2024年 36卷 第5期
推荐文章
2024, 36: 055001.
doi: 10.11884/HPLPB202436.240053
2024, 36: 055004.
doi: 10.11884/HPLPB202436.240020
2024, 36: 055020.
doi: 10.11884/HPLPB202436.240042
显示方式:
2024, 36: 055001.
doi: 10.11884/HPLPB202436.240053
摘要:
基于实用的观点综述性地归纳了小型脉冲功率发生器的主要电路方法,从电路的储能原理和电压叠加到开关单元设计及控制信号的产生技术。以作者的实际工作内容为主,用具体的电路实例介绍了几种脉冲功率电路的基本结构和主要结果。这些电路包括:电容储能Marx发生器,电感储能Marx发生器,混合储能Marx发生器,电容储能直线型变压器驱动器(LTD)和电感储能LTD。
基于实用的观点综述性地归纳了小型脉冲功率发生器的主要电路方法,从电路的储能原理和电压叠加到开关单元设计及控制信号的产生技术。以作者的实际工作内容为主,用具体的电路实例介绍了几种脉冲功率电路的基本结构和主要结果。这些电路包括:电容储能Marx发生器,电感储能Marx发生器,混合储能Marx发生器,电容储能直线型变压器驱动器(LTD)和电感储能LTD。
2024, 36: 055002.
doi: 10.11884/HPLPB202436.230341
摘要:
基于感应电压叠加器感应腔角向传输线电流探头离线标定的需求,设计了离线标定平台。离线标定平台为平板传输线结构,与在线标定相比,对标定信号的畸变更低。分析了跨平台标定误差的来源,并针对性提出降低误差的措施。分析表明,安装偏心及探头纵向安装深度是跨平台标定误差的最大来源,需要在工程设计中重点关注。实际建立了离线标定平台并开展误差分析,得到跨平台标定误差3.3%的结果。
基于感应电压叠加器感应腔角向传输线电流探头离线标定的需求,设计了离线标定平台。离线标定平台为平板传输线结构,与在线标定相比,对标定信号的畸变更低。分析了跨平台标定误差的来源,并针对性提出降低误差的措施。分析表明,安装偏心及探头纵向安装深度是跨平台标定误差的最大来源,需要在工程设计中重点关注。实际建立了离线标定平台并开展误差分析,得到跨平台标定误差3.3%的结果。
2024, 36: 055003.
doi: 10.11884/HPLPB202436.230360
摘要:
为了增大输出电压的同时减小高压阻尼振荡发生器的体积和降低其成本,建立了一种4×4级间自触发Marx结构的阻尼振荡发生器模型。该模型每级的主开关采用基于电容触发方式的串联IGBT模块,只需提供一路隔离信号控制一级放电开关管的导通和关断,通过级间电容实现对相邻级放电管的栅极自动充电和放电,使其导通和关断。该模型提高了Marx单级的工作电压和简化了每级的驱动电路,并且通过加入缓冲电路,解决开关管动态、静态均压问题。基于这种拓扑结构搭建了一台高压阻尼振荡发生器样机,在电感负载上输出16 kV、振荡频率1 MHz的阻尼振荡波形,波形上升时间约为75 ns,重复频率500 Hz。样机体积小巧、工作稳定,验证了该方案的可行性。
为了增大输出电压的同时减小高压阻尼振荡发生器的体积和降低其成本,建立了一种4×4级间自触发Marx结构的阻尼振荡发生器模型。该模型每级的主开关采用基于电容触发方式的串联IGBT模块,只需提供一路隔离信号控制一级放电开关管的导通和关断,通过级间电容实现对相邻级放电管的栅极自动充电和放电,使其导通和关断。该模型提高了Marx单级的工作电压和简化了每级的驱动电路,并且通过加入缓冲电路,解决开关管动态、静态均压问题。基于这种拓扑结构搭建了一台高压阻尼振荡发生器样机,在电感负载上输出16 kV、振荡频率1 MHz的阻尼振荡波形,波形上升时间约为75 ns,重复频率500 Hz。样机体积小巧、工作稳定,验证了该方案的可行性。
2024, 36: 055004.
doi: 10.11884/HPLPB202436.240020
摘要:
闪光X射线照相常用来拍摄高速运动物体的内部结构与流体动力学行为,也逐渐拓展到工业探伤、精密系统状态检测等领域。概述了小型闪光X射线机的研究历程与进展,包括Marx发生器、脉冲形成线、快脉冲直线型变压器、高压变压器4种主要技术路线与开关、X射线二极管2种关键元器件,讨论了小型闪光X射线照相系统的研究现状,探究了国外成熟的商业小型X光机与国内商业产品的不足,分析了小型闪光X光机将来的发展趋势,为小型闪光X射线机的研发和商业普及探索提供参考。
闪光X射线照相常用来拍摄高速运动物体的内部结构与流体动力学行为,也逐渐拓展到工业探伤、精密系统状态检测等领域。概述了小型闪光X射线机的研究历程与进展,包括Marx发生器、脉冲形成线、快脉冲直线型变压器、高压变压器4种主要技术路线与开关、X射线二极管2种关键元器件,讨论了小型闪光X射线照相系统的研究现状,探究了国外成熟的商业小型X光机与国内商业产品的不足,分析了小型闪光X光机将来的发展趋势,为小型闪光X射线机的研发和商业普及探索提供参考。
2024, 36: 055005.
doi: 10.11884/HPLPB202436.230306
摘要:
随着高压纳秒固态脉冲发生器在生物、工业和环境等领域的应用日益广泛和深入,脉冲波形、电压幅值、脉冲持续时间、脉冲重复频率等参数已成为特定脉冲功率应用所需的基本可控变量。为了进一步减小电源的体积、降低成本,提出一款以正极性Marx为主电路、多个脉冲变压器为核心驱动器、具有纳秒级前沿高重复频率的高压纳秒脉冲调制器。提出的驱动器结构紧凑,无需提供多路隔离供电的驱动电源,可以在高重复频率下实现两个金属氧化物半导体场效应晶体管(MOSFETs)的栅极电压快速同步上升和下降,获得百纳秒以内、幅值可控的栅极驱动电压。不仅最大脉宽不受磁芯饱和的限制,而且负偏置电压使开关管可控关断,同时在一定程度上避免了电流流过MOSFET米勒电容而引起的寄生导通,提高了电路工作的可靠性。此外,研究了不同匝数和磁芯材料对驱动波形的影响。搭建了一台14级脉冲调制器样机,测试结果表明,基于该驱动器下的调制器输出电压和脉宽都连续可调,具有改变脉冲轮廓的能力,最大输出电压可达5.5 kV,脉宽调节范围为100 ns~50 ms,最小上升时间约18 ns,重复频率为100 kHz。
随着高压纳秒固态脉冲发生器在生物、工业和环境等领域的应用日益广泛和深入,脉冲波形、电压幅值、脉冲持续时间、脉冲重复频率等参数已成为特定脉冲功率应用所需的基本可控变量。为了进一步减小电源的体积、降低成本,提出一款以正极性Marx为主电路、多个脉冲变压器为核心驱动器、具有纳秒级前沿高重复频率的高压纳秒脉冲调制器。提出的驱动器结构紧凑,无需提供多路隔离供电的驱动电源,可以在高重复频率下实现两个金属氧化物半导体场效应晶体管(MOSFETs)的栅极电压快速同步上升和下降,获得百纳秒以内、幅值可控的栅极驱动电压。不仅最大脉宽不受磁芯饱和的限制,而且负偏置电压使开关管可控关断,同时在一定程度上避免了电流流过MOSFET米勒电容而引起的寄生导通,提高了电路工作的可靠性。此外,研究了不同匝数和磁芯材料对驱动波形的影响。搭建了一台14级脉冲调制器样机,测试结果表明,基于该驱动器下的调制器输出电压和脉宽都连续可调,具有改变脉冲轮廓的能力,最大输出电压可达5.5 kV,脉宽调节范围为100 ns~50 ms,最小上升时间约18 ns,重复频率为100 kHz。
2024, 36: 055006.
doi: 10.11884/HPLPB202436.230295
摘要:
LC串联谐振式高压恒流充电电源能够实现电容器的高效快速充电,且具有较好的抗负载短路能力,在高重频脉冲功率系统中具有广阔的应用前景。充电电源的效率是决定系统重频运行能力的重要因素,提高效率是目前高压电容器充电电源设计的首要目标。根据LC串联谐振电路的工作原理,分析可知电源工作模式、逆变桥的开关频率以及高频变压器的分布参数是影响LC串联谐振电源效率的主要因素。针对功率为10 kW、输出电压为40 kV的直流电源,计算主电路参数并利用Pspice建立了电路模型验证其准确性,采用软开关技术减小开关损耗,设计了分布参数较小的高频变压器进一步提高效率,并在此基础上完成了电源整体结构设计。最后测试了电源的充电特性,结果表明该电源可将0.1 µF电容器在37 ms内充电至39.5 kV,其充电效率为87.1%。
LC串联谐振式高压恒流充电电源能够实现电容器的高效快速充电,且具有较好的抗负载短路能力,在高重频脉冲功率系统中具有广阔的应用前景。充电电源的效率是决定系统重频运行能力的重要因素,提高效率是目前高压电容器充电电源设计的首要目标。根据LC串联谐振电路的工作原理,分析可知电源工作模式、逆变桥的开关频率以及高频变压器的分布参数是影响LC串联谐振电源效率的主要因素。针对功率为10 kW、输出电压为40 kV的直流电源,计算主电路参数并利用Pspice建立了电路模型验证其准确性,采用软开关技术减小开关损耗,设计了分布参数较小的高频变压器进一步提高效率,并在此基础上完成了电源整体结构设计。最后测试了电源的充电特性,结果表明该电源可将0.1 µF电容器在37 ms内充电至39.5 kV,其充电效率为87.1%。
2024, 36: 055007.
doi: 10.11884/HPLPB202436.240022
摘要:
亚纳秒前沿、数百伏幅度、近似高斯单周波的重频窄脉冲信号源在超宽带探测、电磁兼容测试等领域有着十分广泛的应用。设计了一种全固态Marx电路结构型重频脉冲信号源,选用云母电容、雪崩三极管、贴片电阻、电感等元器件,根据信号输出要求优化印制电路板(PCB)布局及微带线结构,调整匹配电路元件参数,在50 Ω电阻负载上获得了脉冲峰值约1 kV、脉宽约650 ps、前沿约450 ps、后沿约700 ps的单极性负脉冲信号,脉冲波形前后沿相似且光滑陡峭,实现了10 kHz重频输出,波形峰值抖动和半高宽抖动均小于10%。
亚纳秒前沿、数百伏幅度、近似高斯单周波的重频窄脉冲信号源在超宽带探测、电磁兼容测试等领域有着十分广泛的应用。设计了一种全固态Marx电路结构型重频脉冲信号源,选用云母电容、雪崩三极管、贴片电阻、电感等元器件,根据信号输出要求优化印制电路板(PCB)布局及微带线结构,调整匹配电路元件参数,在50 Ω电阻负载上获得了脉冲峰值约1 kV、脉宽约650 ps、前沿约450 ps、后沿约700 ps的单极性负脉冲信号,脉冲波形前后沿相似且光滑陡峭,实现了10 kHz重频输出,波形峰值抖动和半高宽抖动均小于10%。
2024, 36: 055008.
doi: 10.11884/HPLPB202436.240045
摘要:
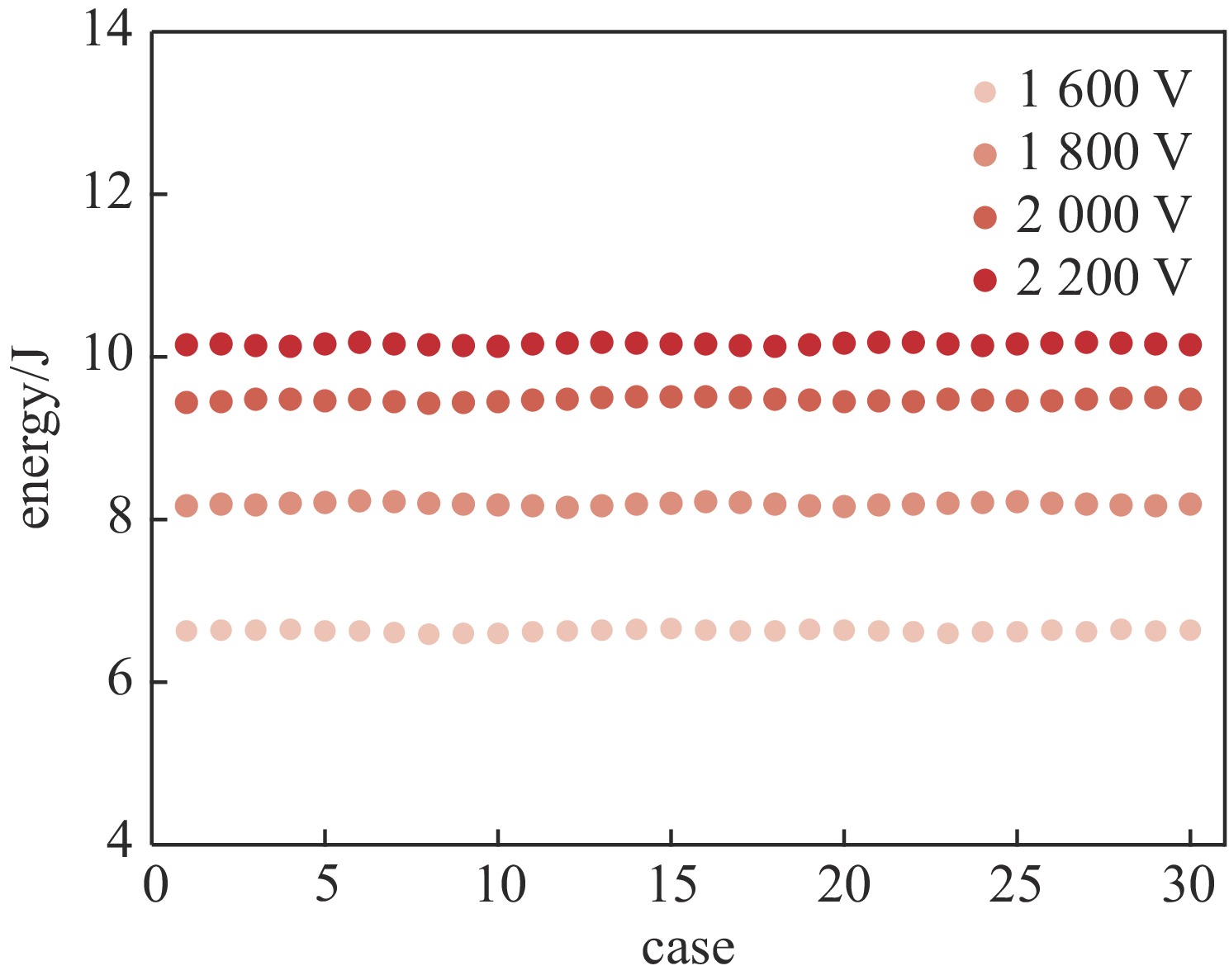
根据YAG激光器对大功率高能量脉冲电源的应用需求,设计了一种大功率脉冲激光电源,可实现高脉冲能量重复频率输出及充电电压灵活调控。前级充电网络采用串联LC谐振变换器,后级脉冲形成网络选择晶闸管触发LC放电电路。最终,研制了1台7 kW实验样机,最大重复频率10 Hz,最高充电电压2.2 kV,可实现单脉冲最高700 J电能输出,满足大功率高能脉冲输出的应用需求,实验测试结果验证了设计的可行性。
根据YAG激光器对大功率高能量脉冲电源的应用需求,设计了一种大功率脉冲激光电源,可实现高脉冲能量重复频率输出及充电电压灵活调控。前级充电网络采用串联LC谐振变换器,后级脉冲形成网络选择晶闸管触发LC放电电路。最终,研制了1台7 kW实验样机,最大重复频率10 Hz,最高充电电压2.2 kV,可实现单脉冲最高700 J电能输出,满足大功率高能脉冲输出的应用需求,实验测试结果验证了设计的可行性。
2024, 36: 055009.
doi: 10.11884/HPLPB202436.230420
摘要:
闪光X射线摄影技术在军事和民用等多个领域具有重要场景。针对重频直线感应加速器高重频的要求,提出了基于氢闸流管驱动三同轴电缆Blumlein线的脉冲功率源方案,设计和研制了一种三同轴电缆,研究了氢闸流管的导通特性,搭建了氢闸流管驱动三同轴电缆Blumlein线脉冲功率源的验证平台,开展了kHz重频脉冲功率源实验研究,以及kHz重频脉冲功率源驱动重频感应腔的实验研究,结果表明:基于氢闸流管驱动三同轴电缆Blumlein线脉冲功率源实现了波形品质优异的kHz重频方波脉冲输出。
闪光X射线摄影技术在军事和民用等多个领域具有重要场景。针对重频直线感应加速器高重频的要求,提出了基于氢闸流管驱动三同轴电缆Blumlein线的脉冲功率源方案,设计和研制了一种三同轴电缆,研究了氢闸流管的导通特性,搭建了氢闸流管驱动三同轴电缆Blumlein线脉冲功率源的验证平台,开展了kHz重频脉冲功率源实验研究,以及kHz重频脉冲功率源驱动重频感应腔的实验研究,结果表明:基于氢闸流管驱动三同轴电缆Blumlein线脉冲功率源实现了波形品质优异的kHz重频方波脉冲输出。
2024, 36: 055010.
doi: 10.11884/HPLPB202436.230347
摘要:
为了满足多路精确同步触发开关要求,将光导开关(PCSS)与V/N气体开关结合,可充分发挥PCSS低触发阈值、低抖动和光电隔离以及V/N气体开关工作电压高、带载能力强等优势。两种开关结合的核心是V/N气体开关结构参数与PCSS触发回路的参数匹配。分析计算了V/N气体开关的结构电容、触发回路振荡参数、开关电场分布等,研究了V/N气体开关的结构电容与PCSS、串联电感等构成的振荡回路的匹配关系,通过实验获得了V/N气体开关自击穿电压曲线、导通延迟时间以及不同欠压比下的延迟时间抖动等,初步验证了适用于PCSS触发的V/N气体开关设计。
为了满足多路精确同步触发开关要求,将光导开关(PCSS)与V/N气体开关结合,可充分发挥PCSS低触发阈值、低抖动和光电隔离以及V/N气体开关工作电压高、带载能力强等优势。两种开关结合的核心是V/N气体开关结构参数与PCSS触发回路的参数匹配。分析计算了V/N气体开关的结构电容、触发回路振荡参数、开关电场分布等,研究了V/N气体开关的结构电容与PCSS、串联电感等构成的振荡回路的匹配关系,通过实验获得了V/N气体开关自击穿电压曲线、导通延迟时间以及不同欠压比下的延迟时间抖动等,初步验证了适用于PCSS触发的V/N气体开关设计。
2024, 36: 055011.
doi: 10.11884/HPLPB202436.240040
摘要:
实验研究了氢闸流管的工作特性以及均压处理的优化效果。实验发现加热电压对氢闸流管的工作特性影响较大,在不出现自放电的前提下,使用更高的加热电压能够获得更好的导通性能。触发脉冲的差异以及不同的阳极电压对氢闸流管的导通性能基本无影响。采用电阻对氢闸流管进行均压,能够使其电压分布更加均匀,并且对自放电现象有一些改善。该研究为氢闸流管的使用提供了参考。
实验研究了氢闸流管的工作特性以及均压处理的优化效果。实验发现加热电压对氢闸流管的工作特性影响较大,在不出现自放电的前提下,使用更高的加热电压能够获得更好的导通性能。触发脉冲的差异以及不同的阳极电压对氢闸流管的导通性能基本无影响。采用电阻对氢闸流管进行均压,能够使其电压分布更加均匀,并且对自放电现象有一些改善。该研究为氢闸流管的使用提供了参考。
2024, 36: 055012.
doi: 10.11884/HPLPB202436.240036
摘要:
伪火花开关是工作在帕邢曲线左支的低气压开关,具有纳秒级击穿时间、百千安级脉冲电流、工作寿命长等特点。具有高重频性能的伪火花开关民用领域以及军事领域均有广泛的应用需求。基于双脉冲辉光放电触发结构,设计出一种具有重频能力的伪火花开关;在10 kV阳极电压下进行了整管测试,观察不同气压,预、主触发电压对重频性能以及触发性能的影响;结合仿真软件计算不同气压与触发电压下,触发电流的变化,最终总结了两个脉冲对触发过程的影响。测试结果表明,最低仅100 V触发电压,开关重复频率即可从沿面放电触发的100 Hz提升至400 Hz。
伪火花开关是工作在帕邢曲线左支的低气压开关,具有纳秒级击穿时间、百千安级脉冲电流、工作寿命长等特点。具有高重频性能的伪火花开关民用领域以及军事领域均有广泛的应用需求。基于双脉冲辉光放电触发结构,设计出一种具有重频能力的伪火花开关;在10 kV阳极电压下进行了整管测试,观察不同气压,预、主触发电压对重频性能以及触发性能的影响;结合仿真软件计算不同气压与触发电压下,触发电流的变化,最终总结了两个脉冲对触发过程的影响。测试结果表明,最低仅100 V触发电压,开关重复频率即可从沿面放电触发的100 Hz提升至400 Hz。
2024, 36: 055013.
doi: 10.11884/HPLPB202436.230371
摘要:
为降低气体放电间隙直流条件下自击穿电压分散性,尽可能不影响其自击穿电压,基于环形电极放电间隙,设计了一种在阴极中心植入辅助放电针的辅助放电电极结构。通过电场仿真,研究了辅助放电针直径、长度和顶部倒角对放电间隙场畸变的影响。实验研究了放电间隙无辅助放电针和植入辅助放电针后,其在干燥空气和SF6气体中的直流自击穿特性。结果表明:辅助放电针直径越小、长度越长,电极环对其电场屏蔽作用越弱,放电间隙场畸变强度越大;辅助放电针对SF6气体放电间隙直流自击穿电压影响较小,随着场畸变系数的增大,同一气压下干燥空气自击穿电压下降百分数为SF6气体自击穿电压下降百分数的2~3倍;辅助放电针对直流条件下干燥空气和SF6气体放电间隙自击穿电压稳定性具有有益作用,分散性减小百分数较无辅助放电针结构均提高约25%。
为降低气体放电间隙直流条件下自击穿电压分散性,尽可能不影响其自击穿电压,基于环形电极放电间隙,设计了一种在阴极中心植入辅助放电针的辅助放电电极结构。通过电场仿真,研究了辅助放电针直径、长度和顶部倒角对放电间隙场畸变的影响。实验研究了放电间隙无辅助放电针和植入辅助放电针后,其在干燥空气和SF6气体中的直流自击穿特性。结果表明:辅助放电针直径越小、长度越长,电极环对其电场屏蔽作用越弱,放电间隙场畸变强度越大;辅助放电针对SF6气体放电间隙直流自击穿电压影响较小,随着场畸变系数的增大,同一气压下干燥空气自击穿电压下降百分数为SF6气体自击穿电压下降百分数的2~3倍;辅助放电针对直流条件下干燥空气和SF6气体放电间隙自击穿电压稳定性具有有益作用,分散性减小百分数较无辅助放电针结构均提高约25%。
2024, 36: 055014.
doi: 10.11884/HPLPB202436.230392
摘要:
针对自触发预电离开关在不同电压等级下应用不同气体介质的需要,以及在双边驱动电磁脉冲模拟器中加载正负极性脉冲的需求,研究了预电离间隙在N2、N2/SF6混合气和SF6中正负极性下的击穿特性。研究了不同介质中间隙的击穿电压和时延随气压的变化规律,对比了正负极性下的间隙击穿特性。研究结果表明,在本文实验条件下,预电离间隙在N2中的击穿过程相对更为稳定,且N2中击穿电压随气压变化线性度最佳。相比N2和混合气,间隙击穿电压仅在SF6中随气压增大呈现饱和趋势。在一定气压范围内,N2在负极性下的击穿电压略高于正极性,混合气和SF6中负极性下的击穿电压明显高于正极性,间隙的击穿过程具有一定的极性效应。相比混合气和N2,间隙在SF6中的正负极性击穿电压绝对差值和击穿时延绝对差值都相对较高,为减小双边自触发预电离开关的同步时延差,应首选N2为预电离间隙的绝缘介质。在工程应用中需考虑极性效应和不同气体介质对预电离间隙击穿特性的影响。
针对自触发预电离开关在不同电压等级下应用不同气体介质的需要,以及在双边驱动电磁脉冲模拟器中加载正负极性脉冲的需求,研究了预电离间隙在N2、N2/SF6混合气和SF6中正负极性下的击穿特性。研究了不同介质中间隙的击穿电压和时延随气压的变化规律,对比了正负极性下的间隙击穿特性。研究结果表明,在本文实验条件下,预电离间隙在N2中的击穿过程相对更为稳定,且N2中击穿电压随气压变化线性度最佳。相比N2和混合气,间隙击穿电压仅在SF6中随气压增大呈现饱和趋势。在一定气压范围内,N2在负极性下的击穿电压略高于正极性,混合气和SF6中负极性下的击穿电压明显高于正极性,间隙的击穿过程具有一定的极性效应。相比混合气和N2,间隙在SF6中的正负极性击穿电压绝对差值和击穿时延绝对差值都相对较高,为减小双边自触发预电离开关的同步时延差,应首选N2为预电离间隙的绝缘介质。在工程应用中需考虑极性效应和不同气体介质对预电离间隙击穿特性的影响。
2024, 36: 055015.
doi: 10.11884/HPLPB202436.230337
摘要:
基于高重复频率强流多脉冲加速器的应用需求,针对交联聚苯乙烯(XLPS)材料在猝发多脉冲下的真空沿面闪络特性开展了实验研究。采用放置于平板电极中的XLPS圆台样品,在脉宽120 ns的单个脉冲和间隔500 ns的三脉冲加载下开展了真空沿面闪络实验,通过对实验平台和实验规范的优化设计,有效提升了实验效率和数据有效性,观测到了样品发生真空沿面闪络前的试样电压顶降现象和前序脉冲闪络对后续脉冲的显著影响,获得了XLPS材料在相应条件下真空沿面闪络的统计数据。在实验基础上,对XLPS材料在高重复频率多脉冲加载下的真空沿面闪络特性进行了分析,为高重复频率多脉冲加速器的绝缘设计提供了实验依据。
基于高重复频率强流多脉冲加速器的应用需求,针对交联聚苯乙烯(XLPS)材料在猝发多脉冲下的真空沿面闪络特性开展了实验研究。采用放置于平板电极中的XLPS圆台样品,在脉宽120 ns的单个脉冲和间隔500 ns的三脉冲加载下开展了真空沿面闪络实验,通过对实验平台和实验规范的优化设计,有效提升了实验效率和数据有效性,观测到了样品发生真空沿面闪络前的试样电压顶降现象和前序脉冲闪络对后续脉冲的显著影响,获得了XLPS材料在相应条件下真空沿面闪络的统计数据。在实验基础上,对XLPS材料在高重复频率多脉冲加载下的真空沿面闪络特性进行了分析,为高重复频率多脉冲加速器的绝缘设计提供了实验依据。
2024, 36: 055016.
doi: 10.11884/HPLPB202436.230410
摘要:
为解决绝缘堆真空沿面闪络的问题,研制了面向脉冲功率装置应用的真空绝缘堆耐压考核实验平台,建立了绝缘堆考核实验平台等效电路模型,分析了真空绝缘堆环间闪络对绝缘堆电压的影响。基于该平台开展了三种材料绝缘堆的真空沿面耐压考核实验,验证了真空绝缘堆考核实验平台的实用性与可靠性。该工作的开展为脉冲功率装置真空绝缘堆的工程化研制提供参考,同时为新型绝缘材料的应用研究提供考核实验平台。
为解决绝缘堆真空沿面闪络的问题,研制了面向脉冲功率装置应用的真空绝缘堆耐压考核实验平台,建立了绝缘堆考核实验平台等效电路模型,分析了真空绝缘堆环间闪络对绝缘堆电压的影响。基于该平台开展了三种材料绝缘堆的真空沿面耐压考核实验,验证了真空绝缘堆考核实验平台的实用性与可靠性。该工作的开展为脉冲功率装置真空绝缘堆的工程化研制提供参考,同时为新型绝缘材料的应用研究提供考核实验平台。
2024, 36: 055017.
doi: 10.11884/HPLPB202436.230423
摘要:
为研究绝缘子表面二级微结构的耐压提升机制,将表面二级微结构拆分为两种子结构,也即是表面微孔结构与表面微槽结构,并通过复合材料制备、激光处理、酸液选择性腐蚀等方式制备出表面二级微结构与相应的两种子结构。对三种结构分别进行沿面耐压性能测试,结果表明表面微孔与表面微槽均能有效地提升绝缘子的真空沿面耐压性能,而二者组合形成的表面二级微结构能够进一步提升绝缘子的真空沿面耐压性能。该结果表明通过将表面结构进行合理的组合能够实现对绝缘子表面闪络发展的多重、协同抑制,进一步提升绝缘子的真空沿面耐压水平。
为研究绝缘子表面二级微结构的耐压提升机制,将表面二级微结构拆分为两种子结构,也即是表面微孔结构与表面微槽结构,并通过复合材料制备、激光处理、酸液选择性腐蚀等方式制备出表面二级微结构与相应的两种子结构。对三种结构分别进行沿面耐压性能测试,结果表明表面微孔与表面微槽均能有效地提升绝缘子的真空沿面耐压性能,而二者组合形成的表面二级微结构能够进一步提升绝缘子的真空沿面耐压性能。该结果表明通过将表面结构进行合理的组合能够实现对绝缘子表面闪络发展的多重、协同抑制,进一步提升绝缘子的真空沿面耐压水平。
2024, 36: 055018.
doi: 10.11884/HPLPB202436.230285
摘要:
针对时域天线辐射效率低的问题,对Ricker脉冲展开了研究。首先指出Ricker脉冲具有较高的中心频率,对提高天线的辐射效率大有裨益。然后从时延量精确控制出发,阐述了产生Ricker脉冲的功率合成方法,并推导出合成高阶高斯脉冲最优延时的理论公式。设计了一款单极脉冲源并采用锐化电容法优化了其下降沿,并以该单级脉冲源为基础,设计了一款峰峰值为5.1 kV,主峰半峰值脉宽为350 ps的Ricker脉冲源,其中心频率为0.5 GHz。为了验证以上分析的正确性,针对全金属的时域天线,提出了一种计算辐射效率的简便方法,并利用设计的Ricker脉冲和具有相同脉宽的单极脉冲来激励相同的天线。结果表明,单极脉冲的幅度辐射效率只有60%左右,而Ricker脉冲可以达到80%以上;单极脉冲的功率辐射效率不到40%,而Ricker脉冲则可以提高到60%以上。利用Ricker脉冲做为激励信号,大幅提升了天线的辐射效率,大大减小了发射系统被反射功率损坏的风险,同时对天线小型化有着重要意义,在诸如探地雷达、高功率微波源等时域应用中具有广泛的应用前景。
针对时域天线辐射效率低的问题,对Ricker脉冲展开了研究。首先指出Ricker脉冲具有较高的中心频率,对提高天线的辐射效率大有裨益。然后从时延量精确控制出发,阐述了产生Ricker脉冲的功率合成方法,并推导出合成高阶高斯脉冲最优延时的理论公式。设计了一款单极脉冲源并采用锐化电容法优化了其下降沿,并以该单级脉冲源为基础,设计了一款峰峰值为5.1 kV,主峰半峰值脉宽为350 ps的Ricker脉冲源,其中心频率为0.5 GHz。为了验证以上分析的正确性,针对全金属的时域天线,提出了一种计算辐射效率的简便方法,并利用设计的Ricker脉冲和具有相同脉宽的单极脉冲来激励相同的天线。结果表明,单极脉冲的幅度辐射效率只有60%左右,而Ricker脉冲可以达到80%以上;单极脉冲的功率辐射效率不到40%,而Ricker脉冲则可以提高到60%以上。利用Ricker脉冲做为激励信号,大幅提升了天线的辐射效率,大大减小了发射系统被反射功率损坏的风险,同时对天线小型化有着重要意义,在诸如探地雷达、高功率微波源等时域应用中具有广泛的应用前景。
2024, 36: 055019.
doi: 10.11884/HPLPB202436.230354
摘要:
针对低磁场相对论磁控管高功率微波器件实验驱动需求,对基于脉冲形成网络(PFN)储能的高功率脉冲产生技术进行了研究。为了使其结构紧凑且具有较好的输出脉冲波形,设计了半环形PFN脉冲形成单元,两个半环形带状PFN与一体化开关、绝缘盘组成圆环形高压脉冲产生模块。PFN脉冲形成单元由13个陶瓷电容与半环形金属电极板构成,多个高压脉冲产生模块同轴层叠,所有开关导通后各模块PFN串联放电,产生快前沿高功率方波脉冲,再通过对触发开关和充电电源的同步控制实现重频工作。采用电磁仿真软件对PFN物理结构进行优化设计,研制的高压脉冲产生模块充电51 kV在负载8.5 Ω上输出电压峰值49.6 kV、脉冲半高宽108 ns、脉冲前沿14 ns、平顶(90%~90%)74 ns,具有较好的方波特性;11个高压脉冲产生模块层叠集成为1个22级紧凑PFN-Marx装置,在充电51 kV的条件下,84 Ω负载上获得峰值516 kV的高电压脉冲输出,半高宽104 ns、平顶63 ns、脉冲前沿11 ns,实现了20 Hz连续15 s重频稳定工作,输出波形完全一致。
针对低磁场相对论磁控管高功率微波器件实验驱动需求,对基于脉冲形成网络(PFN)储能的高功率脉冲产生技术进行了研究。为了使其结构紧凑且具有较好的输出脉冲波形,设计了半环形PFN脉冲形成单元,两个半环形带状PFN与一体化开关、绝缘盘组成圆环形高压脉冲产生模块。PFN脉冲形成单元由13个陶瓷电容与半环形金属电极板构成,多个高压脉冲产生模块同轴层叠,所有开关导通后各模块PFN串联放电,产生快前沿高功率方波脉冲,再通过对触发开关和充电电源的同步控制实现重频工作。采用电磁仿真软件对PFN物理结构进行优化设计,研制的高压脉冲产生模块充电51 kV在负载8.5 Ω上输出电压峰值49.6 kV、脉冲半高宽108 ns、脉冲前沿14 ns、平顶(90%~90%)74 ns,具有较好的方波特性;11个高压脉冲产生模块层叠集成为1个22级紧凑PFN-Marx装置,在充电51 kV的条件下,84 Ω负载上获得峰值516 kV的高电压脉冲输出,半高宽104 ns、平顶63 ns、脉冲前沿11 ns,实现了20 Hz连续15 s重频稳定工作,输出波形完全一致。
2024, 36: 055020.
doi: 10.11884/HPLPB202436.240042
摘要:
高空电磁脉冲作为一种广域电磁攻击手段,能对电力设备造成较大冲击,甚至造成电力基础设施瘫痪,严重威胁新型电力系统安全。主要聚焦国内外高空电磁脉冲晚期环境下电力系统效应研究进展。首先,分析了高空电磁脉冲晚期环境下地磁扰动产生机理及感应地电场计算方法,建立了极端地磁感应电流的计算模型。其次,归纳了极端地磁感应电流注入情况下电力变压器、互感器、断路器等典型易损设备效应特征与机理。进一步地,分析了高空电磁脉冲晚期环境极下端地磁感应电流模拟注入装置和效应试验方法,总结了美国国防威胁降低局、美国电力研究院项目等相关试验和电力系统效应仿真与评估研究。最后,从高空电磁脉冲晚期环境效应机理、典型设备效应特征、模拟效应试验和系统级效应评估等层面总结了现有研究结论,梳理了下一步发展方向。
高空电磁脉冲作为一种广域电磁攻击手段,能对电力设备造成较大冲击,甚至造成电力基础设施瘫痪,严重威胁新型电力系统安全。主要聚焦国内外高空电磁脉冲晚期环境下电力系统效应研究进展。首先,分析了高空电磁脉冲晚期环境下地磁扰动产生机理及感应地电场计算方法,建立了极端地磁感应电流的计算模型。其次,归纳了极端地磁感应电流注入情况下电力变压器、互感器、断路器等典型易损设备效应特征与机理。进一步地,分析了高空电磁脉冲晚期环境极下端地磁感应电流模拟注入装置和效应试验方法,总结了美国国防威胁降低局、美国电力研究院项目等相关试验和电力系统效应仿真与评估研究。最后,从高空电磁脉冲晚期环境效应机理、典型设备效应特征、模拟效应试验和系统级效应评估等层面总结了现有研究结论,梳理了下一步发展方向。
2024, 36: 055021.
doi: 10.11884/HPLPB202436.230432
摘要:
针对高压脉冲放电破岩电弧等离子体通道长度难以预测的问题,构建了高压脉冲放电破岩综合试验平台,测量了花岗岩-自来水组合介质下电弧等离子体通道发展特性及典型电流、电压参数,提取了不同电极间距和脉冲放电次数下岩石表面形成的破碎区域。基于能量平衡方程建立了岩石中电弧等离子体通道的阻抗模型,采用迭代优化算法获取阻抗模型参数的近似最优解,模型计算结果与试验结果的相对误差小于7%。基于优化参数,利用实测电流电压数据预测了等离子体通道的长度。模型预测的等离子体通道长度与实测值的绝对误差均处于毫米量级,且两者的相对误差小于10%,为高压脉冲放电破岩系统电源-电极负载的匹配设计提供了理论支撑。
针对高压脉冲放电破岩电弧等离子体通道长度难以预测的问题,构建了高压脉冲放电破岩综合试验平台,测量了花岗岩-自来水组合介质下电弧等离子体通道发展特性及典型电流、电压参数,提取了不同电极间距和脉冲放电次数下岩石表面形成的破碎区域。基于能量平衡方程建立了岩石中电弧等离子体通道的阻抗模型,采用迭代优化算法获取阻抗模型参数的近似最优解,模型计算结果与试验结果的相对误差小于7%。基于优化参数,利用实测电流电压数据预测了等离子体通道的长度。模型预测的等离子体通道长度与实测值的绝对误差均处于毫米量级,且两者的相对误差小于10%,为高压脉冲放电破岩系统电源-电极负载的匹配设计提供了理论支撑。
2024, 36: 055022.
doi: 10.11884/HPLPB202436.230342
摘要:
针对柴油发电机组-三相不控整流器-DC/DC变换器-脉冲负载系统中柴油发电机组的输出特性,提出仿真模型与试验电源输出电压(流)波形契合度的评价指标,以判断模型的仿真程度;提出了基于反向(BP)传播神经网络算法的同步发电机励磁电压输出动态限幅方法,应用于脉冲负载下柴油发电机组的模型优化。试验验证表明:27组算例中,初始仿真模型有18组波形实时契合度值不足90%,优化仿真模型27组值均大于90%。说明本文提出的优化方法使仿真模型比初始模型更加有效,可应用于后续柴油发电机组带脉冲负载系统的研究。
针对柴油发电机组-三相不控整流器-DC/DC变换器-脉冲负载系统中柴油发电机组的输出特性,提出仿真模型与试验电源输出电压(流)波形契合度的评价指标,以判断模型的仿真程度;提出了基于反向(BP)传播神经网络算法的同步发电机励磁电压输出动态限幅方法,应用于脉冲负载下柴油发电机组的模型优化。试验验证表明:27组算例中,初始仿真模型有18组波形实时契合度值不足90%,优化仿真模型27组值均大于90%。说明本文提出的优化方法使仿真模型比初始模型更加有效,可应用于后续柴油发电机组带脉冲负载系统的研究。
2024, 36: 055023.
doi: 10.11884/HPLPB202436.230422
摘要:
为探究大气压脉冲驱动等离子体射流中活性粒子空间分布特性,采用同轴双环等离子体射流反应器,在外施脉冲激励驱动下,研究各活性粒子在不同电离段的特征峰相对强度沿轴向空间的变化规律。结果表明:在脉冲激励等离子体射流所有测量点位均能检测到NO、OH、N2、\begin{document}${\rm{N}}_2^{+}$\end{document} ![]()
![]()
、He等活性粒子特征峰,其中以OH、N2、\begin{document}${\rm{N}}_2^{+}$\end{document} ![]()
![]()
粒子所对应的发射光谱谱带及特征峰较为显著;在高压电极和接地电极之间的电场驱动电离段,活性粒子NO、OH、N2的特征峰相对强度在靠近高压电极和接地电极区域较高,而在两电极中间的区域相对强度较低,不同激发能级He、\begin{document}${\rm{N}}_2^{+}$\end{document} ![]()
![]()
特征峰相对强度沿气流方向逐渐降低;在接地电极至反应器管口的半开放离子激发段,活性粒子NO、OH以及不同能级N2、\begin{document}${\rm{N}}_2^{+}$\end{document} ![]()
![]()
、He特征峰的相对强度轴向分布呈现出随着气流方向逐渐降低的趋势;在反应器管口至等离子体射流末端区域的开放离子激发段,活性粒子OH、NO与不同能级He特征峰的相对强度轴向分布随气体流动方向逐渐减弱,不同能级N2、\begin{document}${\rm{N}}_2^{+}$\end{document} ![]()
![]()
特征峰的相对强度呈现出先增后减的规律,为脉冲驱动等离子体射流能量传递过程与反应机理的深入研究提供支撑。
为探究大气压脉冲驱动等离子体射流中活性粒子空间分布特性,采用同轴双环等离子体射流反应器,在外施脉冲激励驱动下,研究各活性粒子在不同电离段的特征峰相对强度沿轴向空间的变化规律。结果表明:在脉冲激励等离子体射流所有测量点位均能检测到NO、OH、N2、

Email alert
RSS
