2023年 35卷 第6期
高功率固体激光装置的负载问题是制约装置建设与运行的瓶颈问题。在高通量紫外纳秒激光辐照下,熔石英后表面的损伤不断产生和增长,严重限制了装置的负载能力。在提升熔石英抗损伤性能的基础上修复既有损伤,循环使用光学元件,是现阶段提升装置负载能力的主要手段。主要介绍了国内外近年来在熔石英损伤的规律与机制、光学元件循环处理的支撑技术以及提升负载能力的新材料与新技术方面所取得的重要进展。
紫外光学元件损伤动力学的研究是关联物质微观结构演化与光学元件宏观性质变化的重要纽带。在光学元件后表面损伤坑形成的过程中,激光能量沉积导致材料爆炸形成高温高压物质突破表面,并伴随形成爆炸流场和喷溅射流。爆炸流场与初始起爆强度具有强关联性,对爆炸流场及喷溅行为进行研究,可以帮助分析损伤初期的材料状态变化和响应机制,是损伤动力学研究的必需环节。基于多种时间分辨成像技术,捕获了损伤发展前期的材料电离和气化响应演化行为,分析了材料损伤起爆后气化电离等过程的弛豫时间,并确定各个行为转化的关键时间节点,描述了损伤区域能量快速释放的物理过程。
由于金属杂质离子对晶体损伤性质有不容忽视的影响,受实验条件限制,Fe及其团簇缺陷对晶体的影响机制尚不明确。采用第一性原理的方法,对磷酸二氢钾(KDP)和磷酸二氢铵(ADP)晶体中的Fe及其团簇缺陷进行模拟研究,确定其对晶体结构及光学性质方面的影响。研究发现,Fe进入KDP和ADP晶体中主要以取代P原子形成FeO4基团最稳定,且其稳定形式以Fe3+为主。磁性状态研究发现磁性条件对晶体的结构和能量影响不大,Fe对晶体的损伤主要通过引起200~300 nm范围明显的光学吸收影响损伤阈值。Fe进入晶体中形成团簇缺陷可通过电荷补偿与O空位(VO)复合,几乎不会与OH空位(VOH)复合,团簇缺陷以Fe对晶体结构和性质的影响为主。
光学真空系统内的非金属材料出气会产生分子态污染,导致光学元件的透过率降低,进而会加剧激光诱导损伤,降低高功率激光装置的负载能力。提出对通光环境内的密封材料进行优选,开展热真空烘烤实验研究。结果表明,氟橡胶246出气量较小,温度对材料除气效果影响较大,且密封圈经过真空烘烤除气对光学特性影响较低,与密封圈不进行真空烘烤处理相比,紫外段平均透过率变化减少1个数量级,平均损伤密度降低了56%。该技术可应用于高功率激光装置精密洁净领域和其他精密光学洁净系统。
为更快速地置换片状放大器片箱内部的气体、带走片箱内部因氙灯辐照产生的μm级气溶胶颗粒,以延长钕玻璃增益介质使用寿命,提出了几种不同的片箱隔板气体流道设计并对其吹扫效果进行对比。基于计算流体力学手段和分散相模型,求解了片箱腔内的吹扫流场并模拟了微米级粒子污染物的吹扫过程。片箱隔板采用开孔设计,通过对比分析发现,不同开孔孔径和排列方式的片箱吹扫效果差异明显。当开孔孔径为ϕ14 mm、且上下隔板都采用整齐排列的圆形通孔时,片箱内的气体压力损失更小(424.3 Pa)且吹扫达到百级的时间更短(205 s)。最后片箱吹扫实验显示了采用该结构的片箱其腔内吹扫达到百级的时间为2~3 min。
在氙灯放电泵浦过程中, 片状放大器片腔内材料在高强度氙灯光辐照下, 存在显著的热解过程, 产生大量的μm级悬浮粒子。针对放大器在线洁净度控制,采取了包括选用有利于洁净控制的材料、消除盲孔与焊缝、深度酸洗刻蚀、高压喷淋清洗和最终的光照清洗等系列有效措施。实验研究结果表明:经过100发次光照清洗,片腔内气溶胶颗粒处于300~1000之间,接近美国国家点火装置(NIF)洁净水平;发次运行完成后,利用约0.4 m/s的氮氧混合气体对放大器腔体进行吹扫,气溶胶颗粒在2 min内可恢复至0值。
等离子体电极普克尔盒被广泛应用于大型激光驱动器中,用于抑制自激振荡、实现多程放大控制和反激光隔离,普克尔盒内的放电电极在长期使用过程中与腔内残余O2发生反应出现退化现象,导致稳定性下降,寿命降低。为此,提出了封离型等离子体电极普克尔盒,其放电腔内的Ne气浓度可达99.9%,漏率小于1.0×10−10 Pa ∙ m3∙s−1,理论使用年限大于40年。实验表明,封离型等离子体电极普克尔盒在工作20万发次后,其放电电极依然光亮如新,时间抖动仍稳定在6.4 ns附近,稳定性有了大幅提升。
从实装灼热桥丝式电火工品的电磁辐射安全性评估技术角度出发,评述了近年来灼热桥丝式电火工品电磁辐射安全性的几种测试评估方法,并指出了未来应重点研究的方向。研究指出采用高精度、快响应的光纤测温装置监测灼热桥丝式电火工品在外部强场辐照下的温升响应,通过外推确定受试电火工品的发火感度,从而对灼热桥丝式电火工品的电磁辐射安全性进行评估是突破现有评估技术瓶颈的有效措施;应进一步研究解决脉冲条件下由于灼热桥丝式电火工品桥丝响应时间远小于光纤测温装置响应时间导致的无法精确测温问题,以满足实装灼热桥丝式电火工品电磁辐射安全性评估的实际需求。
为了满足高功率微波系统对宽频比双频辐射天线的研究需求,提出了一种可工作在C/X双频段的高功率圆极化反射阵列天线。天线单元采用介质埋藏的贴片单元形式,贴片部分由外圈的椭圆环贴片嵌套内圈的椭圆贴片组成,分别实现低频(C波段)和高频(X波段)的辐射。这种嵌套式的单元形式使得天线可以实现较宽的频比,同时由于单元采用无突变结构且单元被埋藏在介质中避免了三相点的出现,从而具有较高的功率容量。高低频段的两种贴片都采用绕轴旋转的方式来调节反射相位,可以在反射损耗较小的基础上满足360°的反射相位调节。基于以上双频辐射单元设计了一个口径尺寸为400 mm×400 mm的20×20矩形栅格排布反射阵列天线,设计结果表明天线在4.3 GHz下的增益为22.2 dBi,口径效率为40.2%,常压空气中的功率容量为10.4 MW;在10.4 GHz下的增益为29.9 dBi,口径效率为40.5%,常压空气中的功率容量为12.2 MW。该天线高低工作频率的频比达到2.4,且具有高效率和高功率容量的特点。
研究了THz波段强降雨环境下电磁源的辐射特性。基于通用的麦克斯韦方程组和解析分析,提出了各向异性介质中的洛仑兹规范,得到了矢量势的非齐次波动方程及矢量势的精确表达式,并证明了它们的有效性。获得了各向异性介质中电偶极子的辐射场,将各向异性介质退化为各向同性时,得到的辐射场与已有资料中的辐射场一致。基于石膏晶体和强降雨介质的各向异性参数,对电偶极子的辐射特性进行了物理模拟和分析,结果发现:介质的各向异性对其中电磁源辐射有着显著的影响,强降雨中电磁源的辐射具有较弱的各向异性。
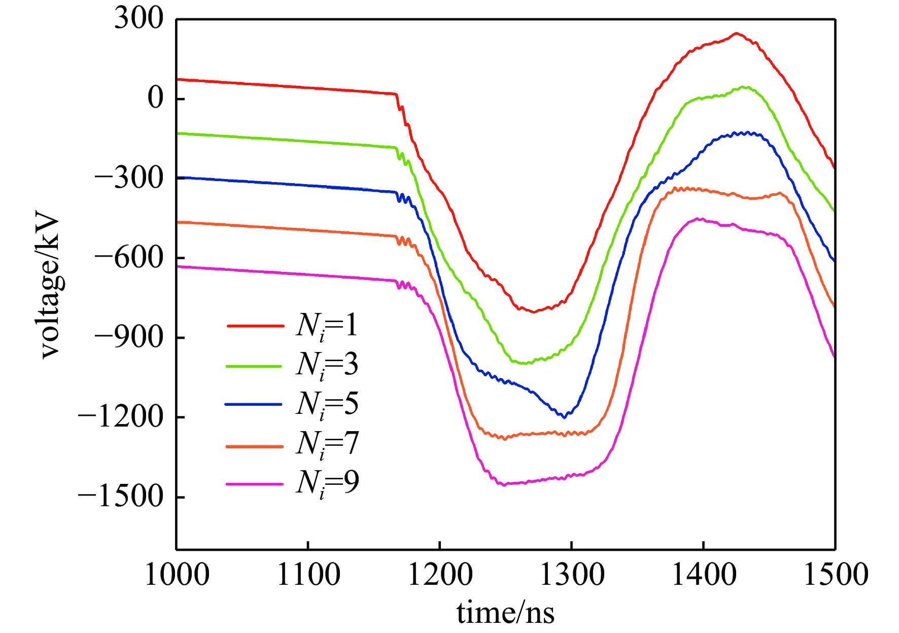
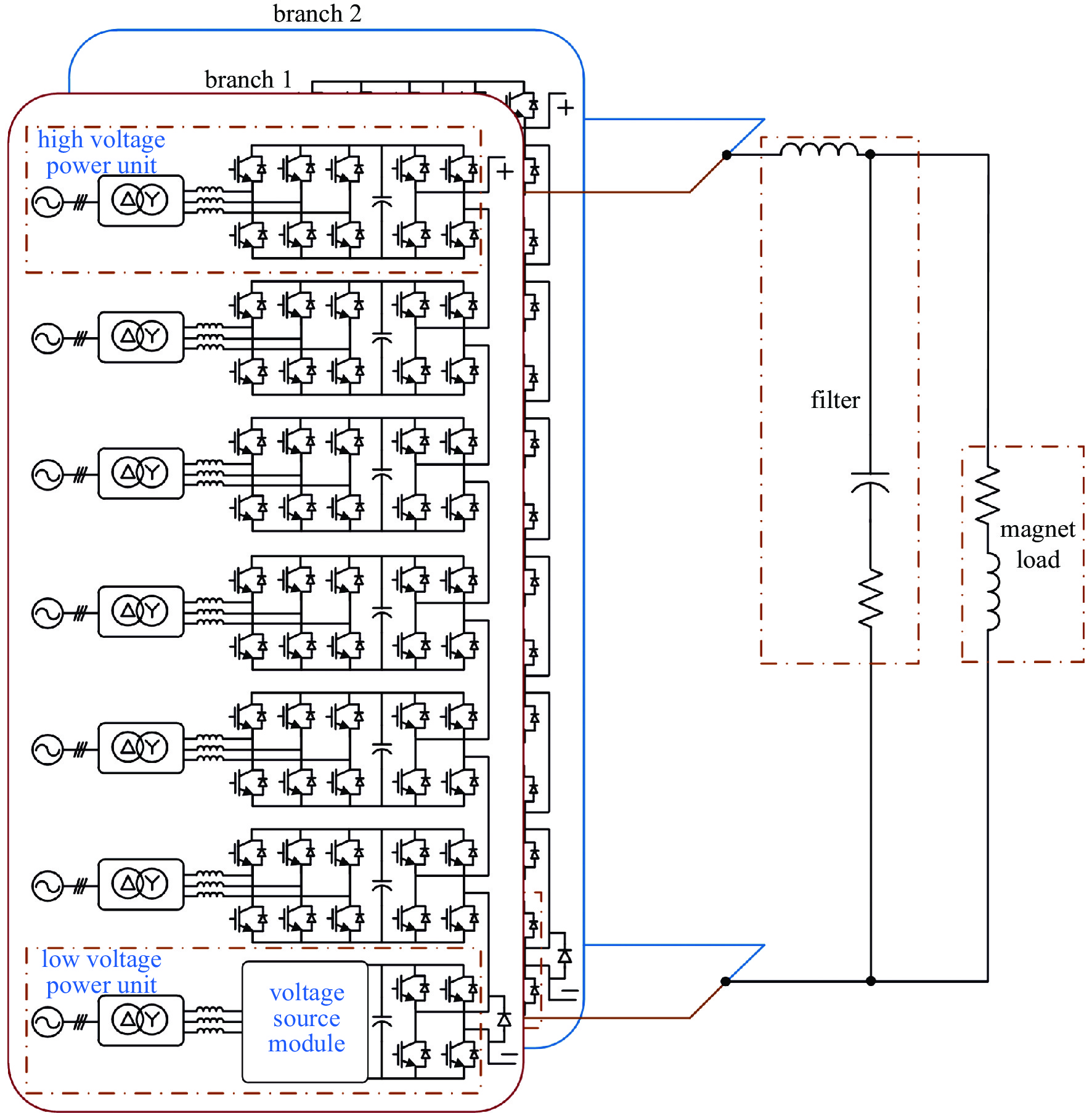
应用于强流重离子加速器装置增强环(HIAF-BRing)的快循环全储能脉冲电源需要在极宽的输出电压范围内保持极高的控制精度,为此电源采用了高压功率单元和低压功率单元串联的拓扑方式,在低压段采用低压功率单元,电压升高之后切换到高压功率单元,通过高低压切换控制来实现电流全阶段的高精度输出。但是在样机实测中发现存在切换点的振荡问题,导致切换点处的输出电流绝对误差无法满足指标要求。本文提出了一种切换点平滑控制算法来平滑处理切换点占空比,给出了仿真结果,并且在HIAF-BRing快循环全储能脉冲电源样机上面实际验证了高低压切换控制方法及其切换点平滑控制算法的有效性。实验结果表明:100 A注入平台的输出电流绝对误差由±500 mA降至±50 mA,100 A注入平台的切换点处输出电流绝对误差由±1.16 A降至±120 mA,100 A注入平台输出精度较低的问题得以解决。
治疗室与其机器人是重离子治疗装置(HIMM)精准治疗系统的重要组成部分,为了提升重离子放疗过程中患者摆位的精度和效率,研究一种使用激光跟踪仪和其配套软件SA将运载治疗床的机器人基座坐标系与治疗室坐标系统一的方法,通过图形拟合的方法确定了标定点在法兰盘坐标系中的坐标;通过数学模型的搭建完成了机器人法兰盘坐标系和基座标系之间的坐标变换;利用SA软件中最佳拟合算法求出了治疗室坐标系与机器人坐标系之间的变换矩阵,完成了坐标系的统一。在HIMM中的实际应用表明,坐标系的统一方法的使用不但简化了标定点在法兰盘中心坐标系中坐标的标定,简化了法兰盘中心坐标系和基座标系转换的计算过程,而且标定精度良好、效率更高,更加符合重离子精准治疗系统及其他工业应用。
在丝电爆过程中,金属丝的沉积能量是决定爆炸效果的关键参数。在研发连续送丝电爆装置的基础上,提出带载丝电爆炸提高金属丝沉积能量的方法。根据金属丝在电爆过程中的相变理论及旁路并联电阻的非线性时变性,建立了金属丝负载的电阻-能量分段模型。使用带载丝和裸丝分别开展电爆炸实验,同步采集丝电爆过程中的放电波形并分析计算,探究带载丝电爆炸相关机理以及沉积能量的变化规律。结果表明,电爆炸前期,由于载丝带具有绝缘性,其旁路并联电阻大于裸丝,从而使得带载丝电阻大于裸丝;随着欧姆加热的进行,带载丝中液态金属沿轴向由两端向中间聚集,加快了电爆炸相变过程,等效电阻减小,延缓了沿面击穿过程,从而获得更多的能量。
针对目前缺乏标准纳秒高压脉冲电源的现状,开展高稳定性纳秒高压脉冲电源回路分析、结构设计及性能测试研究。通过建立纳秒脉冲发生器等效电路模型,仿真计算获得5级初级脉冲发生电路参数,以及一级压缩陡化间隙对纳秒脉冲特性的影响规律。通过纳秒高压脉冲电源结构设计及低抖动电晕稳定开关特性研究,建立高稳定输出的纳秒脉冲电源系统。研制纳秒电阻分压器,建立基于ns及µs量级传递校准测试相结合的刻度因数标定方法,准确获得纳秒电阻分压器的刻度因数。脉冲电源输出特性测试结果表明:纳秒脉冲电源系统可以输出上升时间2.3 ns±0.5 ns、幅值范围10~60 kV的指数纳秒脉冲;输出脉冲电压在全幅值范围内的相对标准偏差不大于±1.5%。
气体开关作为脉冲功率装置的关键部件,其自击穿概率以及触发放电延时抖动对整个脉冲功率系统具有至关重要的影响。降低开关工作系数有利于提高开关稳定性,但延时抖动会随之增大。针对用于磁驱动实验的10 MA级大电流装置应用需求,设计了一种具有较高场畸变系数、能在较低工作系数条件下稳定工作的三电极气体开关,并开展了该开关的性能研究。模拟与实验结果表明:在触发电压与充电电压相当的条件下,开关的场畸变系数接近4,开关工作系数高于60%时,开关具有较低的延时抖动,抖动均方根小于3 ns。结合该开关设计了一个两级Marx储能模块,充电电压±50 kV条件下短路放电,模块回路放电电流峰值达到150 kA、周期2 μs。上千次放电实验后,开关电极表面未发生明显烧蚀,工作正常。工作系数68.5%时,共计4 000发实验中未出现自放电现象,自击穿概率低于2.5×10−4。上述结果表明该开关可满足300~400只开关同时工作的大电流装置需求。
为实现脉冲驱动源的高储能密度和紧凑化,研制了一种以甘油为储能介质,具有中筒螺旋和内筒螺旋的高功率双螺旋Blumlein脉冲形成线(BPFL)。首先,综合绝缘稳定性和储能密度考虑,分别计算BPFL的外线和内线尺寸。利用增加中筒和内筒螺旋的方式增加输出脉宽和形成线阻抗,实现BPFL的紧凑化设计。其次,利用场路协同仿真软件计算形成线内的瞬态场位形变化,结合瞬态场分布分析电压波在形成线内的传输过程,给出外线和内线传输时延的仿真结果。在此基础上,对中筒螺旋匝数、内筒螺旋匝数,以及开关电感等影响输出波形质量的情况进行详细分析。最后,根据仿真优化结果搭建基于双螺旋BPFL的10 GW实验平台。利用脉冲变压器对BPFL充电600 kV,在10 Hz重频条件下运行10 s,于50 Ω负载上产生峰值电压712 kV、半高宽136 ns的准方波脉冲,单脉冲能量与BPFL体积比达到10.8 kJ/m3,脉冲平顶峰峰值抖动为3.8%,与仿真结果吻合度较高。
介绍了压缩等离子体流能量密度诊断存在的问题,基于能量的耗散走向分析及热传导计算模型,针对汽化过程对诊断带来的误差,给出了一种基于测量的质量损失,通过表面退行的有限元计算反推损失相同质量所需输入能量的能量密度修正方法,并对能量密度修正进行了评估,通过此方法得到的修正能量密度与实验结果相吻合,但要获得更准确的能量密度,还需针对屏蔽等离子体、反冲应力波等因素进行能量密度修正,或开发出更准确的能量密度诊断方法。
为满足等离子体放电需求,垂直场电源需串联脉冲电感来改变输出电流参数。针对TT-1装置垂直场电源对输出电流的要求,对脉冲电感进行了设计与研制。根据电感的运行工况及参数,通过感应系数法和累积温升法进行详细的数学分析和结构设计。基于理论设计,建立Ansys仿真模型对电感进行了磁场及温升的研究。最后完成电感的研制,根据电桥测量和实验波形,实际电感参数与理论分析高度吻合,并对电感进行大电流条件下的疲劳实验和温升实验,验证理论设计的可靠性。
为了满足复杂多变的电磁环境对正弦电流精度和变频调幅稳定输出的要求,提出了LC串联谐振理论与高频PWM调制技术相结合的设计思想。研制了一种多频点(10~3800 Hz)、电流高达8000 A的正弦波电源。FTD电源采用直流开关电源技术、SPWM调制技术和LC串联谐振理论。输出电流工作点包括10 Hz@8000 A、20 Hz@6000 A、30~110 Hz@5000 A和1.3~3.8 kHz@2400 A。采用电流反馈和频率反馈控制策略,输出电流精度可达5%。测试结果表明,FTD电源能够满足系统要求,实现了对偏滤器偏转磁场的强度和频率的调节,为偏滤器靶板的粒子热沉积效果的对比实验提供了支持。
针对传统三相三电平逆变器在较小占空比模式下输出电压纹波较大的不足,提出了一种新的双重控制策略。该策略通过控制直流母线电压大小与逆变器的占空比,从而实现对输出直流电压较大范围内的可控调整。建立200 kV/15 A的逆变型直流高压电源MATLAB/Simulink系统仿真模型,采用上述控制策略,实现了输出电压分别为200 kV和20 kV时,纹波均小于±1%,验证了新型控制策略在输出电压宽范围情况下,输出电压纹波能够满足负载要求。
对于宽带通信信号检测问题,针对目前基于深度学习的信号检测算法不适应于处理大带宽和大时宽的宽带信号以及对信号时频参数估计存在的固有偏差问题,提出基于谱图分解的宽带通信信号智能检测算法,完成对大带宽接收信号中窄带信号的高效准确检测。首先将由宽带信号转化而来的灰度时频谱图通过谱图分解得到适合于目标检测网络输入大小的子谱图,然后使用改进的无锚框YOLOx目标检测算法对子谱图中的窄带信号进行检测,最后将子谱图的信号检测结果融合得到窄带信号的时频参数等检测结果。经过实验测试得出,该算法能够适应复杂的噪声环境,与其他深度学习算法和传统算法相比,具有较高的信号检测概率,较低的虚警概率,较小的信号参数估计平均误差,其检测精度更高,鲁棒性、实用性、通用性更强。
为了解决“猫眼”目标在夜晚环境下难识别的问题,提出了一种基于归一化中心矩的轮廓匹配“猫眼”目标识别方法。首先利用中值滤波对图像进行去噪,采用固定阈值分割完成了对图像的分割,使得“猫眼”目标与部分背景分离,使用Roberts边缘检测提取出了所有物体的边缘,最后采取了基于归一化中心矩的轮廓匹配算法,该算法不受平移和放缩的影响,提取出了图像中的所有圆形目标,并利用面积判别识别了真实目标,对识别出的目标绘制最小外接圆,利用圆心坐标对其定位。通过对不同光照强度下的“猫眼”图像进行实验与对比,验证了该方法的可行性,并通过目标识别评价指标验证了该方法的有效性。实验结果表明,该方法的全局准确率可达92.1%,可以在夜晚环境不同光照强度下成功地对“猫眼”目标进行识别。

Email alert
RSS
