分析了FM调制信号受到单音干扰时,在不同干信比下FM解调信号的波形失真情况;然后,用均方误差公式来表示模拟信号失真度,分析其与干信比的变化曲线,并对均方误差公式进行改进,仿真研究后得到新的评估指标;最后,分析了新评估指标与干信比和占空比的关系。
2018, 30: 033203.
doi: 10.11884/HPLPB201830.170395
摘要:
Traditional spectrum sensing based on compressed sensing assumes that the sparsity is known, while actually, it is unknown. To solve the problem, we proposed a modified sparsity adaptive matching pursuit (MSAMP) algorithm. The MSAMP algorithm pre-estimates the value of sparsity in the process of choosing the support set. A cooperative wideband spectrum compressed sensing method is developed based on the MSAMP algorithm and sequential compression inspection technique. Theoretical analysis and simulation results show that the method can enhance the spectrum sensing capability without a priori knowledge of sparsity.
Traditional spectrum sensing based on compressed sensing assumes that the sparsity is known, while actually, it is unknown. To solve the problem, we proposed a modified sparsity adaptive matching pursuit (MSAMP) algorithm. The MSAMP algorithm pre-estimates the value of sparsity in the process of choosing the support set. A cooperative wideband spectrum compressed sensing method is developed based on the MSAMP algorithm and sequential compression inspection technique. Theoretical analysis and simulation results show that the method can enhance the spectrum sensing capability without a priori knowledge of sparsity.
2018, 30: 034001.
doi: 10.11884/HPLPB201830.170278
摘要:
主要针对尺寸为ϕ75 mm×25 mm的241Am标准体源HPGe探测器探测效率展开研究,通过LabSOCS软件模拟及蒙卡计算研究发现,使用同一种结构类型的探测器测量特定形状的体源,其虚拟点探测器位置与虚拟点源位置满足线性、二次函数、指数等关系。针对确定的探测器,通过点源在对称轴线上不同高度位置实验就可以标定出虚拟点探测器位置,再结合它们的线性函数进一步计算出虚拟点源位置,最后将点源放置于虚拟点位置刻度即可得到体源的探测效率。因此,该技术方法首次提出通过虚拟点探测器位置找到了虚拟点源的位置,是一种全新的刻度方法,已达到实际应用的程度,可以大面积推广应用该技术成果。
主要针对尺寸为ϕ75 mm×25 mm的241Am标准体源HPGe探测器探测效率展开研究,通过LabSOCS软件模拟及蒙卡计算研究发现,使用同一种结构类型的探测器测量特定形状的体源,其虚拟点探测器位置与虚拟点源位置满足线性、二次函数、指数等关系。针对确定的探测器,通过点源在对称轴线上不同高度位置实验就可以标定出虚拟点探测器位置,再结合它们的线性函数进一步计算出虚拟点源位置,最后将点源放置于虚拟点位置刻度即可得到体源的探测效率。因此,该技术方法首次提出通过虚拟点探测器位置找到了虚拟点源的位置,是一种全新的刻度方法,已达到实际应用的程度,可以大面积推广应用该技术成果。
2018, 30: 034002.
doi: 10.11884/HPLPB201830.170239
摘要:
借助蒙特卡罗方法模拟闪光照相过程,研究了模糊和散射因素对边界检测的影响。结果表明:模糊与边界退化量的变化关系依赖于相邻飞层的材料、密度和尺寸;相同客体结构下,模糊越大,边界退化量也越大;客体结构不同,相同模糊下的边界退化量也不同;散直比越大,散射对边界检测结果的影响也越大,当散直比大于50时,散射引起的边界检测误差超过1个像素。
借助蒙特卡罗方法模拟闪光照相过程,研究了模糊和散射因素对边界检测的影响。结果表明:模糊与边界退化量的变化关系依赖于相邻飞层的材料、密度和尺寸;相同客体结构下,模糊越大,边界退化量也越大;客体结构不同,相同模糊下的边界退化量也不同;散直比越大,散射对边界检测结果的影响也越大,当散直比大于50时,散射引起的边界检测误差超过1个像素。
2018, 30: 034101.
doi: 10.11884/HPLPB201830.170423
摘要:
针对PET塑料耐温性能较差,与标准微纳加工工艺不兼容等问题,开发了面向PET塑料基底材料的光刻、镀膜等微纳加工工艺。通过CVD生长、转移等方式将单层石墨烯薄膜附着于0.5 mm厚PET基底,并采用微纳加工的方式制备了柔性石墨烯压阻应变计。工艺结果表明,本研究所提出的加工方法适用于以PET塑料作为衬底材料的柔性微纳器件的制作。通过对PET塑料衬底施加应变并测量石墨烯的电阻变化率,可计算出石墨烯的压阻应变系数约为1.3。
针对PET塑料耐温性能较差,与标准微纳加工工艺不兼容等问题,开发了面向PET塑料基底材料的光刻、镀膜等微纳加工工艺。通过CVD生长、转移等方式将单层石墨烯薄膜附着于0.5 mm厚PET基底,并采用微纳加工的方式制备了柔性石墨烯压阻应变计。工艺结果表明,本研究所提出的加工方法适用于以PET塑料作为衬底材料的柔性微纳器件的制作。通过对PET塑料衬底施加应变并测量石墨烯的电阻变化率,可计算出石墨烯的压阻应变系数约为1.3。
2018, 30: 034102.
doi: 10.11884/HPLPB201830.170294
摘要:
采用自由基浓度起伏理论结合光镊集聚效应,理论研究了飞秒激光双光子加工的线宽问题。根据双光子光聚合过程中自由基浓度随时间变化的关系,考虑光镊效应对自由基分布范围的影响,得到了飞秒激光双光子加工线宽的表达式。研究了线宽随扫描速度与激光功率的变化关系,并讨论了不同光引发剂对线宽的影响。得到了以自由基浓度起伏为基础,并考虑光镊效应的双光子加工线宽表达式,该结果与实验结果相符。研究结果为飞秒激光双光子加工的研究提供了新的思路,为光镊集聚效应对线宽影响的实验研究提供了理论依据。
采用自由基浓度起伏理论结合光镊集聚效应,理论研究了飞秒激光双光子加工的线宽问题。根据双光子光聚合过程中自由基浓度随时间变化的关系,考虑光镊效应对自由基分布范围的影响,得到了飞秒激光双光子加工线宽的表达式。研究了线宽随扫描速度与激光功率的变化关系,并讨论了不同光引发剂对线宽的影响。得到了以自由基浓度起伏为基础,并考虑光镊效应的双光子加工线宽表达式,该结果与实验结果相符。研究结果为飞秒激光双光子加工的研究提供了新的思路,为光镊集聚效应对线宽影响的实验研究提供了理论依据。
2018, 30: 035001.
doi: 10.11884/HPLPB201830.170351
摘要:
目前MA级快脉冲直线变压器驱动源(FLTD)模块一般引入2~4路快前沿(约20 ns)高幅值(100 kV)电脉冲触发,百TW级数十MA的FLTD驱动源含有数千个模块,其触发系统非常庞大,并且要求触发脉冲按照精确时序到达各级串联模块,以便实现与次级行波同步的感应电压高效叠加,触发系统成为大型FLTD驱动源的瓶颈之一。在之前提出的一种利用一路外触发脉冲实现数十模块串联FLTD与次级行波同步的感应电压高效叠加触发方式基础上,设计了4级串联共用腔体的MA级FLTD模块组,每级共24支路,其中1个用作触发支路,主放电支路由2只100 nF双端引出电极电容器和1只GW级气体开关组成;建立了16级串联、次级为水线的单路FLTD电路模型,数值仿真研究了支路开关自放电、触发支路开关闭合时序与分散性,以及次级传输线阻抗对驱动源的影响。
目前MA级快脉冲直线变压器驱动源(FLTD)模块一般引入2~4路快前沿(约20 ns)高幅值(100 kV)电脉冲触发,百TW级数十MA的FLTD驱动源含有数千个模块,其触发系统非常庞大,并且要求触发脉冲按照精确时序到达各级串联模块,以便实现与次级行波同步的感应电压高效叠加,触发系统成为大型FLTD驱动源的瓶颈之一。在之前提出的一种利用一路外触发脉冲实现数十模块串联FLTD与次级行波同步的感应电压高效叠加触发方式基础上,设计了4级串联共用腔体的MA级FLTD模块组,每级共24支路,其中1个用作触发支路,主放电支路由2只100 nF双端引出电极电容器和1只GW级气体开关组成;建立了16级串联、次级为水线的单路FLTD电路模型,数值仿真研究了支路开关自放电、触发支路开关闭合时序与分散性,以及次级传输线阻抗对驱动源的影响。
2018, 30: 035002.
doi: 10.11884/HPLPB201830.170340
摘要:
设计了一套用于控制30个脉冲功率电源模块按时序进行放电的控制系统。该控制系统使用高速数字信号处理器作为主要控制芯片,采用高速光电转换器件及光纤作为触发信号传输系统,利用脉冲隔离变压器作为电源开关触发系统的主要隔离元件,在硬件方面实现了时序放电触发信号的高精度传输和高压隔离。同时,该控制系统使用优化的软件算法对数字信号处理器进行软件编程,实现了放电时序计算的优化控制,而且利用简易的计算机语言对上位机软件进行编写,实现对放电时序进行精确的设置,从而保证了时序放电的精确度。将该控制系统用于实际的30路脉冲功率电源放电装置的实验中,得到了良好的放电电流实验波形。根据时序触发波形及放电波形进行分析,该时序放电控制系统每路电源放电时间最小间隔可达到20 μs,电流波形反映的触发时刻与放电时序设置时刻的延时误差分布在10~15 μs,整个控制系统的性能符合设计的要求。
设计了一套用于控制30个脉冲功率电源模块按时序进行放电的控制系统。该控制系统使用高速数字信号处理器作为主要控制芯片,采用高速光电转换器件及光纤作为触发信号传输系统,利用脉冲隔离变压器作为电源开关触发系统的主要隔离元件,在硬件方面实现了时序放电触发信号的高精度传输和高压隔离。同时,该控制系统使用优化的软件算法对数字信号处理器进行软件编程,实现了放电时序计算的优化控制,而且利用简易的计算机语言对上位机软件进行编写,实现对放电时序进行精确的设置,从而保证了时序放电的精确度。将该控制系统用于实际的30路脉冲功率电源放电装置的实验中,得到了良好的放电电流实验波形。根据时序触发波形及放电波形进行分析,该时序放电控制系统每路电源放电时间最小间隔可达到20 μs,电流波形反映的触发时刻与放电时序设置时刻的延时误差分布在10~15 μs,整个控制系统的性能符合设计的要求。
2018, 30: 035003.
doi: 10.11884/HPLPB201830.170353
摘要:
介绍了Z箍缩初级实验平台“聚龙一号”装置24路模块的精确控制技术和实验结果, 通过采用24个激光触发开关来控制24路模块的精确导通, 实现了对“聚龙一号”装置输出电流波形的精确控制和调节。24个激光触发开关由12台Nd: YAG四倍频脉冲激光器来触发, 每台激光器分光后触发2路激光开关。实验结果表明: 24路激光之间的抖动小于1.0 ns, 激光开关的抖动小于1.5 ns,“聚龙一号”装置在主Marx充电电压为65 kV时, 当24路模块同步导通时,获得负载电流9.8 MA, 电流前沿上升时间(10%~90%)为75 ns;在24路模块分时放电时,实现了对电流波形的精确调节,电流前沿上升时间(10%~90%)可以拓展到600 ns, 对应的负载电流峰值为5.5 MA,电流波形的模拟值与实验测量结果基本一致,在相同负载和实验条件下,获得的电流波形具有很好的重复性。
介绍了Z箍缩初级实验平台“聚龙一号”装置24路模块的精确控制技术和实验结果, 通过采用24个激光触发开关来控制24路模块的精确导通, 实现了对“聚龙一号”装置输出电流波形的精确控制和调节。24个激光触发开关由12台Nd: YAG四倍频脉冲激光器来触发, 每台激光器分光后触发2路激光开关。实验结果表明: 24路激光之间的抖动小于1.0 ns, 激光开关的抖动小于1.5 ns,“聚龙一号”装置在主Marx充电电压为65 kV时, 当24路模块同步导通时,获得负载电流9.8 MA, 电流前沿上升时间(10%~90%)为75 ns;在24路模块分时放电时,实现了对电流波形的精确调节,电流前沿上升时间(10%~90%)可以拓展到600 ns, 对应的负载电流峰值为5.5 MA,电流波形的模拟值与实验测量结果基本一致,在相同负载和实验条件下,获得的电流波形具有很好的重复性。
2018, 30: 035004.
doi: 10.11884/HPLPB201830.170349
摘要:
研制了用于稠密等离子体焦点的强流装置,该装置采用八台低电感低内阻脉冲电容器和八个低感大电流、可控触发高压开关并联组成初级储能模块,高压开关同步击穿后产生μs级强电流经平行板传输线加载到负载。脉冲电容器和高压开关采用一体化设计,结构紧凑,使脉冲电容器与高压开关间的连接电感尽可能小;平板传输线为扇形结构,一个扇形平板传输线连接一个高压开关,平行板传输线可以将电感做得较小,有利于大电流回路的传输。在脉冲电容器充电20 kV时,假负载上可以得到500 kA的电流,电流上升时间约为3.7 μs。
研制了用于稠密等离子体焦点的强流装置,该装置采用八台低电感低内阻脉冲电容器和八个低感大电流、可控触发高压开关并联组成初级储能模块,高压开关同步击穿后产生μs级强电流经平行板传输线加载到负载。脉冲电容器和高压开关采用一体化设计,结构紧凑,使脉冲电容器与高压开关间的连接电感尽可能小;平板传输线为扇形结构,一个扇形平板传输线连接一个高压开关,平行板传输线可以将电感做得较小,有利于大电流回路的传输。在脉冲电容器充电20 kV时,假负载上可以得到500 kA的电流,电流上升时间约为3.7 μs。
2018, 30: 035005.
doi: 10.11884/HPLPB201830.170392
摘要:
针对微波驱动源、固态调制器等对宽平顶脉冲源的应用需求,开展了基于脉冲形成网络输出准方波的理论研究与分析设计。首先采用Prony算法获得准方波波形的解析表达式,然后基于最佳一致逼近的优化控制思路,列出极点控制方程,采用数值方法求解非线性方程组,获得优化波形参数。在此基础上采用阻抗函数匹配的算法求解出脉冲形成网络的元件参数初始值,根据工程设计的实际情况舍弃部分参数并对个别参数进行优化后,获得最终的元器件参数。通过理论分析与数值模拟相结合的方法,系统地给出了获取长脉宽、低纹波准方波脉冲形成网络的设计方法以及设计准则。该方法可用于设计任意阶低纹波系数的准方波脉冲源,也可用于设计其他输出波形要求的脉冲源。
针对微波驱动源、固态调制器等对宽平顶脉冲源的应用需求,开展了基于脉冲形成网络输出准方波的理论研究与分析设计。首先采用Prony算法获得准方波波形的解析表达式,然后基于最佳一致逼近的优化控制思路,列出极点控制方程,采用数值方法求解非线性方程组,获得优化波形参数。在此基础上采用阻抗函数匹配的算法求解出脉冲形成网络的元件参数初始值,根据工程设计的实际情况舍弃部分参数并对个别参数进行优化后,获得最终的元器件参数。通过理论分析与数值模拟相结合的方法,系统地给出了获取长脉宽、低纹波准方波脉冲形成网络的设计方法以及设计准则。该方法可用于设计任意阶低纹波系数的准方波脉冲源,也可用于设计其他输出波形要求的脉冲源。
2018, 30: 035006.
doi: 10.11884/HPLPB201830.170280
摘要:
对聚合物绝缘子表面微形貌的构筑方法及其对沿面闪络性能的影响进行了研究。首先以二氧化硅微球为模板,利用化学模板法在交联聚苯乙烯(CLPS)表面实现了μm级孔穴的构筑,研究了二氧化硅微球的颗粒直径及添加量对微孔参数的影响;其次,利用激光刻蚀的方法在有机玻璃(PMMA)绝缘子表面实现了百μm级三角形凹槽阵列的构筑,探索了激光工艺参数对微槽形貌和结构的影响。通过短脉冲高压测试平台对构筑了两种不同微形貌的绝缘子进行了真空沿面闪络性能测试。结果表明:沿面闪络电压均获得了显著提升,其中表面带有合适微槽的PMMA绝缘子的闪络电压相比于未处理的绝缘子提升了将近150%;与传统的表面机械加工处理方法相比,在聚合物表面实现了从μm到数百μm量级微结构的可控构筑,并使真空沿面闪络电压获得了稳定提升。
对聚合物绝缘子表面微形貌的构筑方法及其对沿面闪络性能的影响进行了研究。首先以二氧化硅微球为模板,利用化学模板法在交联聚苯乙烯(CLPS)表面实现了μm级孔穴的构筑,研究了二氧化硅微球的颗粒直径及添加量对微孔参数的影响;其次,利用激光刻蚀的方法在有机玻璃(PMMA)绝缘子表面实现了百μm级三角形凹槽阵列的构筑,探索了激光工艺参数对微槽形貌和结构的影响。通过短脉冲高压测试平台对构筑了两种不同微形貌的绝缘子进行了真空沿面闪络性能测试。结果表明:沿面闪络电压均获得了显著提升,其中表面带有合适微槽的PMMA绝缘子的闪络电压相比于未处理的绝缘子提升了将近150%;与传统的表面机械加工处理方法相比,在聚合物表面实现了从μm到数百μm量级微结构的可控构筑,并使真空沿面闪络电压获得了稳定提升。
2018, 30: 035007.
doi: 10.11884/HPLPB201830.170400
摘要:
爆炸驱动铁电体脉冲电源利用铁电陶瓷在冲击压力作用下去极化释放电荷而产生电流,可以作为脉冲功率源的初始电源,也可直接驱动高阻抗负载产生脉冲高电压。通常情况下,铁电陶瓷可以看作理想的绝缘体,但在数GPa冲击波压力作用下,铁电陶瓷电阻率可能会明显下降并形成漏电导,使部分去极化释放电荷在铁电陶瓷内部流失,导致铁电陶瓷剩余极化电荷输出效率下降。以PZT95/5铁电陶瓷作为初始储能介质,以爆炸冲击波加载PZT95/5铁电陶瓷释放电荷对脉冲电容器充电,充电结束后电容器电压维持期间检测到明显的反向电流,根据铁电陶瓷输出电流和工作电压,得到冲击波作用过程中铁电陶瓷的瞬态电阻率曲线,并分析了电阻率下降对输出电荷的影响。进一步研究表明,冲击压力在铁电陶瓷边侧产生的稀疏波是引起电荷输出效率降低的主要因素,而铁电陶瓷电阻率下降对电荷输出效率的影响很小。
爆炸驱动铁电体脉冲电源利用铁电陶瓷在冲击压力作用下去极化释放电荷而产生电流,可以作为脉冲功率源的初始电源,也可直接驱动高阻抗负载产生脉冲高电压。通常情况下,铁电陶瓷可以看作理想的绝缘体,但在数GPa冲击波压力作用下,铁电陶瓷电阻率可能会明显下降并形成漏电导,使部分去极化释放电荷在铁电陶瓷内部流失,导致铁电陶瓷剩余极化电荷输出效率下降。以PZT95/5铁电陶瓷作为初始储能介质,以爆炸冲击波加载PZT95/5铁电陶瓷释放电荷对脉冲电容器充电,充电结束后电容器电压维持期间检测到明显的反向电流,根据铁电陶瓷输出电流和工作电压,得到冲击波作用过程中铁电陶瓷的瞬态电阻率曲线,并分析了电阻率下降对输出电荷的影响。进一步研究表明,冲击压力在铁电陶瓷边侧产生的稀疏波是引起电荷输出效率降低的主要因素,而铁电陶瓷电阻率下降对电荷输出效率的影响很小。
2018, 30: 035101.
doi: 10.11884/HPLPB201830.170363
摘要:
从热发射理论出发,推导了非均匀发射阴极的均方根本征发射度的一般计算形式。针对一种最常见的温度径向分布近似模型,给出了均方根发射度随温度非均匀性变化趋势的理论数值解。基于有限差分法粒子仿真技术统计了热阴极的本征发射度,仿真结果与理论解一致,验证了非均匀发射热阴极本征均方根发射度一般形式的正确性。结果表明,径向温度非均匀性引起均方根发射度显著变化,非均匀系数为10%时引起均方根发射度下降约15%。本文建立的理论形式和仿真方法可以有效评估束流品质控制目标和工程热设计之间的依赖关系,以指导高效费比的工程设计。
从热发射理论出发,推导了非均匀发射阴极的均方根本征发射度的一般计算形式。针对一种最常见的温度径向分布近似模型,给出了均方根发射度随温度非均匀性变化趋势的理论数值解。基于有限差分法粒子仿真技术统计了热阴极的本征发射度,仿真结果与理论解一致,验证了非均匀发射热阴极本征均方根发射度一般形式的正确性。结果表明,径向温度非均匀性引起均方根发射度显著变化,非均匀系数为10%时引起均方根发射度下降约15%。本文建立的理论形式和仿真方法可以有效评估束流品质控制目标和工程热设计之间的依赖关系,以指导高效费比的工程设计。
2018, 30: 035102.
doi: 10.11884/HPLPB201830.170372
摘要:
基于反磁回路线圈提出了一种新型在线束流半径诊断结构,该结构可以实现束流的磁场信息和电场信息同时测量并分离,通过分析可以得到束流包络均方根半径和束流的流强信息。着重介绍探头的结构、拓扑电路和模拟实验平台组成,分析探头电场信息的一致性问题,提出改进措施,对改进前后的测量结果进行比较,说明了改进结构的有效性,将电场信号的一致性由原来的94.08%提高到99.60%,模拟束流杆半径测量误差在1 mm以内。
基于反磁回路线圈提出了一种新型在线束流半径诊断结构,该结构可以实现束流的磁场信息和电场信息同时测量并分离,通过分析可以得到束流包络均方根半径和束流的流强信息。着重介绍探头的结构、拓扑电路和模拟实验平台组成,分析探头电场信息的一致性问题,提出改进措施,对改进前后的测量结果进行比较,说明了改进结构的有效性,将电场信号的一致性由原来的94.08%提高到99.60%,模拟束流杆半径测量误差在1 mm以内。
2018, 30: 036001.
doi: 10.11884/HPLPB201830.170099
摘要:
次临界能源包层是聚变-裂变混合堆的重要部件,对其进行力学特性分析研究是确保整个反应堆正常运行的关键。本文利用有限元分析软件对次临界能源包层的第一壁结构、支撑固定结构的相关零部件开展了初步的力学分析,得到了各零部件相关结构的最大应力值、应力分布云图和变形分布云图,其中支撑结构的最大应力位于加强筋板与圆柱定位销的连接处,应力值为310.2 MPa;第一壁的最大应力位于“U”形流道拐角处,应力值为240.7 MPa;按相应的评价准则进行结构的强度和刚度校核,计算结果表明次临界能源包层各零部件能够满足计算工况下的强度和刚度要求。
次临界能源包层是聚变-裂变混合堆的重要部件,对其进行力学特性分析研究是确保整个反应堆正常运行的关键。本文利用有限元分析软件对次临界能源包层的第一壁结构、支撑固定结构的相关零部件开展了初步的力学分析,得到了各零部件相关结构的最大应力值、应力分布云图和变形分布云图,其中支撑结构的最大应力位于加强筋板与圆柱定位销的连接处,应力值为310.2 MPa;第一壁的最大应力位于“U”形流道拐角处,应力值为240.7 MPa;按相应的评价准则进行结构的强度和刚度校核,计算结果表明次临界能源包层各零部件能够满足计算工况下的强度和刚度要求。
2018, 30: 036002.
doi: 10.11884/HPLPB201830.170293
摘要:
为严格追踪裂变反应堆中核素成分随燃耗的变化,基于燃耗矩阵法求解燃耗方程,分别采用自主编写的Chebyshev有理近似方法(CRAM)程序和广泛应用的ORIGEN2程序进行大规模燃耗链的点燃耗计算,并对两种算法的相关参数进行对比分析。结果表明:在计算精度方面,CRAM与ORIGEN2程序获得的重要核素的核密度较为一致,个别核素相对误差较大;在计算效率方面,单步燃耗计算ORIGEN2略胜一筹,但CRAM耗时也非常短;在步长稳定性方面,CRAM具有显著优势,而ORIGEN2的统计结果受步长变化的影响较大。
为严格追踪裂变反应堆中核素成分随燃耗的变化,基于燃耗矩阵法求解燃耗方程,分别采用自主编写的Chebyshev有理近似方法(CRAM)程序和广泛应用的ORIGEN2程序进行大规模燃耗链的点燃耗计算,并对两种算法的相关参数进行对比分析。结果表明:在计算精度方面,CRAM与ORIGEN2程序获得的重要核素的核密度较为一致,个别核素相对误差较大;在计算效率方面,单步燃耗计算ORIGEN2略胜一筹,但CRAM耗时也非常短;在步长稳定性方面,CRAM具有显著优势,而ORIGEN2的统计结果受步长变化的影响较大。
2018, 30: 036003.
doi: 10.11884/HPLPB201830.170249
摘要:
对加速器驱动中子发生器的数值模拟包括离子输运、聚变反应、中子输运等。由于核反应截面远低于带电粒子输运的库仑截面,且核反应平均自由程远大于靶厚度,直接蒙卡抽样难以抽到聚变反应。在MCNPX程序基础上,采用“强迫”聚变方法,即每个入射氘核必发生一次聚变反应,聚变反应处氘核的真实状态(位置、能量和方向)以抽样产生,并以此状态来确定聚变中子的出射状态,实现了氘核与聚变中子的耦合输运模拟计算。研究结果表明,该方法能够给出氘核输运对聚变中子能谱和角分布的影响,中子产额计算结果符合预期。
对加速器驱动中子发生器的数值模拟包括离子输运、聚变反应、中子输运等。由于核反应截面远低于带电粒子输运的库仑截面,且核反应平均自由程远大于靶厚度,直接蒙卡抽样难以抽到聚变反应。在MCNPX程序基础上,采用“强迫”聚变方法,即每个入射氘核必发生一次聚变反应,聚变反应处氘核的真实状态(位置、能量和方向)以抽样产生,并以此状态来确定聚变中子的出射状态,实现了氘核与聚变中子的耦合输运模拟计算。研究结果表明,该方法能够给出氘核输运对聚变中子能谱和角分布的影响,中子产额计算结果符合预期。
2018, 30: 036004.
doi: 10.11884/HPLPB201830.170228
摘要:
根据氙振荡产生的机理,按照燃耗步长来划分:在短步长条件下会产生物理氙振荡,在长步长条件下会产生数值氙振荡。研究发现,当燃耗步长增大到19 h,物理氙振荡的振幅最小,随着燃耗步长继续增大,表现为数值氙振荡,当燃耗步长27 d,数值氙振荡振幅最小。采用平衡氙方法强制使中子通量与氙浓度平衡,在堆芯物理计算程序(RMC)的输运模块中运用平衡氙方法对碘氙的浓度进行不断的迭代更新,在保证收敛的情况下抑制了氙振荡现象的发生。
根据氙振荡产生的机理,按照燃耗步长来划分:在短步长条件下会产生物理氙振荡,在长步长条件下会产生数值氙振荡。研究发现,当燃耗步长增大到19 h,物理氙振荡的振幅最小,随着燃耗步长继续增大,表现为数值氙振荡,当燃耗步长27 d,数值氙振荡振幅最小。采用平衡氙方法强制使中子通量与氙浓度平衡,在堆芯物理计算程序(RMC)的输运模块中运用平衡氙方法对碘氙的浓度进行不断的迭代更新,在保证收敛的情况下抑制了氙振荡现象的发生。
2018, 30: 036005.
doi: 10.11884/HPLPB201830.170315
摘要:
实验制备了单层和叠层(双层)碲锌镉探测器,并利用241Am@59.54 keV和57Co@122 keV γ射线源测试了其γ能谱特性。相比单层探测器,对于较高能量的57Co@122 keV γ射线,叠层碲锌镉探测器表现出较高的探测效率和光峰值效率,较好地改善了康普顿连续统一体,表现出与整块等厚度碲锌镉探测器类似的性能;但光生载流子收集效率变差,能谱峰位向低道区偏移;能量分辨率未得到改善。实验初步表明,通过叠加方法制备叠层碲锌镉探测器是可行的,并可推断制备更大厚度的叠层探测器将有利于中高能γ射线能谱测量。
实验制备了单层和叠层(双层)碲锌镉探测器,并利用241Am@59.54 keV和57Co@122 keV γ射线源测试了其γ能谱特性。相比单层探测器,对于较高能量的57Co@122 keV γ射线,叠层碲锌镉探测器表现出较高的探测效率和光峰值效率,较好地改善了康普顿连续统一体,表现出与整块等厚度碲锌镉探测器类似的性能;但光生载流子收集效率变差,能谱峰位向低道区偏移;能量分辨率未得到改善。实验初步表明,通过叠加方法制备叠层碲锌镉探测器是可行的,并可推断制备更大厚度的叠层探测器将有利于中高能γ射线能谱测量。
2018, 30: 039001.
doi: 10.11884/HPLPB201830.170366
摘要:
在激光烧结石墨烯增强铜基复合材料的过程中,了解瞬时温度场分布对优化工艺参数、控制烧结质量有重要作用。建立了激光烧结预涂在42CrMo基板上的石墨烯铜的混合粉末的有限元模型。研究了激光烧结过程温度场分布,熔池的几何参数以及烧结层与基体的冶金结合宽度。为了验证模拟结果,使用与模拟相同的参数进行了单道激光烧结的实验。研究表明,热传导、热辐射和相变潜热在激光烧结过程的温度场分布中起重要作用。实验结果与模拟结果较为一致。所以可以依据模拟结果预测实验的温度场分布和熔池几何参数,同时也可以据此优化激光烧结参数。
在激光烧结石墨烯增强铜基复合材料的过程中,了解瞬时温度场分布对优化工艺参数、控制烧结质量有重要作用。建立了激光烧结预涂在42CrMo基板上的石墨烯铜的混合粉末的有限元模型。研究了激光烧结过程温度场分布,熔池的几何参数以及烧结层与基体的冶金结合宽度。为了验证模拟结果,使用与模拟相同的参数进行了单道激光烧结的实验。研究表明,热传导、热辐射和相变潜热在激光烧结过程的温度场分布中起重要作用。实验结果与模拟结果较为一致。所以可以依据模拟结果预测实验的温度场分布和熔池几何参数,同时也可以据此优化激光烧结参数。

Email alert
RSS
