2023年 35卷 第5期
结温升高是影响主控振荡放大(MOPA)半导体激光芯片输出功率的重要因素,为解决MOPA芯片的多电极封装和高效散热问题,提出了一种正装和热扩散辅助次热沉相结合的封装结构。建立了该封装结构的3D热模型,对比研究了倒装封装结构、正装无辅助次热沉结构与正装有辅助次热沉结构对MOPA半导体激光器结温的影响。计算结果表明,采用正装有辅助次热沉结构与倒装封装结构散热性能接近,且显著优于正装无辅助次热沉结构,结温降低幅度最高可达40%。另外,采用正装有辅助次热沉封装结构的MOPA半导体激光芯片在连续工作条件下输出功率为10.5 W,谱宽可实现半高全宽小于0.1 nm,中心波长随电流的变化约14 pm/A,实现了10 W级MOPA芯片的封装,验证了该封装结构的有效性。
为了明确高速气流对C/SiC复合材料激光烧蚀行为的影响机制,开展了不同环境下强激光对C/SiC复合材料的烧蚀对比实验研究。利用激光器与高速风洞联合实验平台,完成了静态以及Ma 1.8,Ma 3.0,Ma 6.0气流环境下2D与3DN C/SiC复合材料激光烧蚀实验。结果表明,与静态环境相比,高速气流对C/SiC复合材料的激光烧蚀行为产生了显著的影响,气流的冲刷使得烧蚀坑呈现出更宽、更深、更光滑的变化趋势。随着气流速度的增长,线烧蚀速率与质量烧蚀速率逐渐增大,主要原因为当地静压降低引起的升华速率增大,以及动压增大引起的剥蚀速率增大。此外,通过实验对比了不同构型对C/SiC激光烧蚀行为的影响。结果表明:2D C/SiC复合材料由于厚度方向更低的导热能力、更低的孔隙率等原因,其在不同环境条件下抗烧蚀能力均强于3DN C/SiC复合材料。
目前,具有螺旋相位波前和环状光强分布的涡旋光束已在光学领域获得了广泛应用,其产生与调控自然成了研究的热点。利用三维粒子模拟程序对双色拉盖尔高斯激光驱动固体等离子激发同时携带自旋角动量与轨道角动量的高次谐波的物理过程进行了研究,根据高次谐波产生过程中的光子能量与角动量守恒定律对其内在物理机制进行了理论分析,并讨论了对谐波阶次、偏振态(自旋角动量)以及拓扑荷数(轨道角动量)进行调控的方法。研究结果为开发高亮度、超短超快、短波长、自旋与轨道角动量可调控的涡旋光束辐射源提供了理论依据,在光学微操控、超分辨成像、光通信以及离子加速等领域具有较大的实际应用前景。
通过改变马赫-曾德干涉型幅度调制器的射频系数和偏置电压,调制光脉冲的强度。研究了幅度调制器对宽带低相干光时频特性影响的规律,分析调制后的光脉冲时域波形分布、光谱和复相干度模值曲线,结果表明,射频系数对光脉冲的光谱成分和时间相干性无明显的调制,射频系数存在最佳工作区间使得输出光脉冲的波形保真度最佳。当偏置电压处于半波电压时,光脉冲的时域波形保真度最好,时间相干性最低,但光谱成分会缺失。理论仿真了调制器的臂长差、偏置电压对宽带低相干光频域特性的影响,与由实测光谱计算出调制器的臂长差,实验结果进行了对比,结果基本符合。由于实际的电光重叠积分因子随加载电压值变化,因而模拟与实测结果存在误差,但研究得出的规律将为低相干脉冲精密整形系统提供更为明确的方向。
通过二维辐射流体力学模拟研究了Z箍缩动态黑腔负载等离子体撞击泡沫柱的动力学过程,探索了带扰动负载等离子体形状对黑腔内辐射温度的影响。结果表明,带有扰动的负载等离子体撞击泡沫后会产生Rayleigh-Taylor(RT)流体不稳定性,导致动态黑腔内的辐射在负载等离子体光薄区域发生漏失,使黑腔内辐射温度降低;负载等离子体扰动振幅越大、波长越大,辐射漏失越严重,同等动能加载条件下黑腔内辐射温度也越低。
电源分配网络是无人机定位系统工作的基础单元,也是电磁干扰薄弱环节,电源分配网络(PDN)传导耦合干扰效应是导致定位系统故障的主要原因。为了提高定位系统电磁干扰敏感度预测模型的精度,基于泰勒级数对非线性系统的描述方法,将泰勒级数行为级模型系数表征为与干扰频率相关的函数,建立无人机定位系统PDN电磁干扰响应预测模型,分析预测PDN在受干扰情况下的非线性直流偏置电压。研究结果表明:在250~400 MHz电磁干扰范围内,基于泰勒级数的PDN电磁干扰响应预测模型可以对PDN在电磁干扰作用下的非线性直流偏置进行准确预测,预测误差在3%以内。
提出了一种基于切比雪夫馈电网络的13×14开口谐振环天线阵列。该天线阵列由天线单元和切比雪夫馈电网络组成。根据八木天线原理,该天线阵列设计的辐射贴片作为天线单元的引向器,金属地面作为反射器;辐射贴片由开口谐振环结构以及I型谐振结构组成,增强天线单元的辐射能力并提高增益;天线单元的馈电端由圆弧单极子组成,提高调节天线单元阻抗匹配的灵活性;电流矩阵指导非均匀电流分布切比雪夫馈电网络的设计,减小天线阵列的旁瓣;天线单元竖直插入馈电网络的基板,减少带有馈电网络阵列的口径大小。通过实物加工后,测试结果表明,该天线阵列在工作频率点10.1 GHz处实现了22.3 dBi的增益,E面和H面旁瓣电平分别为−16 dB和−17.66 dB,具有高增益、低副瓣的特点。
快前沿射频脉冲发射是固态有源相控阵可实现的优势功能。分析了X波段固态有源相控阵实现快前沿射频脉冲发射的必要条件,包括激励传输、功率放大、定时同步和孔径渡越等影响因素及设计要点。相应的分析结论应用于某型X波段固态有源相控阵的样机研制,最终实现了数千个固态有源通道的快前沿射频脉冲的高效空间合成,合成射频脉冲前沿低于5 ns,验证了分析与设计的有效性。
为实现模块化相对论速调管放大器功率、频率和相位的在线测量,对紧凑型高定向性高带宽的定向耦合器进行了仿真和实验研究。利用小孔耦合理论和相位叠加原理进行理论分析,设计了一种双孔紧凑型定向耦合器,在此基础上采用主、副波导正交连接,耦合孔沿轴向和角向二维分布的方法,进一步缩短了耦合器的长度。通过电磁仿真对耦合器各参数进行优化,模拟结果表明:当中心频率为10 GHz时,普通双孔定向耦合器对TM01模式的耦合度为−60.68 dB,在250 MHz的带宽内定向性大于20 dB,此时耦合区长度为3.49 cm。改进型定向耦合器对TM01模式的耦合度为−58.1 dB,在300 MHz的带宽内定向性大于20 dB,此时耦合区长度仅为1.8 cm(约0.6λ)。耦合器的冷腔实验测量结果与仿真结果符合较好。
为研究大气环境对系统电磁脉冲(SGEMP )的影响,针对海拔50~100 km的X射线能量沉积区,分别应用3维PIC程序及3维PIC-MCC程序各自开展预电离等离子体和稀薄空气条件下外SGEMP的建模与模拟研究,针对3种不同的X射线注量(4×10−3 J/cm2、4×10−2 J/cm2、0.4 J/cm2),分别取对应两种不同海拔高度(70 km和80~90 km)的本底等离子体及海拔56 km的稀薄空气条件进行模拟计算,并和真空中的计算结果进行对比,得出预电离等离子体及稀薄空气对外SGEMP的影响规律:当X射线注量较低时,等离子体使得磁场增大,电场减小,而稀薄空气对外SGEMP效应影响不明显;随着X射线注量增大,空间电荷非线性效应越来越明显,等离子体及稀薄空气都使得电场、磁场同时增大,且稀薄空气的增大效应更显著。
电磁波照射下的建筑物室内电磁环境具有混响效果,因此可采用功率平衡法(PWB)快速评估室内电磁环境水平。然而目前PWB方法中电大腔壁耦合截面(CCS)的计算模型建立在腔内电磁波不穿透腔壁的条件下,无法直接用于电磁波可穿透室内建筑物墙壁的耦合截面计算。为此,提出了一种适用于电磁波穿透有限厚度建筑物墙壁的CCS计算新模型。该模型考虑实际建筑物墙体的厚度和材料电磁特性,能够充分反映电磁波因有限厚度墙壁多次反射对室内电磁环境水平的影响。将该模型应用于室内电场水平的快速评估,预测结果与实际测量结果吻合较好,证明了所提有限厚度建筑物墙壁CCS模型的合理性。
高能同步辐射光源(HEPS)是中国第一台第四代高能同步辐射光源,其加速器由直线加速器、增强器、储存环及输运线组成。报道了HEPS直线加速器的初期束流调试重要进展。HEPS直线加速器是一台500 MeV S波段常温直线加速器,由热阴极电子枪、聚束系统、主直线加速器构成。在按时完成设备加工、安装和老练的基础上,于2023年3月9日启动束流调试,当天实现束流全线贯通。3月14日束流能量达到500 MeV,束团电荷量达到2.5 nC。经过测量,直线加速器出口束流能散0.4%,能量稳定度0.06%,水平和垂直几何发射度分别为233 nm和145 nm。目前直线加速器束团电荷量可达到7.0 nC,相关束流调试正在进行。
环形正负电子对撞机(CEPC)是一台周长100 km,最高能量为120 GeV的双环对撞机。为了满足不同能量粒子从增强器注入到对撞环,针对W和Z能量模式设计了对撞环离轴注入系统,用于实现束流的累积。为了提高注入效率,兼容不同注入能量,不同束流填充模式,同时尽可能减少注入过程中冲击磁铁对其它束团的扰动,要求对撞环离轴注入冲击磁铁系统是一个上升时间和下降时间小于200 ns,脉冲底宽调节范围为440~2420 ns的梯形波脉冲放电系统。和常见的集中参数型冲击磁铁相比,分布参数型冲击磁铁具有更优越的动态响应特性,适合产生一个前沿更加陡峭、波形更为理想的梯形波脉冲。根据CEPC的束流注入物理需求,完成了一台分布参数型冲击磁铁的物理设计和结构设计,并采用了PSpice和Opera程序进行模拟仿真。设计结果表明:冲击磁铁由26级LC单元结构叠装而成,磁铁总长为1018 mm,磁有效长度为942 mm;在[−20,20] mm磁铁孔径内,磁场强度为0.042 1 T,磁场均匀性优于±0.2%;冲击磁铁系统总上升时间(10%~90%)为193 ns,下降时间(90%~10%)为191 ns。理论分析、PSpice程序和Opera程序模拟均验证了磁铁设计方案的可行性。
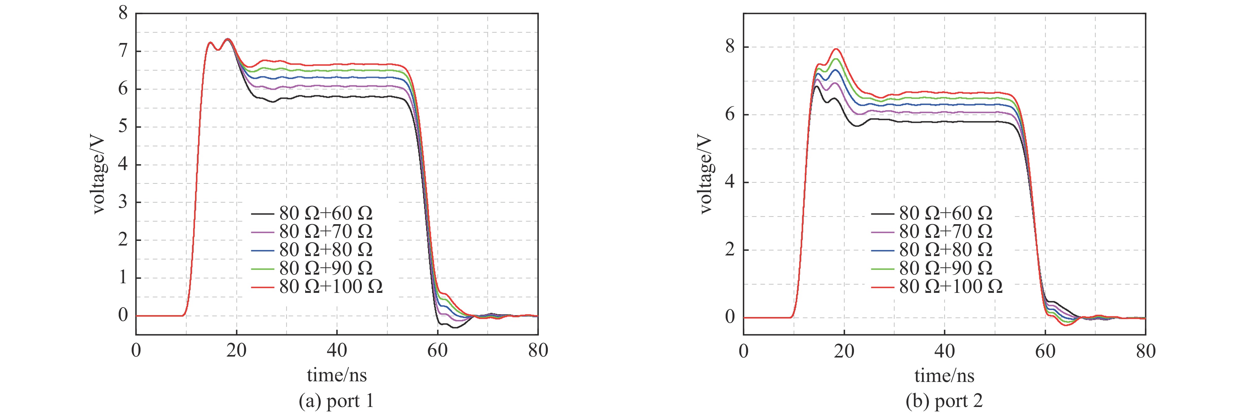
基于单台脉冲功率驱动源同时驱动两个微波器件产生双频高功率微波的构想,设计了一种双路短脉冲输出结构,其接于主开关后,能够将主开关产生的高压纳秒脉冲传输至高功率微波产生器。两路脉冲由同一脉冲源产生,具有很好的一致性。对双路输出结构脉冲传输过程进行了建模仿真,研究了传输线阻抗、输入脉冲前沿等电学参数对输出波形质量的影响规律,并完成了绝缘风险分析及结构优化。经评估,在前沿4~8 ns的准方波输入脉冲下,双路脉冲输出线的输出波形质量与单路传输线相当,其过冲振荡均小于20%、平顶振荡均小于1%,且能满足绝缘要求。
随着脉冲功率技术的发展,纳秒脉冲电场被逐渐应用到等离子体水处理、不可逆电穿孔肿瘤消融等技术中。为了满足纳秒脉冲的应用需求,电源需要输出十几kV高压,拥有纳秒窄脉宽和快速的上升沿,同时尽量减小电源体积,降低成本。该纳秒脉冲电源采用电感隔离型Marx发生器结构,电路可以实现模块化叠加,电感隔离可以减少开关数量,抬升充电电压,以获得更高的电压输出。所设计的驱动电路仅需一路控制信号和一个直流供电模块,经功率放大和磁隔离后可同时控制所有放电管,该驱动电路结构简单、成本低、体积小,耐压水平高。所设计的24级电源样机,在50 kΩ阻性负载上,可输出0~14 kV电压,频率0.5~1 kHz,脉宽500 ns。该电源主电路的长宽高尺寸仅为23 cm×10 cm×12 cm。
针对微小铝合金管件电磁翻边工艺,现有方法将驱动线圈置于管件端部外侧,利用双频电流法产生吸引式电磁力实现翻边。然而其翻边能力不强,基于此提出一种带集磁器的吸引式电磁力翻边方法。在现有方法基础上引入集磁器,利用其能够改变磁场位形的特点,优化电磁力分布并增大轴向电磁力,达到增强翻边效果的目的。为验证该方法的可行性,通过搭建管件翻边过程的电磁-结构全耦合有限元仿真模型,对比引入不同集磁器后的翻边效果,同时分析了不同工况对电磁力分布、电磁力密度以及磁场和涡流的影响。得出阶梯型集磁器效果最佳,结果表明,该方法下管件翻边角度从38°增大到90°。进一步分析表明,其磁通密度径向分量和涡流密度环向分量分别增大到164%和135%,作用在管件上的电磁力分布改变,峰值时刻轴向电磁力体密度明显加强,增大到211%。该方法进一步完善了对微小铝合金管件的电磁翻边成形,对拓展电磁成形技术在铝合金管件翻边上的应用具有一定意义。
磁开关是重复频率脉冲功率系统可选的工作性能优越的开关器件之一。目前磁开关的仿真模型是基于伏秒积分的宏观特性建立起来的纯电路模型,未考虑磁芯饱和过程中磁芯特性的变化,仿真难以准确预测磁开关负载上的预脉冲,波形的前沿误差也较大。测试获得了快脉冲激励下的铁基纳米晶磁芯磁滞回线和初始磁化曲线,利用磁芯磁滞回线的关键参数,提取了脉冲激励下的磁芯J-A参数,用于定义多物理场中磁开关模型的磁芯特性。针对磁开关脉冲压缩电路,利用多物理场仿真软件COMSOL建立了磁脉冲压缩系统电路与磁开关电磁场的场路耦合仿真模型,计算磁脉冲压缩电路的输出波形,与实验结果对比,预脉冲幅值误差为2%,峰值误差为2%,前沿误差为5%,证明了建立的场路耦合仿真模型的有效性和准确性。
作为一种新型高效的过程强化技术,微流控等离子体具备微流控及等离子体技术优势,能够提高反应过程的均一性及稳定性,控制反应接触界面,在增加活性物质的密度的同时避免物种的快速猝灭。介绍了微流控等离子体中的活性组分及相应的表征手段,归纳了几种反应器结构并对比了优缺点。系统阐述了微流控等离子体过程强化技术在化学合成、表面改性、材料制备、污染物检测和生物医学领域中的应用,并立足于当前研究现状对该技术的发展趋势进行讨论与展望。
液态铅铋合金(LBE)是铅冷快中子反应堆(LFR)和加速器驱动次临界系统(ADS)的主要冷却剂材料。反应堆用结构材料(如铁素体/马氏体钢、奥氏体不锈钢等)在液态LBE环境下存在液态金属腐蚀(LMC)和应力腐蚀的问题,这些问题给钢结构材料的安全服役带来隐患。阐述了钢材铅铋腐蚀类型及机理,归纳了材料设计与处理(元素成分、热处理、加工制造和表面处理)和腐蚀条件(氧质量分数、腐蚀温度和腐蚀时间)对钢材铅铋腐蚀行为的影响机制;澄清了LBE环境下的应力腐蚀与金属脆化机制,总结了内外因素(材料种类、表面缺陷、热处理、氧质量分数、腐蚀温度和拉伸速率)对钢材拉伸性能的影响,并展望了未来铅铋反应堆结构材料的研究方向。建议面向未来的铅铋堆用钢应优化材料设计和处理方式(提高Si、Al等元素的含量、表面镀膜和热处理)同时控制LBE中环境参数(温度、氧质量分数和腐蚀时间)以提高钢材的耐铅铋腐蚀性能。
燃耗计算精度对提高乏燃料贮存效率有着重要影响,在应用燃耗信用制时,燃耗计算得到的核素成分偏差决定了乏燃料贮存的临界安全裕量。不同燃耗计算模型所得到的核素成分偏差各不相同,为提高燃耗计算精度,提出了一种装载不同燃料富集度的多组件燃耗计算模型,并使用不同燃耗计算模型分别对TMI-1反应堆NJ07OG组件中的6个样本进行了计算、对比和分析。结果表明,相比其他模型,考虑不同燃料富集度的多组件模型得到的235U、238U和239Pu等核素平均相对偏差更接近于零且6个样本的相对偏差分布更为平均。
基于多球能谱仪开展了广州、兰州和拉萨等地区的大气中子能谱和通量测量,获取了大气中子能谱的典型特征。测量结果表明:不同地区的大气中子通量受海拔高度的影响明显,地面大气中子通量随着海拔的增加而增加。此外,基于蒙特卡罗仿真工具也可以模拟初级宇宙射线粒子在地球大气层中的核反应过程,从而计算获取大气中子能谱。大气中子能谱测量数据与仿真数据吻合良好。
基于棱镜对的单元件干涉可以获得透射物体的相位信息,即数字全息,具有结构紧凑、干涉条纹稳定、测量精度高等优点。采用光线追迹方法,综合考虑了棱镜对的方位角旋转、斜面偏心等参数,建立了光线追迹等效模型,仿真了数字全息干涉条纹,给出了条纹密度变化及倾斜的解析表达式。针对单模和多模光纤等微结构光学元件,获得了干涉数字全息图,并反演出其折射率分布。搭建了显微成像单元件干涉实验装置,获得了实际测量干涉图样,实验与仿真结果一致,证明了本模型的有效性。

Email alert
RSS
