当期目录
推荐文章
2026, 38: 021001.
doi: 10.11884/HPLPB202638.250470
2026, 38: 023003.
doi: 10.11884/HPLPB202638.250257
2026, 38: 024001.
doi: 10.11884/HPLPB202638.250067
2026, 38: 021001.
doi: 10.11884/HPLPB202638.250470
摘要:
微纳结构靶具有从激光焦斑尺度至亚波长尺度的周期或非周期性结构,能够有效调控激光-靶相互作用过程中的能量传递、电磁场分布、粒子输运与辐射产生过程,是创造高能量密度物质状态、提高激光辐射源能量与亮度的重要技术途径。本文将针对超短超强激光和微纳结构靶相互作用的物理机理、研究方法和发展趋势,详细介绍基于微纳结构靶的强场激光辐射源研究进展,包括迄今已经趋于实用的基于数十太瓦至百太瓦激光装置产生的强流粒子束及射线源,以及当前理论研究热点——量子电动力学辐射、高次谐波等新型光源等,最后对基于微纳结构靶的辐射源技术发展需求和研究趋势进行展望。
微纳结构靶具有从激光焦斑尺度至亚波长尺度的周期或非周期性结构,能够有效调控激光-靶相互作用过程中的能量传递、电磁场分布、粒子输运与辐射产生过程,是创造高能量密度物质状态、提高激光辐射源能量与亮度的重要技术途径。本文将针对超短超强激光和微纳结构靶相互作用的物理机理、研究方法和发展趋势,详细介绍基于微纳结构靶的强场激光辐射源研究进展,包括迄今已经趋于实用的基于数十太瓦至百太瓦激光装置产生的强流粒子束及射线源,以及当前理论研究热点——量子电动力学辐射、高次谐波等新型光源等,最后对基于微纳结构靶的辐射源技术发展需求和研究趋势进行展望。
2026, 38: 021002.
doi: 10.11884/HPLPB202638.250290
摘要:
以激光作为加载热源,结合数值模拟与实验方法,研究了平纹编织碳纤维增强树脂复合材料在真空环境下的热烧蚀行为。建立了编织复合材料的细观热烧蚀理论模型,基于纤维纱线-基体双相建模策略,并结合有限元热分析模块与自定义子程序,实现了纤维与基体热导率的非线性演化及烧蚀形貌的动态模拟。基于红外与热电偶测温系统,设计实验并获得了材料辐照面的瞬态温度场、背面温升曲线以及烧蚀前后表面反射率的光谱变化。结果表明,真空环境下复合材料未出现起火现象,环氧树脂基体发生明显热分解与质量损失,而碳纤维形貌保持相对稳定。数值模拟结果与实验数据吻合良好,表明所建立的模型能够表征真空环境下材料的烧蚀温度场与形貌演变规律,可为复合材料在极端环境下的热安全评估和优化设计提供参考。
以激光作为加载热源,结合数值模拟与实验方法,研究了平纹编织碳纤维增强树脂复合材料在真空环境下的热烧蚀行为。建立了编织复合材料的细观热烧蚀理论模型,基于纤维纱线-基体双相建模策略,并结合有限元热分析模块与自定义子程序,实现了纤维与基体热导率的非线性演化及烧蚀形貌的动态模拟。基于红外与热电偶测温系统,设计实验并获得了材料辐照面的瞬态温度场、背面温升曲线以及烧蚀前后表面反射率的光谱变化。结果表明,真空环境下复合材料未出现起火现象,环氧树脂基体发生明显热分解与质量损失,而碳纤维形貌保持相对稳定。数值模拟结果与实验数据吻合良好,表明所建立的模型能够表征真空环境下材料的烧蚀温度场与形貌演变规律,可为复合材料在极端环境下的热安全评估和优化设计提供参考。
2026, 38: 021003.
doi: 10.11884/HPLPB202638.250177
摘要:
对比研究了在纳秒脉冲激光激发的传统共线双脉冲(DP)激发模式及微秒加纳秒脉冲激光激发的长短共线双脉冲激发模式下,双脉冲间延时、光谱采集延时和激光能量对激光诱导击穿光谱(LIBS)增强及其变化规律的影响,探讨分析了这两种不同双脉冲激光激发模式下样品表面烧蚀形貌的差异及成因。研究结果表明传统共线DP-LIBS谱线强度在0~2 μs短延时内迅速增加,并在2~14 μs较长延时范围内谱线强度都比较高,其最佳脉冲间延时约为4 μs。而长短共线DP-LIBS光谱的最佳脉冲间延时约为25 μs,取决于长脉冲激光峰值功率位置。在传统共线DP-LIBS中,相较于第一束激光,改变第二束激光的能量时,LIBS光谱增强变化更为显著。而长短共线DP-LIBS中,随着长脉冲激光能量增加,有利于样品加热和表面改性,光谱强度增强,但长脉冲能量过高会导致样品熔融和材料飞溅,反而会削弱第二束短脉冲激光的烧蚀效果并降低光谱强度。进一步对烧蚀形貌分析发现,传统共线DP-LIBS形成烧蚀坑的较深,而长短共线DP-LIBS则易于产生更大烧蚀斑。
对比研究了在纳秒脉冲激光激发的传统共线双脉冲(DP)激发模式及微秒加纳秒脉冲激光激发的长短共线双脉冲激发模式下,双脉冲间延时、光谱采集延时和激光能量对激光诱导击穿光谱(LIBS)增强及其变化规律的影响,探讨分析了这两种不同双脉冲激光激发模式下样品表面烧蚀形貌的差异及成因。研究结果表明传统共线DP-LIBS谱线强度在0~2 μs短延时内迅速增加,并在2~14 μs较长延时范围内谱线强度都比较高,其最佳脉冲间延时约为4 μs。而长短共线DP-LIBS光谱的最佳脉冲间延时约为25 μs,取决于长脉冲激光峰值功率位置。在传统共线DP-LIBS中,相较于第一束激光,改变第二束激光的能量时,LIBS光谱增强变化更为显著。而长短共线DP-LIBS中,随着长脉冲激光能量增加,有利于样品加热和表面改性,光谱强度增强,但长脉冲能量过高会导致样品熔融和材料飞溅,反而会削弱第二束短脉冲激光的烧蚀效果并降低光谱强度。进一步对烧蚀形貌分析发现,传统共线DP-LIBS形成烧蚀坑的较深,而长短共线DP-LIBS则易于产生更大烧蚀斑。
2026, 38: 023001.
doi: 10.11884/HPLPB202638.250129
摘要:
在考虑不同电子注性能(速度离散、电子注厚度、空间电荷效应、起振过程、单/双阳极结构)情况下,建立了完善的时域多模自洽非线性注-波互作用模型。以自研的兆瓦级170 GHz、TE25,10模式工作的回旋管为研究对象,系统分析了高频腔结构参数变化、起振电流、单/双阳极电子注电压调制及不同速度和电子注离散下的模式竞争情况。数值模拟研究表明:双阳极调制方式能明显抑制模式竞争,在电子注电压80 kV、电流40 A、磁场6.72 T、横纵速度比1.3的工作条件下,可实现1.35 MW输出功率和42.2%的互作用效率。
在考虑不同电子注性能(速度离散、电子注厚度、空间电荷效应、起振过程、单/双阳极结构)情况下,建立了完善的时域多模自洽非线性注-波互作用模型。以自研的兆瓦级170 GHz、TE25,10模式工作的回旋管为研究对象,系统分析了高频腔结构参数变化、起振电流、单/双阳极电子注电压调制及不同速度和电子注离散下的模式竞争情况。数值模拟研究表明:双阳极调制方式能明显抑制模式竞争,在电子注电压80 kV、电流40 A、磁场6.72 T、横纵速度比1.3的工作条件下,可实现1.35 MW输出功率和42.2%的互作用效率。
2026, 38: 023002.
doi: 10.11884/HPLPB202638.250182
摘要:
为了提高高功率微波源在低导引磁场下的效率,提出了一种低磁场高效率同轴双模相对论切伦科夫振荡器。该器件工作在同轴准TEM模式与同轴TM01模式下,利用双模工作机制,实现了低磁场下(<0.4 T)的高效率输出。在粒子模拟中,导引磁场0.35 T时,器件实现了功率3 GW的微波输出、束-波转换效率40%。同时,针对实验中遇到的射频击穿现象,通过增加慢波结构周期数量来提高功率容量,并通过仿真和实验进行验证。最终实验中在0.37 T磁场下,输出微波功率2.85 GW,脉宽57 ns,转换效率34%。在低磁场下获得的实验结果为高功率微波系统小型化的发展提供了强力支撑。
为了提高高功率微波源在低导引磁场下的效率,提出了一种低磁场高效率同轴双模相对论切伦科夫振荡器。该器件工作在同轴准TEM模式与同轴TM01模式下,利用双模工作机制,实现了低磁场下(<0.4 T)的高效率输出。在粒子模拟中,导引磁场0.35 T时,器件实现了功率3 GW的微波输出、束-波转换效率40%。同时,针对实验中遇到的射频击穿现象,通过增加慢波结构周期数量来提高功率容量,并通过仿真和实验进行验证。最终实验中在0.37 T磁场下,输出微波功率2.85 GW,脉宽57 ns,转换效率34%。在低磁场下获得的实验结果为高功率微波系统小型化的发展提供了强力支撑。
2026, 38: 023003.
doi: 10.11884/HPLPB202638.250257
摘要:
空间太阳电池阵作为航天器的重要能源组成部分,在未来对抗中极易受到以高功率微波为代表的外来强电磁脉冲侵袭。为研究空间太阳电池阵的高功率微波耦合效应,以典型太阳电池阵结构和布局作为参考,搭建了高功率微波辐照作用下的太阳电池阵样品三维模型,研究了不同激励源参数条件(频率、极化方向、入射角度等)下的太阳电池阵耦合效应规律。结果表明:在2~18 GHz频率范围内,垂直极化的S波段微波辐照最容易对太阳电池阵造成诱发放电损伤,电池串间隙三结合部感应场强远高于互连片位置间隙;在微波辐照作用下太阳电池样品会感应出极强的瞬态电场,垂直极化情况下,感应场主要集中分布在电池串间隙、汇流条附近、电池片边缘;电池三结合部感应电场稳定峰值随微波入射角度的增大而减小,随微波功率密度的增大而增大;微波上升下降沿对感应电场值无明显影响;太阳电池阵串间隙周围空间的电场由间隙中心向外侧逐渐减小。该研究将为空间太阳电池阵的电磁防护设计提供参考。
空间太阳电池阵作为航天器的重要能源组成部分,在未来对抗中极易受到以高功率微波为代表的外来强电磁脉冲侵袭。为研究空间太阳电池阵的高功率微波耦合效应,以典型太阳电池阵结构和布局作为参考,搭建了高功率微波辐照作用下的太阳电池阵样品三维模型,研究了不同激励源参数条件(频率、极化方向、入射角度等)下的太阳电池阵耦合效应规律。结果表明:在2~18 GHz频率范围内,垂直极化的S波段微波辐照最容易对太阳电池阵造成诱发放电损伤,电池串间隙三结合部感应场强远高于互连片位置间隙;在微波辐照作用下太阳电池样品会感应出极强的瞬态电场,垂直极化情况下,感应场主要集中分布在电池串间隙、汇流条附近、电池片边缘;电池三结合部感应电场稳定峰值随微波入射角度的增大而减小,随微波功率密度的增大而增大;微波上升下降沿对感应电场值无明显影响;太阳电池阵串间隙周围空间的电场由间隙中心向外侧逐渐减小。该研究将为空间太阳电池阵的电磁防护设计提供参考。
2026, 38: 023004.
doi: 10.11884/HPLPB202638.250283
摘要:
在隐身飞行器设计中,缝隙等弱散射源的影响日益凸显。当前研究虽广泛采用仿真与测试分析缝隙散射,但其模型通常不属于真实的弱散射源。为准确度量弱缝隙的雷达散射截面(RCS)性能,应用电场矢量叠加原理,采用对消技术将缝隙的散射效应从其低散射背景载体中分离出来。基于此方法,明确了缝隙尺寸与其RCS之间的变化关系。同时,所采用的多目标散射源累积快速预测方法,能够对单直缝、直缝阵列及弯折缝等目标的散射性能进行快速评估。经对比验证,该快速方法的结果与精确模型仿真具有一致性。此方法为飞机表面蒙皮搭接、设备开口等结构的设计与优化提供了有效工具。通过试验件的仿真与实测数据对比,证实了本方法在评估弱散射目标方面的有效性。
在隐身飞行器设计中,缝隙等弱散射源的影响日益凸显。当前研究虽广泛采用仿真与测试分析缝隙散射,但其模型通常不属于真实的弱散射源。为准确度量弱缝隙的雷达散射截面(RCS)性能,应用电场矢量叠加原理,采用对消技术将缝隙的散射效应从其低散射背景载体中分离出来。基于此方法,明确了缝隙尺寸与其RCS之间的变化关系。同时,所采用的多目标散射源累积快速预测方法,能够对单直缝、直缝阵列及弯折缝等目标的散射性能进行快速评估。经对比验证,该快速方法的结果与精确模型仿真具有一致性。此方法为飞机表面蒙皮搭接、设备开口等结构的设计与优化提供了有效工具。通过试验件的仿真与实测数据对比,证实了本方法在评估弱散射目标方面的有效性。
2026, 38: 023005.
doi: 10.11884/HPLPB202638.250261
摘要:
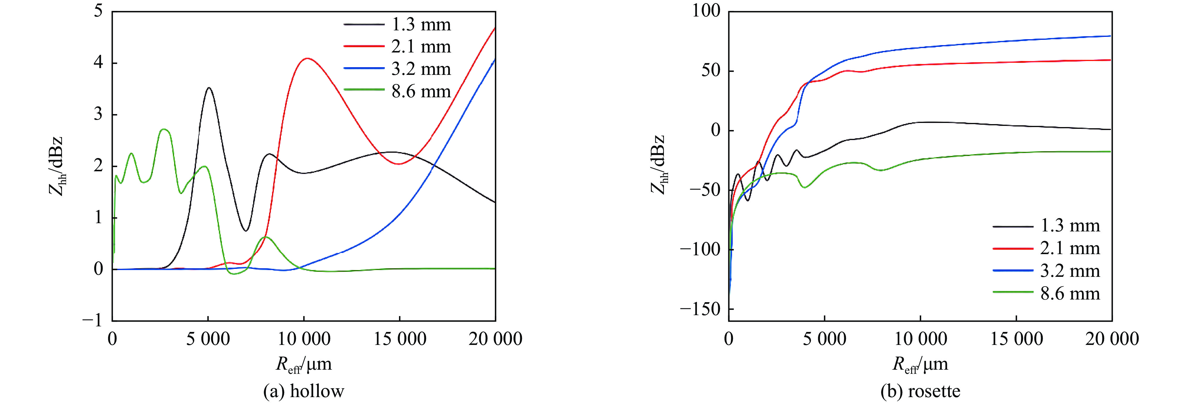
传统Mie散射理论基于球形粒子假设,难以精准描述大气非球形冰晶的散射行为,现有研究多局限于94 GHz单频率,缺乏毫米波/亚毫米波宽频段双偏振参数量化,制约偏振雷达气象探测精度。探究六角棱柱、六角平板等六种典型非球形冰晶在35、94、140、220 GHz的双偏振散射特性,量化差分反射率因子(ZDR)、线性退极化比(LDR)对粒子形状与取向的响应。采用离散偶极子近似法(DDA)、时域有限差分法(FDTD),结合XFDTD、HFSS验证。结果显示:除聚合体外,DDA计算后向散射截面与商用软件误差≤1.5 dB;小粒子(等效半径<100 μm)反射率对波长不敏感,大粒子呈形状相关共振且共振位置随波长右移;六角平板ZDR变化最广(9 dB至–9 dB),轴对称粒子LDR集中于–40 dB至–50 dB。双偏振参数可降低对粒子尺寸的依赖,提升宽频段冰晶识别精度,为毫米波/亚毫米波偏振雷达云微物理探测提供理论支撑。
传统Mie散射理论基于球形粒子假设,难以精准描述大气非球形冰晶的散射行为,现有研究多局限于94 GHz单频率,缺乏毫米波/亚毫米波宽频段双偏振参数量化,制约偏振雷达气象探测精度。探究六角棱柱、六角平板等六种典型非球形冰晶在35、94、140、220 GHz的双偏振散射特性,量化差分反射率因子(ZDR)、线性退极化比(LDR)对粒子形状与取向的响应。采用离散偶极子近似法(DDA)、时域有限差分法(FDTD),结合XFDTD、HFSS验证。结果显示:除聚合体外,DDA计算后向散射截面与商用软件误差≤1.5 dB;小粒子(等效半径<100 μm)反射率对波长不敏感,大粒子呈形状相关共振且共振位置随波长右移;六角平板ZDR变化最广(9 dB至–9 dB),轴对称粒子LDR集中于–40 dB至–50 dB。双偏振参数可降低对粒子尺寸的依赖,提升宽频段冰晶识别精度,为毫米波/亚毫米波偏振雷达云微物理探测提供理论支撑。
2026, 38: 024001.
doi: 10.11884/HPLPB202638.250067
摘要:
中子转换靶是强流直线加速器中子源的重要组成部分,在强流粒子束(质子或氘离子等)的轰击下,中子转换靶的散热是当前制约中子产额提升的关键因素,具有强散热能力的高性能气体靶是解决方案之一。针对传统气体靶散热能力不足的问题,通过对靶室结构的改进,设计了一种新型动态气体靶系统。开展了气体靶系统和靶室结构的概念设计,并利用Target软件计算了气体靶金属窗和气体体靶对入射离子的能量歧离效应,结果显示:因气体造成的能量歧离很小,金属窗是入射离子能量歧离的主要来源。通过耦合SRIM计算加热功率,实现了热源随气体密度的动态加载,模拟了不同流强和不同入口速度条件下靶室内气流流动规律,结果表明,随着流强增加,加热功率逐渐升高,加热区密度迅速下降,同时提高靶室入口速度能够增强散热能力,减小因束流加热引起的密度下降效应。最后对气体靶产生中子的整体性能进行了评估,计算了不同流强下的中子产额及其能谱分布,当流强为10 mA时,气体靶的中子产额可以达到5.2×1012 n/s。
中子转换靶是强流直线加速器中子源的重要组成部分,在强流粒子束(质子或氘离子等)的轰击下,中子转换靶的散热是当前制约中子产额提升的关键因素,具有强散热能力的高性能气体靶是解决方案之一。针对传统气体靶散热能力不足的问题,通过对靶室结构的改进,设计了一种新型动态气体靶系统。开展了气体靶系统和靶室结构的概念设计,并利用Target软件计算了气体靶金属窗和气体体靶对入射离子的能量歧离效应,结果显示:因气体造成的能量歧离很小,金属窗是入射离子能量歧离的主要来源。通过耦合SRIM计算加热功率,实现了热源随气体密度的动态加载,模拟了不同流强和不同入口速度条件下靶室内气流流动规律,结果表明,随着流强增加,加热功率逐渐升高,加热区密度迅速下降,同时提高靶室入口速度能够增强散热能力,减小因束流加热引起的密度下降效应。最后对气体靶产生中子的整体性能进行了评估,计算了不同流强下的中子产额及其能谱分布,当流强为10 mA时,气体靶的中子产额可以达到5.2×1012 n/s。
2026, 38: 024002.
doi: 10.11884/HPLPB202638.250164
摘要:
针对应用于硼中子俘获治疗的加速器中子源的束流偏转问题,为其低能束流传输线部分设计了一套斩束器,通过理论计算与软件模拟,验证方案的可行性。为了解决斩波器电场强度不均匀问题,引入圆弧电极设计结构,微波工作室(CST Studio Suite)模拟仿真表明其具有更好的电场分布均匀性。发展了基于Python程序的CST与TraceWin联合束流动力学模拟,结果表明设计的斩波器能够高效率地实现束流偏转功能,设计方案具有良好的实际应用价值和意义。
针对应用于硼中子俘获治疗的加速器中子源的束流偏转问题,为其低能束流传输线部分设计了一套斩束器,通过理论计算与软件模拟,验证方案的可行性。为了解决斩波器电场强度不均匀问题,引入圆弧电极设计结构,微波工作室(CST Studio Suite)模拟仿真表明其具有更好的电场分布均匀性。发展了基于Python程序的CST与TraceWin联合束流动力学模拟,结果表明设计的斩波器能够高效率地实现束流偏转功能,设计方案具有良好的实际应用价值和意义。
2026, 38: 024003.
doi: 10.11884/HPLPB202638.250018
摘要:
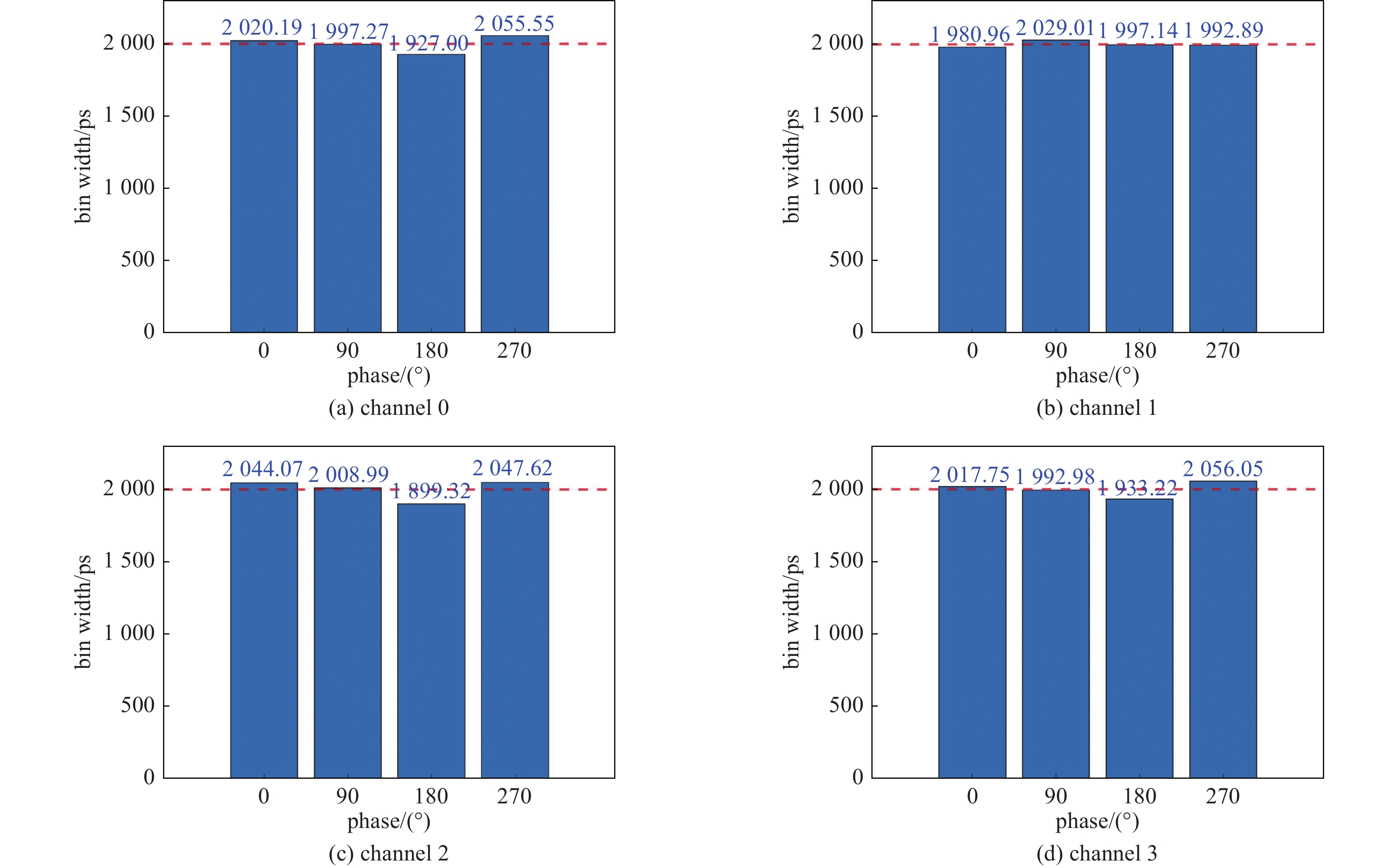
提出一种结合多相时钟与延迟链插值的多通道FPGA-TDC结构,以降低工作频率、提升线性度并减少资源消耗,同时保持高分辨率。设计采用两级插值结构,利用多相时钟与延迟链构建细时间单元,从而减小延迟非线性积累并缩小编码器规模。系统在Xilinx ZYNQ-7035平台实现,并在0~16000 ps范围内进行测试。实验结果表明,所设计的TDC系统分辨率优于4 ps,微分非线性在−1~+7 LSB之间,积分非线性在−2 LSB至+14 LSB之间。与传统结构相比,该方案在同频率下延迟链长度成倍缩短,在相同链长下频率更低。所提两级插值结构在提升分辨率和线性度的同时显著节省逻辑资源,具备良好的应用潜力。
提出一种结合多相时钟与延迟链插值的多通道FPGA-TDC结构,以降低工作频率、提升线性度并减少资源消耗,同时保持高分辨率。设计采用两级插值结构,利用多相时钟与延迟链构建细时间单元,从而减小延迟非线性积累并缩小编码器规模。系统在Xilinx ZYNQ-7035平台实现,并在0~
2026, 38: 025001.
doi: 10.11884/HPLPB202638.250181
摘要:
纳秒脉冲下SF6中的沿面闪络涉及的物理过程复杂,如何准确预测该环境下的绝缘介质沿面闪络电压是高压脉冲功率设备设计与绝缘可靠性评估的关键挑战。与传统工频或直流电压相比,纳秒脉冲极短的上升时间和高幅值导致空间电荷效应显著、放电发展机制迥异,使得基于经典理论的预测模型面临严峻挑战。近年来,随着计算机算力的飞速提升和人工智能算法的突破性进展,基于数据驱动的机器学习方法在解决复杂非线性绝缘问题中展现出了巨大潜力。针对纳秒脉冲下这一特定难题,选取了支持向量机、多层感知机、随机森林和极端梯度提升树等四种算法对15~500 mm多尺度距离范围内不同实验条件下的闪络电压数据进行了训练和预测,其预测结果的ROC 曲线下面积(AUC)值均在0.9以上,表现最优的是支持向量机算法。同时,为了验证预测模型的准确性,选取表现较为优异的支持向量机模型对另选取的100 mm距离数据进行了预测,AUC值达到0.99,这表明预测准确率高,可以认为模型具备较强的泛化性,从而验证了不同实验条件下基于数据驱动的SF6中闪络电压预测方法的可行性。
纳秒脉冲下SF6中的沿面闪络涉及的物理过程复杂,如何准确预测该环境下的绝缘介质沿面闪络电压是高压脉冲功率设备设计与绝缘可靠性评估的关键挑战。与传统工频或直流电压相比,纳秒脉冲极短的上升时间和高幅值导致空间电荷效应显著、放电发展机制迥异,使得基于经典理论的预测模型面临严峻挑战。近年来,随着计算机算力的飞速提升和人工智能算法的突破性进展,基于数据驱动的机器学习方法在解决复杂非线性绝缘问题中展现出了巨大潜力。针对纳秒脉冲下这一特定难题,选取了支持向量机、多层感知机、随机森林和极端梯度提升树等四种算法对15~500 mm多尺度距离范围内不同实验条件下的闪络电压数据进行了训练和预测,其预测结果的ROC 曲线下面积(AUC)值均在0.9以上,表现最优的是支持向量机算法。同时,为了验证预测模型的准确性,选取表现较为优异的支持向量机模型对另选取的100 mm距离数据进行了预测,AUC值达到0.99,这表明预测准确率高,可以认为模型具备较强的泛化性,从而验证了不同实验条件下基于数据驱动的SF6中闪络电压预测方法的可行性。
2026, 38: 025002.
doi: 10.11884/HPLPB202638.250184
摘要:
双极性电磁脉冲发生器无法通过外置机械调节结构的方式对输出开关间隙进行调节。为解决其开关间隙调节难题,以绝缘气体为介质,气缸为执行器,间隙轨迹规划方法和单环PIDA控制器相结合为控制算法,提出了一种开关电极间隙气动调节方法,该气动调节方法可以更好地适应高压绝缘环境要求,替代人工调节和电动方式,实现开关间隙的实时精确控制。经仿真验证,在间隙传感器测量精度0.1 mm的精度下,开关间隙的调节误差小于0.5 mm,这对双极性等电磁脉冲模拟装置的工程化实现具有重要意义。
双极性电磁脉冲发生器无法通过外置机械调节结构的方式对输出开关间隙进行调节。为解决其开关间隙调节难题,以绝缘气体为介质,气缸为执行器,间隙轨迹规划方法和单环PIDA控制器相结合为控制算法,提出了一种开关电极间隙气动调节方法,该气动调节方法可以更好地适应高压绝缘环境要求,替代人工调节和电动方式,实现开关间隙的实时精确控制。经仿真验证,在间隙传感器测量精度0.1 mm的精度下,开关间隙的调节误差小于0.5 mm,这对双极性等电磁脉冲模拟装置的工程化实现具有重要意义。
2026, 38: 025003.
doi: 10.11884/HPLPB202638.250155
摘要:
偏压电源是高压电子束焊机电源系统的重要部件之一,根据电子束焊机电源系统的技术要求,研制了一套输出直流电压−100 V~−2 kV可调,全电压范围内纹波小于等于0.1%,电压稳定性优于0.1%,输出电流大于3 mA的偏压电源,分别给出了该电源在电阻负载和高压电子枪负载下的实验结果。设计上采用吸收、保护等方法,解决了电子枪负载打火损坏偏压电源问题,成功将偏压电源串接在高压电源回路中,通过回采偏压电源回路中工作电流的大小来改变偏压电源输出电压(偏压杯电压),偏压杯电压根据束流大小进行自适应调节,实现了工作束流实时快速跟随和精细调控。成功应用于−150 kV/33 mA高压电子束焊机,使高压电子束焊机的束流纹波达到±0.19%,束流稳定性优于±5 μA、束流可重现性达到±0.04%,满足了总体指标要求。
偏压电源是高压电子束焊机电源系统的重要部件之一,根据电子束焊机电源系统的技术要求,研制了一套输出直流电压−100 V~−2 kV可调,全电压范围内纹波小于等于0.1%,电压稳定性优于0.1%,输出电流大于3 mA的偏压电源,分别给出了该电源在电阻负载和高压电子枪负载下的实验结果。设计上采用吸收、保护等方法,解决了电子枪负载打火损坏偏压电源问题,成功将偏压电源串接在高压电源回路中,通过回采偏压电源回路中工作电流的大小来改变偏压电源输出电压(偏压杯电压),偏压杯电压根据束流大小进行自适应调节,实现了工作束流实时快速跟随和精细调控。成功应用于−150 kV/33 mA高压电子束焊机,使高压电子束焊机的束流纹波达到±0.19%,束流稳定性优于±5 μA、束流可重现性达到±0.04%,满足了总体指标要求。
2026, 38: 026001.
doi: 10.11884/HPLPB202638.250238
摘要:
为精确模拟高温球床堆内数万计燃料颗粒的气固两相耦合传热过程,并克服传统CFD-DEM方法因网格粗大导致的精度不足及全解析方法计算成本过高的问题,提出了一种适用于精细流体网格的半解析函数模型。该模型通过引入高斯核函数,对颗粒周围物理属性进行平滑与加权平均,从而实现在亚网格尺度下对颗粒所受流体作用力的精确计算。沃罗单元体分析表明,无量纲扩散时间的最优取值为0.6。超过此值会导致核函数影响域过度扩展,致使空间分布过度平滑而难以捕捉球床局部特征。在HTR-10球床堆的耦合传热仿真中,采用该模型计算得到的温度场分布与经验模型高度吻合。结果表明,本模型能够准确捕获颗粒间的相间作用力,为高温气冷堆热工流体仿真提供了一个兼具精度与效率的解决方案。
为精确模拟高温球床堆内数万计燃料颗粒的气固两相耦合传热过程,并克服传统CFD-DEM方法因网格粗大导致的精度不足及全解析方法计算成本过高的问题,提出了一种适用于精细流体网格的半解析函数模型。该模型通过引入高斯核函数,对颗粒周围物理属性进行平滑与加权平均,从而实现在亚网格尺度下对颗粒所受流体作用力的精确计算。沃罗单元体分析表明,无量纲扩散时间的最优取值为0.6。超过此值会导致核函数影响域过度扩展,致使空间分布过度平滑而难以捕捉球床局部特征。在HTR-10球床堆的耦合传热仿真中,采用该模型计算得到的温度场分布与经验模型高度吻合。结果表明,本模型能够准确捕获颗粒间的相间作用力,为高温气冷堆热工流体仿真提供了一个兼具精度与效率的解决方案。
2026, 38: 026002.
doi: 10.11884/HPLPB202638.250239
摘要:
便携式α关联DT中子发生器在核物理实验、国土安全、核保障核查等领域有广泛应用价值。为检验某国产紧凑型便携式α关联DT中子发生器的关联中子分布参数性能,建立了关联中子分布参数测量装置,包括小型液闪探测器、精密位移装置和数字化符合测量仪;测量了两支中子发生器的关联中子区域范围以及对应立体角系数等数据。两支中子发生器的关联中子分布区域有一定差异,其关联区域面积相差约15%。此研究可为紧凑型便携式中子发生器的设计验证和出厂测试提供技术支持,也可为用户工程应用提供数据参考。
便携式α关联DT中子发生器在核物理实验、国土安全、核保障核查等领域有广泛应用价值。为检验某国产紧凑型便携式α关联DT中子发生器的关联中子分布参数性能,建立了关联中子分布参数测量装置,包括小型液闪探测器、精密位移装置和数字化符合测量仪;测量了两支中子发生器的关联中子区域范围以及对应立体角系数等数据。两支中子发生器的关联中子分布区域有一定差异,其关联区域面积相差约15%。此研究可为紧凑型便携式中子发生器的设计验证和出厂测试提供技术支持,也可为用户工程应用提供数据参考。
2026, 38: 029001.
doi: 10.11884/HPLPB202638.250250
摘要:
复杂环境下,应用阵列测向系统进行DOA估计时,难以实现小样本、混叠色噪声且入射信号存在相干性情况下的DOA估计。面向窄带信号DOA估计需求,采用协方差矩阵收缩估计改善其小样本情况下的协方差估计效果,再应用协方差差分法对收缩后的协方差矩阵进行处理,以抑制色噪声和信号相干性,最后应用MUSIC算法进行DOA估计,提出一种小样本、混叠色噪声且入射信号存在相干性情况下的DOA估计方法。通过仿真实验验证了算法的有效性,为解决复杂环境下的DOA估计问题提供一种有效方案。
复杂环境下,应用阵列测向系统进行DOA估计时,难以实现小样本、混叠色噪声且入射信号存在相干性情况下的DOA估计。面向窄带信号DOA估计需求,采用协方差矩阵收缩估计改善其小样本情况下的协方差估计效果,再应用协方差差分法对收缩后的协方差矩阵进行处理,以抑制色噪声和信号相干性,最后应用MUSIC算法进行DOA估计,提出一种小样本、混叠色噪声且入射信号存在相干性情况下的DOA估计方法。通过仿真实验验证了算法的有效性,为解决复杂环境下的DOA估计问题提供一种有效方案。
2026, 38: 021004.
doi: 10.11884/HPLPB202638.250070
摘要:
提出了一种基于分数阶涡旋光束的纳米粒子三维操控方法。通过建立分数阶涡旋光束的矢量衍射模型,揭示了拓扑系数与光场相位奇异性之间的映射关系。数值模拟结果表明,分数阶涡旋光束的焦场可视为整数阶模式的相干叠加,且其权重分布呈现显著的非对称特性。此外,还建立了基于分数阶涡旋光束捕获纳米粒子的光力模型。研究表明,通过调节分数阶涡旋光束的拓扑系数,可以实现对球形纳米粒子的精确操控。粒子在横向平面上的捕获位置与拓扑系数之间呈线性依赖关系。与传统的整数阶光束相比,该方法通过连续调节拓扑系数,实现了横向捕获位置的精确连续调控。理论计算与Langevin动力学模拟的结果进一步验证了该技术在三维空间内能够实现纳米粒子的多自由度协同操控。
提出了一种基于分数阶涡旋光束的纳米粒子三维操控方法。通过建立分数阶涡旋光束的矢量衍射模型,揭示了拓扑系数与光场相位奇异性之间的映射关系。数值模拟结果表明,分数阶涡旋光束的焦场可视为整数阶模式的相干叠加,且其权重分布呈现显著的非对称特性。此外,还建立了基于分数阶涡旋光束捕获纳米粒子的光力模型。研究表明,通过调节分数阶涡旋光束的拓扑系数,可以实现对球形纳米粒子的精确操控。粒子在横向平面上的捕获位置与拓扑系数之间呈线性依赖关系。与传统的整数阶光束相比,该方法通过连续调节拓扑系数,实现了横向捕获位置的精确连续调控。理论计算与Langevin动力学模拟的结果进一步验证了该技术在三维空间内能够实现纳米粒子的多自由度协同操控。
2026, 38: 022001.
doi: 10.11884/HPLPB202638.250325
摘要:
双轴VISAR诊断技术能够同时诊断靶丸不同区域的冲击波速度历程,对内爆冲击波加载过程的含时不对称性进行原位表征,是惯性约束聚变实验研究中的重要诊断技术。神光十万焦耳装置综合内爆实验通常采用直径约为850 µm的靶丸,更小的靶丸尺寸为双轴VISAR诊断技术建立带来更高的挑战。面向十万焦耳激光装置所使用的小尺寸靶丸开展双轴诊断技术研究,建立了成像仿真模型,基于该模型对三类典型的影响因素进行细致分析并指导靶丸设计。结合模拟分析及优化设计结果,基于小靶丸腔靶结构建立了双轴VISAR诊断技术,并诊断获得赤道及极区的冲击波速度历程,完成不同驱动方式下的冲击波加载对称性对比。通过本文研究,基于模拟仿真及优化设计解决了双轴VISAR诊断技术难题,通过实验对冲击波加载对称性原位表征技术进行了验证,为后续腔型结构及驱动波形优化设计奠定了诊断基础。
双轴VISAR诊断技术能够同时诊断靶丸不同区域的冲击波速度历程,对内爆冲击波加载过程的含时不对称性进行原位表征,是惯性约束聚变实验研究中的重要诊断技术。神光十万焦耳装置综合内爆实验通常采用直径约为850 µm的靶丸,更小的靶丸尺寸为双轴VISAR诊断技术建立带来更高的挑战。面向十万焦耳激光装置所使用的小尺寸靶丸开展双轴诊断技术研究,建立了成像仿真模型,基于该模型对三类典型的影响因素进行细致分析并指导靶丸设计。结合模拟分析及优化设计结果,基于小靶丸腔靶结构建立了双轴VISAR诊断技术,并诊断获得赤道及极区的冲击波速度历程,完成不同驱动方式下的冲击波加载对称性对比。通过本文研究,基于模拟仿真及优化设计解决了双轴VISAR诊断技术难题,通过实验对冲击波加载对称性原位表征技术进行了验证,为后续腔型结构及驱动波形优化设计奠定了诊断基础。
2026, 38: 023006.
doi: 10.11884/HPLPB202638.250123
摘要:
旋磁非线性传输线因其独特的小型化结构、实时频率调谐能力及宽谱微波输出特性,在小型固态化高功率微波源方向展现出重要应用价值。通过理论推导获得GNLTL等效电路中的孤子解析表达式,并基于电路仿真构建旋磁非线性传输线的等效电路模型,系统研究关键电路参数对输出特性的影响机制。研究发现:非线性电感的饱和电流和初始电感对电路的非线性特性具有决定性影响。当饱和电流和初始电感取值较小时,输出脉冲出现前沿不完全陡化,且脉冲前沿加载有振荡波形;此时,若饱和电流和初始电感增大,输出脉冲的前沿陡化程度得到提升,即饱和电流和初始电感与电路的非线性正相关。此外,等效电路的非线性增强会导致输出频率的降低。饱和电流、饱和电感、初始电感及每级电容与输出微波频率负相关。该研究可以为旋磁非线性传输线的设计分析提供参考。
旋磁非线性传输线因其独特的小型化结构、实时频率调谐能力及宽谱微波输出特性,在小型固态化高功率微波源方向展现出重要应用价值。通过理论推导获得GNLTL等效电路中的孤子解析表达式,并基于电路仿真构建旋磁非线性传输线的等效电路模型,系统研究关键电路参数对输出特性的影响机制。研究发现:非线性电感的饱和电流和初始电感对电路的非线性特性具有决定性影响。当饱和电流和初始电感取值较小时,输出脉冲出现前沿不完全陡化,且脉冲前沿加载有振荡波形;此时,若饱和电流和初始电感增大,输出脉冲的前沿陡化程度得到提升,即饱和电流和初始电感与电路的非线性正相关。此外,等效电路的非线性增强会导致输出频率的降低。饱和电流、饱和电感、初始电感及每级电容与输出微波频率负相关。该研究可以为旋磁非线性传输线的设计分析提供参考。
2026, 38: 024004.
doi: 10.11884/HPLPB202638.250318
摘要:
C波段光阴极微波电子枪是南方先进光源自由电子激光加速器的关键设备。针对电子枪在高功率运行下,因腔体内表面微波电磁损耗引起温升,进而导致腔体结构受热形变和谐振频率漂移的问题,通过多物理场耦合分析方法探究其内在机理,基于COMSOL Multiphysics®仿真平台构建电磁-热-结构耦合模型,首先通过高频电磁场仿真,得到真空腔体5.712 GHz的设计谐振频率;继而通过计算腔壁的电磁损耗功率密度建立等效边界热源模型,结合电子枪外部机械结构及冷却管路模型,采用流-固耦合方法得到真空腔体表面不均匀的温度分布;最终通过固体力学接口计算腔体几何形变分布,并使用此形变分布作为二次高频仿真的初始条件得到频率漂移结果。实现了电磁场、温度场与结构场的多物理场耦合建模,完整揭示了微波功率加载导致腔体谐振频率漂移的传递路径。该方法有效克服了传统单物理场分析在耦合效应表征方面的不足,为高精度微波腔体热-力耦合设计提供了有效的数值分析框架。
C波段光阴极微波电子枪是南方先进光源自由电子激光加速器的关键设备。针对电子枪在高功率运行下,因腔体内表面微波电磁损耗引起温升,进而导致腔体结构受热形变和谐振频率漂移的问题,通过多物理场耦合分析方法探究其内在机理,基于COMSOL Multiphysics®仿真平台构建电磁-热-结构耦合模型,首先通过高频电磁场仿真,得到真空腔体5.712 GHz的设计谐振频率;继而通过计算腔壁的电磁损耗功率密度建立等效边界热源模型,结合电子枪外部机械结构及冷却管路模型,采用流-固耦合方法得到真空腔体表面不均匀的温度分布;最终通过固体力学接口计算腔体几何形变分布,并使用此形变分布作为二次高频仿真的初始条件得到频率漂移结果。实现了电磁场、温度场与结构场的多物理场耦合建模,完整揭示了微波功率加载导致腔体谐振频率漂移的传递路径。该方法有效克服了传统单物理场分析在耦合效应表征方面的不足,为高精度微波腔体热-力耦合设计提供了有效的数值分析框架。
2026, 38: 024005.
doi: 10.11884/HPLPB202638.250112
摘要:
通过理论建模与数值模拟相结合,系统探究了在低能超导质子直线加速器内,加速过程中聚焦参数动态演化对空间电荷主导型包络不稳定性的影响机制,揭示了低能段双周期聚焦结构与束晕产生的内在关联。基于Vlasov-Poisson方程二阶偶模展开,构建了理论模型,设计零流强周期相移(σ0)局部突破90°的多种演化方案,全面探究了不同聚焦方案下,局部突破90°对束流品质的影响,并用多粒子模拟软件对低能、归一化均方根发射度0.2~0.4 π·mm·mrad的质子束进行了多粒子模拟验证;针对双周期聚焦结构特征,设计了相应的聚焦结构与束流匹配方案,通过粒子-束核模型对比分析了准周期与双周期结构的束晕形成机制差异,定量分析了纵向包络对横向束晕的耦合作用。研究结果表明,当空间电荷效应较弱(对应于较高的调谐因子η,η=带电流周期相移σ/零流强周期相移σ0)时,σ0可突破90°而不导致束流品质恶化;反之,当空间电荷效应较强(低η值)时,σ0的突破会激发共振并导致束流发射度显著增长,且这一效应在双组合四极透镜聚焦结构中尤为显著。二维/三维模型均证实,即便每个聚焦单元的σ0<90°,双周期结构仍会引发束流包络的不稳定性。二维模型研究结果显示,相较于准周期结构,双周期结构更易产生束晕现象,其中2∶1共振仍是束晕形成的主要原因。采用三维模型进一步研究纵向因素的影响时发现,三维束团纵向尺寸的变化会显著改变束核电荷密度分布,这一现象成为束晕形成的新机制。此外,高阶共振也在很大程度上促进了束晕的形成。研究还揭示了小周期结构数(N)与共振概率呈负相关关系。
通过理论建模与数值模拟相结合,系统探究了在低能超导质子直线加速器内,加速过程中聚焦参数动态演化对空间电荷主导型包络不稳定性的影响机制,揭示了低能段双周期聚焦结构与束晕产生的内在关联。基于Vlasov-Poisson方程二阶偶模展开,构建了理论模型,设计零流强周期相移(σ0)局部突破90°的多种演化方案,全面探究了不同聚焦方案下,局部突破90°对束流品质的影响,并用多粒子模拟软件对低能、归一化均方根发射度0.2~0.4 π·mm·mrad的质子束进行了多粒子模拟验证;针对双周期聚焦结构特征,设计了相应的聚焦结构与束流匹配方案,通过粒子-束核模型对比分析了准周期与双周期结构的束晕形成机制差异,定量分析了纵向包络对横向束晕的耦合作用。研究结果表明,当空间电荷效应较弱(对应于较高的调谐因子η,η=带电流周期相移σ/零流强周期相移σ0)时,σ0可突破90°而不导致束流品质恶化;反之,当空间电荷效应较强(低η值)时,σ0的突破会激发共振并导致束流发射度显著增长,且这一效应在双组合四极透镜聚焦结构中尤为显著。二维/三维模型均证实,即便每个聚焦单元的σ0<90°,双周期结构仍会引发束流包络的不稳定性。二维模型研究结果显示,相较于准周期结构,双周期结构更易产生束晕现象,其中2∶1共振仍是束晕形成的主要原因。采用三维模型进一步研究纵向因素的影响时发现,三维束团纵向尺寸的变化会显著改变束核电荷密度分布,这一现象成为束晕形成的新机制。此外,高阶共振也在很大程度上促进了束晕的形成。研究还揭示了小周期结构数(N)与共振概率呈负相关关系。

Email alert
RSS
