2026 Vol. 38, No. 1
Recommend Articles
column
- Cover and Contents
- High Power Laser Physics and Technology
- Inertial Confinement Fusion Physics and Technology
- High Power Microwave Technology
- Particle Beams and Accelerator Technology
- Pulsed Power Technology
- Nuclear Science and Engineering
- Advanced Interdisciplinary Science
- Special Column of 5th Symposium on Frontier of HPLPB
Display Method:
2026,
38: 1-2.
2026,
38: 011001.
doi: 10.11884/HPLPB202638.250150
Abstract:
Background Purpose Methods Results Conclusions
High power GaN-based blue diode lasers have wide application prospects in industrial processing, copper material welding, 3D printing, underwater laser communication and other technical fields. The Chip On Submount (COS) unit packaged in the heat sink is a kind of single component that can be applied to the fabrication of high power GaN-based blue diode lasers. The device has the advantages of low thermal resistance and small size.
However, due to the low reliability of this device, the industrial application of this COS single component in high power GaN-based blue diode lasers is still limited to a certain extent, and its performance degradation factors need to be studied.
In this paper, based on optical microscopy, scanning electron microscopy (SEM) and energy dispersive spectroscopy (EDS), the degradation factors of high power blue light COS components were studied.
Experimental study and analysis show that the performance degradation factors of blue light diode laser chip are mainly related to defects in the GaN matrix material, residual deposition on the cavity surface and photochemical corrosion. Through comparative experiments, it is demonstrated that the reliability of high power blue COS single components can be improved by hermetic packaging, which provides a reference for the subsequent engineering application of high power blue COS units.
Finally, experimental research and analysis indicate that the performance degradation factors of high-power blue laser diodes (LDs) are primarily related to defects in the GaN substrate material, foreign matter deposition on the cavity surface, and photochemical corrosion factors. Comparative experiments further reveal that the threshold current growth rate of LDs with gas sealing (about 0.14 mA/h) is lower than that of non-gas-sealed LDs (about 0.27 mA/h). This demonstrates that gas-sealed packaging of high-power blue LD COS units devices can enhance their reliability.
2026,
38: 011002.
doi: 10.11884/HPLPB202638.250178
Abstract:
Background Purpose Methods Results Conclusions
Different applications require lasers of different wavelengths, and the Raman laser is one of the effective methods to expand spectral range of lasers. Raman lasers have advantages of high conversion efficiency, excellent beam quality, excellent scalability and wide range coverage etc. However, the cumbersome size of Raman cell (especially the long length of Raman cell) deteriorates the application of Raman laser. To reduce the length of Raman cell, a short-focus lens is required, and this would lead laser-induced breakdown (LIB).
To realize miniaturization of Raman laser devices while suppressing LIB, this work proposed a method to modulate the pump laser into a Bessel beam to achieve stimulated Raman frequency conversion using an axicon. The goal is to achieve high photon conversion efficiency (PCE) and beam quality in a compact system.
By comparing the intensity at focus and the depth of focus of an f = 0.5 m focal lens and an axicon, an axicon with a bottle angle of 2° could effectively reduce laser intensity at focus and increase the depth of focus. In this work, a pulsed 1064 nm laser was used as pump source, pressurized methane was used as Raman medium, and an axicon with a bottle angle of 2° was used to focus pump laser. Pressure of methane, pump laser divergence angles and diameter of pump beam were optimized to achieve the maximum conversion efficiency.
In 3.5 MPa methane and 366 mJ energy of 1064 nm pump laser, 128 mJ forward Raman laser at 1543 nm was generated; the corresponding photon conversion efficiency was 50.7%, and higher output energy and conversion efficiency were expected under higher pressure and at higher pump energy. By blocking the central rounded apex of the axicon, the Raman laser pulse energy of 97 mJ can still be retained with the beam quality β=2.19. An experiment verified that the Raman cell can be designed to be 0.4 m without damaging the window. Based on the results of multiple experiments, it can be inferred that the Raman cell can be further shortened to 0.3 m without sacrificing the conversion efficiency. By axially translating the axicon within an extended cell, the forward/backward Stokes light ratio became tunable.
This study demonstrates the viability of Bessel beams for compact, high-efficiency gaseous Raman lasers. The conical wavefront pumping strategy mitigates LIB risks and enables system miniaturization, offering a promising pathway for practical applications.
2026,
38: 011003.
doi: 10.11884/HPLPB202638.250252
Abstract:
Background Purpose Methods Results Conclusions
High-power femtosecond fiber lasers are essential tools for advanced applications in ultrafast science, precision manufacturing, and nonlinear optics. However, achieving hundred-watt-level output while maintaining high beam quality and short pulse duration remains challenging due to nonlinear effects and transverse mode instabilities.
This work aims to develop a high-power femtosecond fiber laser system based on chirped-pulse amplification (CPA), using rod-type photonic crystal fiber as the gain medium, to achieve hundred-watt-level output with high efficiency and stable beam quality.
The system adopts a rod-type photonic crystal fiber as the main amplifier. Backward pumping combined with double-pass amplification in a single rod fiber is implemented to enhance pump-to-signal conversion efficiency. Nonlinear effects are mitigated by employing a large mode area fiber, short gain length, and proper chirped-pulse management. A double-grating compressor is used for final pulse compression.
The amplifier achieves a pump-to-signal conversion efficiency exceeding 60%. The system delivers pulses with a central wavelength of 1033 nm, a repetition rate of 1 MHz, a single-pulse energy of 162 μJ, and a pulse duration of 233 fs. The output beam ellipticity is better than 95%. The overall pump-to-compressed-signal efficiency reaches 54%.
The demonstrated system achieves high repetition rate, high average power, and ultrashort pulse duration simultaneously, providing a novel and practical scheme for hundred-watt-level femtosecond fiber lasers. This approach offers new opportunities for applications requiring stable, high-brightness ultrafast sources.
2026,
38: 011004.
doi: 10.11884/HPLPB202638.250171
Abstract:
Background Purpose Methods Results Conclusions
The use of high-power lasers for wireless power transmission (WPT) in space-based solar power stations poses a potential risk to orbiting spacecraft. Misalignment or system failures could cause the laser beam to irradiate a spacecraft's solar array, potentially inducing discharge phenomena that threaten the spacecraft's safety. Existing research has primarily focused on the thermal damage effects of lasers on solar arrays, while studies on the characteristics of laser-induced discharge remain insufficient.
This study aims to systematically investigate the influence of two key laser parameters, namely energy and wavelength, on the discharge characteristics of spacecraft solar arrays. The goal is to reveal the underlying mechanisms of laser-induced discharge, thereby providing a theoretical and experimental basis for the safe application of high-power laser wireless energy transmission technology.
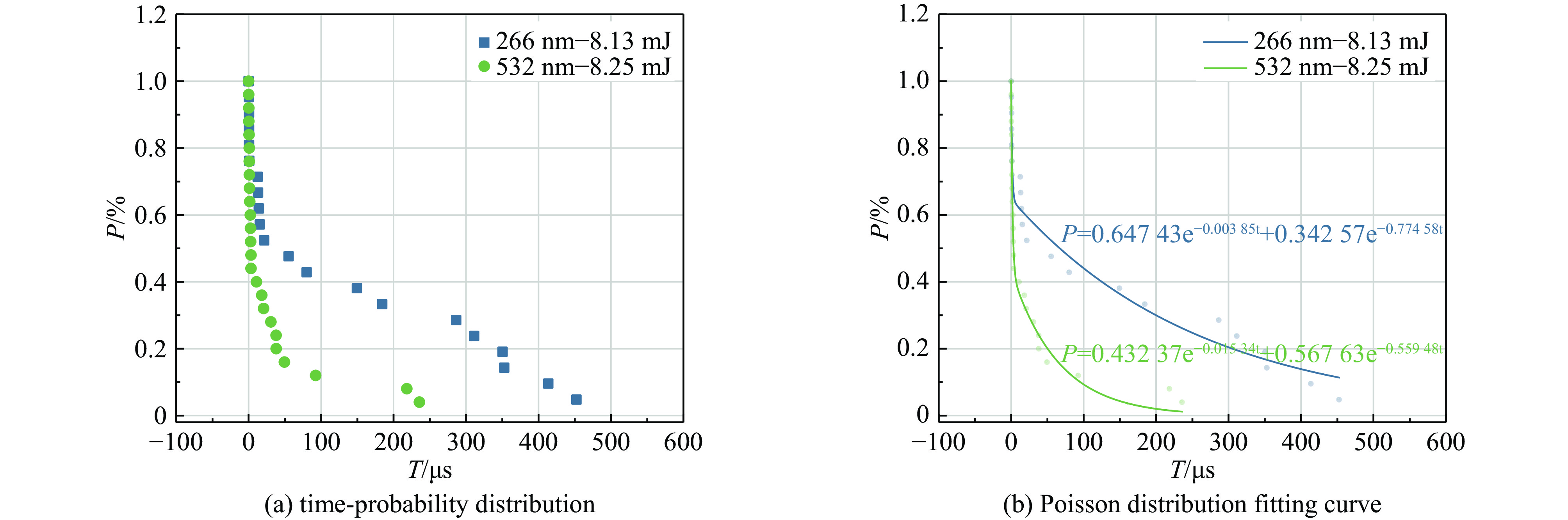
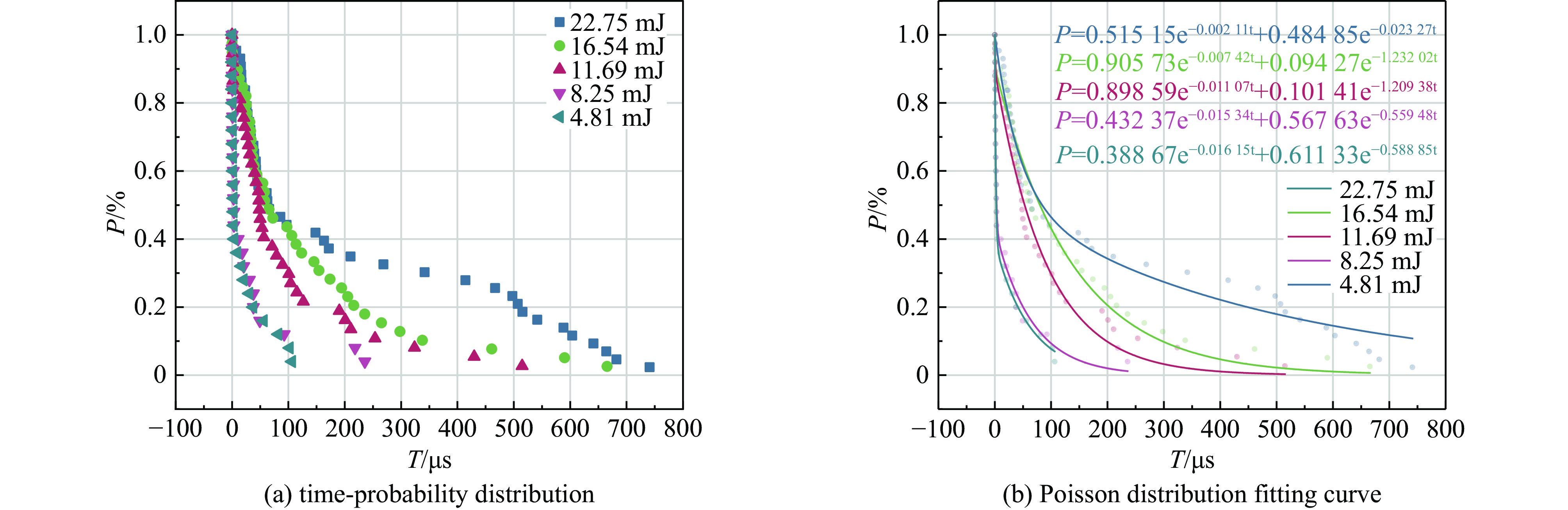
The mechanism of laser-induced solar array discharge was analyzed based on laser-induced plasma theory and discharge mechanisms within the low earth orbit (LEO) plasma environment. Guided by this theoretical framework, the experimental parameters for the laser-induced spacecraft solar array discharge test were determined. The experiment analyzed the probability of discharge induced by a 532 nm laser at different energy levels and acquired discharge duration data. Probability-time distribution curves were established, and the probability functions for discharge duration under different laser energies were obtained by fitting with a double Poisson distribution. Furthermore, a comparative study was conducted on the peak discharge current and the duration probability functions induced by 532 nm and 266 nm wavelength lasers at the same energy level.
The experimental results demonstrate that higher laser energy leads to a greater probability of induced discharge and longer discharge durations. Shorter laser wavelengths result in a lower discharge threshold and induce discharge events with higher peak currents. The discharge risk parameter increases significantly with shorter wavelength and higher energy.
Laser energy and wavelength are critical factors affecting the discharge risk of solar arrays. Short-wavelength, high-energy lasers pose a greater threat to solar array safety. The findings of this study provide important guidance for selecting laser parameters in WPT systems and for designing protective measures for solar arrays.
2026,
38: 012001.
doi: 10.11884/HPLPB202638.250148
Abstract:
Background Purpose Methods Results Conclusions
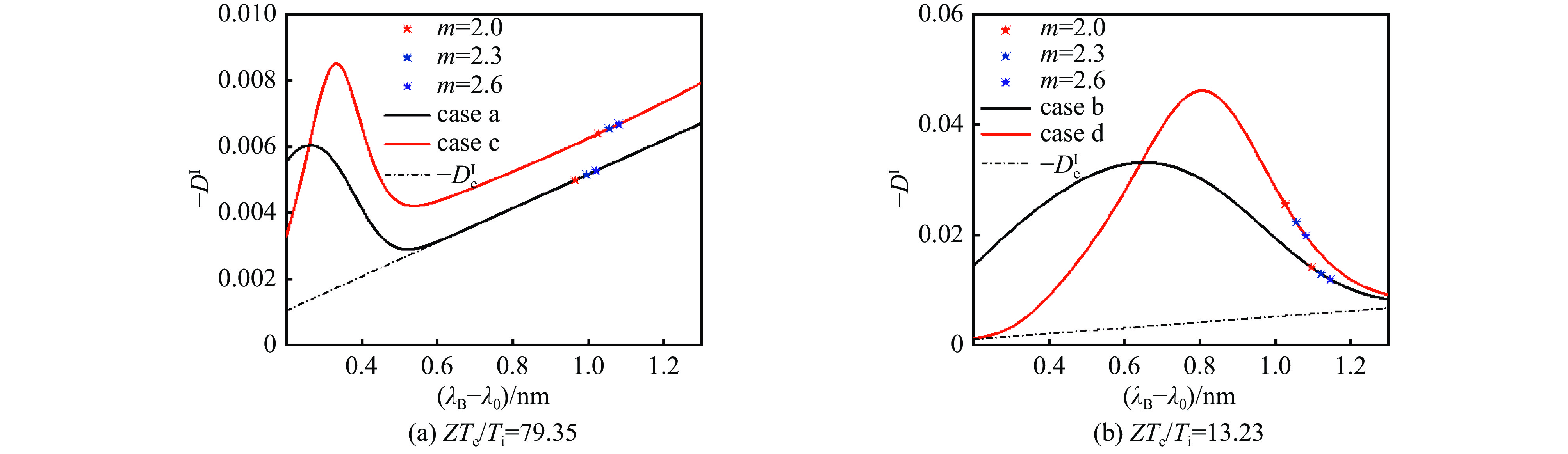
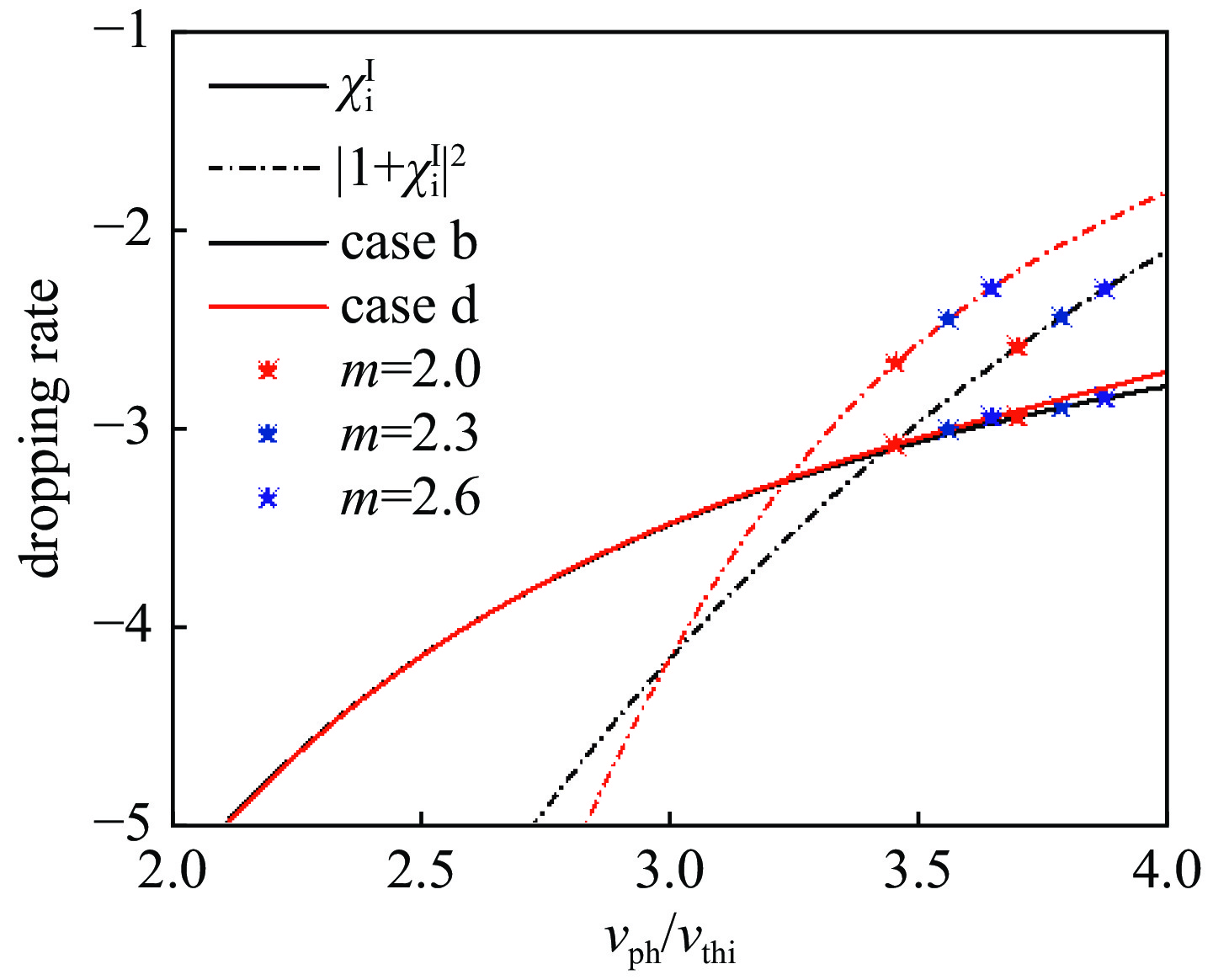
Backward stimulated Raman scattering (SRS) and backward stimulated Brillouin scattering (SBS) are two major laser-plasma instabilities that influence the laser-target energy coupling efficiency in inertial confinement fusion (ICF). Hot electrons excited by SRS can preheat the fuel. Their nonlinear competition determines the effectiveness of laser-plasma coupling and thus the performance of laser-driven fusion. In realistic laser fusion conditions, the electron distribution often deviates from a Maxwellian due to strong laser heating, leading to nonthermal effects such as the Langdon effect. Additionally, ion-ion collisions in multispecies plasmas such as CH can alter the damping and dispersion of ion acoustic waves.
This study aims to investigate the impact of the Langdon effect and ion-ion collisions on the competition between SRS and SBS in CH plasma, particularly focusing on their respective reflectivities under varying plasma conditions.
Five-wave coupling equations describing the nonlinear interactions among the pump laser, scattered light, Langmuir wave, and ion acoustic wave were numerically solved. A super-Gaussian electron distribution function was employed to incorporate the Langdon effect, while ion-ion collision effects were included through modifications to the ion susceptibility. The dispersion relations and damping characteristics of both electron plasma waves (EPWs) and ion acoustic waves (IAWs) were analyzed in detail.
The results reveal that the Langdon effect notably reduces Landau damping of EPWs and modifies the dispersion relation of SRS, enhancing its growth rate. Simultaneously, ion-ion collisions increase IAW damping and shift the SBS dispersion curve, weakening its instability. These combined effects lead to a dominance of SRS over SBS at lower electron densities, altering the overall backscattering reflectivity spectrum in laser fusion plasma.
Both the Langdon effect and ion-ion collisions play crucial roles in reshaping the nonlinear dynamics of SRS and SBS. Their influence must be considered in predictive models of laser-plasma interactions. These findings provide insight into optimizing plasma parameters for improved control of backscatter instabilities in inertial confinement fusion experiments.
2026,
38: 013001.
doi: 10.11884/HPLPB202638.250455
Abstract:
Background Purpose Methods Results Conclusions
Electron cyclotron resonance heating (ECRH) is essential for plasma heating in magnetic confinement fusion, relying on high-power gyrotrons. Advanced fusion projects such as ITER, CFETR, and BEST require large numbers of high-frequency, high-power, long-pulse gyrotrons. Although such devices have been developed internationally, a fusion-compatible long-pulse megawatt gyrotron had not been achieved in China.
This letter presents recent experimental results from a 175 GHz long-pulse gyrotron developed at China Academy of Engineering Physics, aiming to validate its design and demonstrate 100 s continuous operation at the hundred-kilowatt level.
The gyrotron uses a diamond window, operates in the TE28,11 mode, and employs a triode magnetron injection gun and a single-stage depressed collector with vertical sweeping. Power was measured calorimetrically using a water load, and thermal behavior of key components was monitored. Systematic conditioning and parameter tuning extended pulse length progressively.
The gyrotron achieved a stable output of 500 kW for 100 s with 46% total efficiency. Output frequency remained at 175.04 GHz with less than 40 MHz drift. The measured efficiency matches the design expectations, confirming stable device performance. This is China’s first hundred-kilowatt-level 100 s ECRH gyrotron operation.
Successful 500 kW/100 s operation validates the gyrotron design and supports its application in domestic fusion devices. Future efforts will upgrade the power supply for megawatt long-pulse operation and conduct joint tests with domestic fusion facilities.
2026,
38: 013002.
doi: 10.11884/HPLPB202638.250176
Abstract:
Background Purpose Methods Results Conclusions
Global Navigation Satellite System (GNSS) compatible receiver antennas—integrating multiple global navigation constellations—feature more complex front-door radio frequency (RF) channel architectures than single-constellation GPS antennas. High power microwave (HPM) effect research on GNSS compatible antennas with complex RF front-ends were rarely been reported.
To investigate the GNSS compatible antenna HPM effects, radiation experiments on a type of GNSS-compatible receiver antenna were carried out, and a customized characterization approach was designed to analyze the damaged antennas and identify the specific failed components within the complex RF front-end.
The RF front-end structure of the antenna was analyzed, revealing a design with two separate RF channels (around 1.25 GHz and 1.6 GHz), each with a dedicated first-stage low-noise amplifier (LNA), followed by shared second and third-stage LNAs. The performance of these components was characterized employing a customized “hot measurement” setup, which used a vector network analyzer incorporating a test antenna and a DC blocker.
The measurements pinpointed the failure to the first-stage LNA (Q6) of the RF channel corresponding to the HPM source frequency of 1.6 GHz. This specific component showed significant degradation or complete failure. In contrast, the first-stage LNA (Q4) of the other channel (~1.25 GHz) and the shared subsequent amplifier stages (Q2 and Q1) remained unaffected. The root cause was confirmed by replacing the damaged Q6 LNA, which successfully restored the antenna’s full functionality.
This work demonstrates that in a multi-channel RF front-end, HPM effects can be highly localized, selectively damaging the first-stage amplifier of the channel that covers the HPM frequency while sparing other sections. The findings provide valuable insights into the HPM vulnerability of complex RF systems and offer a reference methodology for related effect analysis.
2026,
38: 013003.
doi: 10.11884/HPLPB202638.250209
Abstract:
Background Purpose Methods Results Conclusions
Gyrotron traveling wave tube (Gyro-TWT) is a vacuum electronic device with broad application prospects. Magnetron injection gun (MIG) is one of the core components of gyro-TWT, and its performance directly determines the success or failure of gyro-TWT. From the current domestic and international research results on MIGs it can be seen that the working voltage and current of existing MIGs are mostly low, and the velocity spread is generally high, which cannot meet the requirements of future megawatt-class gyro-TWT for MIG.
In order to meet the requirement for MIG with high voltage, high current, and low electron beam velocity spread in the development of megawatt-class high-power gyro-TWT, this paper presents a novel design scheme for a single anode electron gun.
The novel electron gun scheme introduces a curved cathode structure to reduce the velocity spread of the electron beam, while effectively increasing the cathode emission area and reducing the cathode emission density.
The results of PIC simulation show that under the working conditions of 115 kV and 43 A, the designed electron gun has a transverse to longitudinal velocity ratio of 1.05, a velocity spread of 1.63%, and a guiding center radius of 3.41 mm. The thermal analysis results indicate that the MIG can heat the cathode to 1050 ℃ at a power of 76 W.
The simulation and thermal analysis results indicate that the designed MIG meets the design expectations and satisfies the requirements of high voltage, high current, and low electron beam velocity spread for megawatt level gyro-TWT.
2026,
38: 013004.
doi: 10.11884/HPLPB202638.250271
Abstract:
Background Purpose Methods Results Conclusions
In recent years, reflectarray antennas have received significant attention and research in the high-power microwave field due to their low profile, conformability, and spatial feed characteristics. Multi-frequency reflectarray antennas can share the same antenna plane while providing differentiated beam steering at different frequencies, resulting in greater system platform adaptability. However, these antennas commonly face the challenges of limited power handling capacity and low aperture efficiency.
This paper aims to propose a phase synthesis method for high-power, dual-band reflectarray antennas, which enhances their power handling capacity and aperture efficiency. This approach is universally applicable to the design of multi-frequency reflectarray antennas.
The proposed phase synthesis method incorporates reference phase optimization and screening threshold techniques. It takes into account the reflected phase and electric field intensity of the antenna elements under different incident wave conditions. This approach effectively increases power capacity and aperture efficiency.
We designed an improved reflectarray antenna element and applied the proposed phase synthesis method to a dual-band reflectarray antenna design. A 27×27 array operating at 4.3 GHz and 10.0 GHz achieved aperture efficiencies of 67.37% and 48.69%, respectively, with a power capacity of hundreds of megawatts in a vacuum environment.
The proposed phase synthesis method has been successfully validated, proving its effectiveness in designing high-performance, high-power, dual-frequency, and multi-frequency reflectarray antennas.
2026,
38: 013005.
doi: 10.11884/HPLPB202638.250256
Abstract:
Background Purpose Methods Results Conclusions
In the fields of high-power microwaves and pulse compression, compared with exponentially decaying microwave pulses, the flat-top output has core advantages such as reducing the maximum transient surface field of the structure and enhancing system stability. Therefore, it has significant technical significance and application value.
The purpose of this study is to develop a new method for power doubling that generates a flat-topped output and to observe its benefits through simulation experiments.
The research analyzes the energy storage process and the power gain and flat-top output width after input inversion based on the scattering matrix theory, and conducts simulation experiments using CST.
The simulation experiment results show that its power gain is more than 5.7 times, the flat top width is 80 ns, the waveform is gentle, and the power capacity can reach 160 MW.
Compared with the existing technology, this design has a simple structure, compact volume and convenient processing and maintenance, providing a new solution for the stable output of high-power microwave energy and the research of two-stage pulse compression systems.
2026,
38: 013006.
doi: 10.11884/HPLPB202638.250138
Abstract:
Background Purpose Methods Results Conclusions
High-power microwave (HPM) pulses, which can interfere with or damage electronic components and circuits, have attracted considerable research interest in recent years. Aperture coupling represents a primary mechanism for such pulses to penetrate shielded metallic enclosures, significantly affecting the electromagnetic compatibility and resilience of electronic systems. Although substantial studies have focused on shielding effectiveness and resonant behaviors, the spatial distribution of coupling parameters—particularly the extent of strongly coupled regions within the cavity—remains inadequately investigated. This paper proposes a quantitative metric termed “the coverage rate of the strong-coupled region” to better evaluate HPM backdoor coupling effects.
The objective is to systematically examine the influence of key HPM waveform parameters on this coverage rate within a representative metallic cavity.
A three-dimensional simulation model of a rectangular metallic cavity with an aperture was developed by the finite-difference time-domain (FDTD) method. The internal field distribution was monitored via an array of electric field probes. Numerical simulations were performed to assess the effects of various HPM parameters, including frequency, pulse width, pulse rise time, and polarization angle, on the coverage of strongly coupled regions.
The coverage rate was markedly higher at the cavity’s inherent resonant frequencies than at non-resonant frequencies. Increasing the pulse width led to a saturation of coverage beyond a specific threshold. Variations in polarization angle from horizontal to vertical considerably enhanced the coverage, with vertical polarization yielding the maximum value. Superimposing multiple resonant frequencies effectively compensated for weakly coupled areas, further increasing the overall coverage. In contrast, the pulse rise time had a negligible effect on the coverage rate. The proposed coverage rate of the strong-coupled region effectively addresses the practical dilemma wherein strong local coupling does not necessarily lead to significant system-level effects.
This metric provides a quantitative basis for optimizing the alignment between sensitive components and highly coupled zones. Frequency and polarization are identified as decisive parameters for enhancing coupling effectiveness, while pulse width and multi-frequency excitation can be utilized to achieve more uniform and robust coupling coverage. These findings offer valuable guidance for the design and assessment of HPM protection measures and electromagnetic compatibility analysis.
2026,
38: 014001.
doi: 10.11884/HPLPB202638.250038
Abstract:
Background Purpose Methods Results Conclusions
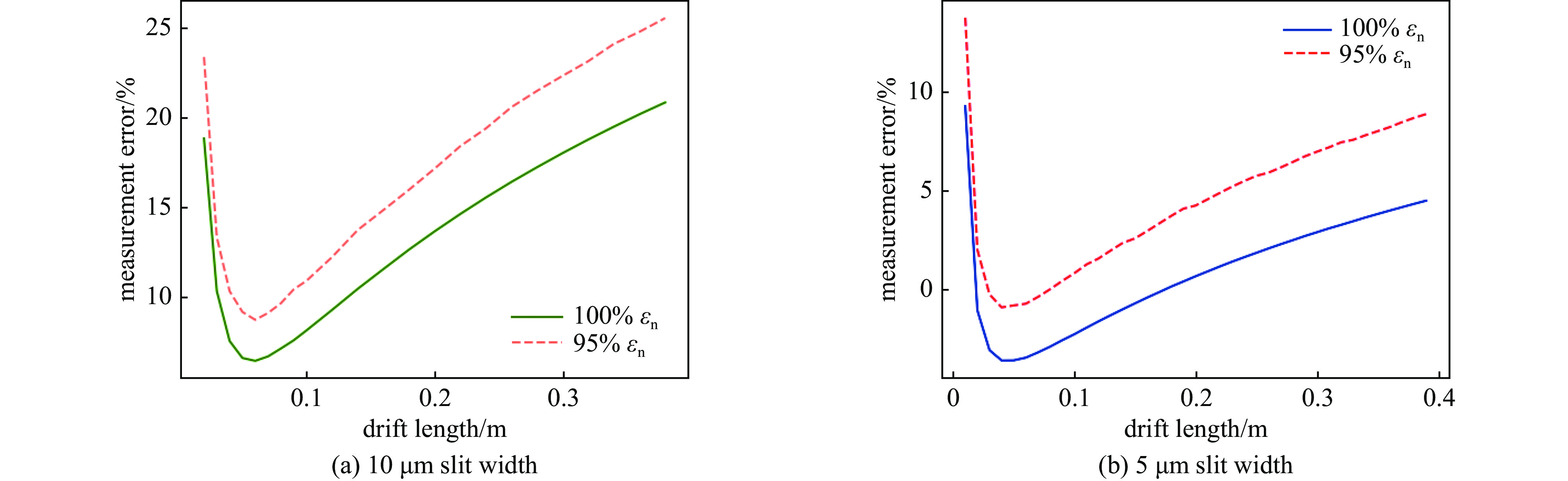
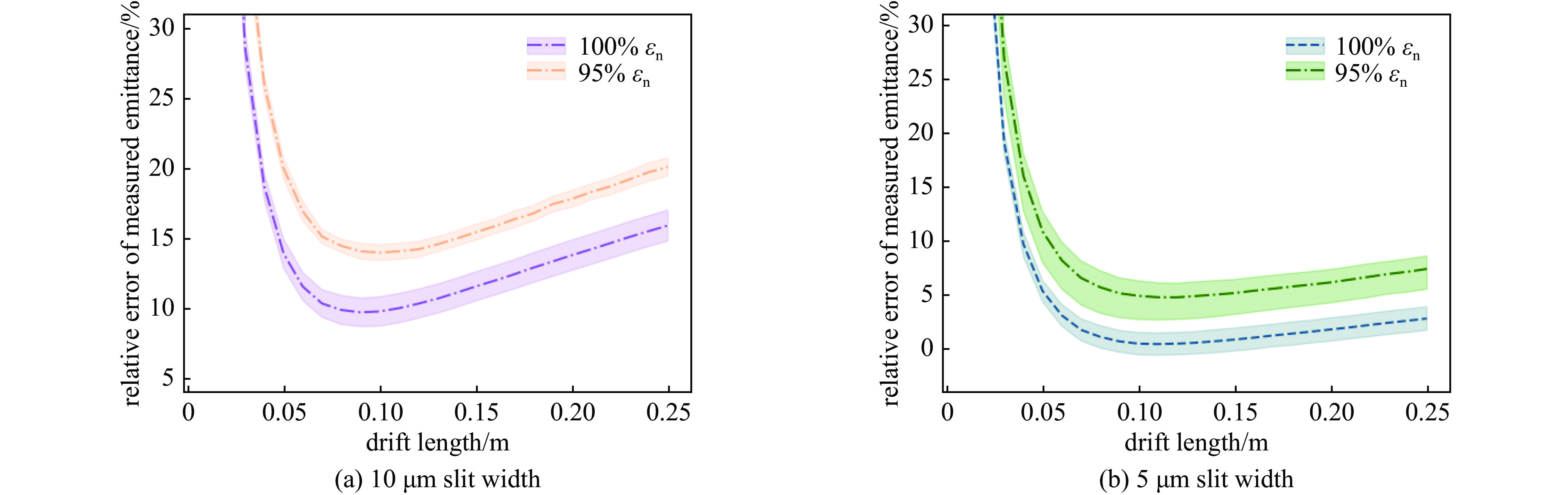
To enhance the performance of the next-generation X-ray free electron laser (XFEL), a photocathode RF gun capable of providing the required high-quality electron beam with a small emittance has been a significant research objective. In comparison to the conventional L-band or S-band RF gun, the C-band RF gun features a higher acceleration gradient above 150 MV/m and the ability to generate a small-emittance beam. Low-emittance electron beams are critical for enhancing XFEL coherence and brightness, driving demand for advanced RF gun designs. For a bunch charge of 100 pC, a normalized emittance of less than 0.2 mm·mrad has been expected at the gun exit.
This paper presents the design of an emittance measurement device, which can accurately measure such a small emittance at the C-band RF gun exit to ensure beam quality for XFEL applications.
To achieve the desired accuracy, the primary parameters —slit width, slit thickness, and beamlet-drift length—have been systematically optimized through numerical simulations using Astra and Python based on the single-slit-scan method. Dynamic errors, including motor displacement and imaging resolution, were quantified to ensure measurement reliability.
The evaluations indicate that the measurement error of 95% emittance is less than 5%, achieved by employing a slit width of 5 μm, a slit thickness of 1 mm, and a beamlet-drift length of 0.11 m under dynamic conditions.
This optimized emittance measurement device supports precise beam quality characterization for XFELs, offering potential for further advancements in electron beam diagnostics.
2026,
38: 014002.
doi: 10.11884/HPLPB202638.250137
Abstract:
Background Purpose Methods Results Conclusions
The rapid cycling synchrotron (RCS) requires the magnetic field to track the energy ramp, producing a strongly time-dependent magnetic environment. To control beam coupling impedance and suppress field leakage, an RCS typically uses ceramic vacuum chambers covered with an RF shielding layer. The shield consists of parallel metal strips aligned with the beam and terminated by capacitors at either end, which preserves a low beam impedance while suppressing eddy currents induced by the time-dependent magnetic field. Previous theoretical studies suggest that the impedance of such a structure has a negligible impact on the beam. However, impedance measurements of the China Spallation Neutron Source RCS ceramic chamber have revealed the presence of a transverse resonant impedance.
The purpose of this study is to investigate this observation, which has not been verified by independent methods.
The CST electromagnetic simulations are used to test its presence.
A high-fidelity simulation model has been developed and benchmarked against measurements, showing close agreement with the measured impedance.
The comparison confirms the validity of the impedance characterization. Simulations spanning six ceramic chamber geometries are then used to construct a comprehensive impedance model for the RCS, which provides a foundation for subsequent studies of beam dynamics and collective effects.
2026,
38: 014003.
doi: 10.11884/HPLPB202638.250262
Abstract:
Background Purpose Methods Results Conclusions
In laser-driven ion acceleration experiments, the time-of-flight (TOF) technique based on diamond detector serves as a key diagnostic approach for measuring the energy spectrum of accelerated ions. However, the transient electromagnetic pulse (EMP) generated during the interaction between intense laser pulse and solid target can strongly interfere with the data acquisition system, leading to significant baseline distortion in the oscilloscope signals. Such distortions may contaminate or even obscure the ion signals, posing serious challenges to accurate spectrum measurement.
This study aims to characterize the EMP induced baseline distortion in diamond detector TOF measurements and develop an adaptive correction algorithm to recover baseline to accurate ion energy spectra from contaminated single-shot data.
We developed a machine learning assisted time varying polynomial baseline correction method. The algorithm employs a segmented fitting strategy. Additionally, an adaptive moving window selection for dynamic optimization of reference point identification is introduced, with the window width adjustable from 20 ns to 10 ns.
The results show that intense EMP generated at the moment of laser-target interaction couple into the diagnostic system through the transmission cables, inducing baseline drops up to −5 V, which gradually recover to the normal level after approximately 200 ns. Polynomial orders are assigned region-specifically: first-order for instantaneous interference I and II region, third-order for continuous interference region, and sixth-order for stable recovery region. Model accuracy is validated through root mean square error (RMSE). After correction, previously obscured TOF peaks for protons and carbon ions (C1+ to C6+) became clearly identifiable, enhancing the detection of low-energy ions.
This study presents an adaptive baseline correction method, which effectively reduces the EMP interference on the baseline in laser-driven ion acceleration diagnostics. The proposed model reasonably characterizes the temporal evolution of the baseline and provides a feasible approach for future online interference correction of single-shot ion TOF spectra.
2026,
38: 015001.
doi: 10.11884/HPLPB202638.250204
Abstract:
Background Purpose Methods Results Conclusions
The PFN-Marx pulse driver with millisecond charging holds significant potential for achieving lightweight and miniaturized systems. To ensure its long-life, stable, and reliable operation, the development of a triggered gas gap switch represents a key technological challenge.
This study aims to address issues related to the large dispersion in operating voltage and the rapid erosion of the trigger electrode under millisecond charging conditions.
Based on the operating mechanism of the corona-stabilized switch, a corona-based gas-triggered switch was developed. Investigations were conducted on its structural design, electrostatic field simulation, trigger source development, operational voltage range, time delay, and jitter characteristics. These efforts resolved the problem of frequent self-breakdown or trigger failure under millisecond charging.
Experimental results demonstrate that, using SF6 as the working gas at a pressure of 0.6 MPa, the maximum operating voltage of the triggered switch reaches 90 kV. Under conditions of 84 kV operating voltage, 20 Hz repetition frequency, 500 pulses per burst, and without gas replacement, the switch was tested continuously for 100,000 pulses. Only one self-breakdown incident occurred during this period, resulting in a self-breakdown rate of less than 0.01‰.
The triggered switch developed in this study meets the design requirements and effectively resolves the instability issues under millisecond charging conditions, thereby providing a foundation for future engineering applications.
2026,
38: 015002.
doi: 10.11884/HPLPB202638.250113
Abstract:
Background Purpose Methods Results Conclusions
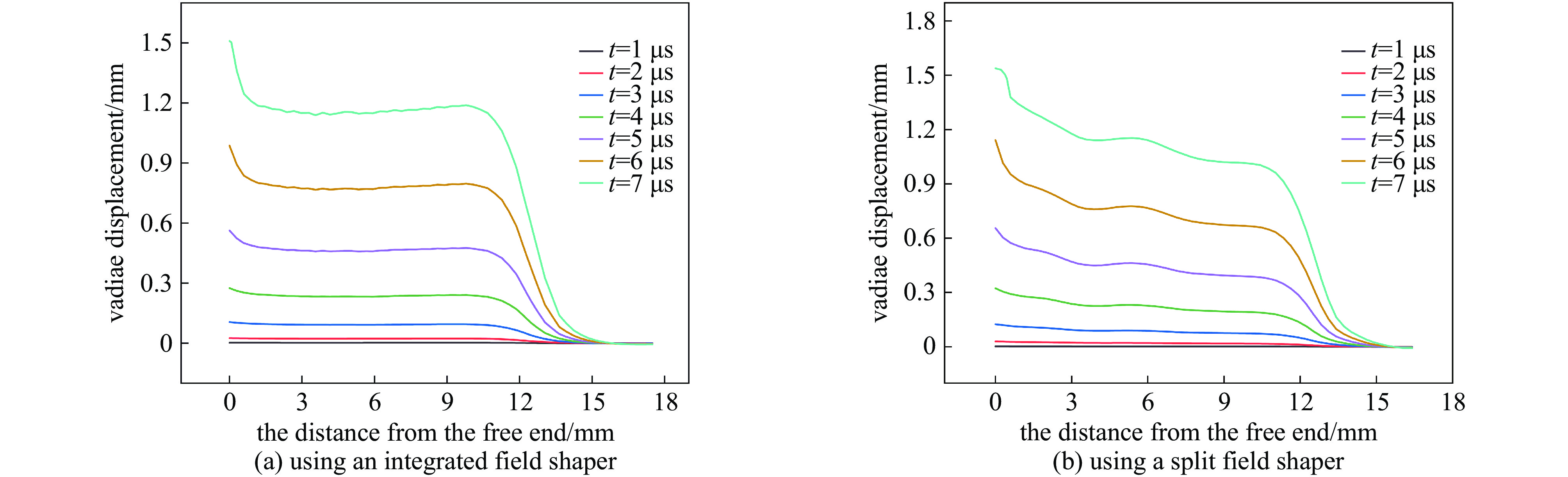
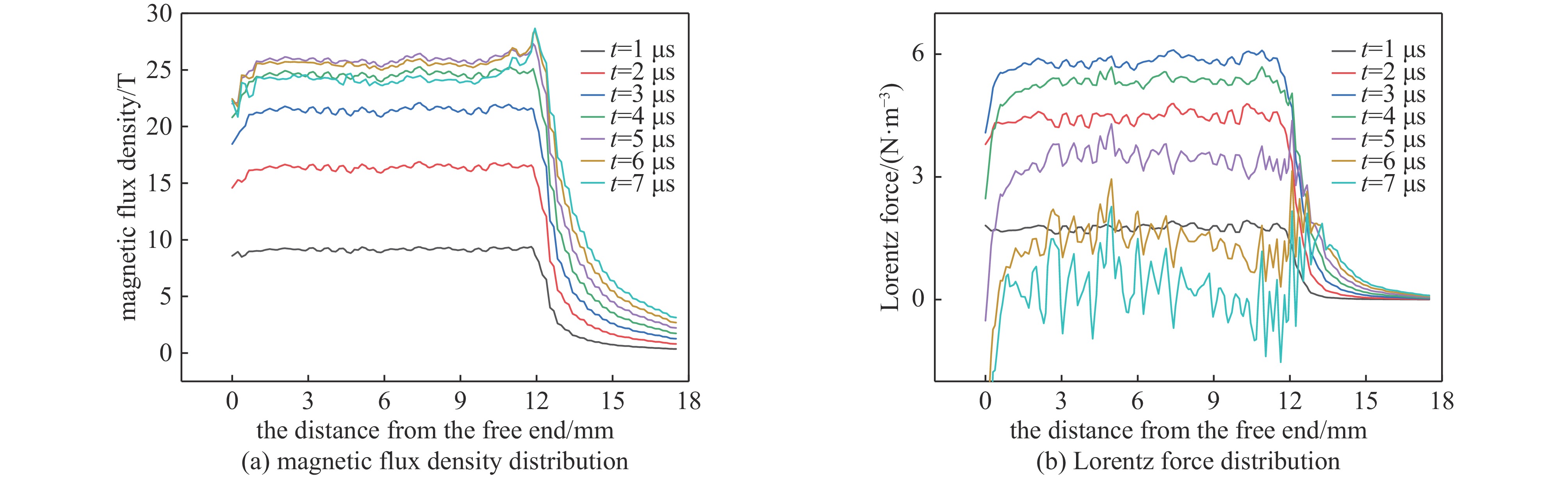
Electromagnetic pulse welding (EMPW) is an emerging solid-state welding technology. Its application in connecting power conductors and terminals can effectively enhance joint reliability. However, EMPW joints exhibit unbonded intermediate zones, and their tensile performance requires improvement, which severely restricts the application of EMPW technology in power conductor connections.
To address this, this paper proposes a split field shaper structure to further improve the bonding performance of electromagnetic pulse welded joints.
To validate the effectiveness of the proposed split field shaper structure, this paper combines equivalent circuit analysis, finite element simulation models, and mechanical property testing of experimental specimens to demonstrate the efficacy of the proposed method.
Theoretical analysis of both the split and traditional field shaper provides the basis for the split field shaper structure design. Finite element simulation models reveal the influence patterns of the field shaper structure on the electromagnetic and motion parameters of the joint deformation zone. Mechanical property tests validated the split field shaper’s enhancement of joint bonding performance. Experimental results demonstrate that, compared to the integrated field shaper, joints prepared using the segmented field shaper exhibit a 22.73% increase in tensile performance and a 2.68 mm extension in the total weld length.
The proposed split field shaper successfully enhances joint mechanical properties relative to conventional field shapers while maintaining overall dimensional consistency.
2026,
38: 015003.
doi: 10.11884/HPLPB202638.250248
Abstract:
Background Purpose Methods Results Conclusions
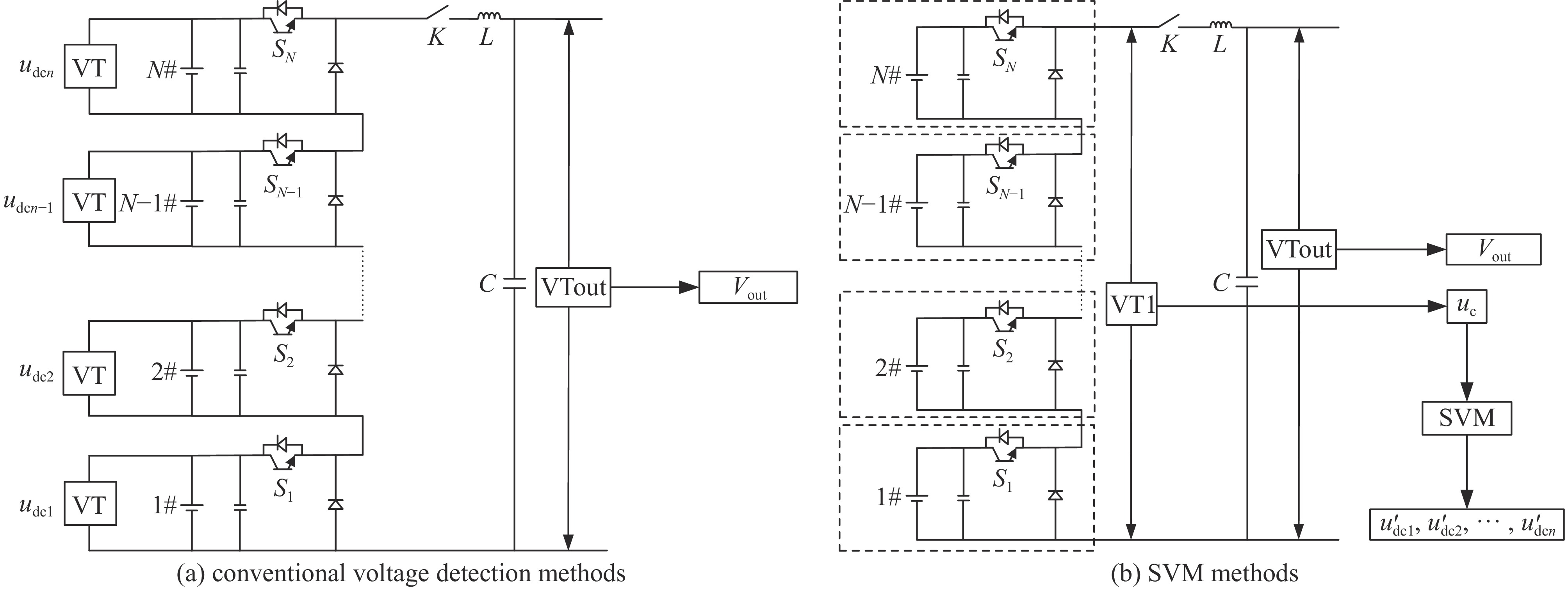
Pulse step modulation (PSM) high-voltage power supply is widely used in the heating systems of the Experimental Advanced Superconducting Tokamak (EAST). This power supply adopts a modular topology, where the high output voltage is generated by superimposing the outputs of multiple independent DC power modules. In conventional designs, input over-voltage and under-voltage protection for each power module is achieved by installing individual voltage sensors across the input capacitors.
However, this method requires a large number of voltage sensors, which significantly increases system monitoring costs and complicates the hardware detection circuitry. To address these limitations, this study aims to develop a sensorless voltage measurement (SVM) method capable of estimating the input voltage of each power module using only a single voltage sensor on the output side.
This paper first introduces the circuit topology of the PSM high-voltage power supply and provides a detailed analysis of its control strategy. Building on this foundation, a novel sensorless voltage detection technique is proposed to estimate the input voltage of each power module. The method utilizes only one voltage sensor installed at the output side of the PSM high-voltage power supply to collect voltage signals, from which the input voltages of individual modules are derived through algorithmic processing.
To validate the proposed method, a model was constructed and tested based on the RT-LAB real-time simulation platform. Experimental results demonstrate that the SVM technique can effectively estimate input voltages, thereby confirming the feasibility of the proposed method.
The study concludes that the SVM method not only reduces the number of required sensors and associated costs but also simplifies the system architecture while maintaining reliable module-level voltage monitoring. The findings provide valuable insights for the design of modular power supplies in large-scale experimental setups and suggest potential applications in other multi-module power electronic systems.
2026,
38: 016001.
doi: 10.11884/HPLPB202638.250174
Abstract:
Background Purpose Methods Results Conclusions
Accurate identification of radionuclides is the key to improving the level of radioactivity monitoring.
To further enhance the performance of radionuclide identification, a method combining Convolutional Neural Network (CNN) and Recurrent Neural Network (RNN) for radionuclide identification was studied.
Gamma-ray spectra data of eight single and mixed radioactive nuclides were collected using a sodium iodide spectrometer, and a large number of gamma-ray spectral training data were generated by calculating the probability density of gamma photons at different energy levels and using random sampling methods, followed by normalization of the data. The CNN was then used to extract feature vectors from the input spectral data, and these extracted feature vectors were fed into the RNN for training, with the final radionuclide classification results being output by the activation function.
To verify the accuracy of the CNN-RNN method in identifying radionuclides, a comparative analysis was conducted with the radionuclide identification method based on CNN and Long Short-Term Memory Neural Network (LSTM). The results showed that the LSTM spectral model achieved a recognition accuracy rate of over 97.5% for single nuclides and over 92.31% for mixed nuclides on the test set, while the CNN and CNN-RNN spectral models achieved a recognition accuracy rate of 100% for single nuclides and recognition rates of over 92.95% and 97.44% for mixed nuclides, respectively.
The findings indicating that the CNN-RNN method performs better in gamma-ray spectral identification of radioactive nuclides. Compared with neural network models trained only on real-measured data, incorporating augmented data can improve the training efficiency and generalization ability of the models.
2026,
38: 019001.
doi: 10.11884/HPLPB202638.250019
Abstract:
Background Purpose Methods Results Conclusions
Fiber laser coherent beam combining technology enables high-power laser output through precise phase control of multiple laser channels. However, factors such as phase control accuracy, optical intensity stability, communication link reliability, and environmental interference can degrade system performance.
This study aims to address the challenge of anomaly detection in phase control for large-scale fiber laser coherent combining by proposing a novel deep learning-based detection method.
First, ten-channel fiber laser coherent combining data were collected, system control processes and beam combining principles were analyzed, and potential anomalies were categorized to generate a simulated dataset. Subsequently, an EMA-Transformer network model incorporating a lightweight Efficient Multi-head Attention (EMA) mechanism was designed. Comparative experiments were conducted to evaluate the model's performance. Finally, an eight-beam fiber laser coherent combining experimental setup was established, and the algorithm was deployed using TensorRT for real-time testing.
The proposed algorithm demonstrated significant improvements, achieving approximately 50% higher accuracy on the validation set and a 2.20% enhancement on the test set compared to ResNet50. In practical testing, the algorithm achieved an inference time of 2.153 ms, meeting real-time requirements for phase control anomaly detection.
The EMA-Transformer model effectively addresses anomaly detection in fiber laser coherent combining systems, offering superior accuracy and real-time performance. This method provides a promising solution for enhancing the stability and reliability of high-power laser systems.
2026,
38: 019002.
doi: 10.11884/HPLPB202638.250187
Abstract:
Background Purpose Methods Results Conclusions
Airborne synthetic aperture radar (SAR) is vulnerable to continuous wave (CW) interference in complex electromagnetic environments, leading to significant degradation in imaging quality. Its susceptibility to front-door coupling electromagnetic effects is a critical concern.
This study aims to systematically investigate the impact patterns and physical mechanisms of single-frequency CW interference on airborne SAR imaging through equivalent injection experiments. It further seeks to establish a robust evaluation method for interference effects.
Equivalent injection testing was employed to simulate CW interference susceptibility. The interference effect was evaluated using a composite SAR image quality factor integrating the Pearson correlation coefficient (PCC), Structural Similarity Index (SSIM), and Peak Signal-to-Noise Ratio (PSNR). Detailed analysis of the radio frequency (RF) front-end response and Analog-to-Digital Converter (ADC) behavior under interference was conducted.
Significant interference effects were observed when the interfering frequency fell within the receiver's hardware passband (8.5−9.5 GHz) and the jammer-to-signal ratio (JSR) reached 15 dB. While the RF front-end exhibited no significant nonlinearity, the interference induced a nonlinear response specifically within the internal Metal-Oxide-Semiconductor Field-Effect Transistor (MOSFET) of the ADC sampling chip. This nonlinearity generated additional DC components and harmonics, identified as the fundamental physical cause of characteristic interference stripes and overall SAR image quality degradation.
The generation of DC offsets and harmonic distortion within the ADC’s MOSFET circuitry is the root physical mechanism behind SAR image degradation under CW interference within the specified band and JSR threshold. This research provides a solid theoretical foundation for designing electromagnetic interference (EMI) countermeasures in airborne SAR systems, thereby enhancing their robustness and imaging capability in challenging complex electromagnetic environments.
2026,
38: 013007.
doi: 10.11884/HPLPB202638.250185
Abstract:
Background Purpose Methods Results Conclusions
Gyrotron traveling-wave tubes (gyro-TWTs), based on the electron cyclotron maser mechanism, are extensively utilized in critical military domains such as high-resolution millimeter-wave imaging radar, communications, and electronic countermeasures. Experimental observations indicate that when the cathode magnetic field exceeds a specific range, the electron beam bombardment of the tube wall occurs.
This study aims to reduce damage risks to the electron gun during experiments, provide guidance for identifying optimal operating points in experimental testing of Ka-band second-harmonic large-orbit gyrotron traveling wave tube (gyro-TWT).
This paper introduces the formation theory of large-orbit electron guns and analyzes the motion of electron beams in non-ideal CUSP magnetic fields. Using CST Particle Studio and E-Gun software modeled and simulated the electron gun. The effects of magnetic fields, operating voltage, and beam current on the quality and trajectories of large-orbit electron beams were investigated.
As the absolute value of the cathode magnetic field increases, both the velocity ratio and the Larmor radius increase, while the velocity spread decreases. With an increase in voltage, the velocity ratio decreases, and the Larmor radius drops to a minimum at a certain point before rising again. Variations in current have limited impact on the Larmor radius and the transverse-to-longitudinal velocity ratio; however, the electron-wave interaction efficiency reaches its maximum at the optimal operating current.
The study demonstrates that excessively low operating voltage leads to high transverse-to-longitudinal velocity ratios and electron back-bombardment phenomena, which detrimentally affect the cathode. Therefore, within this voltage range (20–40 kV), the power supply voltage should be increased promptly. Conversely, excessively high reverse magnetic fields at the cathode result in an oversized electron cyclotron radius, causing beam-wall bombardment and gun damage. To prevent electron beam bombardment of the tube wall, the cathode magnetic field should not exceed 0.0085 T.
2026,
38: 014004.
doi: 10.11884/HPLPB202638.250136
Abstract:
Background Purpose Methods Results
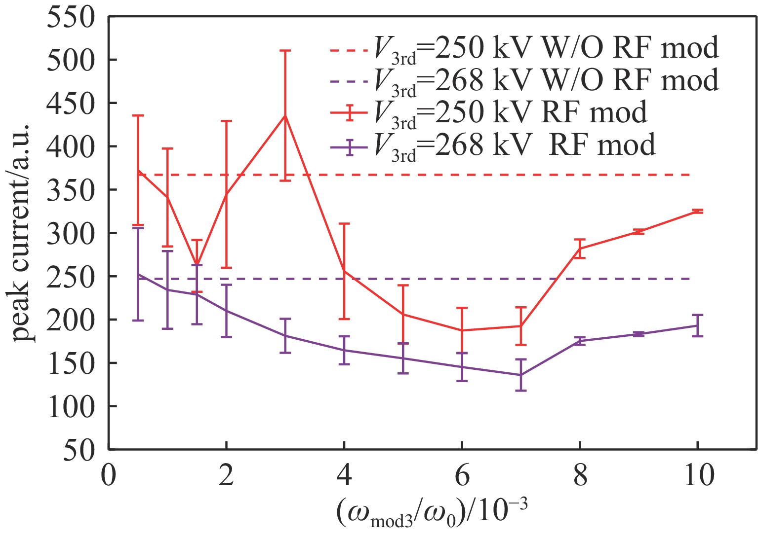
High harmonic cavities are widely used in electron storage rings to lengthen the bunch, lower the bunch peak current, thereby reducing the IBS effect, enhancing the Touschek lifetime, as well as providing Landau damping, which is particularly important for storage rings operating with ultra-low emittance or at low beam energy.
To further increase the bunch length without additional hardware costs, the phase modulation in a dual-RF system is considered.
In this paper, turn-by-turn simulations incorporating random synchrotron radiation excitation are conducted, and a brief analysis is presented to explain the bunch lengthening mechanism.
Simulation results reveal that the peak current can be further reduced, thereby mitigating IBS effects and enhancing the Touschek lifetime. Although the energy spread increases, which tends to reduce the brightness of higher-harmonic radiation from the undulator, the brightness of the fundamental harmonic can, in fact, be improved.
2026,
38: 014005.
doi: 10.11884/HPLPB202638.250194
Abstract:
The Low Energy High Intensity High Charge State Heavy Ion Accelerator Facility (LEAF) is a national scientific instrument developed by the Institute of Modern Physics, Chinese Academy of Sciences, to provide high-current, high-charge-state, full-spectrum low-energy heavy ion beams for interdisciplinary studies. To meet research needs in nuclear astrophysics, atomic and molecular physics, and nuclear materials, LEAF offers tunable energies from 0.3 to 0.7 MeV/u and supports continuous-wave acceleration for ions with with a mass-to-charge ratio ranging from 2−7. This paper presents an overview of the construction progress, key design parameters, and operational performance of the facility, summarizing recent achievements and outlining future development goals. The paper introduces the system architecture—comprising the 45 GHz superconducting ECR ion source FECR, RFQ, IH-DTL, and terminal beamlines—and describes beam commissioning and diagnostic approaches. LEAF has successfully achieved stable acceleration of multi-species, high-charge-state heavy ion beams with intensities up to 1 emA. It has delivered more than13000 h of beam time, realized efficient operation of “cocktail”multi-ion beams, and established a high-current, low-energy-spread 12C2+ beamline for precise reaction measurements in the Gamow window. These results verify LEAF’s excellent beam quality and operational reliability. Planned upgrades—including an extended energy tuning range and triple-ion beam capability—will further enhance its role as a frontier platform for experimental studies in nuclear astrophysics and radiation effects in advanced materials.
The Low Energy High Intensity High Charge State Heavy Ion Accelerator Facility (LEAF) is a national scientific instrument developed by the Institute of Modern Physics, Chinese Academy of Sciences, to provide high-current, high-charge-state, full-spectrum low-energy heavy ion beams for interdisciplinary studies. To meet research needs in nuclear astrophysics, atomic and molecular physics, and nuclear materials, LEAF offers tunable energies from 0.3 to 0.7 MeV/u and supports continuous-wave acceleration for ions with with a mass-to-charge ratio ranging from 2−7. This paper presents an overview of the construction progress, key design parameters, and operational performance of the facility, summarizing recent achievements and outlining future development goals. The paper introduces the system architecture—comprising the 45 GHz superconducting ECR ion source FECR, RFQ, IH-DTL, and terminal beamlines—and describes beam commissioning and diagnostic approaches. LEAF has successfully achieved stable acceleration of multi-species, high-charge-state heavy ion beams with intensities up to 1 emA. It has delivered more than
2026,
38: 016002.
doi: 10.11884/HPLPB202638.250166
Abstract:
Background Purpose Methods Results Conclusions
System-generated electromagnetic pulse (SGEMP) arises from electromagnetic fields produced by photoelectrons emitted from spacecraft surfaces under intense X-ray or γ -ray irradiation. Cavity SGEMP, a critical subset of SGEMP, involves complex interactions within enclosed structures. While scaling laws have been established for external SGEMP, their applicability to cavity SGEMP remains debated due to photon spectrum distortion caused by variations in cavity wall thickness and other factors.
This study aims to validate the applicability of SGEMP scaling laws to cavity SGEMP by proposing a canonical transformation method that maintains constant wall thickness. The goal is to provide a theoretical basis for analyzing cavity SGEMP mechanisms and designing laboratory-scale experiments.
A cylindrical cavity model with an aluminum wall was irradiated by a laser-produced plasma X-ray source. Numerical simulations were performed using a 3D particle-in-cell (PIC) code under two conditions: an original model and a 10×scaled-up model. Key parameters, including grid size and time steps, were scaled according to the derived laws. The wall thickness was kept constant to avoid photon spectrum distortion. Simulations compared electric fields, magnetic fields, charge densities, and current distributions between the two models.
The original and scaled-up models exhibited identical spatial distributions of electromagnetic fields and charge densities. Specific validation results include: Peak electric fields decreased from 2.0 MV/m (original) to 200 kV/m (scaled-up); peak magnetic fields reduced from 0.8×10−3 T (original) to 0.8×10−4 T (scaled-up); and charge densities maxima dropped from 6.0×10−3 /m3 to 6.0×10−5 /m3. Waveform shapes for currents and fields remained unchanged across models. These results all adhere to the scaling laws.
The scaling laws for SGEMP are validated for cavity SGEMP when wall thickness remains unchanged. This work provides a universal theoretical tool for cavity SGEMP studies and reliable scaling criteria for laboratory experiments.
2026,
38: 016003.
doi: 10.11884/HPLPB202638.250049
Abstract:
Background Purpose Methods Results Conclusions
The motion and trapping of high-energy charged particles in the radiation belts are significantly influenced by the structure of Earth’s magnetic field. Utilizing different geomagnetic models in simulations can lead to varying understandings of particle loss mechanisms in artificial radiation belts.
This study aims to simulate and compare the trajectories and loss processes of 10 MeV electrons injected at different longitudes and L-values under the centered dipole, eccentric dipole, and International Geomagnetic Reference Field (IGRF) models, to elucidate the influence of geomagnetic field models on particle trapping and loss, particularly within the South Atlantic Anomaly (SAA) region.
The particle loss processes during injection were simulated using the MAGNETOCOSMIC program within the Geant4 Monte Carlo software. Simulations were conducted for 10 MeV electrons at various longitudes and L-values. The trajectories, loss cone angles, and trapping conditions were analyzed and compared among the three geomagnetic models.
The centered dipole model yielded relatively regular and symmetric electron drift trajectories. Asymmetry was observed in the eccentric dipole model. The IGRF model produced the most complex and irregular trajectories, best reflecting the actual variability of Earth's magnetic field. Regarding the relationship between loss cone angle and L-value, the IGRF model exhibited the largest loss cone angles, indicating the most stringent conditions for particle trapping. Furthermore, injection longitude significantly influenced loss processes, with electrons approaching the center of the SAA being most susceptible to drift loss.
The choice of geomagnetic model critically impacts the simulation of particle dynamics in artificial radiation belts. The IGRF model, offering the most detailed field representation, predicts the strictest trapping conditions and most realistic loss patterns, especially within the SAA. These findings enhance the understanding of particle trapping mechanisms and are significant for space environment research and applications.

Email alert
RSS
