2018年 30卷 第9期
推荐文章
2018, 30: 091001.
doi: 10.11884/HPLPB201830.170515
摘要:
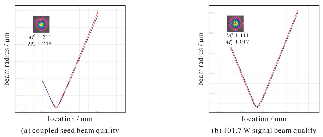
使用光子晶体光纤棒作为增益介质,设计了皮秒脉冲放大器的实验光路。通过实验研究分析了光子晶体光纤棒皮秒脉冲放大器的输出功率、斜率效率与光光转换效率、光束质量、重复频率、脉宽、光谱。获得了最大平均功率为101.7 W,重复频率为30 MHz,脉宽为6.4 ps,横向和纵向光束质量分别为1.111,1.017的近衍射极限输出,放大器的斜率效率达到了65%,光光转换效率达到了58.9%。
使用光子晶体光纤棒作为增益介质,设计了皮秒脉冲放大器的实验光路。通过实验研究分析了光子晶体光纤棒皮秒脉冲放大器的输出功率、斜率效率与光光转换效率、光束质量、重复频率、脉宽、光谱。获得了最大平均功率为101.7 W,重复频率为30 MHz,脉宽为6.4 ps,横向和纵向光束质量分别为1.111,1.017的近衍射极限输出,放大器的斜率效率达到了65%,光光转换效率达到了58.9%。
2018, 30: 091002.
doi: 10.11884/HPLPB201830.170481
摘要:
介绍了一种大功率、宽输出电压范围的半导体激光器脉冲驱动电源的设计方法。根据半导体激光器脉冲驱动电源高电压、大电流的工作特性需求,脉冲放电环节采用多模块级联与功率开关管线性控制脉冲放电相结合的拓扑结构,这样既实现了脉冲电流平滑稳定,又提高了输出电压等级与功率。充电环节采取LCC谐振变换器结构,其抗负载短路和开路的能力非常适用于脉冲放电场合。该脉冲电源输出参数为:电压0~1000 V,电流1~160 A,脉宽200~250 μs,频率100 Hz内可调,具备较宽泛灵活的输出范围,可适应不同规模的激光二极管阵列。最后,分别通过单模块、两模块与三模块小功率级联型驱动实验验证了采用多模块级联与功率开关管线性控制脉冲放电相结合方法的可行性。
介绍了一种大功率、宽输出电压范围的半导体激光器脉冲驱动电源的设计方法。根据半导体激光器脉冲驱动电源高电压、大电流的工作特性需求,脉冲放电环节采用多模块级联与功率开关管线性控制脉冲放电相结合的拓扑结构,这样既实现了脉冲电流平滑稳定,又提高了输出电压等级与功率。充电环节采取LCC谐振变换器结构,其抗负载短路和开路的能力非常适用于脉冲放电场合。该脉冲电源输出参数为:电压0~1000 V,电流1~160 A,脉宽200~250 μs,频率100 Hz内可调,具备较宽泛灵活的输出范围,可适应不同规模的激光二极管阵列。最后,分别通过单模块、两模块与三模块小功率级联型驱动实验验证了采用多模块级联与功率开关管线性控制脉冲放电相结合方法的可行性。
2018, 30: 092001.
doi: 10.11884/HPLPB201830.180067
摘要:
探究了节瘤缺陷平坦化技术中平坦化层(刻蚀层)厚度和种子源尺寸之间的刻蚀规律,同时解释了平坦化技术提高节瘤缺陷的损伤阈值的机制。在双离子束溅射系统中,使用SiO2微球模拟真实的种子源置于基板上,镀制1064 nm HfO2/SiO2高反膜,制备人工节瘤缺陷。对类似于实际种子源的SiO2微球一系列不同刻蚀程度的实验得出了节瘤缺陷平坦化技术的刻蚀规律:只要平坦化层(刻蚀层)的厚度稍大于节瘤缺陷的种子源粒径,就可以将种子源完全平坦化。使用时域有限差分法(FDTD)模拟不同平坦化程度的节瘤缺陷内电场增强的结果与节瘤缺陷的损伤形貌进行对比实验,将损伤形貌和损伤阈值与电场强度分布之间建立联系,表明平坦化技术可以改变节瘤缺陷原有的几何结构,有效抑制节瘤缺陷的电场增强效应。最后,通过对未经平坦化和经过平坦化处理后的节瘤缺陷进行损伤阈值测试,对比结果直接验证了节瘤缺陷平坦化技术可以实现对节瘤缺陷的调控,大幅度提高了节瘤缺陷的损伤阈值。
探究了节瘤缺陷平坦化技术中平坦化层(刻蚀层)厚度和种子源尺寸之间的刻蚀规律,同时解释了平坦化技术提高节瘤缺陷的损伤阈值的机制。在双离子束溅射系统中,使用SiO2微球模拟真实的种子源置于基板上,镀制1064 nm HfO2/SiO2高反膜,制备人工节瘤缺陷。对类似于实际种子源的SiO2微球一系列不同刻蚀程度的实验得出了节瘤缺陷平坦化技术的刻蚀规律:只要平坦化层(刻蚀层)的厚度稍大于节瘤缺陷的种子源粒径,就可以将种子源完全平坦化。使用时域有限差分法(FDTD)模拟不同平坦化程度的节瘤缺陷内电场增强的结果与节瘤缺陷的损伤形貌进行对比实验,将损伤形貌和损伤阈值与电场强度分布之间建立联系,表明平坦化技术可以改变节瘤缺陷原有的几何结构,有效抑制节瘤缺陷的电场增强效应。最后,通过对未经平坦化和经过平坦化处理后的节瘤缺陷进行损伤阈值测试,对比结果直接验证了节瘤缺陷平坦化技术可以实现对节瘤缺陷的调控,大幅度提高了节瘤缺陷的损伤阈值。
2018, 30: 092002.
doi: 10.11884/HPLPB201830.180099
摘要:
真空激光加速机制具有加速场梯度大、加速电子电量高的优点,目前制约真空加速机制研究发展的主要问题是如何产生具有一定初速度的电子并将其注入加速场。提出了一种利用强激光与锥型靶相互作用产生高能电子并实现真空加速的新方法,利用二维PIC(Particle-in-cell)粒子模拟程序对这一方法进行了研究。模拟结果显示,对于光强为1021 W/cm2量级的高斯激光脉冲,产生了能量为GeV量级、发散角约为1°的强流快电子束。此外还通过理论解析和参数模拟研究了靶半径对这种超热电子加速机制的影响。
真空激光加速机制具有加速场梯度大、加速电子电量高的优点,目前制约真空加速机制研究发展的主要问题是如何产生具有一定初速度的电子并将其注入加速场。提出了一种利用强激光与锥型靶相互作用产生高能电子并实现真空加速的新方法,利用二维PIC(Particle-in-cell)粒子模拟程序对这一方法进行了研究。模拟结果显示,对于光强为1021 W/cm2量级的高斯激光脉冲,产生了能量为GeV量级、发散角约为1°的强流快电子束。此外还通过理论解析和参数模拟研究了靶半径对这种超热电子加速机制的影响。
2018, 30: 093001.
doi: 10.11884/HPLPB201830.170501
摘要:
介绍了Rotman透镜的工作原理,给出了透镜的设计方程。为适应天线在高功率水平下工作的需求,使用平板型设计,以提升功率容量,采用宽度渐变的方式改善了Rotman透镜的传输线分布方式。设计了一款工作在9.4 GHz、拥有9个输入端口和9个输出端口的高功率容量Rotman透镜天线。仿真结果表明,天线的扫描角度可以达到±22°,各方向增益大于16.5 dBi,效率约为60%,功率容量可达到0.9 GW。
介绍了Rotman透镜的工作原理,给出了透镜的设计方程。为适应天线在高功率水平下工作的需求,使用平板型设计,以提升功率容量,采用宽度渐变的方式改善了Rotman透镜的传输线分布方式。设计了一款工作在9.4 GHz、拥有9个输入端口和9个输出端口的高功率容量Rotman透镜天线。仿真结果表明,天线的扫描角度可以达到±22°,各方向增益大于16.5 dBi,效率约为60%,功率容量可达到0.9 GW。
2018, 30: 093002.
doi: 10.11884/HPLPB201830.180018
摘要:
在某高功率微波系统中,通过控制多路移相器的位置,来达到对微波波束的精确控制。在伺服控制系统的设计中,为了解决强电磁场对伺服系统的干扰与破坏,在设计时从控制系统方案设计、系统组成、移相器单元设计、位置传感器设计、位置环路设计、电路板设计、机箱设计、传输线缆等方面进行严格的针对性设计与处理。设计过程中,对关键器件与部件进行现场试验进行方案验证与选择。最终,在高功率微波系统对目标进行连续辐射的实测中,工作稳定可靠,控制系统对多路移相器的定位精度达到0.1 mm,达到了预期的效果。
在某高功率微波系统中,通过控制多路移相器的位置,来达到对微波波束的精确控制。在伺服控制系统的设计中,为了解决强电磁场对伺服系统的干扰与破坏,在设计时从控制系统方案设计、系统组成、移相器单元设计、位置传感器设计、位置环路设计、电路板设计、机箱设计、传输线缆等方面进行严格的针对性设计与处理。设计过程中,对关键器件与部件进行现场试验进行方案验证与选择。最终,在高功率微波系统对目标进行连续辐射的实测中,工作稳定可靠,控制系统对多路移相器的定位精度达到0.1 mm,达到了预期的效果。
2018, 30: 093003.
doi: 10.11884/HPLPB201830.180043
摘要:
现用于4G基站的介质腔体滤波器都采用TE01δ模介质谐振腔,虽然其品质因数Q值很高,但体积较大。为了小型化介质腔体滤波器,创新性地使用了TM010模介质谐振腔,虽然其Q值比较低,但同样能满足高带外抑制的要求。对TM010模介质谐振腔的端口耦合和两腔之间的磁耦合、电耦合进行分析研究,创新性地使用了介质窗的形式产生电耦合,避免了使用飞杆,易于加工,降低制造成本。最后设计了一个8腔TM010模准椭圆函数介质腔体带通滤波器,在通带(TD-LTE频带,2570~2620 MHz)两端分别设计两个传输零点以提高带外抑制。调试结果表明,TM010模介质腔体滤波器不仅能满足低插损、高带外抑制的要求,而且其体积大幅度缩小。
现用于4G基站的介质腔体滤波器都采用TE01δ模介质谐振腔,虽然其品质因数Q值很高,但体积较大。为了小型化介质腔体滤波器,创新性地使用了TM010模介质谐振腔,虽然其Q值比较低,但同样能满足高带外抑制的要求。对TM010模介质谐振腔的端口耦合和两腔之间的磁耦合、电耦合进行分析研究,创新性地使用了介质窗的形式产生电耦合,避免了使用飞杆,易于加工,降低制造成本。最后设计了一个8腔TM010模准椭圆函数介质腔体带通滤波器,在通带(TD-LTE频带,2570~2620 MHz)两端分别设计两个传输零点以提高带外抑制。调试结果表明,TM010模介质腔体滤波器不仅能满足低插损、高带外抑制的要求,而且其体积大幅度缩小。
2018, 30: 093101.
doi: 10.11884/HPLPB201830.180104
摘要:
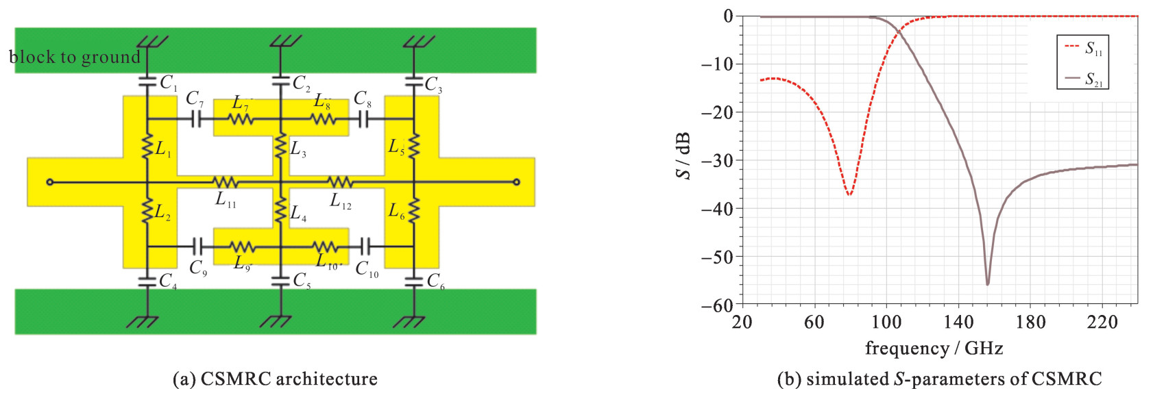
设计了基于容性肖特基二极管的220 GHz非平衡三倍频器。首先对容性肖特基二极管进行测试和关键参数提取,建立了肖特基二极管的等效电路模型,以此为基础进行三倍频电路设计;在倍频电路设计中通过引入紧凑悬置微带谐振单元(CSMRC)滤波结构来减小信号传输损耗;由于三倍频电路设计中难以实现全波阻抗匹配,因此采用了整体电路结构谐波平衡调匹配方法设计倍频电路,最后对制备出的倍频器进行测试和分析;实验测试结果表明:倍频器在213.1~221.6 GHz范围内输出功率大于10 mW,倍频效率大于5%,最高输出功率为18.7 mW@218.6 GHz,最高倍频效率为8.24%@217.9 GHz。
设计了基于容性肖特基二极管的220 GHz非平衡三倍频器。首先对容性肖特基二极管进行测试和关键参数提取,建立了肖特基二极管的等效电路模型,以此为基础进行三倍频电路设计;在倍频电路设计中通过引入紧凑悬置微带谐振单元(CSMRC)滤波结构来减小信号传输损耗;由于三倍频电路设计中难以实现全波阻抗匹配,因此采用了整体电路结构谐波平衡调匹配方法设计倍频电路,最后对制备出的倍频器进行测试和分析;实验测试结果表明:倍频器在213.1~221.6 GHz范围内输出功率大于10 mW,倍频效率大于5%,最高输出功率为18.7 mW@218.6 GHz,最高倍频效率为8.24%@217.9 GHz。
2018, 30: 093102.
doi: 10.11884/HPLPB201830.180003
摘要:
提出采用分段变参数型折叠波导慢波结构提高器件增益的新方法。结合小信号理论分析和束-波互作用的三维PIC数值模拟,进行分段变参数型慢波结构的理论设计研究。通过0.345 THz两段式折叠波导慢波结构的设计实现和模拟验证,结果证明, 相同的电子注工作条件下,两段式慢波结构的电子转化效率和饱和功率相对于传统均匀型慢波结构提高了94%,并可以推广应用到多段式。
提出采用分段变参数型折叠波导慢波结构提高器件增益的新方法。结合小信号理论分析和束-波互作用的三维PIC数值模拟,进行分段变参数型慢波结构的理论设计研究。通过0.345 THz两段式折叠波导慢波结构的设计实现和模拟验证,结果证明, 相同的电子注工作条件下,两段式慢波结构的电子转化效率和饱和功率相对于传统均匀型慢波结构提高了94%,并可以推广应用到多段式。
2018, 30: 093201.
doi: 10.11884/HPLPB201830.180078
摘要:
由于互联系统信号传输的基础是双线,以低频线缆耦合通道中比较典型的平行双线为研究对象,针对互联系统单端为非线性受试设备的电磁辐射敏感度进行实验研究。讨论了典型互联系统辐射与注入的等效以及在高场强下的外推条件,对所选非线性器件是否满足实验要求进行了实验验证。分析了大电流注入法等效替代强场连续波电磁辐射的实验结果,并对辐照时天线极化方式不同以及有无大电流注入探头对辐射与注入等效研究的影响进行了分析。
由于互联系统信号传输的基础是双线,以低频线缆耦合通道中比较典型的平行双线为研究对象,针对互联系统单端为非线性受试设备的电磁辐射敏感度进行实验研究。讨论了典型互联系统辐射与注入的等效以及在高场强下的外推条件,对所选非线性器件是否满足实验要求进行了实验验证。分析了大电流注入法等效替代强场连续波电磁辐射的实验结果,并对辐照时天线极化方式不同以及有无大电流注入探头对辐射与注入等效研究的影响进行了分析。
2018, 30: 093202.
doi: 10.11884/HPLPB201830.170534
摘要:
跳频技术是目前通信领域应用非常广泛的一种通信方式。当跳速足够高、跳频带宽足够宽时,常规的干扰方法往往难以奏效。提出利用脉冲干扰信号对跳频信号的同步部分进行干扰的方法,并在MATLAB中建立典型跳频通信系统的信号级干扰仿真系统,采用脉冲信号进行干扰仿真研究。结果表明,脉冲干扰信号是一种对抗跳频通信的可行方式,针对跳频通信系统的同步部分进行干扰可以有效降低对脉冲信号源的综合指标要求。
跳频技术是目前通信领域应用非常广泛的一种通信方式。当跳速足够高、跳频带宽足够宽时,常规的干扰方法往往难以奏效。提出利用脉冲干扰信号对跳频信号的同步部分进行干扰的方法,并在MATLAB中建立典型跳频通信系统的信号级干扰仿真系统,采用脉冲信号进行干扰仿真研究。结果表明,脉冲干扰信号是一种对抗跳频通信的可行方式,针对跳频通信系统的同步部分进行干扰可以有效降低对脉冲信号源的综合指标要求。
2018, 30: 094001.
doi: 10.11884/HPLPB201830.180054
摘要:
针对基于闪烁屏-CCD(电荷耦合元件)相机的氘离子束横向强度分布测量系统,利用ANSYS软件模拟计算了在直流及脉冲模式下,能量100 keV、束斑直径3 mm氘离子轰击造成的Al2O3, SiO2以及锗酸铋(BGO)三种候选闪烁体材料的表面温度变化。结果表明,在30 μA的直流氘离子束轰击下,闪烁体表面温度随辐照时间急剧地升高。持续时间10 min的氘离子束轰击将使三种材料前表面的温度分别升高131,234和649 ℃。对于峰值流强30 μA、重复频率1 Hz、脉宽5 μs的重复频率脉冲氘离子束,每个脉冲引起的三种闪烁屏表面的温度升高均小于0.05 ℃,且长时间的离子辐照基本不会造成闪烁屏的表面温度有明显的升高。对于脉宽5 μs的单脉冲氘离子束,三种材料的表面温度均随离子流强近似呈线性地增加。在单脉冲模式下,Al2O3,SiO2以及BGO闪烁屏能允许的最高离子流强分别为2.32,1.08和0.72 A,超过此流强其表面温度将达到熔点。
针对基于闪烁屏-CCD(电荷耦合元件)相机的氘离子束横向强度分布测量系统,利用ANSYS软件模拟计算了在直流及脉冲模式下,能量100 keV、束斑直径3 mm氘离子轰击造成的Al2O3, SiO2以及锗酸铋(BGO)三种候选闪烁体材料的表面温度变化。结果表明,在30 μA的直流氘离子束轰击下,闪烁体表面温度随辐照时间急剧地升高。持续时间10 min的氘离子束轰击将使三种材料前表面的温度分别升高131,234和649 ℃。对于峰值流强30 μA、重复频率1 Hz、脉宽5 μs的重复频率脉冲氘离子束,每个脉冲引起的三种闪烁屏表面的温度升高均小于0.05 ℃,且长时间的离子辐照基本不会造成闪烁屏的表面温度有明显的升高。对于脉宽5 μs的单脉冲氘离子束,三种材料的表面温度均随离子流强近似呈线性地增加。在单脉冲模式下,Al2O3,SiO2以及BGO闪烁屏能允许的最高离子流强分别为2.32,1.08和0.72 A,超过此流强其表面温度将达到熔点。
2018, 30: 095001.
doi: 10.11884/HPLPB201830.170325
摘要:
基于一台两相四极空心补偿脉冲发电机,研究了多相脉冲电机放电波形调节的最优化问题。对补偿脉冲发电机的三种典型负载:电磁轨道炮、脉冲激光器和电热化学炮的基本特性进行了阐述,针对这三种负载分别提出了相应的优化指标,分析了量化脉冲波形对负载的适用程度,并将波形优化问题转化为函数优化问题。在建立了脉冲电机放电数学模型的基础上,使用差分进化算法对优化问题进行求解,找到最优点火角组合。对电磁轨道炮,优化指标为弹丸加速度比。将加速度比的概念进行拓展,可得到适用于脉冲激光器的尖顶脉冲。对电热化学炮,提出了“形状方差”的概念,消除了电流幅值的影响,能够较好地衡量脉冲形状的适用性。仿真结果表明,提出的脉冲波形优化指标是有效的,在智能优化算法的帮助下,能够通过控制量的组合得到不同类型负载的最优波形。
基于一台两相四极空心补偿脉冲发电机,研究了多相脉冲电机放电波形调节的最优化问题。对补偿脉冲发电机的三种典型负载:电磁轨道炮、脉冲激光器和电热化学炮的基本特性进行了阐述,针对这三种负载分别提出了相应的优化指标,分析了量化脉冲波形对负载的适用程度,并将波形优化问题转化为函数优化问题。在建立了脉冲电机放电数学模型的基础上,使用差分进化算法对优化问题进行求解,找到最优点火角组合。对电磁轨道炮,优化指标为弹丸加速度比。将加速度比的概念进行拓展,可得到适用于脉冲激光器的尖顶脉冲。对电热化学炮,提出了“形状方差”的概念,消除了电流幅值的影响,能够较好地衡量脉冲形状的适用性。仿真结果表明,提出的脉冲波形优化指标是有效的,在智能优化算法的帮助下,能够通过控制量的组合得到不同类型负载的最优波形。
2018, 30: 095002.
doi: 10.11884/HPLPB201830.180103
摘要:
雪崩三极管因其快速性、高重复频率等特点被广泛应用于纳秒脉冲发生器。为了提高输出电压,常采用多管串联Marx电路。采用二极管代替传统多管串联Marx电路中的部分限流电阻以减少能量损耗,加快充电速度,提高重复频率,并分析了主电容和限流电阻对输出脉冲幅值和频率的影响。通过雪崩三极管的单管击穿实验,单个三极管的导通内阻最小约为2.5 Ω,多管串联Marx电路中的等效内阻使负载侧的输出电压降低,故采用多路Marx并联电路以提高输出电压幅值。通过改变Marx并联模块数量,研究了电路等效内阻对输出脉冲的影响;通过改变负载电阻值,验证了Marx并联电路在小负载下升压效果更佳。实验结果表明,通过相同的4路Marx并联电路进行放电实验,在50 Ω负载侧输出上升沿为3.4 ns、幅值为2.5 kV、可在15 kHz下稳定工作的脉冲。
雪崩三极管因其快速性、高重复频率等特点被广泛应用于纳秒脉冲发生器。为了提高输出电压,常采用多管串联Marx电路。采用二极管代替传统多管串联Marx电路中的部分限流电阻以减少能量损耗,加快充电速度,提高重复频率,并分析了主电容和限流电阻对输出脉冲幅值和频率的影响。通过雪崩三极管的单管击穿实验,单个三极管的导通内阻最小约为2.5 Ω,多管串联Marx电路中的等效内阻使负载侧的输出电压降低,故采用多路Marx并联电路以提高输出电压幅值。通过改变Marx并联模块数量,研究了电路等效内阻对输出脉冲的影响;通过改变负载电阻值,验证了Marx并联电路在小负载下升压效果更佳。实验结果表明,通过相同的4路Marx并联电路进行放电实验,在50 Ω负载侧输出上升沿为3.4 ns、幅值为2.5 kV、可在15 kHz下稳定工作的脉冲。
2018, 30: 095003.
doi: 10.11884/HPLPB201830.180021
摘要:
由微分测量探头和积分器构成的微分积分测量系统广泛应用于脉冲电压和电流测量。依据无源RC积分器的等效电路,分析了在多脉冲信号测量中,无源RC积分器在实现微分信号的积分还原时,可以引起信号的平顶降和信号基线偏离,给出了平顶降和基线偏离与信号脉冲宽度和积分常数的定量关系,计算了在不同积分器参数和脉冲信号参数时的平顶降和基线偏离结果,并且与PSpice电路模拟结果进行了比较,两种结果一致。按照此定量关系,可以根据脉冲信号特点和测量要求,准确确定积分器参数。
由微分测量探头和积分器构成的微分积分测量系统广泛应用于脉冲电压和电流测量。依据无源RC积分器的等效电路,分析了在多脉冲信号测量中,无源RC积分器在实现微分信号的积分还原时,可以引起信号的平顶降和信号基线偏离,给出了平顶降和基线偏离与信号脉冲宽度和积分常数的定量关系,计算了在不同积分器参数和脉冲信号参数时的平顶降和基线偏离结果,并且与PSpice电路模拟结果进行了比较,两种结果一致。按照此定量关系,可以根据脉冲信号特点和测量要求,准确确定积分器参数。
2018, 30: 095004.
doi: 10.11884/HPLPB201830.180141
摘要:
设计一种一体化D-dot探头开展脉冲功率装置中传输线高电压测量工作。D-dot探头安装在传输线外筒上,主要由基座、密封电缆头、探头外壳、绝缘层、信号电极和连接杆构成。采用同轴螺纹连接及限位结构将探头各部件形成一个整体,实现结构的紧凑性和拆装过程的完整性。利用密封BNC探头和无氧铜密封圈实现良好的密封性能,同时减小探头的弹性余量保证测量的准确性。设计了较小的探头对地电容,从而获得良好的高频响应。采用OrCAD/Pspice开展电路模拟,结果显示设计的探头满足信噪比和前沿响应要求。采用CST开展静电场模拟,结果显示设计的D-dot探头可以满足1 MV传输线电压下的绝缘要求。标定和实验结果表明该探头可以响应前沿为几十ns的信号,能够满足测量需要。
设计一种一体化D-dot探头开展脉冲功率装置中传输线高电压测量工作。D-dot探头安装在传输线外筒上,主要由基座、密封电缆头、探头外壳、绝缘层、信号电极和连接杆构成。采用同轴螺纹连接及限位结构将探头各部件形成一个整体,实现结构的紧凑性和拆装过程的完整性。利用密封BNC探头和无氧铜密封圈实现良好的密封性能,同时减小探头的弹性余量保证测量的准确性。设计了较小的探头对地电容,从而获得良好的高频响应。采用OrCAD/Pspice开展电路模拟,结果显示设计的探头满足信噪比和前沿响应要求。采用CST开展静电场模拟,结果显示设计的D-dot探头可以满足1 MV传输线电压下的绝缘要求。标定和实验结果表明该探头可以响应前沿为几十ns的信号,能够满足测量需要。
2018, 30: 095005.
doi: 10.11884/HPLPB201830.170398
摘要:
介绍了新型半导体开关漂移阶跃恢复二极管(DSRD)的工作原理和特性,总结了基于半导体开关器件的脉冲源的发展现状及应用。基于DSRD的等效模型,建立了其正反向泵浦电路的仿真模型,按照输出电压参数的要求,对主储能电感、初级储能电感的取值进行了仿真计算分析,并得到了主回路各元件参数的最优值。通过仿真分析了MOSFET漏源端寄生电容与限压并联电容对输出参数的影响,得到了限压并联电容最优值为0.2 nF,通过计算与仿真得到隔直电容的最优值为100 pF。研制了一款可连续输出的脉冲功率源,其重复频率为1 MHz,脉冲前沿等于680 ps(20%~90%),电压幅值2 kV,半高宽1.5 ns。
介绍了新型半导体开关漂移阶跃恢复二极管(DSRD)的工作原理和特性,总结了基于半导体开关器件的脉冲源的发展现状及应用。基于DSRD的等效模型,建立了其正反向泵浦电路的仿真模型,按照输出电压参数的要求,对主储能电感、初级储能电感的取值进行了仿真计算分析,并得到了主回路各元件参数的最优值。通过仿真分析了MOSFET漏源端寄生电容与限压并联电容对输出参数的影响,得到了限压并联电容最优值为0.2 nF,通过计算与仿真得到隔直电容的最优值为100 pF。研制了一款可连续输出的脉冲功率源,其重复频率为1 MHz,脉冲前沿等于680 ps(20%~90%),电压幅值2 kV,半高宽1.5 ns。
2018, 30: 095006.
doi: 10.11884/HPLPB201830.170451
摘要:
直线变压驱动源(LTD)代表一种新型电路拓扑结构,将储能电容分解为容量很小的单元,能够直接输出快脉冲,而且降低了基本器件所承受的电压和导通的能量,为重频长寿命的大型驱动器研制开辟了道路,因而成为下一代大型Z箍缩聚变能源驱动器的主流技术。LTD的设计思想是一种矛盾转移,将难点从极高电压极高电流的闭合开关转移到大阵列开关的同步触发,因此,触发技术成为研制大型LTD型驱动器的重点。提出了一种可扩展的触发技术,以小型Marx发生器作为初级储能源,利用水介质脉冲形成线作为脉冲形成单元,激光触发气体开关作为输出开关,通过高压电缆匹配输出高压脉冲。给出了输出40路高压脉冲的触发器单元的设计和初步实验结果,Marx充电±60 kV时,触发器单元在75 Ω匹配电阻负载输出电压峰值为106 kV,上升时间约27 ns(10%~90%),半高宽约110 ns。作为输出开关的四个激光触发气体开关在~70%工作系数、激光总能量55 mJ的条件下,导通时间差异小于3 ns。
直线变压驱动源(LTD)代表一种新型电路拓扑结构,将储能电容分解为容量很小的单元,能够直接输出快脉冲,而且降低了基本器件所承受的电压和导通的能量,为重频长寿命的大型驱动器研制开辟了道路,因而成为下一代大型Z箍缩聚变能源驱动器的主流技术。LTD的设计思想是一种矛盾转移,将难点从极高电压极高电流的闭合开关转移到大阵列开关的同步触发,因此,触发技术成为研制大型LTD型驱动器的重点。提出了一种可扩展的触发技术,以小型Marx发生器作为初级储能源,利用水介质脉冲形成线作为脉冲形成单元,激光触发气体开关作为输出开关,通过高压电缆匹配输出高压脉冲。给出了输出40路高压脉冲的触发器单元的设计和初步实验结果,Marx充电±60 kV时,触发器单元在75 Ω匹配电阻负载输出电压峰值为106 kV,上升时间约27 ns(10%~90%),半高宽约110 ns。作为输出开关的四个激光触发气体开关在~70%工作系数、激光总能量55 mJ的条件下,导通时间差异小于3 ns。
2018, 30: 095007.
doi: 10.11884/HPLPB201830.180105
摘要:
提出了一种高压电源谐振升压倍压电路,该电路由LC谐振电路与整流电路组成。对该电路的工作模式和稳态输出特性进行了分析;建立了该电路的数学模型:以归一化的形式定量描述了稳态输出电压与电流的增益、短路特性和开路特性、输出纹波与电压降、以及器件上的电应力,并分析了电路品质因数、归一化频率和电容比对输出特性的影响;对该电路进行了仿真与实验研究,仿真结果与实验结果具有很好的一致性,验证了数学模型的正确性。与C-W电路的对比研究结果表明:所提出的电路具有输出电压稳定、输出纹波小、短路特性好以及响应速度快的优点,满足高压小电流的应用需求。
提出了一种高压电源谐振升压倍压电路,该电路由LC谐振电路与整流电路组成。对该电路的工作模式和稳态输出特性进行了分析;建立了该电路的数学模型:以归一化的形式定量描述了稳态输出电压与电流的增益、短路特性和开路特性、输出纹波与电压降、以及器件上的电应力,并分析了电路品质因数、归一化频率和电容比对输出特性的影响;对该电路进行了仿真与实验研究,仿真结果与实验结果具有很好的一致性,验证了数学模型的正确性。与C-W电路的对比研究结果表明:所提出的电路具有输出电压稳定、输出纹波小、短路特性好以及响应速度快的优点,满足高压小电流的应用需求。
2018, 30: 095008.
doi: 10.11884/HPLPB201830.180016
摘要:
设计了一种单电源的变压器型高电压、大电流脉冲源。该电源只有一套放电电容,以晶闸管作为放电开关,单原边双副边的脉冲变压器作为传输线。利用二极管的单向导通特性,使变压器根据负载不同的工况运行在不同的状态,分时输出高电压、大电流脉冲。该设计利用变压器在空间上将高压输出回路和低压控制回路隔离,与一般的双电源设计方式相比,降低了驱动电路的成本,减少了装置的体积,有利于设备的小型化和紧凑化。试验结果表明:当原边18 μF的储能电容充电电压为700 V时,通过晶闸管开关控制电容向2 ∶2 ∶20的单原边双副边脉冲变压器放电,副边开路时输出幅值7.6 kV、上升沿432 ns的开路电压,副边短路时输出幅值690 A、半高宽15.6 μs、前沿7.0 μs的短路电流,满足NL37248引燃管的触发要求。
设计了一种单电源的变压器型高电压、大电流脉冲源。该电源只有一套放电电容,以晶闸管作为放电开关,单原边双副边的脉冲变压器作为传输线。利用二极管的单向导通特性,使变压器根据负载不同的工况运行在不同的状态,分时输出高电压、大电流脉冲。该设计利用变压器在空间上将高压输出回路和低压控制回路隔离,与一般的双电源设计方式相比,降低了驱动电路的成本,减少了装置的体积,有利于设备的小型化和紧凑化。试验结果表明:当原边18 μF的储能电容充电电压为700 V时,通过晶闸管开关控制电容向2 ∶2 ∶20的单原边双副边脉冲变压器放电,副边开路时输出幅值7.6 kV、上升沿432 ns的开路电压,副边短路时输出幅值690 A、半高宽15.6 μs、前沿7.0 μs的短路电流,满足NL37248引燃管的触发要求。
2018, 30: 096001.
doi: 10.11884/HPLPB201830.170487
摘要:
针对核武器/核材料识别系统中核材料浓度识别的关键技术问题,采用Monte Carlo方法,通过建立252Cf源驱动核材料裂变中子信号样本库,模拟分析了随探测器距离和角度及核材料浓度变化的裂变脉冲中子信号特点,基于深度学习之卷积神经网络,构建了一种252Cf源驱动核材料浓度识别方法,实现了对测试样本浓度的识别,且还与BP神经网络和K最近邻方法进行了对比试验研究。结果表明,卷积神经网络算法进行核材料浓度识别,得到了高达92.05%识别准确率,不仅解决了因探测器距离和角度变化时对核材料浓度识别准确率影响的难题,而且还获得了优于BP神经网络和K最近邻算法对核材料浓度识别的认识,这为252Cf源驱动核材料浓度识别提供了一种新的途径。
针对核武器/核材料识别系统中核材料浓度识别的关键技术问题,采用Monte Carlo方法,通过建立252Cf源驱动核材料裂变中子信号样本库,模拟分析了随探测器距离和角度及核材料浓度变化的裂变脉冲中子信号特点,基于深度学习之卷积神经网络,构建了一种252Cf源驱动核材料浓度识别方法,实现了对测试样本浓度的识别,且还与BP神经网络和K最近邻方法进行了对比试验研究。结果表明,卷积神经网络算法进行核材料浓度识别,得到了高达92.05%识别准确率,不仅解决了因探测器距离和角度变化时对核材料浓度识别准确率影响的难题,而且还获得了优于BP神经网络和K最近邻算法对核材料浓度识别的认识,这为252Cf源驱动核材料浓度识别提供了一种新的途径。
2018, 30: 096002.
doi: 10.11884/HPLPB201830.180039
摘要:
为实现14 MeV D-T中子源旋转靶活化特性计算与分析,首次采用一种新的技术途径,将自主研发的活化程序BURNDOT与蒙特卡罗自动建模系统MCAM、蒙特卡罗粒子输运程序MCNP相结合,通过中子输运、材料活化、光子输运模拟计算的耦合,考察了材质、栅元、主要活化核素对靶室活化特性的影响。结果表明,约以辐照后68 h为界,材料铜、316不锈钢先后作为旋转靶室活度的主要贡献者,前者其产生的缓发γ剂量因62Cu, 64Cu核素的存在而达到活化剂量最大值,后者因有长半衰期核素55Fe, 57Co, 54Mn等的存在,但其产生的剂量率值低于安全限值10 μSv/h。采用新方法的计算结果与采用欧洲活化程序FISPACT-2007的计算结果符合较好。
为实现14 MeV D-T中子源旋转靶活化特性计算与分析,首次采用一种新的技术途径,将自主研发的活化程序BURNDOT与蒙特卡罗自动建模系统MCAM、蒙特卡罗粒子输运程序MCNP相结合,通过中子输运、材料活化、光子输运模拟计算的耦合,考察了材质、栅元、主要活化核素对靶室活化特性的影响。结果表明,约以辐照后68 h为界,材料铜、316不锈钢先后作为旋转靶室活度的主要贡献者,前者其产生的缓发γ剂量因62Cu, 64Cu核素的存在而达到活化剂量最大值,后者因有长半衰期核素55Fe, 57Co, 54Mn等的存在,但其产生的剂量率值低于安全限值10 μSv/h。采用新方法的计算结果与采用欧洲活化程序FISPACT-2007的计算结果符合较好。
2018, 30: 096003.
doi: 10.11884/HPLPB201830.180083
摘要:
堆芯燃料管理是反应堆设计中极为重要而且复杂的工作,直接影响着堆芯的经济性。目前国内外对于压水堆等传统热堆已有了较为丰富和成熟的燃料管理计算方法,但对于快堆,由于其中子能谱硬,与传统热堆相比有着不同的控制方式和功率分布,快堆的堆芯燃料管理缺乏系统研究。针对中国科学技术大学自主研发的强迫循环冷却的铅基快堆M2LFR-1000,应用SRAC/COREBN软件包进行堆芯燃耗计算,根据燃耗深度提取核素核子密度,计算伪平衡循环参数进行燃料管理预估,然后进行首循环装料、过渡循环和平衡循环燃料管理方案设计。结果表明:对M2LFR-1000堆芯外区燃料换料组件Pu的富集度进行优化,可以延长换料周期到540 d,提高平均卸料燃耗深度;伪平衡循环结果与平衡循环基本一致,伪平衡循环可以用于燃料管理预估。
堆芯燃料管理是反应堆设计中极为重要而且复杂的工作,直接影响着堆芯的经济性。目前国内外对于压水堆等传统热堆已有了较为丰富和成熟的燃料管理计算方法,但对于快堆,由于其中子能谱硬,与传统热堆相比有着不同的控制方式和功率分布,快堆的堆芯燃料管理缺乏系统研究。针对中国科学技术大学自主研发的强迫循环冷却的铅基快堆M2LFR-1000,应用SRAC/COREBN软件包进行堆芯燃耗计算,根据燃耗深度提取核素核子密度,计算伪平衡循环参数进行燃料管理预估,然后进行首循环装料、过渡循环和平衡循环燃料管理方案设计。结果表明:对M2LFR-1000堆芯外区燃料换料组件Pu的富集度进行优化,可以延长换料周期到540 d,提高平均卸料燃耗深度;伪平衡循环结果与平衡循环基本一致,伪平衡循环可以用于燃料管理预估。
2018, 30: 096004.
doi: 10.11884/HPLPB201830.180058
摘要:
以红沿河核电厂为对象,开展了CPR1000燃料操作事故放射性核素的来源、迁移途径、释放方式研究,构建了燃料存储室以及外环境的源项计算模型。在此基础上,定量地论证了该事故所产生的辐射影响,结果表明:基于前0.5%概率水平的厂址气象条件,得到非居住区边界以及规划限制区外边界16个标准方位的公众剂量均可满足GB 6249-2011限值要求,且尚存一定裕量。通过关键参数的敏感性分析,进一步识别出了剂量最大方位、主导核素、关键时段,论证了事故分析截断时间取12 h的合理性、燃料操作起始时间取100 h的必要性。同时,进一步研究了水洗深度及正常通风隔离时间对公众剂量的影响规律,公众剂量随水洗深度增加呈指数降低趋势,随正常通风隔离延迟时间变长而快速增加,相关研究可为各核电厂设计决策提供支持。
以红沿河核电厂为对象,开展了CPR1000燃料操作事故放射性核素的来源、迁移途径、释放方式研究,构建了燃料存储室以及外环境的源项计算模型。在此基础上,定量地论证了该事故所产生的辐射影响,结果表明:基于前0.5%概率水平的厂址气象条件,得到非居住区边界以及规划限制区外边界16个标准方位的公众剂量均可满足GB 6249-2011限值要求,且尚存一定裕量。通过关键参数的敏感性分析,进一步识别出了剂量最大方位、主导核素、关键时段,论证了事故分析截断时间取12 h的合理性、燃料操作起始时间取100 h的必要性。同时,进一步研究了水洗深度及正常通风隔离时间对公众剂量的影响规律,公众剂量随水洗深度增加呈指数降低趋势,随正常通风隔离延迟时间变长而快速增加,相关研究可为各核电厂设计决策提供支持。
2018, 30: 096005.
doi: 10.11884/HPLPB201830.180005
摘要:
利用ANSYS程序对Z箍缩驱动聚变-裂变混合堆(Z-FFR)第一壁在瞬态热流加载下的热-力学响应进行了模拟计算,分析了第一壁温度、应力随时间和深度的分布。结果表明,周期性脉冲加载不会导致第一壁产生温度累积效应,第一壁温度峰值409 ℃,出现在钨层表面,钨层最大应力140 MPa,锆合金基底最大应力33 MPa。
利用ANSYS程序对Z箍缩驱动聚变-裂变混合堆(Z-FFR)第一壁在瞬态热流加载下的热-力学响应进行了模拟计算,分析了第一壁温度、应力随时间和深度的分布。结果表明,周期性脉冲加载不会导致第一壁产生温度累积效应,第一壁温度峰值409 ℃,出现在钨层表面,钨层最大应力140 MPa,锆合金基底最大应力33 MPa。
2018, 30: 096006.
doi: 10.11884/HPLPB201830.180072
摘要:
实验采用并联方法制备了叠层(双层)碲锌镉探测器,并利用241Am@59.54 keV和57Co@122 keV γ射线源测试了其γ能谱特性。相比单层探测器,对于较高能量的57Co@122 keV γ射线,叠层碲锌镉探测器表现出较高的探测效率和光峰值效率,较好地改善了康普顿连续统一体。叠层CZT探测器较之单层探测器,能谱分辨率发生轻微恶化。实验初步表明,通过并联叠加方法制备叠层碲锌镉探测器是可行的,并可推断制备更大厚度的叠层探测器将有利于中高能γ射线能谱测量。
实验采用并联方法制备了叠层(双层)碲锌镉探测器,并利用241Am@59.54 keV和57Co@122 keV γ射线源测试了其γ能谱特性。相比单层探测器,对于较高能量的57Co@122 keV γ射线,叠层碲锌镉探测器表现出较高的探测效率和光峰值效率,较好地改善了康普顿连续统一体。叠层CZT探测器较之单层探测器,能谱分辨率发生轻微恶化。实验初步表明,通过并联叠加方法制备叠层碲锌镉探测器是可行的,并可推断制备更大厚度的叠层探测器将有利于中高能γ射线能谱测量。
2018, 30: 096007.
doi: 10.11884/HPLPB201830.180091
摘要:
针对现有伽玛射线剂量(率)测量仪器检定方法送检距离远、周期长、效率低的不足,中国工程物理研究院核物理与化学研究所采用基于样本仪表的机器预测方法,开展了基于小尺度参考辐射的便携式伽玛剂量(率)仪遂行校准技术研究工作。最终成功地研制了一套辐射防护用伽玛射线剂量(率)仪遂行校准装置,实现了测量标准不确定度不大于5%的良好结果。为伽玛空气比释动能量值的遂行定度提出了一条全新的技术思路,为便携式伽玛剂量(率)仪的现场和野外校准提供了一种全新的示范装备。
针对现有伽玛射线剂量(率)测量仪器检定方法送检距离远、周期长、效率低的不足,中国工程物理研究院核物理与化学研究所采用基于样本仪表的机器预测方法,开展了基于小尺度参考辐射的便携式伽玛剂量(率)仪遂行校准技术研究工作。最终成功地研制了一套辐射防护用伽玛射线剂量(率)仪遂行校准装置,实现了测量标准不确定度不大于5%的良好结果。为伽玛空气比释动能量值的遂行定度提出了一条全新的技术思路,为便携式伽玛剂量(率)仪的现场和野外校准提供了一种全新的示范装备。
2018, 30: 096008.
doi: 10.11884/HPLPB201830.180138
摘要:
双极晶体管经中子辐照后会引起直流增益退化,在109~1016 cm-2的注量范围内,其直流增益倒数变化与辐照中子注量呈线性关系。对直流增益退化的双极晶体管进行高温退火,能使受到辐射损伤的双极晶体管性能恢复。鉴于此,将双极晶体管进行逆向工程应用,制作成中子注量探测器,经标定后,可实现对中子注量的监测。对探测器的装配结构进行设计后,依托中国工程物理研究院快中子脉冲堆(CFBR-Ⅱ),在1012~1013 cm-2的注量范围对3DK2222A型探测器和在1013 cm-2的注量范围对3DG121C型探测器进行标定。在得到探测器损伤常数K的分散性存在较小和较大的两种情况下,确定了分散性较小时的有效取值和应用方法,以及在分散性较大时,采取标定的损伤常数K只能应用在同只探测器上的方案,并通过高温退火实验证实了该方案的可行性。
双极晶体管经中子辐照后会引起直流增益退化,在109~1016 cm-2的注量范围内,其直流增益倒数变化与辐照中子注量呈线性关系。对直流增益退化的双极晶体管进行高温退火,能使受到辐射损伤的双极晶体管性能恢复。鉴于此,将双极晶体管进行逆向工程应用,制作成中子注量探测器,经标定后,可实现对中子注量的监测。对探测器的装配结构进行设计后,依托中国工程物理研究院快中子脉冲堆(CFBR-Ⅱ),在1012~1013 cm-2的注量范围对3DK2222A型探测器和在1013 cm-2的注量范围对3DG121C型探测器进行标定。在得到探测器损伤常数K的分散性存在较小和较大的两种情况下,确定了分散性较小时的有效取值和应用方法,以及在分散性较大时,采取标定的损伤常数K只能应用在同只探测器上的方案,并通过高温退火实验证实了该方案的可行性。
2018, 30: 099001.
doi: 10.11884/HPLPB201830.180053
摘要:
采用两台波长1064 nm的调Q脉冲Nd ∶YAG激光器和多通道小型光纤光栅光谱仪,建立了一套共线双脉冲激光诱导击穿光谱分析装置。与单脉冲激光诱导技术相比,在最佳双脉冲时间延时8 μs时,Mn I 403.07 nm和Cr I 425.43 nm的光谱强度分别增加了14.3倍和17.2倍,以这两条谱线为分析线,铝合金中Mn和Cr的检测限分别由单脉冲时的73和94.5 μg/g降低至双脉冲时的3.76和4.26 μg/g,检测灵敏度提高了约20倍。
采用两台波长1064 nm的调Q脉冲Nd ∶YAG激光器和多通道小型光纤光栅光谱仪,建立了一套共线双脉冲激光诱导击穿光谱分析装置。与单脉冲激光诱导技术相比,在最佳双脉冲时间延时8 μs时,Mn I 403.07 nm和Cr I 425.43 nm的光谱强度分别增加了14.3倍和17.2倍,以这两条谱线为分析线,铝合金中Mn和Cr的检测限分别由单脉冲时的73和94.5 μg/g降低至双脉冲时的3.76和4.26 μg/g,检测灵敏度提高了约20倍。
2018, 30: 099002.
doi: 10.11884/HPLPB201830.180090
摘要:
利用时间拉伸显微成像系统观察并记录非重复动态随机现象,在其超高成像速度和高空间分辨率下必定会产生大量的数据。一种基于差分检测和游程编码的数据压缩方法,可以有效地解决时间拉伸成像系统的数据存储问题。差分检测可以消除连续相同的信号,只检测出相邻信号的差异,从而提高游程编码算法的有效性。实验中,采用扫描频率为77.76 MHz的时间拉伸显微成像对分辨率板、人红细胞和人乳腺癌细胞线性扫描成像。实验结果表明,数据压缩比可以达到8.47,对比分析发现经过差分检测方法可以获得更高的压缩比。另外,通过计算重建后的图像与原图的结构相似性(SSIM)值发现,经过数据压缩后高质量的图像可以被重建。
利用时间拉伸显微成像系统观察并记录非重复动态随机现象,在其超高成像速度和高空间分辨率下必定会产生大量的数据。一种基于差分检测和游程编码的数据压缩方法,可以有效地解决时间拉伸成像系统的数据存储问题。差分检测可以消除连续相同的信号,只检测出相邻信号的差异,从而提高游程编码算法的有效性。实验中,采用扫描频率为77.76 MHz的时间拉伸显微成像对分辨率板、人红细胞和人乳腺癌细胞线性扫描成像。实验结果表明,数据压缩比可以达到8.47,对比分析发现经过差分检测方法可以获得更高的压缩比。另外,通过计算重建后的图像与原图的结构相似性(SSIM)值发现,经过数据压缩后高质量的图像可以被重建。

Email alert
RSS
