2024年 36卷 第6期
推荐文章
2024, 36: 061001.
doi: 10.11884/HPLPB202436.230426
2024, 36: 064002.
doi: 10.11884/HPLPB202436.240034
2024, 36: 061001.
doi: 10.11884/HPLPB202436.230426
摘要:
大规模激光相干合成是突破单口径激光特性极限、获得超高峰值/平均功率、超大脉冲能量、超高空/谱亮度等极端特性激光的有效技术路径之一,而大规模激光相干合成的关键是主动相位控制。主动相位控制技术可以对各路光束相位进行主动控制,补偿相位噪声引起的相干特性退化、合成效率下降,获得高品质的合成激光。自相干合成技术提出以来,研究人员开发了多种主动相位控制方法用于相干合成相位校正,其中适用于大规模激光相干合成的主动相位控制方法也得到了飞速发展。系统梳理了大规模激光相干合成的主动相位控制方法,深入分析了不同方法的原理、特点、适用场景和扩展能力,介绍了不同方法取得的相干合成研究最新进展及标志性成果,报道了19通道闭环上升时间仅6 μs的相干合成锁相控制突破性结果,最后总结和展望了主动相位控制方法的发展趋势。
大规模激光相干合成是突破单口径激光特性极限、获得超高峰值/平均功率、超大脉冲能量、超高空/谱亮度等极端特性激光的有效技术路径之一,而大规模激光相干合成的关键是主动相位控制。主动相位控制技术可以对各路光束相位进行主动控制,补偿相位噪声引起的相干特性退化、合成效率下降,获得高品质的合成激光。自相干合成技术提出以来,研究人员开发了多种主动相位控制方法用于相干合成相位校正,其中适用于大规模激光相干合成的主动相位控制方法也得到了飞速发展。系统梳理了大规模激光相干合成的主动相位控制方法,深入分析了不同方法的原理、特点、适用场景和扩展能力,介绍了不同方法取得的相干合成研究最新进展及标志性成果,报道了19通道闭环上升时间仅6 μs的相干合成锁相控制突破性结果,最后总结和展望了主动相位控制方法的发展趋势。
2024, 36: 061002.
doi: 10.11884/HPLPB202436.230436
摘要:
随着自适应光学技术在激光领域的发展,工程上以经典自适应光学(AO)系统为基础,增加了多种基于软件监测和硬件保护的改进措施以保证激光AO系统稳定连续出光。面对结构复杂度提升带来的可靠性挑战,如何构建系统失效模型对激光AO系统可靠性进行评估,成为影响激光AO系统发展的重要一环。本文以激光光稳净化AO系统为例,提出使用动态故障树方法对激光AO系统可靠性进行评估,根据设备间动态关系建立动态故障树(DFT),结合厂家信息、疲劳寿命试验与历史数据估计得到底事件失效率,使用二元决策图和马尔可夫模型求解得到DFT的可靠性参数。使用DFT分析增加改进措施的AO系统可靠运行时间,结果相对于基本故障树获得了十倍以上的提高。实际系统调试期间,在预计的可靠运行时间内未发生自因故障,与DFT估计结果一致。验证了应用DFT方法评估增加改进措施后的激光AO系统可靠性更准确。
随着自适应光学技术在激光领域的发展,工程上以经典自适应光学(AO)系统为基础,增加了多种基于软件监测和硬件保护的改进措施以保证激光AO系统稳定连续出光。面对结构复杂度提升带来的可靠性挑战,如何构建系统失效模型对激光AO系统可靠性进行评估,成为影响激光AO系统发展的重要一环。本文以激光光稳净化AO系统为例,提出使用动态故障树方法对激光AO系统可靠性进行评估,根据设备间动态关系建立动态故障树(DFT),结合厂家信息、疲劳寿命试验与历史数据估计得到底事件失效率,使用二元决策图和马尔可夫模型求解得到DFT的可靠性参数。使用DFT分析增加改进措施的AO系统可靠运行时间,结果相对于基本故障树获得了十倍以上的提高。实际系统调试期间,在预计的可靠运行时间内未发生自因故障,与DFT估计结果一致。验证了应用DFT方法评估增加改进措施后的激光AO系统可靠性更准确。
2024, 36: 061003.
doi: 10.11884/HPLPB202436.240027
摘要:
涡旋光束在湍流介质中传输时,光束相位会受到湍流运动的影响产生畸变。采用了一种基于外差干涉的点像元相位提取方法,通过采集各个点在一个周期内的干涉条纹获得的相对相位,重构出涡旋光束经过水下湍流传输后的相位分布。通过功率谱反演法生成随机相位屏,完成不同湍流强度下涡旋光束的传输仿真,结果表明光束相位畸变随着湍流强度的增大而增加。搭建了实验装置,实现了水下环境的涡旋光传输及相位测量。实验结果表明,当涡旋光在存在湍流的水下传输时,其复振幅分布经历了较为复杂的传输过程,强度分布及相位均存在畸变,所采用的方法能精确测量出涡旋光的复杂相位分布,有效完成涡旋光的拓扑荷数识别。
涡旋光束在湍流介质中传输时,光束相位会受到湍流运动的影响产生畸变。采用了一种基于外差干涉的点像元相位提取方法,通过采集各个点在一个周期内的干涉条纹获得的相对相位,重构出涡旋光束经过水下湍流传输后的相位分布。通过功率谱反演法生成随机相位屏,完成不同湍流强度下涡旋光束的传输仿真,结果表明光束相位畸变随着湍流强度的增大而增加。搭建了实验装置,实现了水下环境的涡旋光传输及相位测量。实验结果表明,当涡旋光在存在湍流的水下传输时,其复振幅分布经历了较为复杂的传输过程,强度分布及相位均存在畸变,所采用的方法能精确测量出涡旋光的复杂相位分布,有效完成涡旋光的拓扑荷数识别。
2024, 36: 061004.
doi: 10.11884/HPLPB202436.230442
摘要:
由于地理位置、太阳、大气环境等因素限制,无法获取空间目标在各种姿态、光照条件、特别是激光、太阳和背景光共同作用下的实际成像。提出一种多光源照射下目标图像实时生成方法。该方法基于计算机图形学中纹理映射思想,采用现代图形显卡编程技术和帧缓存对象特性,在GPU(Graphics Processing Unit)端采用着色器语言实现多光源作用下目标亮度值高效计算和真实感增强;采用开源三维图形引擎OSG(Open Scene Graph)支持多种格式三维模型文件,提高与国产麒麟操作系统及常用战场态势显示软件的兼容性。仿真实验验证了该方法的有效性和优越性。
由于地理位置、太阳、大气环境等因素限制,无法获取空间目标在各种姿态、光照条件、特别是激光、太阳和背景光共同作用下的实际成像。提出一种多光源照射下目标图像实时生成方法。该方法基于计算机图形学中纹理映射思想,采用现代图形显卡编程技术和帧缓存对象特性,在GPU(Graphics Processing Unit)端采用着色器语言实现多光源作用下目标亮度值高效计算和真实感增强;采用开源三维图形引擎OSG(Open Scene Graph)支持多种格式三维模型文件,提高与国产麒麟操作系统及常用战场态势显示软件的兼容性。仿真实验验证了该方法的有效性和优越性。
2024, 36: 061005.
doi: 10.11884/HPLPB202436.230140
摘要:
高掺杂浓度的Tm3+增益介质能通过交叉弛豫过程提高激光器的量子效率,但同时也会增加能量上转换带来的损耗,从而限制激光器效率的进一步提升。对Tm:SrF2晶体的荧光特性以及激光性能展开研究。在激光二极管(LD)端面泵浦下,实现最大功率2.99 W的自由运转输出,激光器的泵浦阈值为0.89 W,中心波长1851 nm,斜效率高达82.1%。采用KTP电光调Q开关演示了Tm:SrF2激光器的电光调Q输出特性。在500 Hz重复频率下,获得了1.02 mJ的最大单脉冲能量,泵浦阈值为2.01 W,最短脉冲宽度为45 ns,对应峰值功率为22.67 kW。实验结果表明,基于LD泵浦的Tm:SrF2激光器具有非常高的效率,有望成为中红外光学参量振荡器(OPO)和光学参量放大器(OPA)的理想泵浦源。
高掺杂浓度的Tm3+增益介质能通过交叉弛豫过程提高激光器的量子效率,但同时也会增加能量上转换带来的损耗,从而限制激光器效率的进一步提升。对Tm:SrF2晶体的荧光特性以及激光性能展开研究。在激光二极管(LD)端面泵浦下,实现最大功率2.99 W的自由运转输出,激光器的泵浦阈值为0.89 W,中心波长1851 nm,斜效率高达82.1%。采用KTP电光调Q开关演示了Tm:SrF2激光器的电光调Q输出特性。在500 Hz重复频率下,获得了1.02 mJ的最大单脉冲能量,泵浦阈值为2.01 W,最短脉冲宽度为45 ns,对应峰值功率为22.67 kW。实验结果表明,基于LD泵浦的Tm:SrF2激光器具有非常高的效率,有望成为中红外光学参量振荡器(OPO)和光学参量放大器(OPA)的理想泵浦源。
2024, 36: 061006.
doi: 10.11884/HPLPB202436.240004
摘要:
报道了端面泵浦被动调Q激光驱动RbTiOPO4晶体拉曼实现271 cm−1频移高阶斯托克斯激光输出。采用Nd:YAG与Cr4+:YAG键合设计来降低腔内的损耗,并使激光系统更紧凑,从而提升腔内光子功率密度,有利于拉曼频移向高阶斯托克斯激光转换。设计不同频移的一阶斯托克斯激光对应在不同腔内振荡,利用与基频光模式匹配的差异来抑制687 cm−1频移的一阶斯托克斯激光,最终获得较纯的271 cm−1频移的五阶斯托克斯激光输出。在泵浦功率8.1 W下,获得了平均输出功率230 mW的1244 nm波长激光,对应的脉冲宽度和重复频率分别为2.9 ns和11.7 kHz。1 244 nm波段的激光正好与水中OH−1吸收峰对应,在地表植被和行星水含量的检测等领域有重要的应用。
报道了端面泵浦被动调Q激光驱动RbTiOPO4晶体拉曼实现271 cm−1频移高阶斯托克斯激光输出。采用Nd:YAG与Cr4+:YAG键合设计来降低腔内的损耗,并使激光系统更紧凑,从而提升腔内光子功率密度,有利于拉曼频移向高阶斯托克斯激光转换。设计不同频移的一阶斯托克斯激光对应在不同腔内振荡,利用与基频光模式匹配的差异来抑制687 cm−1频移的一阶斯托克斯激光,最终获得较纯的271 cm−1频移的五阶斯托克斯激光输出。在泵浦功率8.1 W下,获得了平均输出功率230 mW的1244 nm波长激光,对应的脉冲宽度和重复频率分别为2.9 ns和11.7 kHz。1 244 nm波段的激光正好与水中OH−1吸收峰对应,在地表植被和行星水含量的检测等领域有重要的应用。
2024, 36: 061007.
doi: 10.11884/HPLPB202436.240010
摘要:
通过溶胶-凝胶法成功制备了Tb3Al5O12 (TAG) 荧光粉。热分析数据证实,增加H3BO3摩尔比会导致最终相的转变温度降低。同时,通过扫描电镜观察到,H3BO3摩尔比的提高会导致荧光粉颗粒尺寸增大。在激发波长为275 nm的条件下,发射光谱在480~650 nm范围内出现了由Tb3+的5d→4f跃迁产生的多个发射峰。然后通过物理掺杂和超临界干燥工艺成功制备了荧光粉@SiO2气凝胶复合发光材料。与荧光粉相比,荧光粉@SiO2气凝胶复合发光材料的内量子产率显著增加,可达63.64%。采用波长为355 nm的激光源激发荧光粉@SiO2气凝胶复合发光材料,可实现长距离无导线方式发光,并具有良好均匀性。以上结果证明了荧光粉@SiO2气凝胶复合发光材料在激光应急照明领域具有潜在的应用前景。
通过溶胶-凝胶法成功制备了Tb3Al5O12 (TAG) 荧光粉。热分析数据证实,增加H3BO3摩尔比会导致最终相的转变温度降低。同时,通过扫描电镜观察到,H3BO3摩尔比的提高会导致荧光粉颗粒尺寸增大。在激发波长为275 nm的条件下,发射光谱在480~650 nm范围内出现了由Tb3+的5d→4f跃迁产生的多个发射峰。然后通过物理掺杂和超临界干燥工艺成功制备了荧光粉@SiO2气凝胶复合发光材料。与荧光粉相比,荧光粉@SiO2气凝胶复合发光材料的内量子产率显著增加,可达63.64%。采用波长为355 nm的激光源激发荧光粉@SiO2气凝胶复合发光材料,可实现长距离无导线方式发光,并具有良好均匀性。以上结果证明了荧光粉@SiO2气凝胶复合发光材料在激光应急照明领域具有潜在的应用前景。
2024, 36: 061008.
doi: 10.11884/HPLPB202436.240038
摘要:
为了解决传统固体烟火泵浦激光器点火效率低和电能依赖的问题,根据绝热压缩原理,设计使用了完全无电的压缩空气点燃烟火药泵浦Nd:YAG激光介质,提高了点火同步性和烟火药燃烧效率,实现了激光输出阈值药剂量10 mg,使用30 mg KClO4/Zr药剂,获得了30.2 mJ的激光能量,脉冲宽度10 ms,为小型无电高能激光器提供了一条新的实现路径。
为了解决传统固体烟火泵浦激光器点火效率低和电能依赖的问题,根据绝热压缩原理,设计使用了完全无电的压缩空气点燃烟火药泵浦Nd:YAG激光介质,提高了点火同步性和烟火药燃烧效率,实现了激光输出阈值药剂量10 mg,使用30 mg KClO4/Zr药剂,获得了30.2 mJ的激光能量,脉冲宽度10 ms,为小型无电高能激光器提供了一条新的实现路径。
2024, 36: 062001.
doi: 10.11884/HPLPB202436.230316
摘要:
构建了硅掺杂辉光放电聚合物(Si-GDP)模型,采用反应力场分子动力学模拟(ReaxFF MD)探讨了硅含量、碳氢比及密度对其杂化碳键合与力学性能的影响。研究结果表明:随着硅含量增加,聚合物中sp3C含量增加,趋向于形成一个大分子,同时小分子种类和数目减少,促进了碳硅原子成键并抑制端基CH3生成,进而提高材料力学性能;随着氢含量的增加,sp3C和端基CH3比例增加,生成的端基CH3降低了分子间交联程度,进而降低了材料力学性能,而分子基团数目变化不明显;随着密度的提升,聚合物中sp2C比例提升明显,sp3C比例有少量提升,分子基团数目变化不大,密度主要通过提升sp2C比例提升材料力学性能。研究结果为评估和理解硅掺杂辉光放电聚合物的结构和力学性能提供了新的视角和方法。
构建了硅掺杂辉光放电聚合物(Si-GDP)模型,采用反应力场分子动力学模拟(ReaxFF MD)探讨了硅含量、碳氢比及密度对其杂化碳键合与力学性能的影响。研究结果表明:随着硅含量增加,聚合物中sp3C含量增加,趋向于形成一个大分子,同时小分子种类和数目减少,促进了碳硅原子成键并抑制端基CH3生成,进而提高材料力学性能;随着氢含量的增加,sp3C和端基CH3比例增加,生成的端基CH3降低了分子间交联程度,进而降低了材料力学性能,而分子基团数目变化不明显;随着密度的提升,聚合物中sp2C比例提升明显,sp3C比例有少量提升,分子基团数目变化不大,密度主要通过提升sp2C比例提升材料力学性能。研究结果为评估和理解硅掺杂辉光放电聚合物的结构和力学性能提供了新的视角和方法。
2024, 36: 063001.
doi: 10.11884/HPLPB202436.230443
摘要:
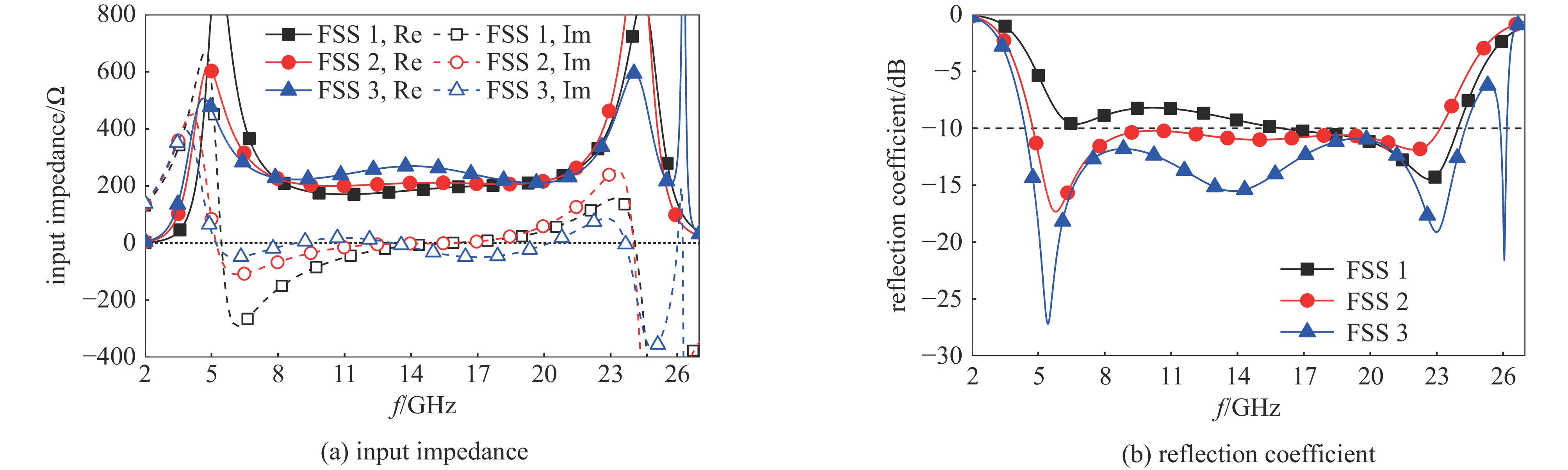
设计了一种新型集总电阻加载超宽带薄型频率选择表面(FSS)吸波体。该吸波体使用单层单谐振FSS损耗层结构,具有厚度薄、宽带吸波且极化稳定的特点。FSS损耗层单元结构采用非单元中心对称轴集总电阻加载方法,并结合非均匀金属导带宽度和圆顶枝节加载设计有效拓宽了吸波带宽。该吸波体的等效电路分析及全波仿真结果均表明该结构在6.0~26.77 GHz频段内对电磁波吸波率能够达到90%,相对带宽达到126.8%。该吸波体总厚度为0.086λL(λL为吸波频段最低频率对应波长),仅为Rozanov理论极限厚度的1.09倍。对该吸波体进行加工与测试,实测结果与仿真结果一致,验证了设计的有效性。
设计了一种新型集总电阻加载超宽带薄型频率选择表面(FSS)吸波体。该吸波体使用单层单谐振FSS损耗层结构,具有厚度薄、宽带吸波且极化稳定的特点。FSS损耗层单元结构采用非单元中心对称轴集总电阻加载方法,并结合非均匀金属导带宽度和圆顶枝节加载设计有效拓宽了吸波带宽。该吸波体的等效电路分析及全波仿真结果均表明该结构在6.0~26.77 GHz频段内对电磁波吸波率能够达到90%,相对带宽达到126.8%。该吸波体总厚度为0.086λL(λL为吸波频段最低频率对应波长),仅为Rozanov理论极限厚度的1.09倍。对该吸波体进行加工与测试,实测结果与仿真结果一致,验证了设计的有效性。
2024, 36: 063002.
doi: 10.11884/HPLPB202436.230446
摘要:
为了解决封闭舱室内反射型电磁屏蔽结构引起的电磁场水平易于升高的问题,提出了一种斜入射电磁波相位补偿频率选择表面(FSS)吸波体设计方法,并基于该方法设计了一款超宽带、角度稳定的FSS吸波型电磁屏蔽结构。利用吸波结构中不同介质层对斜入射时高频和低频的电磁波相位分别进行补偿,实现了宽频带内良好的角度稳定性。在此基础上,采用宽度渐变条带,并结合开缝和顶端加载技术设计出了新型十字FSS单元结构,有效拓展了该单层单谐振FSS吸波体的工作带宽。仿真结果表明,该结构90%吸波频带为3.9~25.8 GHz(相对带宽147.5%);在4.7~22.1 GHz(129.9%)频带内,两种极化下满足90%吸波率的角度稳定性达30°;即使斜入射增加到50°时,吸波率仍高于80%。对所设计的吸波体进行加工和测试,实验结果与仿真结果吻合良好,验证了设计的有效性。
为了解决封闭舱室内反射型电磁屏蔽结构引起的电磁场水平易于升高的问题,提出了一种斜入射电磁波相位补偿频率选择表面(FSS)吸波体设计方法,并基于该方法设计了一款超宽带、角度稳定的FSS吸波型电磁屏蔽结构。利用吸波结构中不同介质层对斜入射时高频和低频的电磁波相位分别进行补偿,实现了宽频带内良好的角度稳定性。在此基础上,采用宽度渐变条带,并结合开缝和顶端加载技术设计出了新型十字FSS单元结构,有效拓展了该单层单谐振FSS吸波体的工作带宽。仿真结果表明,该结构90%吸波频带为3.9~25.8 GHz(相对带宽147.5%);在4.7~22.1 GHz(129.9%)频带内,两种极化下满足90%吸波率的角度稳定性达30°;即使斜入射增加到50°时,吸波率仍高于80%。对所设计的吸波体进行加工和测试,实验结果与仿真结果吻合良好,验证了设计的有效性。
2024, 36: 064001.
doi: 10.11884/HPLPB202436.230353
摘要:
高精度同步系统是加速器产生高品质束流的关键因素之一,基于清华大学已有的连续激光载波同步系统,对不同接收端之间参考微波信号相位差的长时漂移,即同步系统慢漂进行了研究,提出了一种基于接收端参考微波信号幅值的电光调制器(EOM)偏置电压控制方法抑制慢漂。采用该方法后,清华大学甚高频光阴极电子枪测试平台L波段(1 300 MHz)同步系统慢漂被抑制到10.45 fs@24 h,清华大学汤姆逊散射装置(TTX)S波段(2 856 MHz)同步系统慢漂被抑制到10.53 fs@24 h,并且该方法可以使整套同步系统工作于室温环境,有效地提高了同步系统对工作环境温度的适应性。
高精度同步系统是加速器产生高品质束流的关键因素之一,基于清华大学已有的连续激光载波同步系统,对不同接收端之间参考微波信号相位差的长时漂移,即同步系统慢漂进行了研究,提出了一种基于接收端参考微波信号幅值的电光调制器(EOM)偏置电压控制方法抑制慢漂。采用该方法后,清华大学甚高频光阴极电子枪测试平台L波段(1 300 MHz)同步系统慢漂被抑制到10.45 fs@24 h,清华大学汤姆逊散射装置(TTX)S波段(2 856 MHz)同步系统慢漂被抑制到10.53 fs@24 h,并且该方法可以使整套同步系统工作于室温环境,有效地提高了同步系统对工作环境温度的适应性。
2024, 36: 064002.
doi: 10.11884/HPLPB202436.240034
摘要:
电子直线感应加速器性能提升对束流探测器提出了高精度测量要求,由此不仅要求高精度的探测器设计装配技术,而且也要求探测器的准确标定。从强流脉冲束流位置探测器测量原理出发,从理论和实验两方面开展强流脉冲束流位置探测器标定技术研究。在理论上采用解析方法,分析了不同的计算处理方法和标定方法的标定效果,提出了特征平面标定,在建立的位置标定系统上,对用于多脉冲电子直线感应加速器的No.23电阻环进行了标定实验研究,实验结果验证了理论分析结果,根据理论和实验研究结果,确定了强流脉冲束流位置探测器标定方法。
电子直线感应加速器性能提升对束流探测器提出了高精度测量要求,由此不仅要求高精度的探测器设计装配技术,而且也要求探测器的准确标定。从强流脉冲束流位置探测器测量原理出发,从理论和实验两方面开展强流脉冲束流位置探测器标定技术研究。在理论上采用解析方法,分析了不同的计算处理方法和标定方法的标定效果,提出了特征平面标定,在建立的位置标定系统上,对用于多脉冲电子直线感应加速器的No.23电阻环进行了标定实验研究,实验结果验证了理论分析结果,根据理论和实验研究结果,确定了强流脉冲束流位置探测器标定方法。
2024, 36: 064003.
doi: 10.11884/HPLPB202436.230424
摘要:
使用Geant4程序模拟了微孔形状对基于硅微通道阵列的CsI:Tl像素化X射线闪烁屏性能的影响。模拟的闪烁屏性能参数包括:闪烁光子数、底光输出、传输效率、n次全反射占比、调制传递函数(MTF)与空间分辨率的关系。模拟过程中设定微孔的形状分别为方形和圆形,两种孔形的微通道阵列周期相同,均为10 μm。模拟结果显示:方形微孔的闪烁光子数优于圆形微孔,闪烁光子数正比于微孔横截面积;闪烁屏厚度小于400 μm时,方形微孔的底光输出优于圆形微孔,厚度大于400 μm时,圆形微孔的底光输出优于方形微孔;圆形微孔的传输效率优于方形微孔;厚度为40和200 μm的方形微孔闪烁屏空间分辨率优于相同厚度的圆形微孔闪烁屏。制备了方形微孔的CsI:Tl闪烁屏样品,测量了其MTF与空间分辨率的关系,当MTF为0.1时,空间分辨率为22.6 lp/mm。
使用Geant4程序模拟了微孔形状对基于硅微通道阵列的CsI:Tl像素化X射线闪烁屏性能的影响。模拟的闪烁屏性能参数包括:闪烁光子数、底光输出、传输效率、n次全反射占比、调制传递函数(MTF)与空间分辨率的关系。模拟过程中设定微孔的形状分别为方形和圆形,两种孔形的微通道阵列周期相同,均为10 μm。模拟结果显示:方形微孔的闪烁光子数优于圆形微孔,闪烁光子数正比于微孔横截面积;闪烁屏厚度小于400 μm时,方形微孔的底光输出优于圆形微孔,厚度大于400 μm时,圆形微孔的底光输出优于方形微孔;圆形微孔的传输效率优于方形微孔;厚度为40和200 μm的方形微孔闪烁屏空间分辨率优于相同厚度的圆形微孔闪烁屏。制备了方形微孔的CsI:Tl闪烁屏样品,测量了其MTF与空间分辨率的关系,当MTF为0.1时,空间分辨率为22.6 lp/mm。
2024, 36: 065001.
doi: 10.11884/HPLPB202436.240031
摘要:
加法器式固态调制器是一种使用绝缘栅双极晶体管(IGBT)控制储能电容放电来产生脉冲高压的装置,相比传输线型调制器,具有模块化、稳定性好、寿命长等优势。但IGBT的正常工作需要利用栅极驱动电路将控制信号进行放大才能实现,驱动电路的性能直接影响IGBT的开关特性,最终影响脉冲电压质量,尤其是驱动电路的导通抖动指标,这是影响脉冲电压精度的关键因素之一。根据加法器式固态调制器中IGBT的工作特性,以提高脉冲电压精度为目标,对驱动电路进行研究。分析了开关抖动对输出电压精度的影响,介绍了设计原理,研制了驱动电路板,并利用放电模块对其工作性能进行了实验测试。测试结果表明,该款驱动电路的导通抖动为300 ps,相比1 ns的商用驱动电路抖动压缩至1/3,在1 kV充电电压下,放电模块在0.5 Ω的负载上放电,形成上升时间为500 ns、导通抖动峰、峰值在5 ns以下的脉冲电压,当发生退饱和故障时,驱动电路能够在4 µs时间内关断IGBT,该款驱动电路满足高精度固态调制器的工作要求。
加法器式固态调制器是一种使用绝缘栅双极晶体管(IGBT)控制储能电容放电来产生脉冲高压的装置,相比传输线型调制器,具有模块化、稳定性好、寿命长等优势。但IGBT的正常工作需要利用栅极驱动电路将控制信号进行放大才能实现,驱动电路的性能直接影响IGBT的开关特性,最终影响脉冲电压质量,尤其是驱动电路的导通抖动指标,这是影响脉冲电压精度的关键因素之一。根据加法器式固态调制器中IGBT的工作特性,以提高脉冲电压精度为目标,对驱动电路进行研究。分析了开关抖动对输出电压精度的影响,介绍了设计原理,研制了驱动电路板,并利用放电模块对其工作性能进行了实验测试。测试结果表明,该款驱动电路的导通抖动为300 ps,相比1 ns的商用驱动电路抖动压缩至1/3,在1 kV充电电压下,放电模块在0.5 Ω的负载上放电,形成上升时间为500 ns、导通抖动峰、峰值在5 ns以下的脉冲电压,当发生退饱和故障时,驱动电路能够在4 µs时间内关断IGBT,该款驱动电路满足高精度固态调制器的工作要求。
2024, 36: 065002.
doi: 10.11884/HPLPB202436.230363
摘要:
通过理论分析对经典J-A方程进行了修正,增强了其在脉冲条件下的适应性,利用脉冲磁化特性实验平台,测量了铁基纳米晶磁芯在不同磁化速率下的磁滞回线,采用遗传算法进行脉冲激励下的J-A参数辨识,将算法模拟的磁滞回线与实验测试的磁滞回线数据集进行拟合,验证了修正后的J-A方程的有效性,最后将遗传算法寻优得到的J-A参数应用于脉冲变压器场路耦合模型的磁芯J-A参数定义中,分析脉冲变压器初级电压为1.5 kV时的仿真与实验误差,得到脉冲变压器输出波形的脉冲前沿误差为3.33%,幅值误差为2.91%,相比于J-A参数的常规非线性求解方法精度更高,能更好地应用于脉冲功率系统中含磁性元件的建模仿真。
通过理论分析对经典J-A方程进行了修正,增强了其在脉冲条件下的适应性,利用脉冲磁化特性实验平台,测量了铁基纳米晶磁芯在不同磁化速率下的磁滞回线,采用遗传算法进行脉冲激励下的J-A参数辨识,将算法模拟的磁滞回线与实验测试的磁滞回线数据集进行拟合,验证了修正后的J-A方程的有效性,最后将遗传算法寻优得到的J-A参数应用于脉冲变压器场路耦合模型的磁芯J-A参数定义中,分析脉冲变压器初级电压为1.5 kV时的仿真与实验误差,得到脉冲变压器输出波形的脉冲前沿误差为3.33%,幅值误差为2.91%,相比于J-A参数的常规非线性求解方法精度更高,能更好地应用于脉冲功率系统中含磁性元件的建模仿真。
2024, 36: 066001.
doi: 10.11884/HPLPB202436.230357
摘要:
铅冷快堆在燃料增殖和核废料处理方面的优势明显,针对欧洲铅冷系统(ELSY),基于“两步法”,使用蒙特卡罗软件产生少群组件参数,经过截面修正后,传递给确定论程序MORPHY进行堆芯计算。分析截面修正处理、角度展开阶数对计算精度的影响,量化比较ELSY堆芯的有效增殖因数、归一化通量水平以及控制棒组的控制棒价值。对于不同算例,采用输运修正和中子倍增效应修正,堆芯计算采用S4阶展开条件下,有效增殖因数偏差最大为38×10−5,控制棒价值计算偏差在45×10−5之内,归一化中子通量密度最大绝对偏差为9.73%,平均绝对偏差在2%以内,初步验证MORPHY程序在铅冷快堆物理分析中具备可行性。
铅冷快堆在燃料增殖和核废料处理方面的优势明显,针对欧洲铅冷系统(ELSY),基于“两步法”,使用蒙特卡罗软件产生少群组件参数,经过截面修正后,传递给确定论程序MORPHY进行堆芯计算。分析截面修正处理、角度展开阶数对计算精度的影响,量化比较ELSY堆芯的有效增殖因数、归一化通量水平以及控制棒组的控制棒价值。对于不同算例,采用输运修正和中子倍增效应修正,堆芯计算采用S4阶展开条件下,有效增殖因数偏差最大为38×10−5,控制棒价值计算偏差在45×10−5之内,归一化中子通量密度最大绝对偏差为9.73%,平均绝对偏差在2%以内,初步验证MORPHY程序在铅冷快堆物理分析中具备可行性。
2024, 36: 066002.
doi: 10.11884/HPLPB202436.240019
摘要:
比较了蒙特卡罗(MC)软件Geant4中不同物理过程对质子硼俘获治疗(PBCT)的剂量学影响。选取Geant4中FTFP、QBBC和QGSP三种物理过程,构建包含质子硼核反应的质子剂量沉积的模型,比较了80 MeV质子束选取三种物理过程在有无硼时的剂量分布,以及3 MeV质子束轰击纯硼时的核反应产物数据。三种物理过程在有无硼时水模体中的剂量分布无显著差异,一致性较好。FTFP物理过程获得的质子硼核反应产物与QBBC和QGSP物理过程相比差异较大。而QGSP物理过程得到的α粒子的产额、平均能量和能量范围与QBBC物理过程相比与实际情况吻合更好。综合评估三种物理过程中使用的非弹性散射模型以及模拟得到的核反应产物数据,Geant4中的QGSP物理过程更适用于PBCT的MC模拟研究。
比较了蒙特卡罗(MC)软件Geant4中不同物理过程对质子硼俘获治疗(PBCT)的剂量学影响。选取Geant4中FTFP、QBBC和QGSP三种物理过程,构建包含质子硼核反应的质子剂量沉积的模型,比较了80 MeV质子束选取三种物理过程在有无硼时的剂量分布,以及3 MeV质子束轰击纯硼时的核反应产物数据。三种物理过程在有无硼时水模体中的剂量分布无显著差异,一致性较好。FTFP物理过程获得的质子硼核反应产物与QBBC和QGSP物理过程相比差异较大。而QGSP物理过程得到的α粒子的产额、平均能量和能量范围与QBBC物理过程相比与实际情况吻合更好。综合评估三种物理过程中使用的非弹性散射模型以及模拟得到的核反应产物数据,Geant4中的QGSP物理过程更适用于PBCT的MC模拟研究。
2024, 36: 069001.
doi: 10.11884/HPLPB202436.240032
摘要:
为实现复杂情况下的飞机位姿识别,提出了基于神经网络特征线提取的位姿识别新方法。该方法利用3D模型进行图像渲染,通过添加背景形成数据集,为提高算法鲁棒性进行了数据集增强。特征线提取模型采用卷积神经网络提取目标深度特征,利用热力图获取飞机特征线。结合飞机特征线、飞机3D模型以及n线透视方法解算目标位姿。该方法建立的飞机特征线提取模型,在复杂背景下准确率约为91%。叠加了各类噪声后,准确率为84%。飞机位姿通过EPnL算法与非线性优化进行求解。在目标背景复杂的情况下,实验得到的平均预测角度误差约为0.57°,平均预测平移误差约为0.47%。图像叠加各类噪声后,得到的平均预测角度误差约为2.11°,平均预测平移误差约为0.93%。提出的飞机位姿识别方法在复杂背景、各类噪声影响下可以较精准地预测飞机位姿,应用场景更加广泛。
为实现复杂情况下的飞机位姿识别,提出了基于神经网络特征线提取的位姿识别新方法。该方法利用3D模型进行图像渲染,通过添加背景形成数据集,为提高算法鲁棒性进行了数据集增强。特征线提取模型采用卷积神经网络提取目标深度特征,利用热力图获取飞机特征线。结合飞机特征线、飞机3D模型以及n线透视方法解算目标位姿。该方法建立的飞机特征线提取模型,在复杂背景下准确率约为91%。叠加了各类噪声后,准确率为84%。飞机位姿通过EPnL算法与非线性优化进行求解。在目标背景复杂的情况下,实验得到的平均预测角度误差约为0.57°,平均预测平移误差约为0.47%。图像叠加各类噪声后,得到的平均预测角度误差约为2.11°,平均预测平移误差约为0.93%。提出的飞机位姿识别方法在复杂背景、各类噪声影响下可以较精准地预测飞机位姿,应用场景更加广泛。
2024, 36: 069002.
doi: 10.11884/HPLPB202436.240048
摘要:
远场相位反演存在简并态,复原波前容易出现多解问题。相较于传统的迭代算法,结合了相位调制与深度学习的相位反演方法不仅显著降低了计算复杂度,还可有效地解决多解问题。这种方法实时性强,结构简洁,显示出其独特的优势。使用不同的沃尔什函数(Walsh)对相位进行调制,采取深度学习的方法训练卷积神经网络从调制后单帧远场强度图中获得第4~30项Zernike系数从而复原出原始波前,解决了相位反演多解问题。对于3~15 cm大气相干长度的湍流像差的残差波前,其RMS与原始波前RMS的比值可达7.8%。深入研究了Zernike阶数、随机噪声、遮挡以及强度图分辨率等多种因素对波前复原精度的影响。研究结果表明,这种基于深度学习的相位反演方法在复杂的环境中展现出了良好的鲁棒性。
远场相位反演存在简并态,复原波前容易出现多解问题。相较于传统的迭代算法,结合了相位调制与深度学习的相位反演方法不仅显著降低了计算复杂度,还可有效地解决多解问题。这种方法实时性强,结构简洁,显示出其独特的优势。使用不同的沃尔什函数(Walsh)对相位进行调制,采取深度学习的方法训练卷积神经网络从调制后单帧远场强度图中获得第4~30项Zernike系数从而复原出原始波前,解决了相位反演多解问题。对于3~15 cm大气相干长度的湍流像差的残差波前,其RMS与原始波前RMS的比值可达7.8%。深入研究了Zernike阶数、随机噪声、遮挡以及强度图分辨率等多种因素对波前复原精度的影响。研究结果表明,这种基于深度学习的相位反演方法在复杂的环境中展现出了良好的鲁棒性。

Email alert
RSS
