2024年 36卷 第4期
推荐文章
2024, 36: 043001.
doi: 10.11884/HPLPB202436.230375
2024, 36: 043016.
doi: 10.11884/HPLPB202436.230119
2024, 36: 043027.
doi: 10.11884/HPLPB202436.230245
显示方式:
2024, 36: 043001.
doi: 10.11884/HPLPB202436.230375
摘要:
针对复杂电磁对抗环境中电子信息装备面临的强电磁环境威胁以及防护加固需求,对强电磁防护技术的发展现状进行了综述,并提出了强电磁系统级综合防护的发展展望。强电磁防护是为了保证电子信息装备在强电磁环境中免受损伤或损毁的技术手段,从电磁波的耦合途径分析了当前电磁防护的重点和难点,然后分别以限幅器技术、频率滤波技术、能量选择防护技术三个方面对前门防护技术的发展现状进行了分析总结,最后从新型屏蔽材料和防护器件两个方面对新型电磁防护技术进行了展望,并从前后门一体防护、场路一体防护、多域联合防护三个角度对系统级电磁防护进行了总结,为电子信息装备在复杂电磁环境下的电磁防护加固设计提供了支撑。
针对复杂电磁对抗环境中电子信息装备面临的强电磁环境威胁以及防护加固需求,对强电磁防护技术的发展现状进行了综述,并提出了强电磁系统级综合防护的发展展望。强电磁防护是为了保证电子信息装备在强电磁环境中免受损伤或损毁的技术手段,从电磁波的耦合途径分析了当前电磁防护的重点和难点,然后分别以限幅器技术、频率滤波技术、能量选择防护技术三个方面对前门防护技术的发展现状进行了分析总结,最后从新型屏蔽材料和防护器件两个方面对新型电磁防护技术进行了展望,并从前后门一体防护、场路一体防护、多域联合防护三个角度对系统级电磁防护进行了总结,为电子信息装备在复杂电磁环境下的电磁防护加固设计提供了支撑。
2024, 36: 043002.
doi: 10.11884/HPLPB202436.230338
摘要:
针对多避雷针系统接闪器布设过于依赖工程经验的问题,基于最小成本原则,以多接闪器的高度和安装位置为优化变量,建立了多避雷针系统接闪器布设的优化模型,提出了基于遗传算法的多避雷针系统接闪器布设优化方法,通过典型设计案例对所提优化设计方法的有效性进行了验证。结果表明:该方法对多接闪器位置和高度优化设计的偏差不大于0.29 m;在该方法获得的接闪器位置和高度最优解条件下,预设的防护对象能够完全处于避雷针系统的保护范围之内,且防护对象与保护范围边界的最小间距不大于0.71 m,能够完全满足工程使用的需求。
针对多避雷针系统接闪器布设过于依赖工程经验的问题,基于最小成本原则,以多接闪器的高度和安装位置为优化变量,建立了多避雷针系统接闪器布设的优化模型,提出了基于遗传算法的多避雷针系统接闪器布设优化方法,通过典型设计案例对所提优化设计方法的有效性进行了验证。结果表明:该方法对多接闪器位置和高度优化设计的偏差不大于0.29 m;在该方法获得的接闪器位置和高度最优解条件下,预设的防护对象能够完全处于避雷针系统的保护范围之内,且防护对象与保护范围边界的最小间距不大于0.71 m,能够完全满足工程使用的需求。
2024, 36: 043003.
doi: 10.11884/HPLPB202436.230261
摘要:
微小型无人飞行器的屏蔽效能对其抗外部强电磁干扰能力有显著影响。针对微小型飞行器物理空间小、屏蔽效能难以测量的困难,提出一种基于扩比模型的等效获取方法,将原模型等比例扩大n倍得到扩比模型,利用常规屏蔽效能测试方法和测试仪器测量得到扩比模型的屏蔽效能,再根据扩比模型和原模型屏蔽效能的关系得到原模型的屏蔽效能。以巡飞弹和四旋翼无人机两种典型微小型飞行器为例进行了仿真,结果表明原模型在频率f处的屏蔽效能等于扩比模型在频率f1=f/n处的屏蔽效能,验证了该方法的正确性。在此基础上,总结提出了基于扩比模型的等效测试流程,为微小型飞行器屏蔽效能的测试提供了一种可行的测试方法。
微小型无人飞行器的屏蔽效能对其抗外部强电磁干扰能力有显著影响。针对微小型飞行器物理空间小、屏蔽效能难以测量的困难,提出一种基于扩比模型的等效获取方法,将原模型等比例扩大n倍得到扩比模型,利用常规屏蔽效能测试方法和测试仪器测量得到扩比模型的屏蔽效能,再根据扩比模型和原模型屏蔽效能的关系得到原模型的屏蔽效能。以巡飞弹和四旋翼无人机两种典型微小型飞行器为例进行了仿真,结果表明原模型在频率f处的屏蔽效能等于扩比模型在频率f1=f/n处的屏蔽效能,验证了该方法的正确性。在此基础上,总结提出了基于扩比模型的等效测试流程,为微小型飞行器屏蔽效能的测试提供了一种可行的测试方法。
2024, 36: 043004.
doi: 10.11884/HPLPB202436.230267
摘要:
随着战场环境日益复杂,尤其是高对抗环境下,对现有各类装备均产生了极大威胁。设计了一款C波段雷达接收机保护器,采用充气微波开关管+波导同轴转换的结构设计,创新性地提出将固态限幅器芯片融合在波导同轴转换内部,限幅芯片采用级联的形式,提高了微带限幅器的承受功率。实现接收机保护器耐受功率10 MW以上,响应时间5 ns以内,不仅可用于雷达发射期间接收机防护,还可应对外部电磁干扰、高功率微波攻击。
随着战场环境日益复杂,尤其是高对抗环境下,对现有各类装备均产生了极大威胁。设计了一款C波段雷达接收机保护器,采用充气微波开关管+波导同轴转换的结构设计,创新性地提出将固态限幅器芯片融合在波导同轴转换内部,限幅芯片采用级联的形式,提高了微带限幅器的承受功率。实现接收机保护器耐受功率10 MW以上,响应时间5 ns以内,不仅可用于雷达发射期间接收机防护,还可应对外部电磁干扰、高功率微波攻击。
2024, 36: 043005.
doi: 10.11884/HPLPB202436.230246
摘要:
针对复杂电磁环境和复杂大型系统电磁干扰测量参数、测量点位及测量工况多的特点,采用传统扫频式频域测量方法具有代价高、耗时长等现实问题,提出了一种低频电磁干扰的多通道时域快速测量与信号计算方法,并研制出低频电磁干扰多通道时域快速测量系统,实验验证表明提出的测量、计算方法和研制出的测量系统可以准确得到复杂电磁环境和大型系统的低频电磁干扰特性,且测量速度快、成本低。
针对复杂电磁环境和复杂大型系统电磁干扰测量参数、测量点位及测量工况多的特点,采用传统扫频式频域测量方法具有代价高、耗时长等现实问题,提出了一种低频电磁干扰的多通道时域快速测量与信号计算方法,并研制出低频电磁干扰多通道时域快速测量系统,实验验证表明提出的测量、计算方法和研制出的测量系统可以准确得到复杂电磁环境和大型系统的低频电磁干扰特性,且测量速度快、成本低。
2024, 36: 043006.
doi: 10.11884/HPLPB202436.230327
摘要:
强电磁脉冲可通过外部线缆耦合进入车辆发动机管理系统(EMS)内,造成发动机管理系统设备干扰甚至损伤,电磁防护组件可为车辆EMS防护设计提供支撑。以车辆EMS为研究对象,综合考虑EMS设备及其外部连接线缆,建立EMS设备电磁仿真模型,对不同长度线缆的端口耦合特性及EMS金属壳体表面感应电流进行了仿真研究。基于防护电路仿真,设计了一种应用于车辆EMS设备的电磁防护组件。仿真结果表明,该防护组件能将5 kV的电磁脉冲限制在最高峰值幅度为18 V以内,防护效能达到48 dB,将其加装于EMS线缆接口处可有效提高强电磁环境下的可靠性,对于车辆平台控制系统的电磁防护设计具有一定的参考意义。
强电磁脉冲可通过外部线缆耦合进入车辆发动机管理系统(EMS)内,造成发动机管理系统设备干扰甚至损伤,电磁防护组件可为车辆EMS防护设计提供支撑。以车辆EMS为研究对象,综合考虑EMS设备及其外部连接线缆,建立EMS设备电磁仿真模型,对不同长度线缆的端口耦合特性及EMS金属壳体表面感应电流进行了仿真研究。基于防护电路仿真,设计了一种应用于车辆EMS设备的电磁防护组件。仿真结果表明,该防护组件能将5 kV的电磁脉冲限制在最高峰值幅度为18 V以内,防护效能达到48 dB,将其加装于EMS线缆接口处可有效提高强电磁环境下的可靠性,对于车辆平台控制系统的电磁防护设计具有一定的参考意义。
2024, 36: 043007.
doi: 10.11884/HPLPB202436.230320
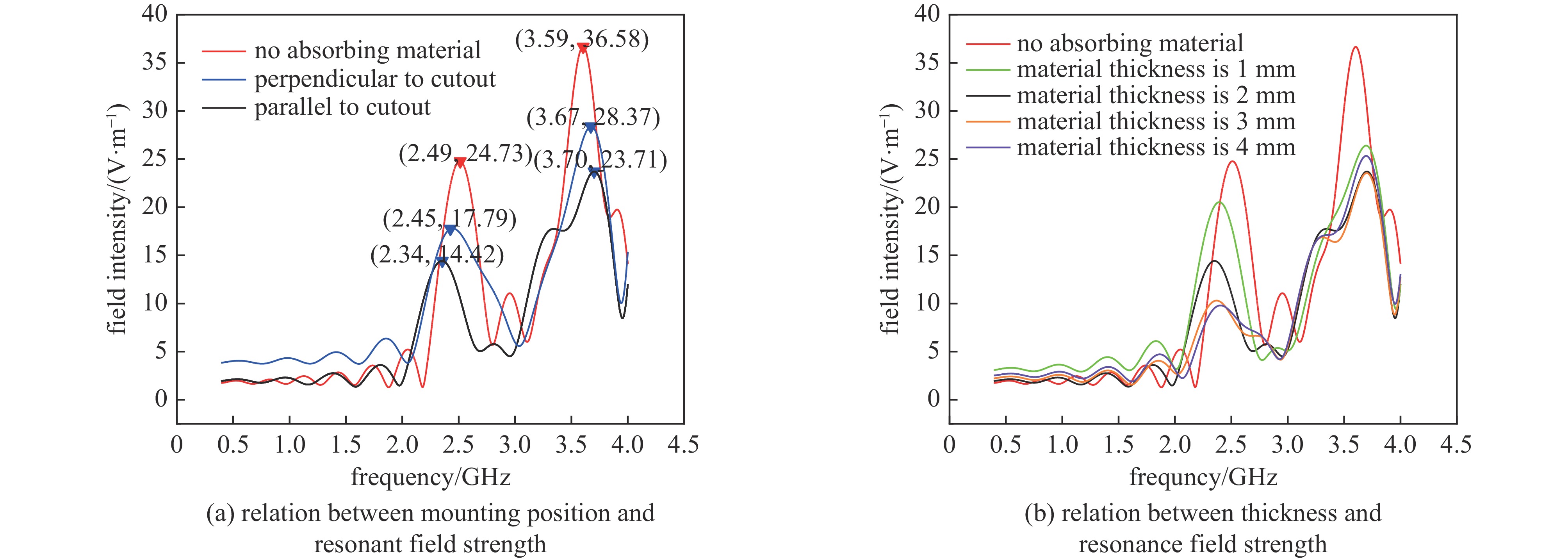
摘要:
针对航空发动机电子控制器(EEC)易受高强辐射场(HIRF)干扰问题,以ZF-M600型EEC为研究对象,通过三维电磁仿真软件CST对EEC建模并进行平面波辐照仿真,模拟HIRF对EEC的干扰效应,仿真结果表明,HIRF可以通过孔缝耦合进入EEC内部并在腔体内部产生谐振,谐振频率处电场强度显著增加。依据RTCA DO-160G在400 MHz~4 GHz开展EEC辐射敏感度试验,试验结果表明:EEC失效频点为2.40 GHz和3.48 GHz,敏感模块为模拟量输入输出模块,敏感现象为模拟量数据丢失。EEC失效频点与谐振频率接近, 说明EEC失效与腔体谐振有关,在EEC内部贴装吸波材料并进行仿真,分析吸波材料的放置方式和厚度对EEC谐振电磁干扰强度的影响,仿真结果表明,贴装吸波材料可以有效抑制谐振电磁干扰。
针对航空发动机电子控制器(EEC)易受高强辐射场(HIRF)干扰问题,以ZF-M600型EEC为研究对象,通过三维电磁仿真软件CST对EEC建模并进行平面波辐照仿真,模拟HIRF对EEC的干扰效应,仿真结果表明,HIRF可以通过孔缝耦合进入EEC内部并在腔体内部产生谐振,谐振频率处电场强度显著增加。依据RTCA DO-160G在400 MHz~4 GHz开展EEC辐射敏感度试验,试验结果表明:EEC失效频点为2.40 GHz和3.48 GHz,敏感模块为模拟量输入输出模块,敏感现象为模拟量数据丢失。EEC失效频点与谐振频率接近, 说明EEC失效与腔体谐振有关,在EEC内部贴装吸波材料并进行仿真,分析吸波材料的放置方式和厚度对EEC谐振电磁干扰强度的影响,仿真结果表明,贴装吸波材料可以有效抑制谐振电磁干扰。
2024, 36: 043008.
doi: 10.11884/HPLPB202436.230272
摘要:
构建了典型后门耦合目标,从时域和频域两个维度对目标进行了回波特性仿真,发现目标的孔缝-腔体结构出现强耦合时回波频域波形可观察到幅度凹坑,且强耦合频率时的回波时域波形呈双峰状,与非强耦合回波存在明显差异。通过改变后门耦合目标尺寸和形态仿真验证了所发现的回波信号特征规律,利用发现的回波信号特征规律可从回波信号中提取出未知目标腔体后门强耦合微波参数。
构建了典型后门耦合目标,从时域和频域两个维度对目标进行了回波特性仿真,发现目标的孔缝-腔体结构出现强耦合时回波频域波形可观察到幅度凹坑,且强耦合频率时的回波时域波形呈双峰状,与非强耦合回波存在明显差异。通过改变后门耦合目标尺寸和形态仿真验证了所发现的回波信号特征规律,利用发现的回波信号特征规律可从回波信号中提取出未知目标腔体后门强耦合微波参数。
2024, 36: 043009.
doi: 10.11884/HPLPB202436.230358
摘要:
针对光频梳下变频信号接收过程中存在的频率信息丢失问题,提出了一种基于频率-相位映射的信号频率恢复方法,该方法使用可调光纤延迟线在两路光频梳变频链路之间产生一组固定已知的时延,时延在信号原始频率与下变频信号相位差之间建立映射关系,利用该映射关系可以从测得的相位差计算出信号的原始频率。分析了时延值等参数对频率恢复的影响,估计了该方法对相位测量不确定度的限值要求,最后给出了该方法具体实施方案中关键参数的设置策略。所有下变频信号的相位差可以通过快速傅里叶变换等数据处理一次性得出,因此该方法的时间代价和计算成本几乎不随着信号个数增加而增加。在不考虑下变频信号混叠的情况下,本文所提出的方法在理论上对处理信号的数量没有限制,因此相比于已有的光频梳下变频信号频率恢复方法,在多信号频率恢复方面更具有优势。
针对光频梳下变频信号接收过程中存在的频率信息丢失问题,提出了一种基于频率-相位映射的信号频率恢复方法,该方法使用可调光纤延迟线在两路光频梳变频链路之间产生一组固定已知的时延,时延在信号原始频率与下变频信号相位差之间建立映射关系,利用该映射关系可以从测得的相位差计算出信号的原始频率。分析了时延值等参数对频率恢复的影响,估计了该方法对相位测量不确定度的限值要求,最后给出了该方法具体实施方案中关键参数的设置策略。所有下变频信号的相位差可以通过快速傅里叶变换等数据处理一次性得出,因此该方法的时间代价和计算成本几乎不随着信号个数增加而增加。在不考虑下变频信号混叠的情况下,本文所提出的方法在理论上对处理信号的数量没有限制,因此相比于已有的光频梳下变频信号频率恢复方法,在多信号频率恢复方面更具有优势。
2024, 36: 043010.
doi: 10.11884/HPLPB202436.230321
摘要:
随着电磁环境的日益复杂,电子设备面临的电磁威胁愈加严峻。光电系统作为高灵敏集成化电子设备,强电磁脉冲能量耦合进入系统内部,影响防护能力本就薄弱的光电系统的正常运行。为明晰典型光电系统强电磁耦合过程,通过仿真分析不同强电磁辐照条件下筒型、侧窗型和多窗口型三种典型光电系统的强电磁耦合情况,提取了光电系统强电磁耦合特征及其制约因素,验证了光电系统进行强电磁防护加固的必要性和紧迫性。为解决光电系统强电磁防护能力薄弱的问题,通过仿真分析,验证了透明电磁防护窗口的强电磁加固效能;开展了基于支撑台阶与导电侧壁的电磁缝隙防护加固方法研究,分析了透明防护窗口缝隙耦合泄露的关键安装结构参数,提出了一种非电接触式装配缝隙强电磁防护加固方法。经测试,当缝隙防护结构长度为6 mm时,在0.2~4 GHz频率范围光电系统平均强电磁防护效能提升4.51 dB。研究结果为光电系统强电磁防护能力提升提供了理论指导和具体解决方案。
随着电磁环境的日益复杂,电子设备面临的电磁威胁愈加严峻。光电系统作为高灵敏集成化电子设备,强电磁脉冲能量耦合进入系统内部,影响防护能力本就薄弱的光电系统的正常运行。为明晰典型光电系统强电磁耦合过程,通过仿真分析不同强电磁辐照条件下筒型、侧窗型和多窗口型三种典型光电系统的强电磁耦合情况,提取了光电系统强电磁耦合特征及其制约因素,验证了光电系统进行强电磁防护加固的必要性和紧迫性。为解决光电系统强电磁防护能力薄弱的问题,通过仿真分析,验证了透明电磁防护窗口的强电磁加固效能;开展了基于支撑台阶与导电侧壁的电磁缝隙防护加固方法研究,分析了透明防护窗口缝隙耦合泄露的关键安装结构参数,提出了一种非电接触式装配缝隙强电磁防护加固方法。经测试,当缝隙防护结构长度为6 mm时,在0.2~4 GHz频率范围光电系统平均强电磁防护效能提升4.51 dB。研究结果为光电系统强电磁防护能力提升提供了理论指导和具体解决方案。
2024, 36: 043011.
doi: 10.11884/HPLPB202436.230249
摘要:
针对兆伏每米(MV/m)强脉冲电场的测量需求,设计并研制了基于集成光学的共路干涉仪(CPI)小体积宽带脉冲电场传感器。基于电光效应及电光调制原理,建立了传感器的幅度和频率响应传递函数,分析了集成光学探头的接收特性,并推导了探头灵敏度和带宽随波导长度的关系。设计了适用于MV/m量级脉冲电场测量的纯光学非金属CPI传感器,提出了利用晶体宽度对测量灵敏度调控的方法,使得设计的半波电场提高了2倍以上。研制的无源探头体积小于20 mm×10 mm×5 mm、理论带宽大于4 GHz、最大测量幅度大于1.2 MV/m。研制的传感器在高空电磁脉冲(HEMP)、雷电电磁脉冲(LEMP)及脉冲功率等领域具有应用前景。
针对兆伏每米(MV/m)强脉冲电场的测量需求,设计并研制了基于集成光学的共路干涉仪(CPI)小体积宽带脉冲电场传感器。基于电光效应及电光调制原理,建立了传感器的幅度和频率响应传递函数,分析了集成光学探头的接收特性,并推导了探头灵敏度和带宽随波导长度的关系。设计了适用于MV/m量级脉冲电场测量的纯光学非金属CPI传感器,提出了利用晶体宽度对测量灵敏度调控的方法,使得设计的半波电场提高了2倍以上。研制的无源探头体积小于20 mm×10 mm×5 mm、理论带宽大于4 GHz、最大测量幅度大于1.2 MV/m。研制的传感器在高空电磁脉冲(HEMP)、雷电电磁脉冲(LEMP)及脉冲功率等领域具有应用前景。
2024, 36: 043012.
doi: 10.11884/HPLPB202436.230367
摘要:
针对TEM喇叭天线终端反射大、低频辐射效率低的问题,对其进行了仿真优化设计。采用时域分析方法,分析了端部加载电阻与背部加载电阻的低频补偿方法,对TEM喇叭天线的尺寸、极板顶角等结构参数进行了优化,采用末端卷边结构,提升了辐射场的峰值场强与脉宽。根据仿真优化结果,研制了长度2.5 m、天线极板间张角45°、天线极板顶角45°的TEM喇叭天线,通过实测验证了仿真结果。结果表明,加载电阻可以有效降低反射,背部加载电阻方式的峰值场强和脉宽比端部加载电阻高,且采用4个电阻并联加载的效果较好;适当增加天线长度、极板顶角以及极板间夹角可以提高天线辐射性能。该研究结果为TEM喇叭天线在辐射式核电磁脉冲试验系统的应用提供了参考。
针对TEM喇叭天线终端反射大、低频辐射效率低的问题,对其进行了仿真优化设计。采用时域分析方法,分析了端部加载电阻与背部加载电阻的低频补偿方法,对TEM喇叭天线的尺寸、极板顶角等结构参数进行了优化,采用末端卷边结构,提升了辐射场的峰值场强与脉宽。根据仿真优化结果,研制了长度2.5 m、天线极板间张角45°、天线极板顶角45°的TEM喇叭天线,通过实测验证了仿真结果。结果表明,加载电阻可以有效降低反射,背部加载电阻方式的峰值场强和脉宽比端部加载电阻高,且采用4个电阻并联加载的效果较好;适当增加天线长度、极板顶角以及极板间夹角可以提高天线辐射性能。该研究结果为TEM喇叭天线在辐射式核电磁脉冲试验系统的应用提供了参考。
2024, 36: 043013.
doi: 10.11884/HPLPB202436.230237
摘要:
提出融合变分模态分解(VMD)和自编码器的预测方法,将温升特性曲线分解成若干个子信号分量,其中包含高频的波动量、中间量和低频的趋势量,然后利用自编码器对每个分量进行预测,最后将分量的预测值相加,从而实现对PIN二极管温升特性曲线的精准预测。通过与多种机器学习方法的对比验证了结合VMD分解可有效提升预测精度,同时也验证了自编码器在特性曲线拟合上的优势。
提出融合变分模态分解(VMD)和自编码器的预测方法,将温升特性曲线分解成若干个子信号分量,其中包含高频的波动量、中间量和低频的趋势量,然后利用自编码器对每个分量进行预测,最后将分量的预测值相加,从而实现对PIN二极管温升特性曲线的精准预测。通过与多种机器学习方法的对比验证了结合VMD分解可有效提升预测精度,同时也验证了自编码器在特性曲线拟合上的优势。
2024, 36: 043014.
doi: 10.11884/HPLPB202436.230345
摘要:
混混响室复杂强电磁环境下开展材料屏蔽效能测试是电磁防护领域的研究热点。研究边界形变互耦混响室屏蔽效能测试系统性能,开展了动态范围、电场分布特性和不确定度三个方面的试验验证,结果表明:在实际测试中,测试结果小于60 dB即为可信测试值;在1~10 GHz频段内,互耦混响室发射室的空间电场标准偏差小于3 dB,接收室的空间电场标准偏差小于2 dB,满足国际、国内相关标准要求,场均匀性良好;测试系统的扩展不确定度为5.90 dB,可以作为材料屏蔽效能测试平台使用。
混混响室复杂强电磁环境下开展材料屏蔽效能测试是电磁防护领域的研究热点。研究边界形变互耦混响室屏蔽效能测试系统性能,开展了动态范围、电场分布特性和不确定度三个方面的试验验证,结果表明:在实际测试中,测试结果小于60 dB即为可信测试值;在1~10 GHz频段内,互耦混响室发射室的空间电场标准偏差小于3 dB,接收室的空间电场标准偏差小于2 dB,满足国际、国内相关标准要求,场均匀性良好;测试系统的扩展不确定度为5.90 dB,可以作为材料屏蔽效能测试平台使用。
2024, 36: 043015.
doi: 10.11884/HPLPB202436.230384
摘要:
对国内外关军用及民用飞机平台、分系统及设备雷电标准进行分析,针对雷电直接效应和雷电间接效应的所有测试项目,详述每个测试项目的适用区域、波形要求、测试配置等。结合现有国内雷电设计验证标准及测试存在的不足,提出提升测试设备与试验验证技术匹配性、扩展军用标准测试领域、统一同军种同一平台要求等建议。通过对军用机载平台、设备及分系统关于雷电设计验证标准及测试的分析,为相关产品设计师及试验人员提供设计指标参考,明确产品关于雷电防护的设计要求及验证要求,做到有的放矢,提高设计费效比。
对国内外关军用及民用飞机平台、分系统及设备雷电标准进行分析,针对雷电直接效应和雷电间接效应的所有测试项目,详述每个测试项目的适用区域、波形要求、测试配置等。结合现有国内雷电设计验证标准及测试存在的不足,提出提升测试设备与试验验证技术匹配性、扩展军用标准测试领域、统一同军种同一平台要求等建议。通过对军用机载平台、设备及分系统关于雷电设计验证标准及测试的分析,为相关产品设计师及试验人员提供设计指标参考,明确产品关于雷电防护的设计要求及验证要求,做到有的放矢,提高设计费效比。
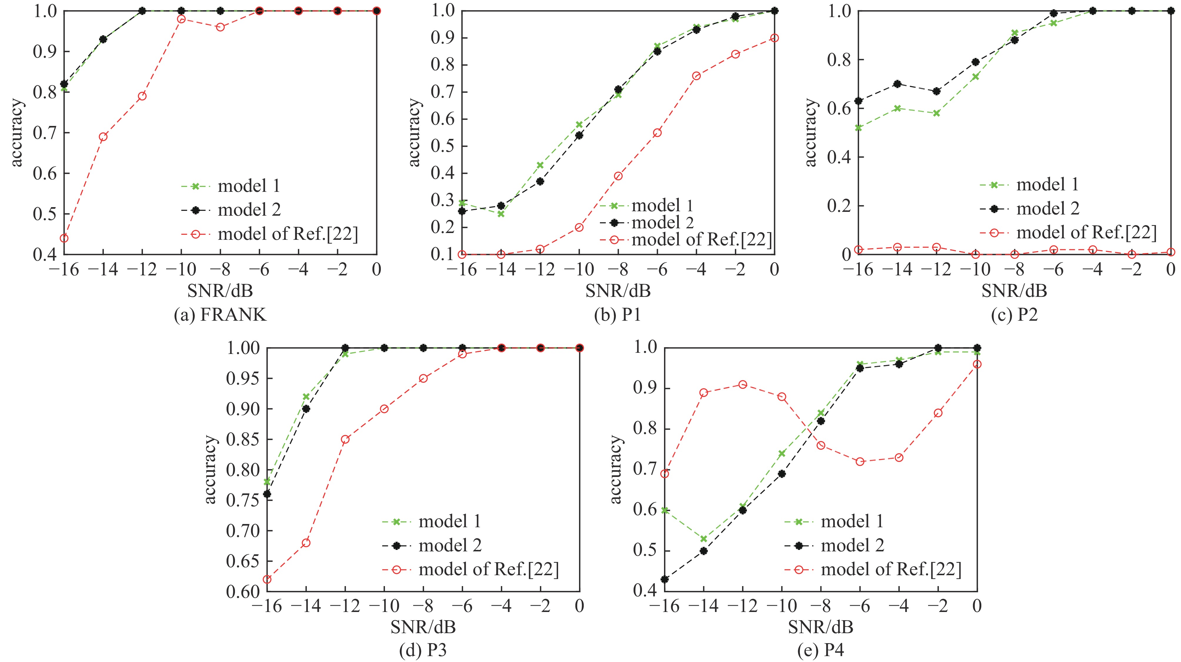
2024, 36: 043016.
doi: 10.11884/HPLPB202436.230119
摘要:
针对低信噪比条件下,现有的雷达辐射源信号识别方法存在识别正确率低、时效性差的问题,提出了一种基于压缩残差网络的雷达辐射源信号识别方法。首先,利用Choi-Williams分布的时频分析方法将时域信号转换为二维时频图像;然后,根据应用场景特点,选择卷积神经网络(Convolutional Neural Networks, CNN)“压缩”范围;最后,构建压缩残差网络来自动提取图像特征并完成分类。仿真实验结果表明,在同等体量的设计下,与当前较为常用的标准CNN以及ResNet模型相比,所提模型能够降低信号识别运行时间约88%,在信噪比为−14 dB条件下对14种雷达辐射源信号的平均识别率高约5%。提供了一种高效的雷达辐射源信号智能识别方法,具有潜在的工程应用前景。
针对低信噪比条件下,现有的雷达辐射源信号识别方法存在识别正确率低、时效性差的问题,提出了一种基于压缩残差网络的雷达辐射源信号识别方法。首先,利用Choi-Williams分布的时频分析方法将时域信号转换为二维时频图像;然后,根据应用场景特点,选择卷积神经网络(Convolutional Neural Networks, CNN)“压缩”范围;最后,构建压缩残差网络来自动提取图像特征并完成分类。仿真实验结果表明,在同等体量的设计下,与当前较为常用的标准CNN以及ResNet模型相比,所提模型能够降低信号识别运行时间约88%,在信噪比为−14 dB条件下对14种雷达辐射源信号的平均识别率高约5%。提供了一种高效的雷达辐射源信号智能识别方法,具有潜在的工程应用前景。
2024, 36: 043017.
doi: 10.11884/HPLPB202436.230383
摘要:
现有的反射面电磁成像系统体积庞大,无法满足机载、车载、无人机等应用平台要求。针对此类问题,研究了龙伯透镜的结构特性和成像特性,设计了大视场龙伯透镜电磁成像系统,利用空不变成像特性进行超分辨图像处理,实现了快速、大视场、宽频带、高分辨电磁辐射源分布成像。计算了口径300 mm带球核分层龙伯透镜参数,仿真了4~18 GHz龙伯透镜焦弧面场强分布,验证了龙伯透镜空不变的成像特性及其超分辨算法的有效性。实验对比了抛物反射面电磁成像系统和本文龙伯透镜电磁成像系统的体积、成像范围、源数目和分辨率,结果证明了本文系统的优越性,同样分辨率下,达到了方位角及俯仰角均为40°的大视场范围。
现有的反射面电磁成像系统体积庞大,无法满足机载、车载、无人机等应用平台要求。针对此类问题,研究了龙伯透镜的结构特性和成像特性,设计了大视场龙伯透镜电磁成像系统,利用空不变成像特性进行超分辨图像处理,实现了快速、大视场、宽频带、高分辨电磁辐射源分布成像。计算了口径300 mm带球核分层龙伯透镜参数,仿真了4~18 GHz龙伯透镜焦弧面场强分布,验证了龙伯透镜空不变的成像特性及其超分辨算法的有效性。实验对比了抛物反射面电磁成像系统和本文龙伯透镜电磁成像系统的体积、成像范围、源数目和分辨率,结果证明了本文系统的优越性,同样分辨率下,达到了方位角及俯仰角均为40°的大视场范围。
2024, 36: 043018.
doi: 10.11884/HPLPB202436.230186
摘要:
随着移动通信、物联网、车联网、工业互联网等网络的发展,电磁环境日益复杂,非法电子设备也日渐增多,各类信号耦合互调现象严重,这给泄漏信号类型识别带来了难题。提出基于融合特征的泄漏信号分类识别方法,综合运用高维度特征提取方法和图形化降维表征方法,结合残差网络等深度学习模型与特征融合分析方法,能够更综合地区分多类电磁泄漏信号,特征抗噪声鲁棒性高,方法可解释性好,可支撑基于电磁信号类型识别的辐射源智能检测工程应用。
随着移动通信、物联网、车联网、工业互联网等网络的发展,电磁环境日益复杂,非法电子设备也日渐增多,各类信号耦合互调现象严重,这给泄漏信号类型识别带来了难题。提出基于融合特征的泄漏信号分类识别方法,综合运用高维度特征提取方法和图形化降维表征方法,结合残差网络等深度学习模型与特征融合分析方法,能够更综合地区分多类电磁泄漏信号,特征抗噪声鲁棒性高,方法可解释性好,可支撑基于电磁信号类型识别的辐射源智能检测工程应用。
2024, 36: 043019.
doi: 10.11884/HPLPB202436.230380
摘要:
针对时域脉冲信号样本的射频指纹提取与深度学习模型的可解释性,提出了一种基于Grad-CAM的重要区域可视化呈现方法,并通过重要区域的多次掩码测试,来分析重要区域对射频指纹识别结果的影响。基于10个辐射源的信号样本,对比了层数不同的两种ResNet模型的测试结果。测试发现该方法能够区分不同类型信号并呈现个体差异。分析表明,该方法能够发现不同辐射源发送相同信号时的重要区域定位差异,能可视化反映辐射源个体特征的空间距离,以及不同模型的特征表征与指纹定位准确度差异;同时发现对重要区域的掩码更容易产生误预测,证明特定信号存在与时频特征相关的射频指纹,并可辅助可视化定位影响射频指纹样本识别的关键点。
针对时域脉冲信号样本的射频指纹提取与深度学习模型的可解释性,提出了一种基于Grad-CAM的重要区域可视化呈现方法,并通过重要区域的多次掩码测试,来分析重要区域对射频指纹识别结果的影响。基于10个辐射源的信号样本,对比了层数不同的两种ResNet模型的测试结果。测试发现该方法能够区分不同类型信号并呈现个体差异。分析表明,该方法能够发现不同辐射源发送相同信号时的重要区域定位差异,能可视化反映辐射源个体特征的空间距离,以及不同模型的特征表征与指纹定位准确度差异;同时发现对重要区域的掩码更容易产生误预测,证明特定信号存在与时频特征相关的射频指纹,并可辅助可视化定位影响射频指纹样本识别的关键点。
2024, 36: 043020.
doi: 10.11884/HPLPB202436.230302
摘要:
光学下变频技术可将宽频带内全部电磁信号同时下变频到低频区间进行接收,是一种新型宽频带电磁环境快速接收技术。但是,获取的光学下变频信号中包含源个数未知、带宽不同的多种信号,现有信号分离方法需要获知源信号的个数,且无法同时分离窄带信号和宽带信号。为实现对光学下变频信号的自动分离,提出了一种基于变分模态分解(VMD)自适应模态重组的光学下变频信号分离方法。通过频谱分割因子和频谱包络检测,对光学下变频信号的VMD过分解模态进行自动重组和信号重组模态提取,实现光学下变频信号分离。对于包含普通脉冲信号、宽带码分多址(WCDMA)信号和线性调频脉冲信号的光学下变频信号,可自动实现对三种信号的分离,且与原信号的相似系数均高于0.97。实验结果表明,所提及方法在分离光学下变频信号时无需获知源信号的个数,并能同时分离具有不同带宽的多种源信号。
光学下变频技术可将宽频带内全部电磁信号同时下变频到低频区间进行接收,是一种新型宽频带电磁环境快速接收技术。但是,获取的光学下变频信号中包含源个数未知、带宽不同的多种信号,现有信号分离方法需要获知源信号的个数,且无法同时分离窄带信号和宽带信号。为实现对光学下变频信号的自动分离,提出了一种基于变分模态分解(VMD)自适应模态重组的光学下变频信号分离方法。通过频谱分割因子和频谱包络检测,对光学下变频信号的VMD过分解模态进行自动重组和信号重组模态提取,实现光学下变频信号分离。对于包含普通脉冲信号、宽带码分多址(WCDMA)信号和线性调频脉冲信号的光学下变频信号,可自动实现对三种信号的分离,且与原信号的相似系数均高于0.97。实验结果表明,所提及方法在分离光学下变频信号时无需获知源信号的个数,并能同时分离具有不同带宽的多种源信号。
2024, 36: 043021.
doi: 10.11884/HPLPB202436.230303
摘要:
认知偏差是认知电子战中的客观存在。基于动态博弈方法,针对认知雷达对抗过程中因不完整信息和测量误差导致的认知偏差,研究雷达对抗建模方法:以雷达抗干扰改善因子和干扰机干扰效益因子计算博弈双方的效益,采用精炼贝叶斯均衡建立动态雷达对抗模型,分析认知偏差造成的影响。仿真实验结果证明了所提方法的有效性。
认知偏差是认知电子战中的客观存在。基于动态博弈方法,针对认知雷达对抗过程中因不完整信息和测量误差导致的认知偏差,研究雷达对抗建模方法:以雷达抗干扰改善因子和干扰机干扰效益因子计算博弈双方的效益,采用精炼贝叶斯均衡建立动态雷达对抗模型,分析认知偏差造成的影响。仿真实验结果证明了所提方法的有效性。
2024, 36: 043022.
doi: 10.11884/HPLPB202436.230236
摘要:
针对高功率微波波形参数对限幅器温度分布特性的影响,基于双级PIN限幅器的场路协同仿真模型对微波脉冲幅值、频率对温度分布的影响展开了仿真研究。结果表明:微波脉冲幅值、频率的提升会使双级PIN限幅器中PIN二极管的高温区域分布向P区拓展、高温区域分布范围扩大;相对而言,微波脉冲幅值对温度分布的影响更为显著,频率对温度分布的影响相对较小。
针对高功率微波波形参数对限幅器温度分布特性的影响,基于双级PIN限幅器的场路协同仿真模型对微波脉冲幅值、频率对温度分布的影响展开了仿真研究。结果表明:微波脉冲幅值、频率的提升会使双级PIN限幅器中PIN二极管的高温区域分布向P区拓展、高温区域分布范围扩大;相对而言,微波脉冲幅值对温度分布的影响更为显著,频率对温度分布的影响相对较小。
2024, 36: 043023.
doi: 10.11884/HPLPB202436.230276
摘要:
电源变换系统中功率器件如MOSFET和IGBT开关管的高速切换将产生高幅值和宽频段的电磁干扰,是电动车辆最为常见也无法避免的电磁干扰源。同时,互连线缆是机电设备传递信号和能量的载体,是实现设备功能不可或缺的组成部分,线缆的天线效应使其成为设备产生电磁干扰的主要途径,是系统电磁兼容问题的主要根源之一。为了分析高压电源变换系统对低压控制系统的电磁耦合,以某典型地面装备电源变换系统IGBT开关管产生的脉冲宽度调制波(PWM波)作为电磁干扰源,以实装线缆作为分析对象,构建高低压线缆串扰模型,仿真分析不同线缆对地距离、线缆间距条件下单线、屏蔽线、双绞线等多类低压线缆的近端串扰电压,得出低压线缆的抗干扰性,为系统线缆的布线提供指导。
电源变换系统中功率器件如MOSFET和IGBT开关管的高速切换将产生高幅值和宽频段的电磁干扰,是电动车辆最为常见也无法避免的电磁干扰源。同时,互连线缆是机电设备传递信号和能量的载体,是实现设备功能不可或缺的组成部分,线缆的天线效应使其成为设备产生电磁干扰的主要途径,是系统电磁兼容问题的主要根源之一。为了分析高压电源变换系统对低压控制系统的电磁耦合,以某典型地面装备电源变换系统IGBT开关管产生的脉冲宽度调制波(PWM波)作为电磁干扰源,以实装线缆作为分析对象,构建高低压线缆串扰模型,仿真分析不同线缆对地距离、线缆间距条件下单线、屏蔽线、双绞线等多类低压线缆的近端串扰电压,得出低压线缆的抗干扰性,为系统线缆的布线提供指导。
2024, 36: 043024.
doi: 10.11884/HPLPB202436.230273
摘要:
应用三维MC程序和PIC程序,对神光装置辐照下腔体内系统电磁脉冲(SGEMP)模型进行了耦合模拟。在半高宽为2.9 ns、平均能量为10.3 keV的轫致谱X射线点源辐照下,圆柱腔内电场最大值高达2 MV/m,以轴向电场为主;磁场最大值约为0.8×10−3 T,以角向磁场为主,电磁场最大值都集中在发射面附近,以脉冲直流场为主,交流辐射场幅度较小,约在kV/m量级。考察了注量对SGEMP效应的影响,注量越高,电场沿轴向变化越快,交流辐射场占比越大。
应用三维MC程序和PIC程序,对神光装置辐照下腔体内系统电磁脉冲(SGEMP)模型进行了耦合模拟。在半高宽为2.9 ns、平均能量为10.3 keV的轫致谱X射线点源辐照下,圆柱腔内电场最大值高达2 MV/m,以轴向电场为主;磁场最大值约为0.8×10−3 T,以角向磁场为主,电磁场最大值都集中在发射面附近,以脉冲直流场为主,交流辐射场幅度较小,约在kV/m量级。考察了注量对SGEMP效应的影响,注量越高,电场沿轴向变化越快,交流辐射场占比越大。
2024, 36: 043025.
doi: 10.11884/HPLPB202436.230299
摘要:
基于面向对象的C++语言研制三维柱坐标共形网格生成程序,对束-场互作用器件作共形网格剖分,为粒子模拟算法提供积分线元、面元。通过定义三维柱坐标网格体系如网格步长、网格索引、守护网格层、包围盒等数据,使模型的空间信息能转换成柱坐标网格信息。将轴上网格单元作特殊处理,使粒子模拟算法形式在轴上网格和在非轴上网格上保持一致。利用射线跟踪法得到属于模型子面、模型棱边的离散边界点,接着通过拓扑关系获得模型的顶点,保存上述三类离散边界点的拓扑信息和网格信息。将构建的基础网格元与边界点信息耦合,在离散网格体系中重构模型。用该共形网格剖分技术对相对论磁控管进行剖分,能够识别该磁控管的透明阴极、阳极和谐振腔等结构。
基于面向对象的C++语言研制三维柱坐标共形网格生成程序,对束-场互作用器件作共形网格剖分,为粒子模拟算法提供积分线元、面元。通过定义三维柱坐标网格体系如网格步长、网格索引、守护网格层、包围盒等数据,使模型的空间信息能转换成柱坐标网格信息。将轴上网格单元作特殊处理,使粒子模拟算法形式在轴上网格和在非轴上网格上保持一致。利用射线跟踪法得到属于模型子面、模型棱边的离散边界点,接着通过拓扑关系获得模型的顶点,保存上述三类离散边界点的拓扑信息和网格信息。将构建的基础网格元与边界点信息耦合,在离散网格体系中重构模型。用该共形网格剖分技术对相对论磁控管进行剖分,能够识别该磁控管的透明阴极、阳极和谐振腔等结构。
2024, 36: 043026.
doi: 10.11884/HPLPB202436.230370
摘要:
面向核电磁脉冲等强电磁环境下复合材料壳体平台的电磁环境效应分析需求,根据Maxwell-Ampere定理的积分形式,分析得到了时域有限差分方法在处理弱导电薄层介质材料参数时的等效计算方法,即当介质等效波长远大于模型厚度时,可将薄层模型适当增厚,同时等比例减小其电导率,参数等效前后模型的电磁耦合特性基本相同。该方法通过等效增厚薄层材料从而实现增大空间离散步长,减少网格量的目的,不需要改变传统时域有限差分方法的时间步进格式,不会破坏计算的稳定性。无限大有耗介质薄板、薄层球体、含薄层壳体无人机电磁耦合等算例表明,在包含毫米级厚度弱导电介质薄层壳体平台的核电磁脉冲耦合模拟中,该方法具有较好的适用性。
面向核电磁脉冲等强电磁环境下复合材料壳体平台的电磁环境效应分析需求,根据Maxwell-Ampere定理的积分形式,分析得到了时域有限差分方法在处理弱导电薄层介质材料参数时的等效计算方法,即当介质等效波长远大于模型厚度时,可将薄层模型适当增厚,同时等比例减小其电导率,参数等效前后模型的电磁耦合特性基本相同。该方法通过等效增厚薄层材料从而实现增大空间离散步长,减少网格量的目的,不需要改变传统时域有限差分方法的时间步进格式,不会破坏计算的稳定性。无限大有耗介质薄板、薄层球体、含薄层壳体无人机电磁耦合等算例表明,在包含毫米级厚度弱导电介质薄层壳体平台的核电磁脉冲耦合模拟中,该方法具有较好的适用性。
2024, 36: 043027.
doi: 10.11884/HPLPB202436.230245
摘要:
近地爆烟尘由不同粒径尺度的放射性颗粒组成,且运动的时空尺度大。针对近地爆烟尘的大气γ电离辐射环境模拟这一难题,首先开展了γ大气辐射机理分析,进行了无风条件设定,建立了烟尘γ辐射的理论模型,其次引入和提出了相应的数值差分与积分算法,最后给出了对1 000 kt内华达近地爆烟尘在大气中的放射性活度和辐射剂量率的模拟算例,完成了一定的辐射环境时空演变规律总结与结果对比,对比发现本模型在保证活度结果一致性的同时,能计算出大气辐射剂量率的理论最大值。
近地爆烟尘由不同粒径尺度的放射性颗粒组成,且运动的时空尺度大。针对近地爆烟尘的大气γ电离辐射环境模拟这一难题,首先开展了γ大气辐射机理分析,进行了无风条件设定,建立了烟尘γ辐射的理论模型,其次引入和提出了相应的数值差分与积分算法,最后给出了对1 000 kt内华达近地爆烟尘在大气中的放射性活度和辐射剂量率的模拟算例,完成了一定的辐射环境时空演变规律总结与结果对比,对比发现本模型在保证活度结果一致性的同时,能计算出大气辐射剂量率的理论最大值。
2024, 36: 043028.
doi: 10.11884/HPLPB202436.230372
摘要:
针对当前空间碎片数量急剧增长问题,探究基于强电磁辐照的主动清除手段的可行性,以多层隔热结构作为典型危险空间碎片模型,重点关注其电磁响应敏感的金属镀层部分,通过构建复杂多环境因素物理场,在S波段强电磁辐照和真空环境下进行了验证实验。实验结果表明,在10−3 Pa量级的真空环境下,强电磁脉冲与多层隔热结构金属镀层发生相互作用,引发放电现象并产生等离子体,同时伴随着宏观动力学特性的改变。通过观察和分析,我们探讨研究了可能的物理过程,包括强场击穿导致材料点放电、面闪络引起材料网状放电和镀层损伤、粒子吸收微波能量导致材料变形以及等离子体烧蚀引起材料损毁等。该研究为利用强电磁脉冲辐照主动移除危险空间碎片提供了重要的技术支持。
针对当前空间碎片数量急剧增长问题,探究基于强电磁辐照的主动清除手段的可行性,以多层隔热结构作为典型危险空间碎片模型,重点关注其电磁响应敏感的金属镀层部分,通过构建复杂多环境因素物理场,在S波段强电磁辐照和真空环境下进行了验证实验。实验结果表明,在10−3 Pa量级的真空环境下,强电磁脉冲与多层隔热结构金属镀层发生相互作用,引发放电现象并产生等离子体,同时伴随着宏观动力学特性的改变。通过观察和分析,我们探讨研究了可能的物理过程,包括强场击穿导致材料点放电、面闪络引起材料网状放电和镀层损伤、粒子吸收微波能量导致材料变形以及等离子体烧蚀引起材料损毁等。该研究为利用强电磁脉冲辐照主动移除危险空间碎片提供了重要的技术支持。
2024, 36: 043029.
doi: 10.11884/HPLPB202436.230373
摘要:
利用蒙特卡罗方法对早期核辐射场景下的舰船舱室屏蔽特性进行研究。使用早期伽马辐射作为辐射源,测定了舰船主体常用的HSLA-80、5456Al及FDCL-3B三种材料的质量衰减系数,并根据舰船的几何结构建立了模拟舱室模型,采用高斯展宽方法对探测器的能谱拟合处理,得到了伽马辐射下舱室内部NaI探测器的吸收能谱,并与文献中的实验结果进行了对比,验证了计算模型和计算结果的可靠性。在此基础上,以伽马防护系数为评价指标,考虑放射性同位素(单能点源)和早期伽马辐射(具有能量分布的面源)两种场景,计算分析了模拟舱室伽马辐射屏蔽的空间分布特性,结果表明:模拟舱室对不同放射性同位素的防护系数是不同的,最多可相差6.74倍(Cd-109与Cs-137);舱室不同位置的防护系数不同。舱室前端的伽马辐射剂量较大,而角落的伽马辐射剂量较小,相差35%;防护系数与伽马辐照的入射角度有关。与正入射相比,模拟舱室对斜45°入射的伽马辐射防护系数更高,可提升43%。
利用蒙特卡罗方法对早期核辐射场景下的舰船舱室屏蔽特性进行研究。使用早期伽马辐射作为辐射源,测定了舰船主体常用的HSLA-80、5456Al及FDCL-3B三种材料的质量衰减系数,并根据舰船的几何结构建立了模拟舱室模型,采用高斯展宽方法对探测器的能谱拟合处理,得到了伽马辐射下舱室内部NaI探测器的吸收能谱,并与文献中的实验结果进行了对比,验证了计算模型和计算结果的可靠性。在此基础上,以伽马防护系数为评价指标,考虑放射性同位素(单能点源)和早期伽马辐射(具有能量分布的面源)两种场景,计算分析了模拟舱室伽马辐射屏蔽的空间分布特性,结果表明:模拟舱室对不同放射性同位素的防护系数是不同的,最多可相差6.74倍(Cd-109与Cs-137);舱室不同位置的防护系数不同。舱室前端的伽马辐射剂量较大,而角落的伽马辐射剂量较小,相差35%;防护系数与伽马辐照的入射角度有关。与正入射相比,模拟舱室对斜45°入射的伽马辐射防护系数更高,可提升43%。
2024, 36: 043030.
doi: 10.11884/HPLPB202436.230275
摘要:
等离子体相对论微波发生器(PRMG)可以产生宽带高功率微波输出,同时又具有良好的频率可调谐性,因此在雷达、通信、电子对抗和物体探测等诸多领域均具有良好的应用前景。PRMG通常采用加载环形等离子体束的圆柱波导作为其波束互作用区,工作模式为慢等离子体波TM01模(下称P-TM01模)。P-TM01模的色散特性及其变化规律对PRMG输出性能有着重要影响。利用全电磁粒子模拟程序对加载环形等离子体束的圆柱波导中P-TM01模的色散特性和场分布进行了粒子模拟和分析,获得等离子体束密度np、径向厚度Δrp和径向位置rp以及外加引导磁场强度Bz和波导半径rw等参数对P-TM01模的色散特性和场分布的影响规律。主要研究结果包括:(1)一定范围内,np 和Δrp的变化对色散特性影响较大,rp,Bz和rw的变化对色散特性影响较小。值得关注的是,由于波导中环形等离子体束的存在,随着波导半径rw的增加,相同纵向波数kz对应的P-TM01模的频率没有降低而是略有提高。因此,在实际应用时,可以适当加大波导径向尺寸以提高器件功率容量;适当降低磁场,则有利于提高器件的紧凑性。(2)P-TM01模的纵向电场的方向不随径向位置变化,径向电场的方向在等离子体束内外两侧相反,外侧的场分布与同轴波导中TEM模相似。(3)主要物理参数变化时,场分布基本特点不会改变。但随着纵向模式数N和kz相应增加,电场能量向等离子体束收拢,不利于波束相互作用和电磁场的耦合输出。因此为了PRMG的高效运行,束波互作用的共振点最好落在kz相对较小的区域。上述研究结果对PRMG的设计和优化具有一定的理论参考价值。
等离子体相对论微波发生器(PRMG)可以产生宽带高功率微波输出,同时又具有良好的频率可调谐性,因此在雷达、通信、电子对抗和物体探测等诸多领域均具有良好的应用前景。PRMG通常采用加载环形等离子体束的圆柱波导作为其波束互作用区,工作模式为慢等离子体波TM01模(下称P-TM01模)。P-TM01模的色散特性及其变化规律对PRMG输出性能有着重要影响。利用全电磁粒子模拟程序对加载环形等离子体束的圆柱波导中P-TM01模的色散特性和场分布进行了粒子模拟和分析,获得等离子体束密度np、径向厚度Δrp和径向位置rp以及外加引导磁场强度Bz和波导半径rw等参数对P-TM01模的色散特性和场分布的影响规律。主要研究结果包括:(1)一定范围内,np 和Δrp的变化对色散特性影响较大,rp,Bz和rw的变化对色散特性影响较小。值得关注的是,由于波导中环形等离子体束的存在,随着波导半径rw的增加,相同纵向波数kz对应的P-TM01模的频率没有降低而是略有提高。因此,在实际应用时,可以适当加大波导径向尺寸以提高器件功率容量;适当降低磁场,则有利于提高器件的紧凑性。(2)P-TM01模的纵向电场的方向不随径向位置变化,径向电场的方向在等离子体束内外两侧相反,外侧的场分布与同轴波导中TEM模相似。(3)主要物理参数变化时,场分布基本特点不会改变。但随着纵向模式数N和kz相应增加,电场能量向等离子体束收拢,不利于波束相互作用和电磁场的耦合输出。因此为了PRMG的高效运行,束波互作用的共振点最好落在kz相对较小的区域。上述研究结果对PRMG的设计和优化具有一定的理论参考价值。
2024, 36: 043031.
doi: 10.11884/HPLPB202436.230248
摘要:
针对高功率微波在大气传输中可能出现的击穿现象,研究了脉冲序列中首次击穿时的延迟脉冲数,发现其与种子电子、脉冲击穿概率以及微波场强密切相关。研究发现,微波场强可通过作用于种子电子间接影响脉冲击穿概率和延迟脉冲数,由此提出利用延迟脉冲数估计微波击穿临界场强的方法,并定义在脉冲击穿概率大于一定值时的微波临界场强作为击穿阈值。推导了脉冲击穿概率的估计公式,并对估计量的性能进行了分析,随后利用S波段微波大气击穿模拟装置开展了实验验证。实验结果表明,在一定范围内,重复频率微波脉冲击穿延迟脉冲数仅与种子电子产生率和脉宽成反比,能用于估计脉冲击穿概率,进而给出击穿临界场强。
针对高功率微波在大气传输中可能出现的击穿现象,研究了脉冲序列中首次击穿时的延迟脉冲数,发现其与种子电子、脉冲击穿概率以及微波场强密切相关。研究发现,微波场强可通过作用于种子电子间接影响脉冲击穿概率和延迟脉冲数,由此提出利用延迟脉冲数估计微波击穿临界场强的方法,并定义在脉冲击穿概率大于一定值时的微波临界场强作为击穿阈值。推导了脉冲击穿概率的估计公式,并对估计量的性能进行了分析,随后利用S波段微波大气击穿模拟装置开展了实验验证。实验结果表明,在一定范围内,重复频率微波脉冲击穿延迟脉冲数仅与种子电子产生率和脉宽成反比,能用于估计脉冲击穿概率,进而给出击穿临界场强。
2024, 36: 043032.
doi: 10.11884/HPLPB202436.230101
摘要:
相对论电子束在理想顺磁环境下能够以较高的注量率击中靶目标,但实际情况中由于受环境的影响,相对论电子束的传输方向可能会与地磁场呈小角度偏差,因此会受到地磁场的作用产生拉莫尔进动,影响电子束的到靶瞄准以及到靶注量。基于二维片状相对论电子束,分别对相对论电子束顺磁和偏离磁场3°角两种传输情况进行仿真模拟,通过模拟束团的传输过程,分析研究了顺磁环境下不同传输距离束团到靶率的变化规律,以及偏离磁场3°角时传输过程中注量率的变化规律,为相对论电子束到靶率的预估和靶目标的瞄准提供数据参考。
相对论电子束在理想顺磁环境下能够以较高的注量率击中靶目标,但实际情况中由于受环境的影响,相对论电子束的传输方向可能会与地磁场呈小角度偏差,因此会受到地磁场的作用产生拉莫尔进动,影响电子束的到靶瞄准以及到靶注量。基于二维片状相对论电子束,分别对相对论电子束顺磁和偏离磁场3°角两种传输情况进行仿真模拟,通过模拟束团的传输过程,分析研究了顺磁环境下不同传输距离束团到靶率的变化规律,以及偏离磁场3°角时传输过程中注量率的变化规律,为相对论电子束到靶率的预估和靶目标的瞄准提供数据参考。

Email alert
RSS
