2021年 33卷 第12期
推荐文章
2021, 33: 123001.
doi: 10.11884/HPLPB202133.210482
2021, 33: 123002.
doi: 10.11884/HPLPB202133.210472
显示方式:
2021, 33: 123001.
doi: 10.11884/HPLPB202133.210482
摘要:
高置信度强电磁脉冲环境测试技术,作为强电磁脉冲研究领域的重要基础共性技术,近年来受到了国内外科研人员的高度关注。主要从天线(传感器)、链路信号传输畸变补偿等方面系统回顾当前高置信度强电磁脉冲环境测试技术研究进展,并结合强电磁脉冲环境生成技术、效应与防护研究发展趋势,阐述强电磁脉冲环境测试面临的挑战,并对高置信度强电磁脉冲环境测试技术发展进行初浅展望,以期为强电磁脉冲技术领域科研人员提供借鉴、参考。
高置信度强电磁脉冲环境测试技术,作为强电磁脉冲研究领域的重要基础共性技术,近年来受到了国内外科研人员的高度关注。主要从天线(传感器)、链路信号传输畸变补偿等方面系统回顾当前高置信度强电磁脉冲环境测试技术研究进展,并结合强电磁脉冲环境生成技术、效应与防护研究发展趋势,阐述强电磁脉冲环境测试面临的挑战,并对高置信度强电磁脉冲环境测试技术发展进行初浅展望,以期为强电磁脉冲技术领域科研人员提供借鉴、参考。
2021, 33: 123002.
doi: 10.11884/HPLPB202133.210472
摘要:
使用微扰理论分析了腔体形变对谐振频率漂移的影响规律,从理论上论证了边界形变混响室的可行性,计算得到了边界形变参数对混响室空间电场均匀性的影响规律;采用了一种由柔性屏蔽布作为腔体材料、步进电机控制腔体表面形变的边界形变混响室设计方法,并对研制的几何尺寸为2.5 m×1.8 m×1.5 m的混响室的内部电场统计特性进行了试验测试。结果表明:混响室内部电场服从Rician分布,且随频率升高与理论模型的一致性变好;当形变幅度达到400 mm时,腔体内部电场扰动比大于20 dB,空间电场标准偏差小于3 dB,满足电磁兼容对混响室平台均匀性的限制要求。
使用微扰理论分析了腔体形变对谐振频率漂移的影响规律,从理论上论证了边界形变混响室的可行性,计算得到了边界形变参数对混响室空间电场均匀性的影响规律;采用了一种由柔性屏蔽布作为腔体材料、步进电机控制腔体表面形变的边界形变混响室设计方法,并对研制的几何尺寸为2.5 m×1.8 m×1.5 m的混响室的内部电场统计特性进行了试验测试。结果表明:混响室内部电场服从Rician分布,且随频率升高与理论模型的一致性变好;当形变幅度达到400 mm时,腔体内部电场扰动比大于20 dB,空间电场标准偏差小于3 dB,满足电磁兼容对混响室平台均匀性的限制要求。
2021, 33: 123003.
doi: 10.11884/HPLPB202133.210389
摘要:
相控阵天线波束指向高度动态变化,其电磁发射特性呈现出显著的统计规律,分析和测试所需的资源巨大。采用多项式混沌展开(PCE)探究二维平面相控阵天线发射特性的统计特性,根据方向图乘积定理等确定代表相控阵天线电磁发射特性的目标函数,利用PCE建立目标函数的等效代理模型。从理想点源构成的相控阵天线着手,分别考虑了主波束指向服从均匀分布和正态分布两种典型情况,通过计算机仿真模拟得到等效代理模型的概率密度函数和累积分布函数,并使用传统的蒙特卡罗方法结果作为参照来评估PCE方法的有效性和可靠性,最后对小型偶极子相控阵天线的波束指向服从两种典型分布的情况进行讨论。仿真对比结果表明,PCE方法在保证结果准确度的同时可以大大减少采样样本点数目,大幅提升相控阵天线电磁发射特性分析和测试的效率。
相控阵天线波束指向高度动态变化,其电磁发射特性呈现出显著的统计规律,分析和测试所需的资源巨大。采用多项式混沌展开(PCE)探究二维平面相控阵天线发射特性的统计特性,根据方向图乘积定理等确定代表相控阵天线电磁发射特性的目标函数,利用PCE建立目标函数的等效代理模型。从理想点源构成的相控阵天线着手,分别考虑了主波束指向服从均匀分布和正态分布两种典型情况,通过计算机仿真模拟得到等效代理模型的概率密度函数和累积分布函数,并使用传统的蒙特卡罗方法结果作为参照来评估PCE方法的有效性和可靠性,最后对小型偶极子相控阵天线的波束指向服从两种典型分布的情况进行讨论。仿真对比结果表明,PCE方法在保证结果准确度的同时可以大大减少采样样本点数目,大幅提升相控阵天线电磁发射特性分析和测试的效率。
2021, 33: 123004.
doi: 10.11884/HPLPB202133.210177
摘要:
为了分析屏蔽电缆在电磁脉冲作用下的时域响应,对基于最小相位法的频域等效方法进行了研究。首先,通过建立转移阻抗测试系统的电路模型,推导系统的频域传递函数,并验证其为最小相位系统与全通系统的级联;其次,采用最小相位法,对测得的幅频曲线进行相位重构,根据推导的传递函数的零、极点分布,对重构的最小相位传递函数进行相位补偿;最后,将补偿后的传递函数与瞬态干扰信号在频域相乘后变换到时域,得到了屏蔽电缆的时域响应。仿真及实验结果验证了该方法的有效性。
为了分析屏蔽电缆在电磁脉冲作用下的时域响应,对基于最小相位法的频域等效方法进行了研究。首先,通过建立转移阻抗测试系统的电路模型,推导系统的频域传递函数,并验证其为最小相位系统与全通系统的级联;其次,采用最小相位法,对测得的幅频曲线进行相位重构,根据推导的传递函数的零、极点分布,对重构的最小相位传递函数进行相位补偿;最后,将补偿后的传递函数与瞬态干扰信号在频域相乘后变换到时域,得到了屏蔽电缆的时域响应。仿真及实验结果验证了该方法的有效性。
2021, 33: 123005.
doi: 10.11884/HPLPB202133.210233
摘要:
人工蜂群算法作为一种新兴的群体智能算法,在解决复杂连续问题时表现突出。但是由于算法本身内在运行机制的原因,算法在搜索上表现出优异的性能,却疏于开发。为了平衡搜索和开发二者之间的矛盾,提出了一种基于遗传模型改进的人工蜂群算法,并成功运用到了阵列综合领域。算法先将全局最优解引入邻域搜索过程,指导蜂群寻找最佳蜜源,加速算法收敛。为了避免人工蜂群算法陷入局部最优,需要提高其开发能力,通过借鉴遗传算法中的进化机制,建立了遗传模型,对采取最佳保留后的蜜源进行遗传操作,丰富蜜源的多样性。在一组广泛使用的数值函数上对改进人工蜂群算法进行了测试,实验数据表明,该算法相较于其他算法具有很强的竞争力。将该算法运用于线性阵列的稀疏优化,旨在降低阵列的峰值旁瓣电平,在同样的阵列约束下与其他算法进行了优化对比,仿真结果进一步证明了算法的有效性。
人工蜂群算法作为一种新兴的群体智能算法,在解决复杂连续问题时表现突出。但是由于算法本身内在运行机制的原因,算法在搜索上表现出优异的性能,却疏于开发。为了平衡搜索和开发二者之间的矛盾,提出了一种基于遗传模型改进的人工蜂群算法,并成功运用到了阵列综合领域。算法先将全局最优解引入邻域搜索过程,指导蜂群寻找最佳蜜源,加速算法收敛。为了避免人工蜂群算法陷入局部最优,需要提高其开发能力,通过借鉴遗传算法中的进化机制,建立了遗传模型,对采取最佳保留后的蜜源进行遗传操作,丰富蜜源的多样性。在一组广泛使用的数值函数上对改进人工蜂群算法进行了测试,实验数据表明,该算法相较于其他算法具有很强的竞争力。将该算法运用于线性阵列的稀疏优化,旨在降低阵列的峰值旁瓣电平,在同样的阵列约束下与其他算法进行了优化对比,仿真结果进一步证明了算法的有效性。
2021, 33: 123006.
doi: 10.11884/HPLPB202133.210171
摘要:
时间反演具有时空聚焦特征,在许多方面有着潜在的应用。其中,基于时间反演腔的系统是一种主要的反演系统,可用于脉冲压缩、波束成形、微扰探测等。时间反演腔通常是一个电大的微波混沌腔,内部电磁波的传播具有明显的多径特征,即时间色散特征。因此,在时间反演过程中,反演腔可对反演信号进行相位补偿,重构出初始信号,从而在初始位置形成脉冲的时间压缩和空间聚焦。为了拓展时间反演腔的实际应用,本文基于多径信道模型研究腔体参数对反演性能的影响,重点分析路径的衰减特征、串扰特征和叠加特征对反演信噪比的影响,并总结给出影响反演信噪比的主要参数以及基本规律。
时间反演具有时空聚焦特征,在许多方面有着潜在的应用。其中,基于时间反演腔的系统是一种主要的反演系统,可用于脉冲压缩、波束成形、微扰探测等。时间反演腔通常是一个电大的微波混沌腔,内部电磁波的传播具有明显的多径特征,即时间色散特征。因此,在时间反演过程中,反演腔可对反演信号进行相位补偿,重构出初始信号,从而在初始位置形成脉冲的时间压缩和空间聚焦。为了拓展时间反演腔的实际应用,本文基于多径信道模型研究腔体参数对反演性能的影响,重点分析路径的衰减特征、串扰特征和叠加特征对反演信噪比的影响,并总结给出影响反演信噪比的主要参数以及基本规律。
2021, 33: 123007.
doi: 10.11884/HPLPB202133.210370
摘要:
为应对新体制无线电引信带来的威胁,从引信对抗角度以超宽带无线电引信为研究对象,研究干扰作用下其失效机理。揭示了超宽带无线电引信敏感干扰波形响应机理,理论推导了周期调制干扰信号作用下引信响应特性,仿真计算了在射频噪声、正弦波调幅、正弦波调频以及扫频正弦波调幅干扰信号作用下超宽带引信接收机相关器输出响应特性。以干信比增益为表征参量,通过理论计算、仿真及试验验证得出结论:周期类调制干扰中调幅类干扰对超宽带引信干扰效果最好。
为应对新体制无线电引信带来的威胁,从引信对抗角度以超宽带无线电引信为研究对象,研究干扰作用下其失效机理。揭示了超宽带无线电引信敏感干扰波形响应机理,理论推导了周期调制干扰信号作用下引信响应特性,仿真计算了在射频噪声、正弦波调幅、正弦波调频以及扫频正弦波调幅干扰信号作用下超宽带引信接收机相关器输出响应特性。以干信比增益为表征参量,通过理论计算、仿真及试验验证得出结论:周期类调制干扰中调幅类干扰对超宽带引信干扰效果最好。
2021, 33: 123008.
doi: 10.11884/HPLPB202133.210191
摘要:
为研究空间环境中通用航天器表面覆盖的热控层电磁辐照效应,采用粒子模拟(PIC)和蒙特卡罗(MC)模拟相结合方法,建立了真空环境下电磁辐照航天器热控材料模型,模拟了场致电子发射、次级电子倍增、释气雪崩电离的全过程,并讨论了释气密度对热防护材料表面产生释气电离现象的影响。通过对比不同释气密度下该过程产生的电子和离子情况,获得热防护材料表面释气产生雪崩电离的阈值。模拟结果表明,当铝膜表面气体密度较小时,由于材料表面释气碰撞电离概率偏低而不会发生雪崩电离;只有当释气密度超过阈值时,材料表面释气碰撞电离过程加强,材料表面发生雪崩电离生成等离子体,等离子体吸收电磁波能量,其离子和电子总能量提升,可能对金属铝膜材料造成损伤。
为研究空间环境中通用航天器表面覆盖的热控层电磁辐照效应,采用粒子模拟(PIC)和蒙特卡罗(MC)模拟相结合方法,建立了真空环境下电磁辐照航天器热控材料模型,模拟了场致电子发射、次级电子倍增、释气雪崩电离的全过程,并讨论了释气密度对热防护材料表面产生释气电离现象的影响。通过对比不同释气密度下该过程产生的电子和离子情况,获得热防护材料表面释气产生雪崩电离的阈值。模拟结果表明,当铝膜表面气体密度较小时,由于材料表面释气碰撞电离概率偏低而不会发生雪崩电离;只有当释气密度超过阈值时,材料表面释气碰撞电离过程加强,材料表面发生雪崩电离生成等离子体,等离子体吸收电磁波能量,其离子和电子总能量提升,可能对金属铝膜材料造成损伤。
2021, 33: 123009.
doi: 10.11884/HPLPB202133.210379
摘要:
高空核电磁脉冲(HEMP)对电子设备的耦合途径主要有两方面:一方面是通过装备(产品)上的天线耦合通道进入到电子系统内的“前门耦合”方式;另一方面则是“后门耦合”,即通过装备(产品)上的壳体、电源线、电缆、机箱的缝隙、孔洞等途径进行耦合。主要研究电气线路互联系统(EWIS)线缆抗高空核电磁脉冲耦合效应,通过研究HEMP干扰的特征、能量分布,搭建HEMP数学模型,采用控制变量法,改变EWIS线缆类型、离地高度等要素,通过在CST上建立仿真模型以及开展试验,分析HEMP对电子设备造成的影响程度,得到HEMP耦合效应的一般性结论与规律。
高空核电磁脉冲(HEMP)对电子设备的耦合途径主要有两方面:一方面是通过装备(产品)上的天线耦合通道进入到电子系统内的“前门耦合”方式;另一方面则是“后门耦合”,即通过装备(产品)上的壳体、电源线、电缆、机箱的缝隙、孔洞等途径进行耦合。主要研究电气线路互联系统(EWIS)线缆抗高空核电磁脉冲耦合效应,通过研究HEMP干扰的特征、能量分布,搭建HEMP数学模型,采用控制变量法,改变EWIS线缆类型、离地高度等要素,通过在CST上建立仿真模型以及开展试验,分析HEMP对电子设备造成的影响程度,得到HEMP耦合效应的一般性结论与规律。
2021, 33: 123010.
doi: 10.11884/HPLPB202133.210138
摘要:
以装备电磁兼容性量化需求出发,根据电磁兼容试验数据的特点,将试验结果分为EMI类和EMS两种类型进行分析,提出了EMI和EMS两类试验结果量化表征方法并构建了数学模型。针对EMI类试验数据特点,通过超标数据占比和超标特征两个维度完成了EMI数据的量化表征模型构建;针对EMS类试验结果仅为定性描述这一特点,结合试验过程中的敏感现象,从干扰源及敏感频段两个维度进行量化表征模型构建,通过软件实现了相关量化模型,并通过试验结果量化算例予以验证。以试验结果开展的量化表征研究工作,获得了试验项目的数学量化模型,实现了基于国军标试验标准的电磁兼容试验结果量化表征。
以装备电磁兼容性量化需求出发,根据电磁兼容试验数据的特点,将试验结果分为EMI类和EMS两种类型进行分析,提出了EMI和EMS两类试验结果量化表征方法并构建了数学模型。针对EMI类试验数据特点,通过超标数据占比和超标特征两个维度完成了EMI数据的量化表征模型构建;针对EMS类试验结果仅为定性描述这一特点,结合试验过程中的敏感现象,从干扰源及敏感频段两个维度进行量化表征模型构建,通过软件实现了相关量化模型,并通过试验结果量化算例予以验证。以试验结果开展的量化表征研究工作,获得了试验项目的数学量化模型,实现了基于国军标试验标准的电磁兼容试验结果量化表征。
2021, 33: 123011.
doi: 10.11884/HPLPB202133.210386
摘要:
高空电磁脉冲(HEMP)可能造成广域基础设施的故障或损毁,考虑到经济原因,需要科学合理地评估其中关键电气电子设备在HEMP辐照下的易损性。将不确定性量化与设备效应评估相结合,总结出基于裕量与不确定性量化(QMU)的电气电子设备易损性评估方法及其工作流程,包括:筛选设备关键参数,通常为耦合通道电流、电压的范数;通过HEMP环境及其与设备耦合的数值仿真及不确定性量化,得到HEMP下设备关键参数的概率分布,作为设备的威胁水平;对工作状态下设备进行HEMP效应试验,通过统计推断得到设备效应阈值概率分布,作为设备在威胁下的强度;计算威胁水平与设备强度间的距离,量化设备关键参数的裕量及其不确定性,评估HEMP下的设备易损性。基于QMU的电气电子设备易损性评估方法还可为后续防护设计提供基础数据和评估方法。
高空电磁脉冲(HEMP)可能造成广域基础设施的故障或损毁,考虑到经济原因,需要科学合理地评估其中关键电气电子设备在HEMP辐照下的易损性。将不确定性量化与设备效应评估相结合,总结出基于裕量与不确定性量化(QMU)的电气电子设备易损性评估方法及其工作流程,包括:筛选设备关键参数,通常为耦合通道电流、电压的范数;通过HEMP环境及其与设备耦合的数值仿真及不确定性量化,得到HEMP下设备关键参数的概率分布,作为设备的威胁水平;对工作状态下设备进行HEMP效应试验,通过统计推断得到设备效应阈值概率分布,作为设备在威胁下的强度;计算威胁水平与设备强度间的距离,量化设备关键参数的裕量及其不确定性,评估HEMP下的设备易损性。基于QMU的电气电子设备易损性评估方法还可为后续防护设计提供基础数据和评估方法。
2021, 33: 123012.
doi: 10.11884/HPLPB202133.210385
摘要:
为检验连续波电磁环境下激光雷达的安全可靠性,以单线离轴激光雷达作为试验对象,进行了连续波作用下激光雷达电磁干扰效应试验。通过试验得到,当干扰天线极化方向不同时,同一激光雷达的敏感频率和频段也是不同的,而且干扰信号的敏感频率和敏感频段不同时,激光雷达受干扰的场强的大小不同,在同一敏感频率场强越大,激光雷达受干扰情况越严重;最后分析得到了该激光雷达受到干扰的原因, 为改进激光雷达,提高其电磁环境适应性提供了依据。
为检验连续波电磁环境下激光雷达的安全可靠性,以单线离轴激光雷达作为试验对象,进行了连续波作用下激光雷达电磁干扰效应试验。通过试验得到,当干扰天线极化方向不同时,同一激光雷达的敏感频率和频段也是不同的,而且干扰信号的敏感频率和敏感频段不同时,激光雷达受干扰的场强的大小不同,在同一敏感频率场强越大,激光雷达受干扰情况越严重;最后分析得到了该激光雷达受到干扰的原因, 为改进激光雷达,提高其电磁环境适应性提供了依据。
2021, 33: 123013.
doi: 10.11884/HPLPB202133.210365
摘要:
综合考虑有效初始电子产生理论、雪崩电子击穿理论等过程中的击穿延迟时间,探讨了开放空间微波脉冲的击穿延时概率分布,提出了重复频率微波脉冲击穿概率模型,定义了基于概率模型的微波脉冲击穿阈值。利用S波段微波准光学反射聚焦系统对一定气压大气击穿过程进行了模拟,监测击穿放电发光时刻作为击穿时间,分别在铯137放射源存在与否情况下开展了系列实验。研究结果表明,提高种子电子产生率相较于提高电离率是增大脉冲击穿概率更有效的方法;重复频率过程中,若存在累积效应,击穿延时概率分布曲线将左移并趋于稳定,击穿后的气体在短时间内容易再次击穿。
综合考虑有效初始电子产生理论、雪崩电子击穿理论等过程中的击穿延迟时间,探讨了开放空间微波脉冲的击穿延时概率分布,提出了重复频率微波脉冲击穿概率模型,定义了基于概率模型的微波脉冲击穿阈值。利用S波段微波准光学反射聚焦系统对一定气压大气击穿过程进行了模拟,监测击穿放电发光时刻作为击穿时间,分别在铯137放射源存在与否情况下开展了系列实验。研究结果表明,提高种子电子产生率相较于提高电离率是增大脉冲击穿概率更有效的方法;重复频率过程中,若存在累积效应,击穿延时概率分布曲线将左移并趋于稳定,击穿后的气体在短时间内容易再次击穿。
2021, 33: 123014.
doi: 10.11884/HPLPB202133.210351
摘要:
X射线辐照飞行器等腔体在其内部产生的腔体内电磁脉冲,会干扰其内部电子系统的正常工作,进而影响飞行器的运行和生存。介绍一种三维并行全电磁粒子方法,用于模拟X射线辐照腔体在其内部产生的瞬态电磁脉冲响应。在这一数值方法中,时域有限差分方法和Particle-in-Cell方法用来求解瞬态电磁场的产生和带电粒子运动之间的耦合关系,有效电流分配方法用来计算瞬态电磁场产生的源项。该方法基于JASMIN并行框架实现,可模拟含数亿网格和数亿粒子的三维腔体结构的内电磁脉冲响应,且具备大规模并行的优势。用这一方法来模拟圆柱腔体在X射线辐照下的腔体内电磁脉冲响应,其计算结果与文献结果吻合较好,验证了算法的有效性和正确性。
X射线辐照飞行器等腔体在其内部产生的腔体内电磁脉冲,会干扰其内部电子系统的正常工作,进而影响飞行器的运行和生存。介绍一种三维并行全电磁粒子方法,用于模拟X射线辐照腔体在其内部产生的瞬态电磁脉冲响应。在这一数值方法中,时域有限差分方法和Particle-in-Cell方法用来求解瞬态电磁场的产生和带电粒子运动之间的耦合关系,有效电流分配方法用来计算瞬态电磁场产生的源项。该方法基于JASMIN并行框架实现,可模拟含数亿网格和数亿粒子的三维腔体结构的内电磁脉冲响应,且具备大规模并行的优势。用这一方法来模拟圆柱腔体在X射线辐照下的腔体内电磁脉冲响应,其计算结果与文献结果吻合较好,验证了算法的有效性和正确性。
2021, 33: 123015.
doi: 10.11884/HPLPB202133.210359
摘要:
目的是研究高性能的电磁场仿真软件,对真实的芯片-系统电磁脉冲耦合过程进行高分辨率、高置信度的电磁仿真。研究重点是针对多尺度问题,突破算法的并行计算瓶颈。基于自主软件平台快速研发出仿真软件,在高性能计算平台上完成对真实复杂问题的全波电磁仿真。通过对某真实机箱内部芯片的电磁脉冲耦合仿真分析,验证了本文提出的算法的高性能、高效率的特性。
目的是研究高性能的电磁场仿真软件,对真实的芯片-系统电磁脉冲耦合过程进行高分辨率、高置信度的电磁仿真。研究重点是针对多尺度问题,突破算法的并行计算瓶颈。基于自主软件平台快速研发出仿真软件,在高性能计算平台上完成对真实复杂问题的全波电磁仿真。通过对某真实机箱内部芯片的电磁脉冲耦合仿真分析,验证了本文提出的算法的高性能、高效率的特性。
2021, 33: 123016.
doi: 10.11884/HPLPB202133.210380
摘要:
针对接收机射频前端在电磁脉冲环境作用下的电磁损伤过程模拟问题,以超短波接收机为具体研究对象,基于超外差式接收机电路功能模型,采用Verilog-a和SPICE网表联合建模方法,建立了射频前端低噪声放大器(LNA)电磁脉冲效应仿真模型(Extended LNA Model),并通过S参数仿真和瞬态仿真验证了LNA电磁脉冲效应模型具备正常功能仿真能力;为验证该模型的电磁脉冲损伤模拟能力,以标准电磁脉冲波形作为激励,以偶极子天线作为简化的天线前门耦合通道,在不同强度电磁脉冲作用下,接收机中频电路信号输出表现出了无影响、干扰、损毁的电磁脉冲效应过程,说明了建模方法的有效性;最后以EMP-天线耦合电压峰值作为阈值指标,分析得到了超短波接收机不同电磁脉冲效应等级对应的电压峰值阈值数据。
针对接收机射频前端在电磁脉冲环境作用下的电磁损伤过程模拟问题,以超短波接收机为具体研究对象,基于超外差式接收机电路功能模型,采用Verilog-a和SPICE网表联合建模方法,建立了射频前端低噪声放大器(LNA)电磁脉冲效应仿真模型(Extended LNA Model),并通过S参数仿真和瞬态仿真验证了LNA电磁脉冲效应模型具备正常功能仿真能力;为验证该模型的电磁脉冲损伤模拟能力,以标准电磁脉冲波形作为激励,以偶极子天线作为简化的天线前门耦合通道,在不同强度电磁脉冲作用下,接收机中频电路信号输出表现出了无影响、干扰、损毁的电磁脉冲效应过程,说明了建模方法的有效性;最后以EMP-天线耦合电压峰值作为阈值指标,分析得到了超短波接收机不同电磁脉冲效应等级对应的电压峰值阈值数据。
2021, 33: 123017.
doi: 10.11884/HPLPB202133.210193
摘要:
强电磁脉冲环境下的平台-机载天线一体化耦合计算属于典型多尺度时域电磁计算问题,采用传统的FDTD方法数值模拟时,由于精细结构的存在导致网格量巨大,计算效率低下。介绍了一种将非均匀FDTD方法与细导线FDTD方法以及多网格集总元件FDTD方法相结合的时域混合方法,能够有效降低计算开销,结合并行计算技术,快速计算得到天线端口上耦合产生的瞬态电压和电流响应,并将该方法成功应用于无人机平台-天线一体化前门耦合数值模拟中。
强电磁脉冲环境下的平台-机载天线一体化耦合计算属于典型多尺度时域电磁计算问题,采用传统的FDTD方法数值模拟时,由于精细结构的存在导致网格量巨大,计算效率低下。介绍了一种将非均匀FDTD方法与细导线FDTD方法以及多网格集总元件FDTD方法相结合的时域混合方法,能够有效降低计算开销,结合并行计算技术,快速计算得到天线端口上耦合产生的瞬态电压和电流响应,并将该方法成功应用于无人机平台-天线一体化前门耦合数值模拟中。
2021, 33: 123018.
doi: 10.11884/HPLPB202133.210354
摘要:
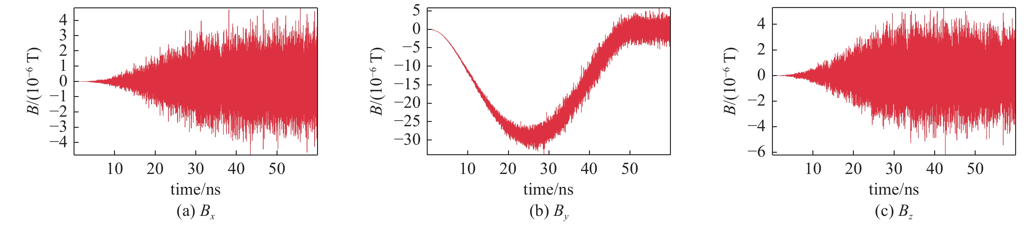
应用3维全电磁粒子模拟程序研究腔体的内SGEMP,作为校验,模拟计算了光电子由圆柱腔体端面向内发射的SGEMP模型,并与文献结果进行了对比;使用该程序对圆柱腔体的3维内SGEMP进行模拟研究,得出注量为100 J/m2,特征温度为2 keV的黑体谱X射线,垂直入射高为4.5 cm、半径为7.5 cm的圆柱腔体侧面时,发射电流为20 A,产生的电场最高可达150 kV/m,磁场高达3.0×10−5 T。并对不同X射线注量下的电荷和电场分布情况进行了初步研究。
应用3维全电磁粒子模拟程序研究腔体的内SGEMP,作为校验,模拟计算了光电子由圆柱腔体端面向内发射的SGEMP模型,并与文献结果进行了对比;使用该程序对圆柱腔体的3维内SGEMP进行模拟研究,得出注量为100 J/m2,特征温度为2 keV的黑体谱X射线,垂直入射高为4.5 cm、半径为7.5 cm的圆柱腔体侧面时,发射电流为20 A,产生的电场最高可达150 kV/m,磁场高达3.0×10−5 T。并对不同X射线注量下的电荷和电场分布情况进行了初步研究。
2021, 33: 123019.
doi: 10.11884/HPLPB202133.210227
摘要:
瞬态电磁脉冲可通过车辆互联线缆耦合至电子系统内部,造成电子设备受扰甚至损毁,研究瞬态防护器件对电磁脉冲的抑制特性可为车辆电磁防护设计与实施提供有力支撑。本文以发动机电控系统为研究对象,考虑关键金属结构、线缆与电子设备,建立发动机电磁仿真模型,计算获取了瞬态电磁脉冲作用下线缆端口耦合干扰特性;基于电磁脉冲注入方法设计并搭建了瞬态防护器件测试平台,获取了瞬态电压抑制器与压敏电阻两类典型瞬态防护器件的响应时间、钳位电压、尖峰泄露等响应特性;在仿真与测试结果的基础上,选取一型瞬态电压抑制器应用于凸轮轴位置传感器信号线的电磁防护。研究结果表明,该型瞬态电压抑制器对线缆瞬态电磁脉冲耦合干扰抑制能力接近20 dB,置于滤波器前端可有效抑制线缆耦合干扰,保护终端设备。
瞬态电磁脉冲可通过车辆互联线缆耦合至电子系统内部,造成电子设备受扰甚至损毁,研究瞬态防护器件对电磁脉冲的抑制特性可为车辆电磁防护设计与实施提供有力支撑。本文以发动机电控系统为研究对象,考虑关键金属结构、线缆与电子设备,建立发动机电磁仿真模型,计算获取了瞬态电磁脉冲作用下线缆端口耦合干扰特性;基于电磁脉冲注入方法设计并搭建了瞬态防护器件测试平台,获取了瞬态电压抑制器与压敏电阻两类典型瞬态防护器件的响应时间、钳位电压、尖峰泄露等响应特性;在仿真与测试结果的基础上,选取一型瞬态电压抑制器应用于凸轮轴位置传感器信号线的电磁防护。研究结果表明,该型瞬态电压抑制器对线缆瞬态电磁脉冲耦合干扰抑制能力接近20 dB,置于滤波器前端可有效抑制线缆耦合干扰,保护终端设备。
2021, 33: 123020.
doi: 10.11884/HPLPB202133.210235
摘要:
针对复杂电磁环境下毫米波阵列的空间辐射干扰抑制问题,设计了一种低成本的自适应波束成形系统。首先建立了复杂电磁环境下通信系统模型,建立目标函数。然后利用机器学习中支持向量机算法将原非凸约束问题转化为二阶锥优化问题,获得理想编码矢量。最后利用梯度追踪算法对理想波束矢量进行稀疏重构,完成抗干扰波束的低复杂度实现。仿真结果表明,提出的波束成形系统能够对干扰作出有效抑制,能提升通信质量。
针对复杂电磁环境下毫米波阵列的空间辐射干扰抑制问题,设计了一种低成本的自适应波束成形系统。首先建立了复杂电磁环境下通信系统模型,建立目标函数。然后利用机器学习中支持向量机算法将原非凸约束问题转化为二阶锥优化问题,获得理想编码矢量。最后利用梯度追踪算法对理想波束矢量进行稀疏重构,完成抗干扰波束的低复杂度实现。仿真结果表明,提出的波束成形系统能够对干扰作出有效抑制,能提升通信质量。
2021, 33: 123021.
doi: 10.11884/HPLPB202133.210240
摘要:
在太阳能电池效率的评价中,电池材料、掺杂浓度、扩散长度等都是比较重要的参数,合理地改变相关参数可以优化太阳能电池的性能,提高电池效率。此外,在太阳能电池表面镀一层具有减反作用的光学薄膜(简称减反膜)也是提高电池效率的重要手段。以提高电池效率为目标,对单晶硅太阳能电池的掺杂浓度和扩散长度等微观参数进行计算优化,分析了掺杂浓度和扩散长度变化对电池效率的影响。并在此基础上分析了不同类型的减反膜对于电池效率的影响,给出了最佳减反膜材料及其膜系厚度,并且结合镀膜后电池量子效率的变化验证了其准确性。结果表明,在优化电池掺杂浓度和扩散长度的基础上,选择合适的减反膜,电池效率最高可达20.35%,相比于优化前提高了8.25%。
在太阳能电池效率的评价中,电池材料、掺杂浓度、扩散长度等都是比较重要的参数,合理地改变相关参数可以优化太阳能电池的性能,提高电池效率。此外,在太阳能电池表面镀一层具有减反作用的光学薄膜(简称减反膜)也是提高电池效率的重要手段。以提高电池效率为目标,对单晶硅太阳能电池的掺杂浓度和扩散长度等微观参数进行计算优化,分析了掺杂浓度和扩散长度变化对电池效率的影响。并在此基础上分析了不同类型的减反膜对于电池效率的影响,给出了最佳减反膜材料及其膜系厚度,并且结合镀膜后电池量子效率的变化验证了其准确性。结果表明,在优化电池掺杂浓度和扩散长度的基础上,选择合适的减反膜,电池效率最高可达20.35%,相比于优化前提高了8.25%。
2021, 33: 123022.
doi: 10.11884/HPLPB202133.210387
摘要:
无人机在枯燥任务领域、恶劣环境任务领域和危险任务领域发挥巨大作用,由于其具有低成本、零伤亡、低费效比等特性,在现代战争中屡立战功。未来战争是智能化、信息化战争,人工智能在给无人机带来巨大变革的同时,系统运行的可靠性、安全性也越来越依赖于复杂电磁环境下信息的稳定传输与掌控。无人机在恶劣电磁环境下的生存能力、适应能力,乃至电磁制衡能力一定程度上引领信息化装备电磁攻防的发展趋势。综述无人机的电磁环境效应与电磁防护技术,阐述信息层面与能量层面的无人机电磁反制与电磁防护方法,以期从智能化角度实现无人机电磁攻防。
无人机在枯燥任务领域、恶劣环境任务领域和危险任务领域发挥巨大作用,由于其具有低成本、零伤亡、低费效比等特性,在现代战争中屡立战功。未来战争是智能化、信息化战争,人工智能在给无人机带来巨大变革的同时,系统运行的可靠性、安全性也越来越依赖于复杂电磁环境下信息的稳定传输与掌控。无人机在恶劣电磁环境下的生存能力、适应能力,乃至电磁制衡能力一定程度上引领信息化装备电磁攻防的发展趋势。综述无人机的电磁环境效应与电磁防护技术,阐述信息层面与能量层面的无人机电磁反制与电磁防护方法,以期从智能化角度实现无人机电磁攻防。
2021, 33: 123023.
doi: 10.11884/HPLPB202133.210224
摘要:
针对窄带高功率微波(HPM)效应试验的辐射场准确测试需求,分析补充了功率密度参数的测量不确定度主要分量,提出了一个参数更为全面的乘式测量不确定度评估模型。采用B类评估方法,根据相关标准和信息对各分量进行了一组赋值,计算得到了相对形式的分量标准不确定度。给出了评估测试环境影响、位置偏差等分量不确定度半宽度的实验方法,为HPM效应功率密度参数测量不确定度的合理评定提供了参考,为实现其全部分量基于实测数据客观评估测量不确定度提供了操作方法。
针对窄带高功率微波(HPM)效应试验的辐射场准确测试需求,分析补充了功率密度参数的测量不确定度主要分量,提出了一个参数更为全面的乘式测量不确定度评估模型。采用B类评估方法,根据相关标准和信息对各分量进行了一组赋值,计算得到了相对形式的分量标准不确定度。给出了评估测试环境影响、位置偏差等分量不确定度半宽度的实验方法,为HPM效应功率密度参数测量不确定度的合理评定提供了参考,为实现其全部分量基于实测数据客观评估测量不确定度提供了操作方法。
2021, 33: 123024.
doi: 10.11884/HPLPB202133.210384
摘要:
铌酸锂晶体材料具有较高的电光系数和稳定的物理、化学性质,广泛应用在各种电场传感器中。但是,铌酸锂晶体折射率对温度较为敏感,在使用最大电光效应方向时,由于自然双折射的存在,晶体工作点随温度漂移,一方面导致传感器无法稳定工作,另一方面也影响了传感器的灵敏度和动态范围。为了消除这一影响,探头中将使用长度相等、主轴正交的两块铌酸锂晶体,一块作为传感晶体,一块作为补偿晶体。由于补偿晶体的存在,传感器的自然双折射得到很大程度的抑制,温度稳定性也得到了改善。经实验对比,补偿之后的传感器工作状态稳定性比未补偿的传感器得到大幅提升。
铌酸锂晶体材料具有较高的电光系数和稳定的物理、化学性质,广泛应用在各种电场传感器中。但是,铌酸锂晶体折射率对温度较为敏感,在使用最大电光效应方向时,由于自然双折射的存在,晶体工作点随温度漂移,一方面导致传感器无法稳定工作,另一方面也影响了传感器的灵敏度和动态范围。为了消除这一影响,探头中将使用长度相等、主轴正交的两块铌酸锂晶体,一块作为传感晶体,一块作为补偿晶体。由于补偿晶体的存在,传感器的自然双折射得到很大程度的抑制,温度稳定性也得到了改善。经实验对比,补偿之后的传感器工作状态稳定性比未补偿的传感器得到大幅提升。
2021, 33: 123025.
doi: 10.11884/HPLPB202133.210310
摘要:
由于同轴电缆的低通传输特性,脉冲信号在同轴电缆中传输时不可避免地会出现畸变,并且畸变程度会随着脉冲信号频率、带宽以及传输距离的增加而增大。创新性地将图像处理领域中的一种图像复原方法——维纳滤波法应用于脉冲信号同轴电缆传输畸变补偿,仅利用同轴电缆的S参数和输出信号即可完成输入信号的重构。并以10 m同轴电缆为对象,采用该方法分别对双指数脉冲信号、高斯调制脉冲信号、调制方波信号进行传输畸变补偿。结果表明:对于不同样式的信号,该方法均具有优异的补偿性能;并且,与工程上常用的衰减补偿法相比,该方法不仅补偿精度高,还具有高的计算效率,在同轴电缆脉冲信号传输畸变补偿中具有很好的实用价值。
由于同轴电缆的低通传输特性,脉冲信号在同轴电缆中传输时不可避免地会出现畸变,并且畸变程度会随着脉冲信号频率、带宽以及传输距离的增加而增大。创新性地将图像处理领域中的一种图像复原方法——维纳滤波法应用于脉冲信号同轴电缆传输畸变补偿,仅利用同轴电缆的S参数和输出信号即可完成输入信号的重构。并以10 m同轴电缆为对象,采用该方法分别对双指数脉冲信号、高斯调制脉冲信号、调制方波信号进行传输畸变补偿。结果表明:对于不同样式的信号,该方法均具有优异的补偿性能;并且,与工程上常用的衰减补偿法相比,该方法不仅补偿精度高,还具有高的计算效率,在同轴电缆脉冲信号传输畸变补偿中具有很好的实用价值。

Email alert
RSS
