2026年 38卷 第1期
推荐文章
2026, 38: 013001.
doi: 10.11884/HPLPB202638.250455
2026, 38: 019001.
doi: 10.11884/HPLPB202638.250019
2026, 38: 019002.
doi: 10.11884/HPLPB202638.250187
显示方式:
2026, 38: 011001.
doi: 10.11884/HPLPB202638.250150
摘要:
高功率GaN基蓝光二极管激光器在工业加工、铜材料焊接、3D打印和水下激光通信等技术领域有着广泛的应用前景。蓝光二极管激光芯片COS单元器件具有热阻低和尺寸小的优点,但是该器件存在可靠性较低的问题,导致其在工业化应用中受到一定限制,因此对其性能退化因素进行深入研究。基于光学显微技术、扫描电子显微表征和能谱分析手段对经过长时老化考核后器件的性能退化因素进行分析研究。实验研究和分析表明,GaN基体材料缺陷、腔面多余物沉积和光化学腐蚀是导致蓝光二极管激光芯片性能退化的主因,同时良好的气密性封装可提高二极管激光芯片的可靠性。
高功率GaN基蓝光二极管激光器在工业加工、铜材料焊接、3D打印和水下激光通信等技术领域有着广泛的应用前景。蓝光二极管激光芯片COS单元器件具有热阻低和尺寸小的优点,但是该器件存在可靠性较低的问题,导致其在工业化应用中受到一定限制,因此对其性能退化因素进行深入研究。基于光学显微技术、扫描电子显微表征和能谱分析手段对经过长时老化考核后器件的性能退化因素进行分析研究。实验研究和分析表明,GaN基体材料缺陷、腔面多余物沉积和光化学腐蚀是导致蓝光二极管激光芯片性能退化的主因,同时良好的气密性封装可提高二极管激光芯片的可靠性。
2026, 38: 011002.
doi: 10.11884/HPLPB202638.250178
摘要:
为了实现拉曼激光装置的小型化并抑制激光诱导击穿现象,利用锥透镜将泵浦激光调制成贝塞尔光束以实现受激拉曼变频。实验结果表明,增益介质的气压,泵浦光的直径,锥透镜的底角均对光子转化效率产生影响。在3.5 MPa甲烷中,1064 nm波长、366 mJ脉冲能量的泵浦光能够产生128 mJ的1543 nm前向拉曼激光,光子转化效率达到50.7%,且有望在更高气压和更高泵浦能量下实现更高转化效率。遮挡锥透镜中心圆角尖端,仍可保留97 mJ的拉曼激光脉冲能量,此时光束质量β=2.19。实验验证了拉曼池可设计为长度0.4 m而不损坏窗口。综合多个实验结果可以推论,在不牺牲转化效率的前提下,拉曼池可以进一步缩短至0.3 m。通过轴向移动锥透镜在长拉曼池内的位置,可调节前后向斯托克斯光的输出比例。
为了实现拉曼激光装置的小型化并抑制激光诱导击穿现象,利用锥透镜将泵浦激光调制成贝塞尔光束以实现受激拉曼变频。实验结果表明,增益介质的气压,泵浦光的直径,锥透镜的底角均对光子转化效率产生影响。在3.5 MPa甲烷中,
2026, 38: 011003.
doi: 10.11884/HPLPB202638.250252
摘要:
基于啁啾脉冲放大技术,采用棒状光子晶体光纤作为核心增益介质,成功搭建一套百瓦级的高功率飞秒光纤激光系统。在主放大器部分,通过反向泵浦与单棒双通结合的放大形式,实现泵浦功率-放大后信号光功率的转换效率超过60%,实现了高的转换效率。放大过程中有效避免了横向模式不稳定和非线性光谱畸变,输出光斑椭圆度为95%。采用双光栅结构对输出激光进行脉宽压缩,最终实现了中心波长1033 nm、重复频率1 MHz、单脉冲能量162 μJ、脉冲宽度233 fs的高功率激光输出,激光器系统的总泵浦光功率与压缩后信号光功率转换效率高达54%。该激光器的高重复频率、高平均功率和窄脉宽特性,为百瓦级高功率飞秒光纤激光器的设计提供了新的方案。
基于啁啾脉冲放大技术,采用棒状光子晶体光纤作为核心增益介质,成功搭建一套百瓦级的高功率飞秒光纤激光系统。在主放大器部分,通过反向泵浦与单棒双通结合的放大形式,实现泵浦功率-放大后信号光功率的转换效率超过60%,实现了高的转换效率。放大过程中有效避免了横向模式不稳定和非线性光谱畸变,输出光斑椭圆度为95%。采用双光栅结构对输出激光进行脉宽压缩,最终实现了中心波长
2026, 38: 011004.
doi: 10.11884/HPLPB202638.250171
摘要:
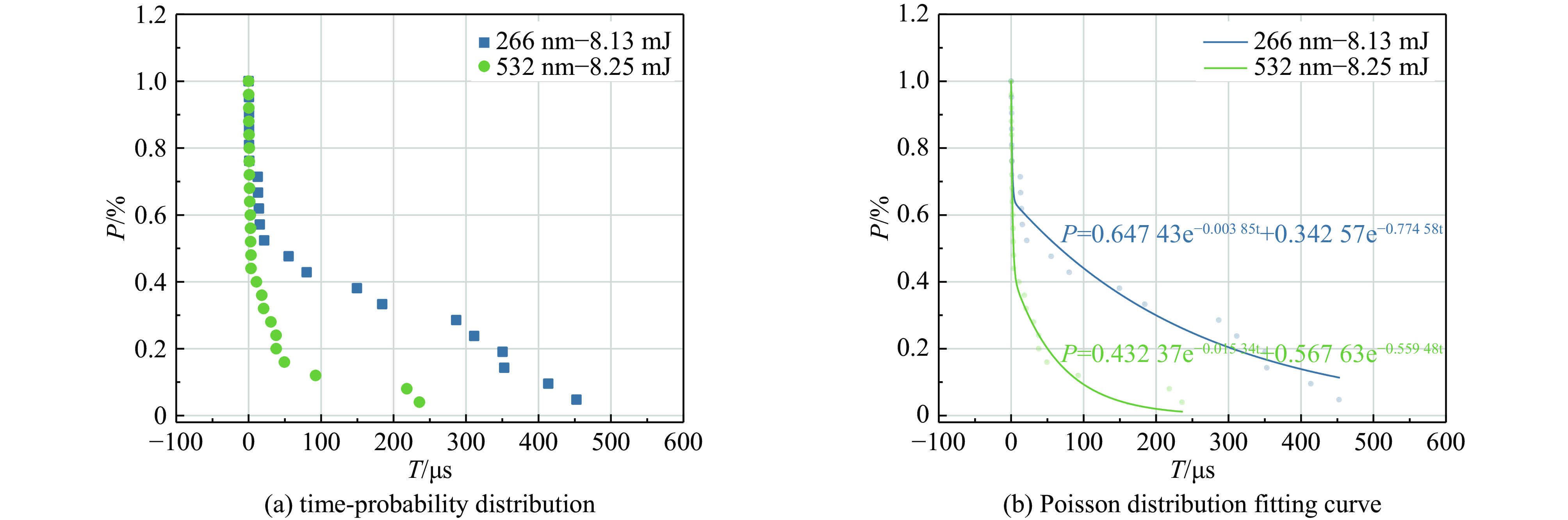
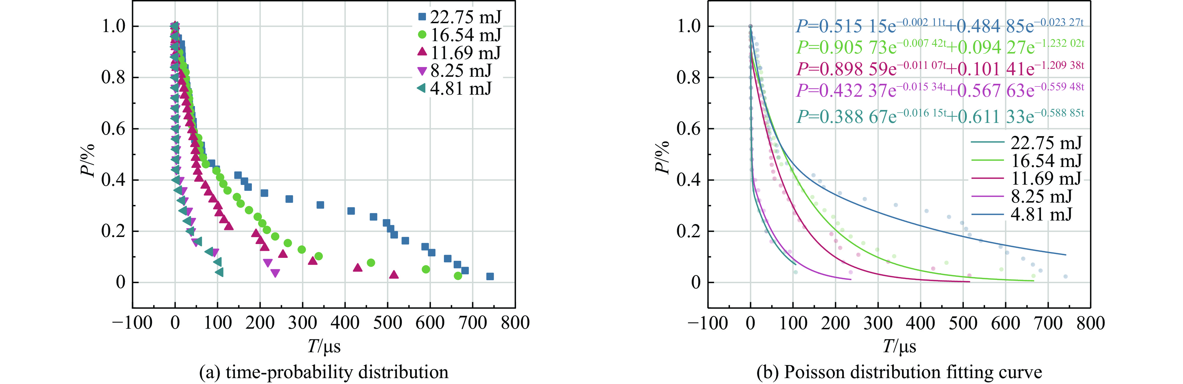
强激光在空间太阳能电站无线能量传输(WPT)过程中可能对其他航天器产生影响,特别是对航天器的太阳电池阵,可能诱发航天器太阳电池阵发生放电现象。掌握激光诱发航天器太阳电池阵放电特性,对支撑强激光无线能量传输技术发展有重要作用。开展激光能量与波长两个参量对激光诱发太阳能电池阵放电特性的影响研究。基于激光诱导等离子体理论和低地球轨道(LEO)等离子环境下的放电机理,分析了激光诱发太阳电池阵放电的机制,并基于该机制理论指定了激光诱发航天器太阳电池阵放电试验的试验参数。试验分析了532 nm波长不同能量激光诱发太阳电池阵放电的概率,并获取放电时间数据,建立时间概率分布曲线,通过二重泊松分布拟合,获得不同能量激光诱发太阳电池阵放电持续时间的概率函数;对比研究了相同能量下532 nm与266 nm两种波长激光诱发太阳电池阵放电的电流峰值及持续时间概率函数。研究结果显示激光波长越短、能量越高,诱发太阳电池阵放电风险越高。
强激光在空间太阳能电站无线能量传输(WPT)过程中可能对其他航天器产生影响,特别是对航天器的太阳电池阵,可能诱发航天器太阳电池阵发生放电现象。掌握激光诱发航天器太阳电池阵放电特性,对支撑强激光无线能量传输技术发展有重要作用。开展激光能量与波长两个参量对激光诱发太阳能电池阵放电特性的影响研究。基于激光诱导等离子体理论和低地球轨道(LEO)等离子环境下的放电机理,分析了激光诱发太阳电池阵放电的机制,并基于该机制理论指定了激光诱发航天器太阳电池阵放电试验的试验参数。试验分析了532 nm波长不同能量激光诱发太阳电池阵放电的概率,并获取放电时间数据,建立时间概率分布曲线,通过二重泊松分布拟合,获得不同能量激光诱发太阳电池阵放电持续时间的概率函数;对比研究了相同能量下532 nm与266 nm两种波长激光诱发太阳电池阵放电的电流峰值及持续时间概率函数。研究结果显示激光波长越短、能量越高,诱发太阳电池阵放电风险越高。
2026, 38: 012001.
doi: 10.11884/HPLPB202638.250148
摘要:
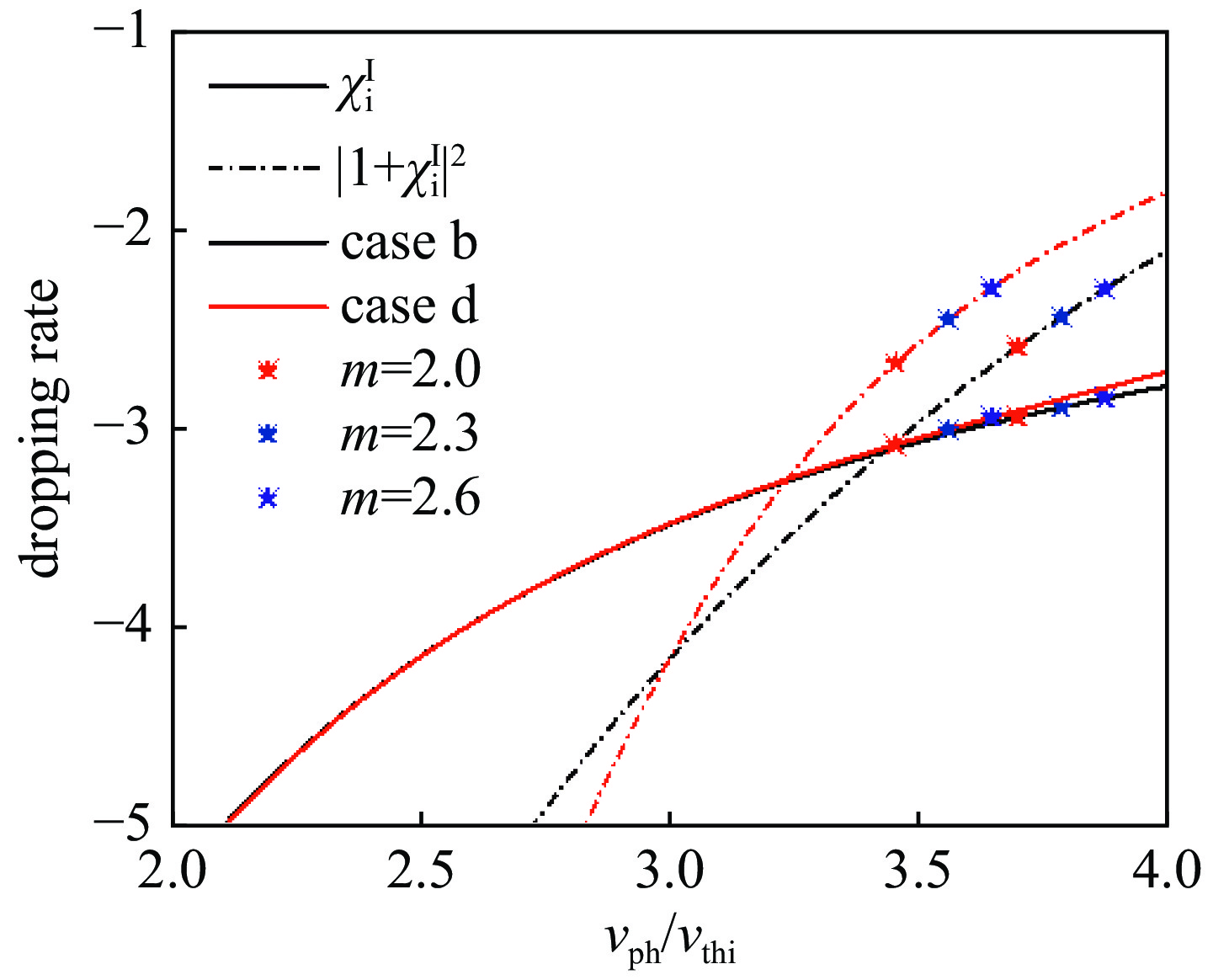
背向受激拉曼散射与背向受激布里渊散射是激光聚变中广泛存在的两种激光等离子体不稳定性。为了深入理解两者之间的竞争过程,通过求解包含超高斯电子分布函数的五波耦合方程,并考虑了离子-离子碰撞对离子极化率的修正,分析了CH等离子体中Langdon效应和离子碰撞对两种不稳定性竞争关系和反射率的影响,研究结果表明,Langdon效应既可以改变背向受激拉曼散射与背向受激布里渊散射的色散关系,也可以改变电子等离子体波和离子声波的阻尼,而离子-离子碰撞的修正则主要是改变背向受激布里渊散射的色散关系和离子声波的阻尼,两者都可以使背向受激拉曼散射在密度相对更低的条件下在与背向受激布里渊散射的竞争中占据优势。
背向受激拉曼散射与背向受激布里渊散射是激光聚变中广泛存在的两种激光等离子体不稳定性。为了深入理解两者之间的竞争过程,通过求解包含超高斯电子分布函数的五波耦合方程,并考虑了离子-离子碰撞对离子极化率的修正,分析了CH等离子体中Langdon效应和离子碰撞对两种不稳定性竞争关系和反射率的影响,研究结果表明,Langdon效应既可以改变背向受激拉曼散射与背向受激布里渊散射的色散关系,也可以改变电子等离子体波和离子声波的阻尼,而离子-离子碰撞的修正则主要是改变背向受激布里渊散射的色散关系和离子声波的阻尼,两者都可以使背向受激拉曼散射在密度相对更低的条件下在与背向受激布里渊散射的竞争中占据优势。
2026, 38: 013001.
doi: 10.11884/HPLPB202638.250455
摘要:
报道了面向磁约束聚变电子回旋共振加热(ECRH)应用的175 GHz长脉冲回旋管的最新实验进展。该回旋管输出窗采用了金刚石窗,电子枪采用双阳极磁控注入枪,谐振腔工作模式为TE28,11,收集极采用了单极降压和纵向扫描线圈。通过实验调试和长时间老炼,该回旋管实现了输出功率500 kW、连续工作100 s的实验结果,总效率达到为46%。这是国内首次在ECRH回旋管研究中实现百千瓦级100 s长脉冲输出。
报道了面向磁约束聚变电子回旋共振加热(ECRH)应用的175 GHz长脉冲回旋管的最新实验进展。该回旋管输出窗采用了金刚石窗,电子枪采用双阳极磁控注入枪,谐振腔工作模式为TE28,11,收集极采用了单极降压和纵向扫描线圈。通过实验调试和长时间老炼,该回旋管实现了输出功率500 kW、连续工作100 s的实验结果,总效率达到为46%。这是国内首次在ECRH回旋管研究中实现百千瓦级100 s长脉冲输出。
2026, 38: 013002.
doi: 10.11884/HPLPB202638.250176
摘要:
通过辐照实验和热测方法研究了一型GNSS兼容接收机天线高功率微波(HPM)前门通道效应。辐照实验表明,在HPM频率1.6 GHz、脉宽50 ns、到靶功率密度约35 W/cm2条件下,实验的6个天线样本中有4个完全损伤、2个降级。对该型GNSS天线射频通道的分析和测试表明,其包含三级放大电路:第一级由两个滤波器和两个低噪放(LNA)分别形成中心频率约1.25 GHz和约1.6 GHz两条射频通道,其后信号合路进入共用的第二和第三级LNA。研究结果表明:HPM脉冲频率(1.6 GHz)所在射频通道的第一级LNA被HPM脉冲降级或损伤,是导致该型GNSS天线样本出现降级和损伤的原因;另一通道的第一级LNA及共用的第二、第三级LNA未受明显影响。原位更换受损的第一级LNA后,GNSS天线功能恢复正常,这说明该型GNSS天线前门效应与HPM频率具有较强相关性。
通过辐照实验和热测方法研究了一型GNSS兼容接收机天线高功率微波(HPM)前门通道效应。辐照实验表明,在HPM频率1.6 GHz、脉宽50 ns、到靶功率密度约35 W/cm2条件下,实验的6个天线样本中有4个完全损伤、2个降级。对该型GNSS天线射频通道的分析和测试表明,其包含三级放大电路:第一级由两个滤波器和两个低噪放(LNA)分别形成中心频率约1.25 GHz和约1.6 GHz两条射频通道,其后信号合路进入共用的第二和第三级LNA。研究结果表明:HPM脉冲频率(1.6 GHz)所在射频通道的第一级LNA被HPM脉冲降级或损伤,是导致该型GNSS天线样本出现降级和损伤的原因;另一通道的第一级LNA及共用的第二、第三级LNA未受明显影响。原位更换受损的第一级LNA后,GNSS天线功能恢复正常,这说明该型GNSS天线前门效应与HPM频率具有较强相关性。
2026, 38: 013003.
doi: 10.11884/HPLPB202638.250209
摘要:
为了满足研制兆瓦级大功率回旋行波管对高压、大电流、低电子注速度零散磁控注入电子枪的迫切需求,针对性地给出了一支新型磁控注入单阳极电子枪的设计方案。该新型电子枪方案引入曲面阴极结构,以降低电子枪的速度零散,同时有效增大阴极发射带面积,降低阴极发射密度,从根本上提高电子枪的工作稳定性与寿命。PIC仿真的结果表明:在115 kV、43 A的工作条件下,该电子枪的横纵速度比为1.05,速度零散为1.63%,引导中心半径为3.41 mm,满足应用需求。
为了满足研制兆瓦级大功率回旋行波管对高压、大电流、低电子注速度零散磁控注入电子枪的迫切需求,针对性地给出了一支新型磁控注入单阳极电子枪的设计方案。该新型电子枪方案引入曲面阴极结构,以降低电子枪的速度零散,同时有效增大阴极发射带面积,降低阴极发射密度,从根本上提高电子枪的工作稳定性与寿命。PIC仿真的结果表明:在115 kV、43 A的工作条件下,该电子枪的横纵速度比为1.05,速度零散为1.63%,引导中心半径为3.41 mm,满足应用需求。
2026, 38: 013004.
doi: 10.11884/HPLPB202638.250271
摘要:
基于反射阵列天线基础理论并利用参考相位优化方法,提出了一种适用于高功率微波双频反射阵列天线的相位综合方法。该方法充分考虑天线单元在不同入射波角度下的反射相位状态、电场强度以及与结构参数之间的对应关系,并进一步引入了筛选阈值的概念以提升系统功率容量,同时通过参考相位优选来缓解因筛选阈值而丢失掉小部分相移曲线引起的口径效率降低。该方法能够简化双频反射阵列天线流程并有效提升天线性能。为了验证方法的正确性,设计了一种多方框形状的改进型反射阵列天线单元,并用所提出方法开展双频反射阵列天线设计。该27×27单元阵列的工作频率为4.3 GHz和10.0 GHz,口径效率分别达到了67.37%和48.69%,真空中的功率容量达到数百兆瓦,有效验证了所提出相位综合方法的适用性。
基于反射阵列天线基础理论并利用参考相位优化方法,提出了一种适用于高功率微波双频反射阵列天线的相位综合方法。该方法充分考虑天线单元在不同入射波角度下的反射相位状态、电场强度以及与结构参数之间的对应关系,并进一步引入了筛选阈值的概念以提升系统功率容量,同时通过参考相位优选来缓解因筛选阈值而丢失掉小部分相移曲线引起的口径效率降低。该方法能够简化双频反射阵列天线流程并有效提升天线性能。为了验证方法的正确性,设计了一种多方框形状的改进型反射阵列天线单元,并用所提出方法开展双频反射阵列天线设计。该27×27单元阵列的工作频率为4.3 GHz和10.0 GHz,口径效率分别达到了67.37%和48.69%,真空中的功率容量达到数百兆瓦,有效验证了所提出相位综合方法的适用性。
2026, 38: 013005.
doi: 10.11884/HPLPB202638.250256
摘要:
在高功率微波和脉冲压缩领域,相对于指数衰减的微波脉冲,平顶输出具有降低结构表面最大瞬态场以及增强系统稳定性等核心优势,因此具有重要的技术意义和应用价值。提出一种S波段基于行波储能的环形高功率微波脉冲压缩器,通过控制环形波导传输线的长度使输入微波通过定向耦合器完成线性叠加储能,通过输入信号倒相完成功率的倍增和微波信号的平稳输出。基于散射矩阵理论分析其储能过程及输入倒相之后的功率增益和平顶输出宽度,并用CST进行仿真验证。仿真结果显示,其功率增益达5.7倍以上,平顶宽度80 ns,且波形平缓,若采用金属壁表面击穿阈值300 kV/cm来估计功率容量,则脉冲压缩器的功率容量可以达到160 MW。与现有技术相比,该设计结构简单、体积紧凑、加工维护便捷,为高功率微波能量平稳输出以及两级脉冲压缩系统的研究提供新方案。
在高功率微波和脉冲压缩领域,相对于指数衰减的微波脉冲,平顶输出具有降低结构表面最大瞬态场以及增强系统稳定性等核心优势,因此具有重要的技术意义和应用价值。提出一种S波段基于行波储能的环形高功率微波脉冲压缩器,通过控制环形波导传输线的长度使输入微波通过定向耦合器完成线性叠加储能,通过输入信号倒相完成功率的倍增和微波信号的平稳输出。基于散射矩阵理论分析其储能过程及输入倒相之后的功率增益和平顶输出宽度,并用CST进行仿真验证。仿真结果显示,其功率增益达5.7倍以上,平顶宽度80 ns,且波形平缓,若采用金属壁表面击穿阈值300 kV/cm来估计功率容量,则脉冲压缩器的功率容量可以达到160 MW。与现有技术相比,该设计结构简单、体积紧凑、加工维护便捷,为高功率微波能量平稳输出以及两级脉冲压缩系统的研究提供新方案。
2026, 38: 013006.
doi: 10.11884/HPLPB202638.250138
摘要:
针对精确评估目标高功率微波后门耦合效应困难的问题,以典型金属腔体为对象,提出“强耦合区域覆盖率”指标,采用时域有限差分法(FDTD)建立仿真模型,分析了高功率微波波形参数对后门耦合效应的影响。研究发现:腔体固有谐振频率下强耦合覆盖率显著高于非谐振频率;脉冲宽度增至特定值时,谐振频率下覆盖率趋于稳定;极化角从水平向垂直变化时,覆盖率有显著变化;叠加不同谐振频率可填补非强耦合区域空白,进一步提高覆盖率;脉冲前沿对覆盖率影响较小。该研究可为高功率微波后门耦合效应机理及参数优化提供关键技术支撑。
针对精确评估目标高功率微波后门耦合效应困难的问题,以典型金属腔体为对象,提出“强耦合区域覆盖率”指标,采用时域有限差分法(FDTD)建立仿真模型,分析了高功率微波波形参数对后门耦合效应的影响。研究发现:腔体固有谐振频率下强耦合覆盖率显著高于非谐振频率;脉冲宽度增至特定值时,谐振频率下覆盖率趋于稳定;极化角从水平向垂直变化时,覆盖率有显著变化;叠加不同谐振频率可填补非强耦合区域空白,进一步提高覆盖率;脉冲前沿对覆盖率影响较小。该研究可为高功率微波后门耦合效应机理及参数优化提供关键技术支撑。
2026, 38: 014001.
doi: 10.11884/HPLPB202638.250038
摘要:
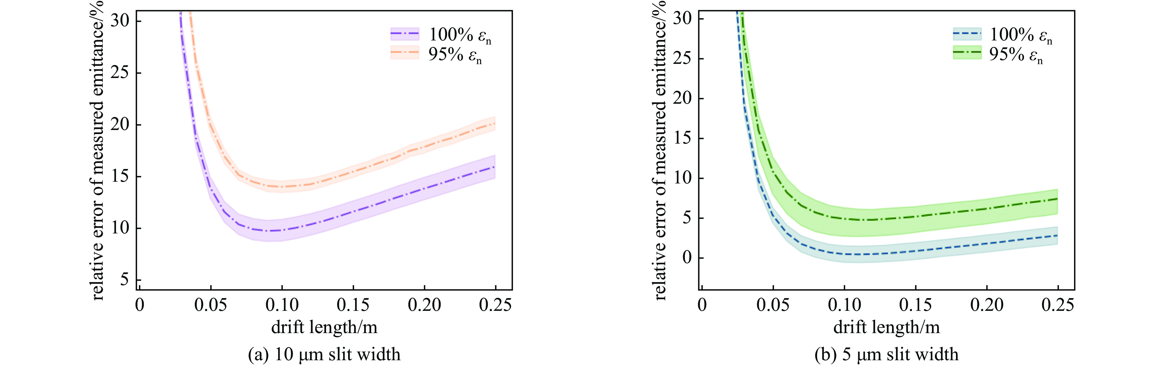
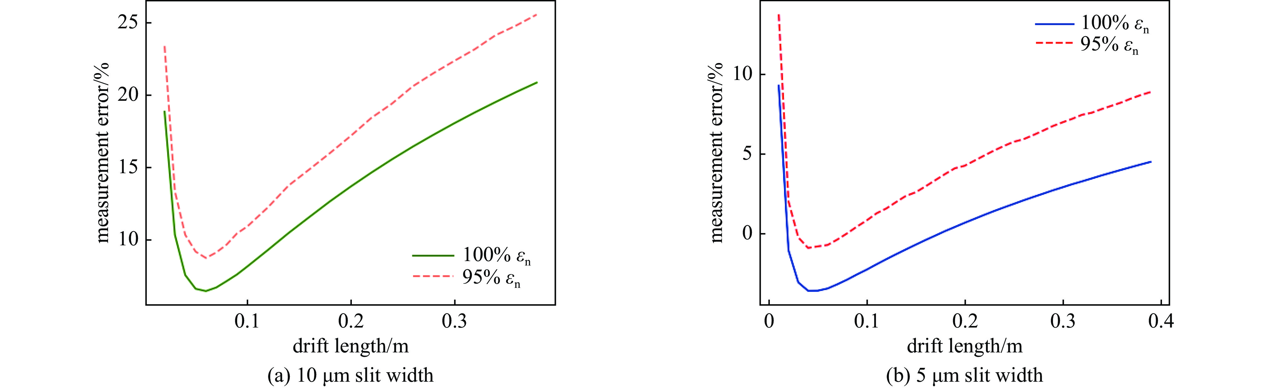
束团电荷量100 pC条件下,C波段光阴极微波电子枪出口的束流归一化发射度预计低于0.2 mm·mrad。为实现对极小束流发射度的准确测量,设计了一套基于单狭缝扫描法的发射度测量仪,并利用数值模拟对发射度仪的狭缝结构和子束团漂移距离等核心参数进行了优化。考虑动态误差的数值模拟表明:采用宽度5 μm、厚度1 mm的狭缝和0.11 m的子束团漂移距离时,95%发射度的测量偏差低于5%。
束团电荷量100 pC条件下,C波段光阴极微波电子枪出口的束流归一化发射度预计低于0.2 mm·mrad。为实现对极小束流发射度的准确测量,设计了一套基于单狭缝扫描法的发射度测量仪,并利用数值模拟对发射度仪的狭缝结构和子束团漂移距离等核心参数进行了优化。考虑动态误差的数值模拟表明:采用宽度5 μm、厚度1 mm的狭缝和0.11 m的子束团漂移距离时,95%发射度的测量偏差低于5%。
2026, 38: 014002.
doi: 10.11884/HPLPB202638.250137
摘要:
在快循环同步加速器(RCS)中,磁场与束流能量保持同步,形成高动态的磁场环境。为完全避免涡流效应并降低阻抗,RCS通常使用陶瓷真空盒,并覆盖复杂的屏蔽层结构。虽然传统理论认为此类结构的实部阻抗对束流动力学的影响可以忽略,但中国散裂中子源(CSNS)的阻抗测量却揭示了陶瓷真空盒中存在低频谐振阻抗。理论溯源表明,这一阻抗正是导致CSNS/RCS束流不稳定性的关键机制。由于该谐振阻抗的物理机制复杂,尚无独立方法验证测量阻抗。为此,本研究首次采用数值模拟方法证实了谐振阻抗的客观存在,并通过系统模拟涵盖了RCS各类陶瓷真空盒的构型,成功构建了高精度阻抗模型,为强流加速器中的束流不稳定性研究提供了重要的理论支持。
在快循环同步加速器(RCS)中,磁场与束流能量保持同步,形成高动态的磁场环境。为完全避免涡流效应并降低阻抗,RCS通常使用陶瓷真空盒,并覆盖复杂的屏蔽层结构。虽然传统理论认为此类结构的实部阻抗对束流动力学的影响可以忽略,但中国散裂中子源(CSNS)的阻抗测量却揭示了陶瓷真空盒中存在低频谐振阻抗。理论溯源表明,这一阻抗正是导致CSNS/RCS束流不稳定性的关键机制。由于该谐振阻抗的物理机制复杂,尚无独立方法验证测量阻抗。为此,本研究首次采用数值模拟方法证实了谐振阻抗的客观存在,并通过系统模拟涵盖了RCS各类陶瓷真空盒的构型,成功构建了高精度阻抗模型,为强流加速器中的束流不稳定性研究提供了重要的理论支持。
2026, 38: 014003.
doi: 10.11884/HPLPB202638.250262
摘要:
在激光加速离子实验中,基于金刚石探测器的飞行时间法是获取加速离子能谱分布的关键诊断手段之一。然而,强激光与靶相互作用产生的瞬态电磁脉冲会严重干扰数据获取系统,导致示波器基线电位发生显著畸变,污染甚至淹没关键的离子信号,从而给离子能谱的精确测量带来了严峻挑战。基于XG-III激光装置上开展的多次皮秒激光加速离子实验,研究了金刚石探测器记录信号中出现的示波器基线偏置现象。结果发现激光打靶瞬间产生的强电磁脉冲会通过电缆耦合进入测量系统,引发幅度高达−5 V的基线下拉干扰,持续时间约200 ns后逐步恢复至正常水平。针对该时变特征与多发次实验数据特性,结合机器学习算法建立了一种自适应的时变基线恢复模型。该模型能够对基线的时变特性进行合理刻画,为后续实现单发次离子TOF谱的在线干扰校正提供了可行的技术思路。
在激光加速离子实验中,基于金刚石探测器的飞行时间法是获取加速离子能谱分布的关键诊断手段之一。然而,强激光与靶相互作用产生的瞬态电磁脉冲会严重干扰数据获取系统,导致示波器基线电位发生显著畸变,污染甚至淹没关键的离子信号,从而给离子能谱的精确测量带来了严峻挑战。基于XG-III激光装置上开展的多次皮秒激光加速离子实验,研究了金刚石探测器记录信号中出现的示波器基线偏置现象。结果发现激光打靶瞬间产生的强电磁脉冲会通过电缆耦合进入测量系统,引发幅度高达−5 V的基线下拉干扰,持续时间约200 ns后逐步恢复至正常水平。针对该时变特征与多发次实验数据特性,结合机器学习算法建立了一种自适应的时变基线恢复模型。该模型能够对基线的时变特性进行合理刻画,为后续实现单发次离子TOF谱的在线干扰校正提供了可行的技术思路。
2026, 38: 015001.
doi: 10.11884/HPLPB202638.250204
摘要:
毫秒(ms)充电的PFN-Marx型脉冲驱动源在轻量化、小型化实现方面具有较大潜力,为实现其长寿命稳定可靠运行,需解决的关键技术之一是提升气体触发开关重频稳定性。研制了一套基于电晕稳定开关工作原理的气体触发开关,以解决ms充电条件下开关工作电压分散性大、触发电极烧蚀过快的难题。围绕该开关开展了结构设计、静电场仿真、触发器研制、触发开关工作范围、时延及其抖动等研究,解决了ms充电条件下开关发生自击穿或触而未发概率高的问题。实验研究结果表明:所设计触发开关在工作气体SF6、气压0.6 MPa的条件下,开关最高工作电压达到90 kV,在开关工作电压84 kV、重频20 Hz、串内脉冲数500个、开关不换气的条件下,连续累计测试开关寿命10万次,期间仅出现1次自击穿,自击穿率<0.01‰,初步实现了电触发开关具有一定工作范围和寿命的设计目标。
毫秒(ms)充电的PFN-Marx型脉冲驱动源在轻量化、小型化实现方面具有较大潜力,为实现其长寿命稳定可靠运行,需解决的关键技术之一是提升气体触发开关重频稳定性。研制了一套基于电晕稳定开关工作原理的气体触发开关,以解决ms充电条件下开关工作电压分散性大、触发电极烧蚀过快的难题。围绕该开关开展了结构设计、静电场仿真、触发器研制、触发开关工作范围、时延及其抖动等研究,解决了ms充电条件下开关发生自击穿或触而未发概率高的问题。实验研究结果表明:所设计触发开关在工作气体SF6、气压0.6 MPa的条件下,开关最高工作电压达到90 kV,在开关工作电压84 kV、重频20 Hz、串内脉冲数500个、开关不换气的条件下,连续累计测试开关寿命10万次,期间仅出现1次自击穿,自击穿率<0.01‰,初步实现了电触发开关具有一定工作范围和寿命的设计目标。
2026, 38: 015002.
doi: 10.11884/HPLPB202638.250113
摘要:
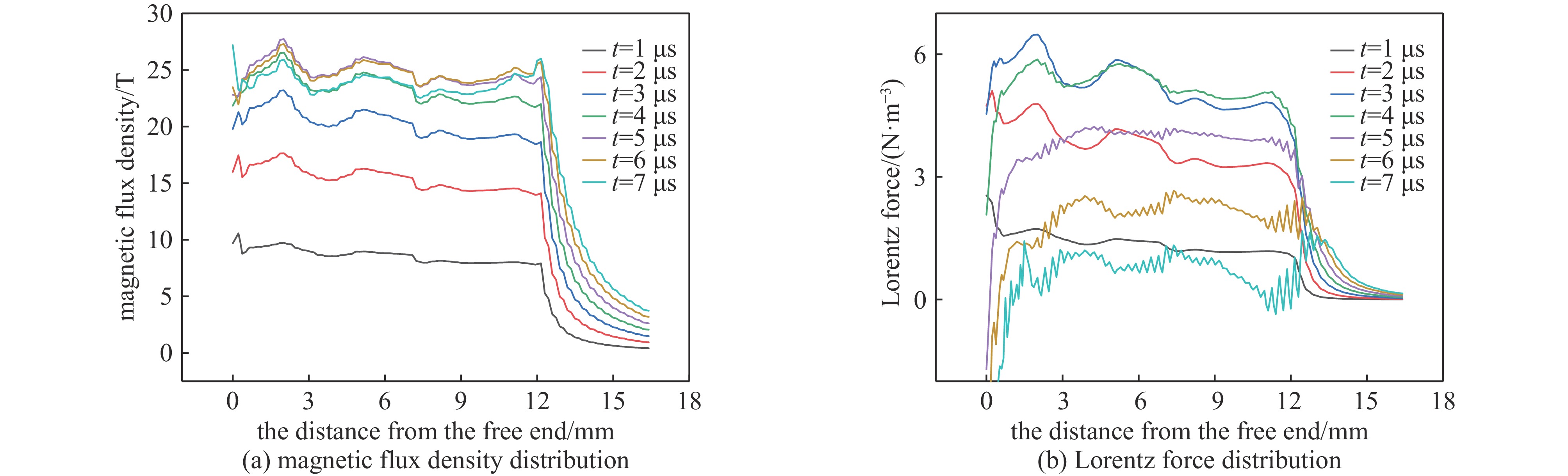
电磁脉冲焊接技术是一种新兴固态焊接技术,将其应用于电力导线与端子的连接,可有效提升电力导线接头的可靠性。然而,电磁脉冲焊接接头存在中间未结合区域,严重制约了电磁脉冲焊接技术在电力导线连接领域的应用。提出了一种分体式集磁器结构,以进一步提升电磁脉冲焊接接头的结合性能。为证实所提出分体式集磁器结构的有效性,首先,基于对分体式集磁器和传统一体式集磁器的理论分析,进行分体式集磁器结构设计;随后,通过仿真探究了集磁器结构对接头变形区域电磁参数和运动参数的影响规律;最后,开展实验测试,对比分析使用不同集磁器结构所制备电磁脉冲焊接接头力学性能,验证分体式集磁器对接头结合性能的改善作用。实验结果表明,相较于具有相同尺寸的一体式集磁器,使用分体式集磁器制备的电磁脉冲焊接接头拉伸性能提高了22.73%,焊痕总长度增加了2.68 mm。
电磁脉冲焊接技术是一种新兴固态焊接技术,将其应用于电力导线与端子的连接,可有效提升电力导线接头的可靠性。然而,电磁脉冲焊接接头存在中间未结合区域,严重制约了电磁脉冲焊接技术在电力导线连接领域的应用。提出了一种分体式集磁器结构,以进一步提升电磁脉冲焊接接头的结合性能。为证实所提出分体式集磁器结构的有效性,首先,基于对分体式集磁器和传统一体式集磁器的理论分析,进行分体式集磁器结构设计;随后,通过仿真探究了集磁器结构对接头变形区域电磁参数和运动参数的影响规律;最后,开展实验测试,对比分析使用不同集磁器结构所制备电磁脉冲焊接接头力学性能,验证分体式集磁器对接头结合性能的改善作用。实验结果表明,相较于具有相同尺寸的一体式集磁器,使用分体式集磁器制备的电磁脉冲焊接接头拉伸性能提高了22.73%,焊痕总长度增加了2.68 mm。
2026, 38: 015003.
doi: 10.11884/HPLPB202638.250248
摘要:
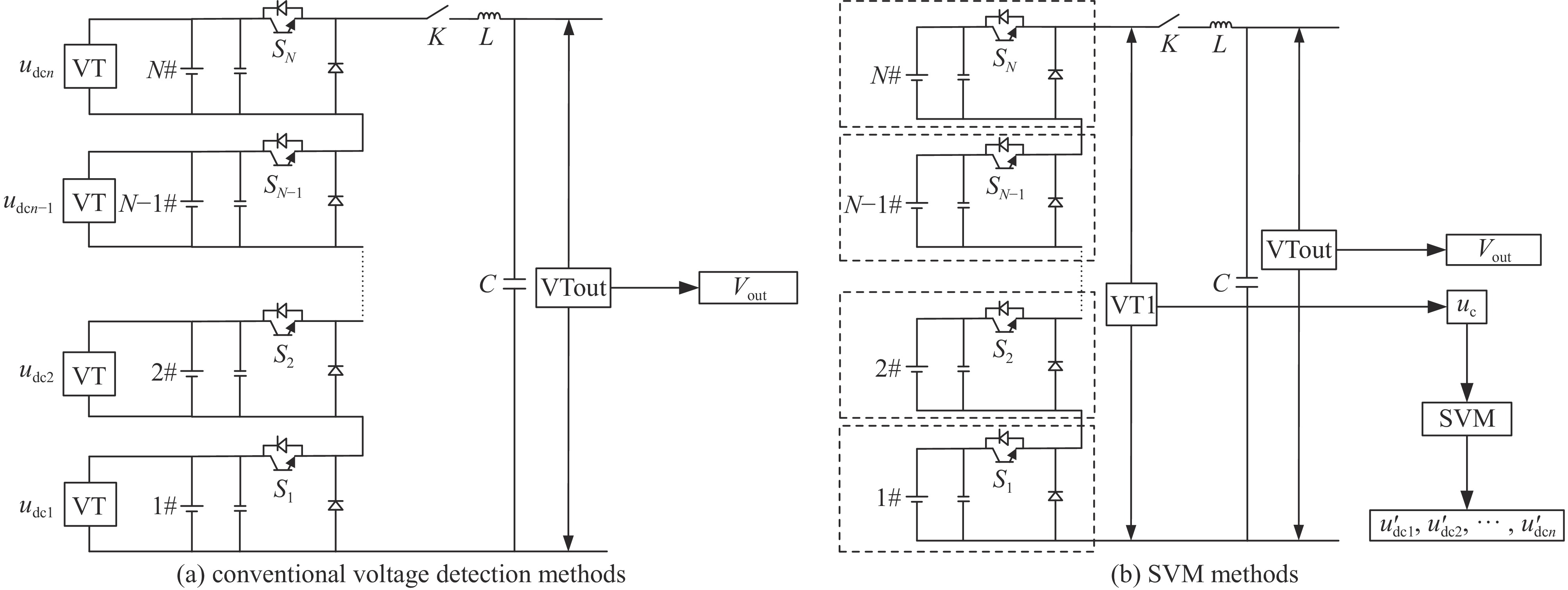
脉冲阶梯调制(PSM)高压电源广泛应用于超导托卡马克装置的加热系统,采用模块化拓扑结构,通过多个直流电源模块输出叠加形成高压。每个电源模块输入过欠压保护功能,通过在输入电容两端安装电压传感器进行电压检测以实现,所需电压传感器数量庞大,增加了系统检测成本,提高了硬件检测电路的复杂性。介绍了PSM高压电源电路拓扑,详细分析了PSM高压电源的PWM模块循环控制策略,在此基础上提出了一种电源模块输入侧无电压传感器电压检测方法,在PSM高压电源输出侧采用单电压传感器检测电压信号,推导出各电源模块输入侧电压。最后,基于RT-LAB实时仿真平台搭建了仿真模型,实验结果验证了所提出SVM检测方法的有效性。
脉冲阶梯调制(PSM)高压电源广泛应用于超导托卡马克装置的加热系统,采用模块化拓扑结构,通过多个直流电源模块输出叠加形成高压。每个电源模块输入过欠压保护功能,通过在输入电容两端安装电压传感器进行电压检测以实现,所需电压传感器数量庞大,增加了系统检测成本,提高了硬件检测电路的复杂性。介绍了PSM高压电源电路拓扑,详细分析了PSM高压电源的PWM模块循环控制策略,在此基础上提出了一种电源模块输入侧无电压传感器电压检测方法,在PSM高压电源输出侧采用单电压传感器检测电压信号,推导出各电源模块输入侧电压。最后,基于RT-LAB实时仿真平台搭建了仿真模型,实验结果验证了所提出SVM检测方法的有效性。
2026, 38: 016001.
doi: 10.11884/HPLPB202638.250174
摘要:
核素的准确识别是提高放射性监测水平的关键。为进一步提升放射性核素识别性能,研究了基于卷积神经网络(CNN)和循环神经网络(RNN)结合的核素识别方法。使用碘化钠能谱仪采集8种单一和混合放射性核素γ能谱数据,通过计算γ光子在不同能量下的概率密度,采用随机抽样的方法生成大量γ能谱训练数据,并对数据进行归一化处理,然后利用CNN提取输入能谱数据的特征向量,并将提取到的特征向量输入RNN进行训练,最后由激活函数输出核素分类结果。为验证CNN-RNN识别核素的准确性,与基于卷积神经网络(CNN)和长短时记忆神经网络(LSTM)核素识别方法进行比较分析,得出在测试集上LSTM能谱模型对单核素的识别准确率优于97.5%,混合核素的识别率优于92.31%,CNN和CNN-RNN能谱模型对单核素的识别准确率为100%,混合核素的识别率分别优于92.95%和97.44%。结果表明,CNN-RNN能谱模型在γ能谱放射性核素识别中表现更优,通过与仅用实测数据训练的神经网络模型相比,加入增强数据可提升模型的训练效率和泛化能力。
核素的准确识别是提高放射性监测水平的关键。为进一步提升放射性核素识别性能,研究了基于卷积神经网络(CNN)和循环神经网络(RNN)结合的核素识别方法。使用碘化钠能谱仪采集8种单一和混合放射性核素γ能谱数据,通过计算γ光子在不同能量下的概率密度,采用随机抽样的方法生成大量γ能谱训练数据,并对数据进行归一化处理,然后利用CNN提取输入能谱数据的特征向量,并将提取到的特征向量输入RNN进行训练,最后由激活函数输出核素分类结果。为验证CNN-RNN识别核素的准确性,与基于卷积神经网络(CNN)和长短时记忆神经网络(LSTM)核素识别方法进行比较分析,得出在测试集上LSTM能谱模型对单核素的识别准确率优于97.5%,混合核素的识别率优于92.31%,CNN和CNN-RNN能谱模型对单核素的识别准确率为100%,混合核素的识别率分别优于92.95%和97.44%。结果表明,CNN-RNN能谱模型在γ能谱放射性核素识别中表现更优,通过与仅用实测数据训练的神经网络模型相比,加入增强数据可提升模型的训练效率和泛化能力。
2026, 38: 019001.
doi: 10.11884/HPLPB202638.250019
摘要:
光纤激光相干合成技术通过精确控制各路光纤激光的相位,实现高功率的激光输出。然而,系统运行中存在多种影响因素,如相位控制精度、光强稳定性、通信链路可靠性以及环境干扰等,这些因素可能导致系统性能下降。针对大规模光纤激光相干合成相位控制中的异常检测问题,提出一种基于深度学习的多探测器串行共孔径相干合成检测新方法。首先,采集十路光纤激光相干合成数据,分析系统控制过程及其合束原理,归类系统中可能出现的异常情况,并仿真得到数据集。其次,设计一种结合轻量化高效多头注意力机制(EMA)的EMA-Transformer网络模型。在对比实验中,本算法相较于ResNet50,在验证集上的精度提升了约50%,在测试集上的精度提升了约2.20%。在算法的实际应用中,搭建八束光纤激光相干合成实验装置,使用TensorRT部署算法进行测试。实验结果表明,本算法推理耗时达2.153 ms,达到了相位控制异常检测的实时性要求。
光纤激光相干合成技术通过精确控制各路光纤激光的相位,实现高功率的激光输出。然而,系统运行中存在多种影响因素,如相位控制精度、光强稳定性、通信链路可靠性以及环境干扰等,这些因素可能导致系统性能下降。针对大规模光纤激光相干合成相位控制中的异常检测问题,提出一种基于深度学习的多探测器串行共孔径相干合成检测新方法。首先,采集十路光纤激光相干合成数据,分析系统控制过程及其合束原理,归类系统中可能出现的异常情况,并仿真得到数据集。其次,设计一种结合轻量化高效多头注意力机制(EMA)的EMA-Transformer网络模型。在对比实验中,本算法相较于ResNet50,在验证集上的精度提升了约50%,在测试集上的精度提升了约2.20%。在算法的实际应用中,搭建八束光纤激光相干合成实验装置,使用TensorRT部署算法进行测试。实验结果表明,本算法推理耗时达2.153 ms,达到了相位控制异常检测的实时性要求。
2026, 38: 019002.
doi: 10.11884/HPLPB202638.250187
摘要:
针对SAR系统的前门耦合电磁敏感特性,通过等效注入试验方法,系统研究了单频连续波对机载SAR成像的影响规律及作用机理,并采用融合皮尔逊相关系数、结构相似度和峰值信噪比的SAR图像质量评价因子作为干扰效果评估指标。研究结果表明:当干扰频率落入接收机硬件通带(8.5~9.5 GHz)范围内,且干信比≥15 dB时干扰效应显著;干扰信号在射频前端虽未诱发显著非线性效应,但会导致模数转换(ADC)采样芯片中的内部金属氧化物半导体场效应晶体管(MOSFET)产生非线性响应,其产生的额外直流分量和谐波成分是造成SAR图像中出现特征性干扰条纹及质量下降的根本物理成因。
针对SAR系统的前门耦合电磁敏感特性,通过等效注入试验方法,系统研究了单频连续波对机载SAR成像的影响规律及作用机理,并采用融合皮尔逊相关系数、结构相似度和峰值信噪比的SAR图像质量评价因子作为干扰效果评估指标。研究结果表明:当干扰频率落入接收机硬件通带(8.5~9.5 GHz)范围内,且干信比≥15 dB时干扰效应显著;干扰信号在射频前端虽未诱发显著非线性效应,但会导致模数转换(ADC)采样芯片中的内部金属氧化物半导体场效应晶体管(MOSFET)产生非线性响应,其产生的额外直流分量和谐波成分是造成SAR图像中出现特征性干扰条纹及质量下降的根本物理成因。
2026, 38: 013007.
doi: 10.11884/HPLPB202638.250185
摘要:
介绍了大回旋电子枪的形成理论,分析了电子注在非理想会切磁场中的运动过程,并利用CST和E-Gun对电子枪进行建模和仿真分析。研究了磁场、工作电压、电流对大回旋电子注质量、轨迹的影响,为Ka波段二次谐波大回旋电子注回旋行波管实验测试寻找最佳工作点提供指导,同时降低电子枪在实验过程中的损坏风险。研究表明,电子枪的工作电压过低时,速度比较大,出现电子回轰的现象,对阴极不利;同时,阴极的反向磁场过高时,电子回旋半径过大,会导致电子轰击在电子枪壁上损坏电子枪。最后对比了两种软件的计算结果,分析了各自的特点。
介绍了大回旋电子枪的形成理论,分析了电子注在非理想会切磁场中的运动过程,并利用CST和E-Gun对电子枪进行建模和仿真分析。研究了磁场、工作电压、电流对大回旋电子注质量、轨迹的影响,为Ka波段二次谐波大回旋电子注回旋行波管实验测试寻找最佳工作点提供指导,同时降低电子枪在实验过程中的损坏风险。研究表明,电子枪的工作电压过低时,速度比较大,出现电子回轰的现象,对阴极不利;同时,阴极的反向磁场过高时,电子回旋半径过大,会导致电子轰击在电子枪壁上损坏电子枪。最后对比了两种软件的计算结果,分析了各自的特点。
2026, 38: 014004.
doi: 10.11884/HPLPB202638.250136
摘要:
Background Purpose Methods Results
High harmonic cavities are widely used in electron storage rings to lengthen the bunch, lower the bunch peak current, thereby reducing the IBS effect, enhancing the Touschek lifetime, as well as providing Landau damping, which is particularly important for storage rings operating with ultra-low emittance or at low beam energy.
To further increase the bunch length without additional hardware costs, the phase modulation in a dual-RF system is considered.
In this paper, turn-by-turn simulations incorporating random synchrotron radiation excitation are conducted, and a brief analysis is presented to explain the bunch lengthening mechanism.
Simulation results reveal that the peak current can be further reduced, thereby mitigating IBS effects and enhancing the Touschek lifetime. Although the energy spread increases, which tends to reduce the brightness of higher-harmonic radiation from the undulator, the brightness of the fundamental harmonic can, in fact, be improved.
2026, 38: 014005.
doi: 10.11884/HPLPB202638.250194
摘要:
低能量强流高电荷态重离子加速器装置(LEAF)是中国科学院近代物理研究所承担的国家重大科研仪器项目,旨在构建一台具备高电荷态、高流强、全谱系离子加速能力的低能重离子综合实验装置。系统介绍了该装置的结构、核心部件设计参数及束流调控策略,并重点报告了装置试运行期间在束流加速能力、多离子混合束制备及低能散碳离子束调控等方面取得的代表性进展。截至目前,LEAF已累计为终端实验提供超过13 000 h束流支持,覆盖质荷比为2~7的多种离子种类,实现了高电荷态、高流强重离子束流的稳定加速。平台构建了适用于协同辐照研究的“鸡尾酒束”运行模式,并建立了具备高流强与低能散特性的12C2+束流系统,用于伽莫夫能区核反应的精密测量。最后,结合终端实验需求,提出了装置未来的发展方向,包括调能系统拓展与三离子协同供束能力增强等,以期进一步提升平台对核天体物理、核能材料等领域的支撑能力。
低能量强流高电荷态重离子加速器装置(LEAF)是中国科学院近代物理研究所承担的国家重大科研仪器项目,旨在构建一台具备高电荷态、高流强、全谱系离子加速能力的低能重离子综合实验装置。系统介绍了该装置的结构、核心部件设计参数及束流调控策略,并重点报告了装置试运行期间在束流加速能力、多离子混合束制备及低能散碳离子束调控等方面取得的代表性进展。截至目前,LEAF已累计为终端实验提供超过13 000 h束流支持,覆盖质荷比为2~7的多种离子种类,实现了高电荷态、高流强重离子束流的稳定加速。平台构建了适用于协同辐照研究的“鸡尾酒束”运行模式,并建立了具备高流强与低能散特性的12C2+束流系统,用于伽莫夫能区核反应的精密测量。最后,结合终端实验需求,提出了装置未来的发展方向,包括调能系统拓展与三离子协同供束能力增强等,以期进一步提升平台对核天体物理、核能材料等领域的支撑能力。
2026, 38: 016002.
doi: 10.11884/HPLPB202638.250166
摘要:
研究系统电磁脉冲(SGEMP)的定标理论,掌握SGEMP的定标法则,并将其应用于腔体SGEMP,提出保持腔壁材料厚度不变的规范变换方法,应用全电磁粒子模拟方法方法进行数值模拟研究,通过对比实验室激光等离子体源条件下的原模型与10倍扩比模型的模拟结果,发现两者在电场、磁场及电荷密度的空间分布规律上呈现严格一致性,幅值大小完全遵循定标关系:发射端面表面电场峰值原模型为2.0 MV/m,扩比模型为200 kV/m;磁场峰值原模型为0.8×10−3 T,扩比模型为0.8×10−4 T;电荷密度峰值原模型为6.0×10−3 m−3,扩比模型为6.0×10−5 m−3。模拟结果验证了定标法则应用于腔体SGEMP的有效性。该研究为腔体SGEMP的物理机制解析及实验室模拟实验设计提供了理论依据。
研究系统电磁脉冲(SGEMP)的定标理论,掌握SGEMP的定标法则,并将其应用于腔体SGEMP,提出保持腔壁材料厚度不变的规范变换方法,应用全电磁粒子模拟方法方法进行数值模拟研究,通过对比实验室激光等离子体源条件下的原模型与10倍扩比模型的模拟结果,发现两者在电场、磁场及电荷密度的空间分布规律上呈现严格一致性,幅值大小完全遵循定标关系:发射端面表面电场峰值原模型为2.0 MV/m,扩比模型为200 kV/m;磁场峰值原模型为0.8×10−3 T,扩比模型为0.8×10−4 T;电荷密度峰值原模型为6.0×10−3 m−3,扩比模型为6.0×10−5 m−3。模拟结果验证了定标法则应用于腔体SGEMP的有效性。该研究为腔体SGEMP的物理机制解析及实验室模拟实验设计提供了理论依据。
2026, 38: 016003.
doi: 10.11884/HPLPB202638.250049
摘要:
以蒙特卡罗软件Geant4中的MAGNETOCOSMIC程序为基础,通过计算模拟不同地磁场模型和地理位置发射时的粒子损失过程,探讨了地球磁场对人工辐射带中粒子运动和俘获的影响规律。首先,模拟了10 MeV电子在不同经度和L值(L是赤道面上的空间映射点距地心距离与地球半径的比值)下的发射,分析了在中心偶极子、偏心偶极子和国际地磁参考场(IGRF)三种地磁模型下电子的运动轨迹、损失锥角和俘获条件。结果显示:中心偶极子模型中电子的漂移轨迹相对规则且对称,而偏心偶极子模型则出现了不对称性,而 IGRF 模型则因其更精细的参数和更高的精度,展现了更复杂、不规则且更接近实际的轨迹;损失锥角随L值的变化关系中,IGRF模型下损失锥角最大,电子更难被地磁场俘获。其次,探讨了电子发射经度对损失过程的影响,尤其是在南大西洋异常区(SAA区)的损失过程。结果表明,当电子运动到靠近SAA中心的位置时会更容易发生漂移损失。
以蒙特卡罗软件Geant4中的MAGNETOCOSMIC程序为基础,通过计算模拟不同地磁场模型和地理位置发射时的粒子损失过程,探讨了地球磁场对人工辐射带中粒子运动和俘获的影响规律。首先,模拟了10 MeV电子在不同经度和L值(L是赤道面上的空间映射点距地心距离与地球半径的比值)下的发射,分析了在中心偶极子、偏心偶极子和国际地磁参考场(IGRF)三种地磁模型下电子的运动轨迹、损失锥角和俘获条件。结果显示:中心偶极子模型中电子的漂移轨迹相对规则且对称,而偏心偶极子模型则出现了不对称性,而 IGRF 模型则因其更精细的参数和更高的精度,展现了更复杂、不规则且更接近实际的轨迹;损失锥角随L值的变化关系中,IGRF模型下损失锥角最大,电子更难被地磁场俘获。其次,探讨了电子发射经度对损失过程的影响,尤其是在南大西洋异常区(SAA区)的损失过程。结果表明,当电子运动到靠近SAA中心的位置时会更容易发生漂移损失。

Email alert
RSS
