2024年 36卷 第3期
介绍了中国工程物理研究院应用电子学研究所针对磁约束聚变装置电子回旋共振加热(ECRH)系统、重离子加速器电子回旋共振(ECR)离子源以及前沿科技探索应用研制的28 GHz/50 kW连续波回旋管最新实验结果。研究团队在2019年该回旋管实现50 kW/30 s运行的基础上,通过结构优化和稳定性设计验证,最终实现了在10~50 kW功率范围多个功率水平的稳定长时间连续运行,典型运行结果为16 kW/3000 s、26 kW/900 s、46 kW/1800 s、50 kW/300 s,特别在输出功率32 kW连续稳定工作了400 min。这是国内首次研制出小时级连续工作的中等功率回旋管。
当前,科学计算的验证主要针对基于确定性偏微分方程组的网格离散方法。放电等离子体的粒子云网格PIC方法作为一种粒子-网格耦合的仿真手段,其验证方法具有显著不同的特点:第一,PIC仿真除了在时间和空间上进行离散,还需要对粒子数权重进行离散;第二,离散粒子的相空间分布函数是否适合作为验证研究的观测量;第三,粒子-网格耦合过程中的电场插值和电荷分配会影响PIC仿真的全局收敛精度。另外,当PIC方法与蒙特卡罗(MC)方法耦合时,离散误差和随机误差通常叠加在一起,理查德森外推需要结合系综平均进行。提出了一种分层级验证的方法。首先对单粒子轨道、电磁场求解、二体粒子碰撞进行收敛精度阶测试;然后采用空间电荷限制流、气体的傅里叶流动等具有精确解的经典物理模型分别对集成PIC、MC模块进行离散误差评估;最后采用放电物理过程对程序功能进行基准校验。
设计了一种工作在S波段的能量选择表面,可实现超宽带自适应强电磁防护。该结构由两层金属周期结构组成,顶层为两个对称分布的金属条和一个金属片,金属条与金属片间加载两个PIN二极管;底层为十字架结构。当入射电磁波场强低于阈值时,能量选择表面工作在透波状态,电磁波可以传播;当入射电磁波场强超过阈值时,金属条和金属片之间产生的感应电压使得PIN二极管导通,此时能量选择表面进入防护状态,电磁波被屏蔽。通过对能量选择表面在PIN二极管导通和截止状态下的表面电流和电场分布以及等效电路模型进行分析,解释了该结构的工作原理。采用PCB制作工艺加工了实物样板并对弱场入射下的插入损耗以及强场入射下的防护效能进行测试。实验和仿真结果匹配性良好,表明该能量选择表面在透波状态下的工作中心频率为2.7 GHz,插入损耗小于1 dB的工作频带为2.2~3.5 GHz;在防护状态下,工作频带的防护效能大于10 dB,达到了超宽带的要求。
设计了一款低相噪蓝宝石振荡器并对其进行温度控制,基于蓝宝石谐振器理论,采用有限元仿真软件完成了蓝宝石谐振器设计。蓝宝石谐振器实测中心频率为9.84 GHz,有载Q值113 000。将该蓝宝石谐振器作为选频网络与放大器、滤波器、移相器和耦合器构成低相噪蓝宝石振荡器。振荡器的输出工作频率9.84 GHz,输出功率9 dBm,偏离载波1 kHz处相位噪声为−117 dBc/Hz,偏离载波10 kHz处相位噪声为−144 dBc/Hz,偏离载波100 kHz处相位噪声为−161 dBc/Hz。该振荡器有助于提高雷达对于低慢小目标的检测能力。
高功率微波(HPM)产生器件通过增加慢波结构的过模比使得功率容量显著提高。嵌套型结构让过模器件的空心结构或内导体结构得到使用,同时嵌套型器件的低阻抗使得其与低阻脉冲功率源能良好匹配。基于内外嵌套结构提出了一种锁频锁相高功率微波振荡器。相对于传统的锁频锁相方法,提出了基于耦合波导实现锁频锁相的新方法。内外相对论速调管振荡器(RKO)产生的微波信号通过耦合波导泄漏到高频结构中,对电子束进行预调制,从而实现锁频锁相。另外,为实现内外高功率微波通道合成,设计了双通道功率合成器。在振荡器的工作频点,功率合成器能弥补振荡器两输出通道相位差,使得功率合成效率提高,合成效率为98.3%。在二极管电压575 kV,磁场强度0.6 T条件下,内外RKO 的微波输出功率分别为2.2 GW和3.2 GW,频率差波动小于20 MHz,相位差稳定在10°附近;加载双通道功率合成器,仿真结果表明,微波输出功率为5.31 GW,功率效率32.2%。结果表明,嵌套器件在互锁状态时,振荡器饱和时间缩短,输出功率增大。
无人机易于受到高功率微波干扰和损伤,无人机机载天线是高功率微波干扰的重要耦合途径。为了研究无人机机载天线高功率微波耦合响应,以数据链天线和导航接收机天线为研究对象,根据无人机实际布局,建立高功率微波辐照下无人机机载天线的耦合模型,通过仿真天线辐射模型远场辐射方向图及S11参数验证天线模型的准确性,得到不同辐照场景和高功率微波辐射场参数下数据链天线和导航接收机天线端口的耦合电压,并进行了典型场景试验验证,结果表明:L波段高功率微波辐照下数据链天线的耦合电压较S、C和X波段更高,相较于水平极化,垂直极化辐射场对无人机数据链的干扰效果更佳,耦合电压与辐射场强成线性关系,受脉宽和前沿的影响较小;空中高功率微波辐照场景下导航接收机天线的耦合电压较地面高功率微波辐照场景更高,该研究将在高功率微波武器打击无人机方面提供理论参考依据。
对S波段永磁式全腔提取相对论磁控管进行了理论设计和数值模拟研究,并对其进行了实验研究。通过理论分析初步获取相对论磁控管结构参数,并采用三维电磁仿真软件对模型进行粒子仿真优化,根据引导磁场需求设计永磁磁场产生结构。该永磁式相对论磁控管在500 kV电压输入条件下,输出微波功率1.978 GW,效率49.2%。利用实验室小型脉冲功率驱动源平台开展了初步实验研究。实验中,该永磁式相对论磁控管在脉冲驱动源驱动下获得GW级输出功率,功率转换效率约40%,实验结果与模拟结果吻合得较好。
为了满足高功率微波系统对微波输出窗高功率容量和紧凑化的应用需求,以传统盒型窗的设计理论为基础,通过优化窗体结构和添加过渡段等手段,设计了一种C波段小型化高功率微波输出窗。通过增大窗体表面积、改变矩形波导-圆波导过渡段的连接方式可提高功率容量并缩小微波输出窗的纵向尺寸;采用“I”型的窗体结构可有效抑制三相点(真空-介质-金属)附近的次级电子倍增效应对输出窗性能的影响。在电磁仿真的基础上采用粒子模拟(Particle-in-Cell)的方法研究了微波输出窗三相点附近的次级电子倍增效应,从微观角度进一步证实了“I”型窗体结构可使三相点位置发生移动,减小三相点发射的电子在窗片表面产生次级电子倍增效应的概率,降低微波输出窗的击穿风险。设计结果表明,微波输出窗在中心频点处的主模反射系数低于0.01,传输效率高于99.9%,功率容量可达47.9 MW。
束半径可调的强流环形电子束在跨波段跳频高功率微波产生器件中有重要应用。提出了一种改变外加引导磁场位形从而改变环形强流电子束半径的技术。该技术的核心部件由环形阴极、阳极、电子束转移通道、电子束传输通道和三段螺线管组成。当三段螺线管的通流的电流大小不一样时,该螺线管系统就能产生不同位形的磁场。在粒子模拟中,当三段螺线管的通流电流大小分别为1025 A、107 A、107 A和300 A、300 A、0 A时,螺线管产生两种不同位形的磁场,实现电子束半径的改变。从单粒子运动理论出发,本文推导出电子束在梯度磁场引导下的运动轨迹表达式,解释了电子束半径在梯度磁场下变化的原理,还研究了梯度磁场的斜率和极差对电子束轨迹的影响。在跨波段器件仿真中,X波段输出功率为1.6 GW,频率为8.2 GHz,效率为40%;Ku波段输出功率为1.5 GW,频率为14.4 GHz,效率为38%。
提出了一种X波段过模低磁场高效率相对论返波管振荡器(RBWO),其主要结构包括一个双谐振腔反射器、一个周期性慢波结构和一个插入式同轴内导体模式选择器。该RBWO采用了过模结构,较大的过模比带来了更高的功率容量。慢波结构分为空心与同轴两部分,插入同轴避免了高阶模式的竞争,使两段慢波结构分别工作在TM02和同轴TM01模式下。同时,插入同轴还起着模式转换的功能,将TM02转化为TM01,最终在输出波导中输出纯TM01模式。双谐振腔反射器使慢波结构在过模条件下与二极管区域能够实现良好隔离,同时为电子束提供足够的预调制,实现在低磁场下较高的微波转化效率。利用粒子模拟仿真对器件进行优化设计,在二极管电压850 kV、束流11.74 kA、引导磁场0.63 T的条件下,获得了3.5 GW的微波输出功率,微波中心频率为9.46 GHz,转换效率约为35%。
全球定位系统(GPS)在被广泛应用的同时,也容易受到外界的干扰,因此研究GPS导航接收机的可靠性具有重要意义。超宽带(UWB)电磁脉冲具有陡峭的上升沿和宽频谱,能够对GPS进行干扰,是一种新型导航干扰手段。通过分析重频超宽带电磁脉冲的能量谱线分布情况探究了其对GPS导航接收机的干扰机理,对重频UWB电磁脉冲对GPS接收机干扰效果与脉冲参数之间的关系进行了研究。结果表明:重频UWB电磁脉冲可以对导航接收机射频前端电路造成非线性干扰,降低接收机的捕获性能,提高脉冲场强或者重频可以增强干扰效果,甚至导致接收机失去捕获能力。
随着高功率微波源向高功率、高频率和长脉冲方向不断发展,同轴相对论速调管放大器(RKA)成为近年来研究热点之一,然而其发展一直受限于自激振荡等问题存在,为此,设计一种高Q值单间隙同轴谐振腔,以抑制同轴RKA中TEM模式泄露引起的自激振荡。通过对单间隙同轴谐振腔TM01模式与TEM模式转化进行理论分析与仿真模拟,发现同轴谐振腔上下槽深差值与轴向错位值对其Q值变化影响很大,当上下槽深差值与轴向错位值分别为0.3 mm和0 mm时,同轴谐振腔的Q值为极大值(18 764),意味着此时谐振腔中两种模式转化最小,多组谐振腔级联后自激振荡风险大大降低。将三组级联的高Q值单间隙同轴谐振腔应用于紧凑型同轴RKA,粒子模拟和实验结果表明,器件的输出微波功率稳定,频谱纯净,无自激振荡等问题存在。
超导电缆相比于传统电缆具有导体无电阻损耗、传输容量大、可靠性高等优势,但作为其主绝缘的聚丙烯层压纸因具有较高的损耗因数导致超导电缆运行中的介质损耗大,增大冷却系统的负荷。采用具有低损耗因数的聚四氟乙烯滤纸取代聚丙烯层压纸中的牛皮纸层,通过热压法与聚丙烯膜形成具有两侧多孔可浸润液氮的三明治结构复合绝缘,测试结果表明超导电缆中以聚四氟乙烯/聚丙烯复合材料取代聚丙烯层压纸作为主绝缘,将使介质损耗降低一半以上。同时,由于聚四氟乙烯/聚丙烯复合材料与高温超导电缆中作为冷却剂的液氮间更小的介电常数差异以及液氮击穿的体积效应,采用具有更小孔径的聚四氟乙烯滤纸制成的低介损复合绝缘具有更强的抗局部放电的能力和更高的交流绝缘击穿强度,可极大提升高温超导电缆的绝缘可靠性。
半导体激光(LD)泵浦的高功率光纤激光器具有效率高、体积小、重量轻、稳定性好等优点,在工业加工等诸多领域都有着广泛的应用。为了提高泵浦光吸收率,传统光纤激光器常用915 nm和976 nm波段的LD作为激光的泵浦源。在该类LD泵浦的光纤激光器中,由于量子亏损和泵浦吸收系数相对较高,光纤激光器的热致模式不稳定(TMI)阈值相对较低。为了提高量子效率和潜在的TMI阈值,提出采用大于1010 nm波段的LD直接泵浦光纤激光器,产生高量子效率激光。搭建了振荡放大一体化的全光纤激光器,采用总泵浦功率为2.56 kW的1010 nm波段LD泵浦,首次获得输出功率2.05 kW、光束质量M2约1.7的激光。后续将通过进一步增大泵浦功率、优化光纤特性以实现更高功率、更优光束质量的光纤激光输出。
利用时域有限差分算法(FDTD)对微纳结构靶的光场分布进行仿真模拟,探究微纳结构靶中的光传输机制,分析材料特性和结构参数对光传输特性和光场分布的影响。基于光场分布及演化的仿真模拟结果,对比半导体氧化铝、绝缘体二氧化硅和金属铜三种导电性不同的材料上纳米线和纳米孔阵列微纳结构靶的激光传输特性,分析光传输过程中的光场分布变化。研究结果表明,通过改变氧化铝和二氧化硅纳米孔(线)阵列结构靶中孔洞(纳米线)直径和间距等结构参数,可以实现对微纳结构靶中光传输特性和光场分布的调制,实现光场在介质材料和真空区域间的周期振荡分布,或是以一种稳定形态传输;激光在铜纳米孔阵列中传输时,透光性随孔洞半径的增加而增加。基于光场分布及演化的仿真模拟结果,对比不同材料、不同微纳结构靶的激光传输演化特性,给出物理图像及对应现象规律,根据光场调控需求,给出微纳结构靶设计。
为研究Bulk FinFET工作时基本结构参数、器件温度和栅极材料对其性能的影响,建立了一个15 nm n型Bulk FinFET器件模型,仿真分析了不同栅长、鳍宽、鳍高、沟道掺杂浓度、器件工作温度、栅极材料对器件性能的影响,发现增长栅长、降低鳍宽和增加鳍高有助于抑制短沟道效应;1×1017 cm−3以下的低沟道掺杂浓度对器件特性影响不大,但高掺杂会使器件失效;器件工作温度的升高会导致器件性能的下降;采用高K介质材料作为栅极器件性能优于传统材料SiO2。
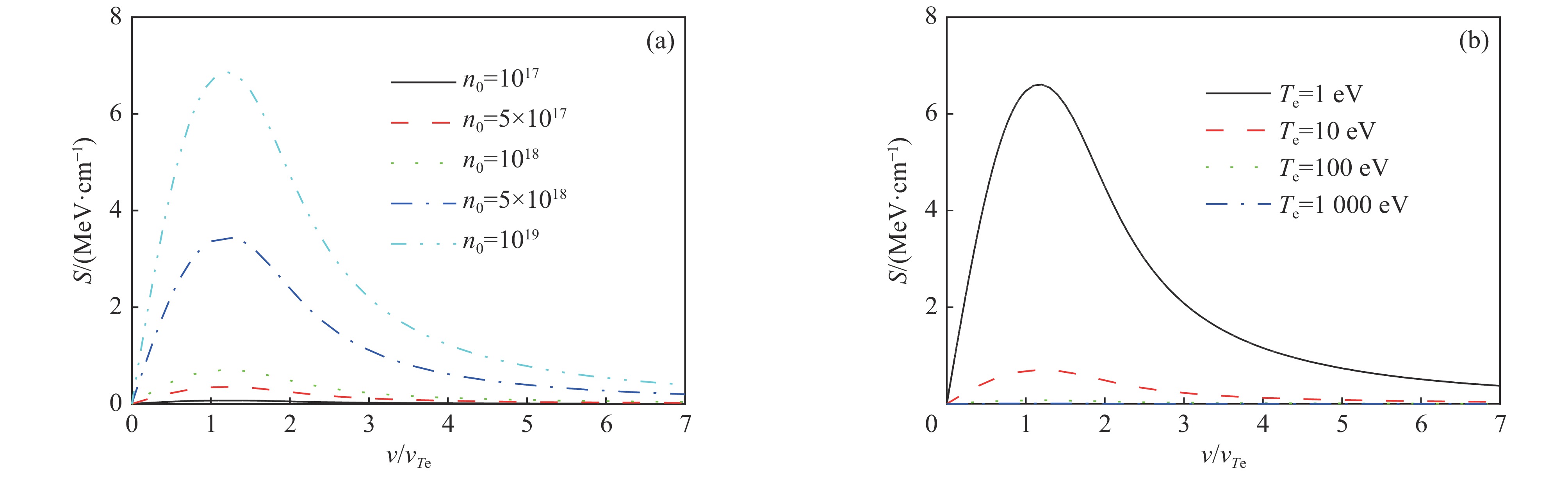
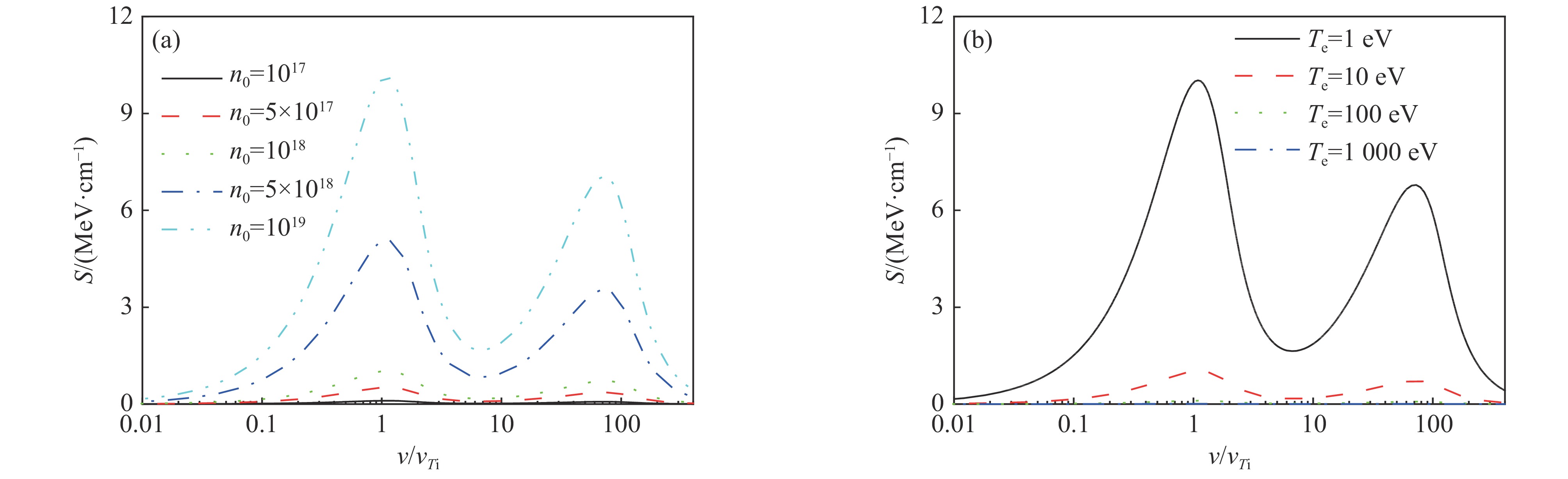
在线性化伏拉索夫-泊松模型基础上研究了激光辐照下碳离子在双组份等离子体中的阻止本领,重点讨论了不同激光振幅、激光频率、激光角度、等离子体密度和等离子体电子温度对阻止本领的影响。研究结果表明,在全域范围内,激光对阻止本领的影响都非常明显。在低能区域(入射速度为等离子体电子热速度的0~0.1倍),碳离子的阻止本领主要来自于等离子体中离子的贡献,特别是在入射速度约为等离子体离子热速度时,阻止本领出现了第一个峰值;在中高能区域(入射速度大于0.1倍的等离子体电子热速度),碳离子的能量损失主要来自于等离子体中电子的贡献,特别是在入射速度约为等离子体电子热速度的1.5倍时,阻止本领出现了第二个峰值。碳离子在等离子体中阻止本领的这种双峰结构体现了不同能量区域等离子体中离子和电子对阻止本领的贡献。另一方面,激光强度或激光频率的增加削弱了阻止本领,阻止本领会随着等离子体密度的增加或电子温度的降低而增强,特别是由于离子引起的低能峰与电子引起的高能峰相比阻止本领的增强更明显。
PREF装置是中国科学院新疆理化技术研究所与近代物理研究所联合设计建造的10~60 MeV质子同步加速器,属于国内唯一的位移损伤效应模拟试验专用装置。针对该装置的扫描磁铁电源输出电流频率200 Hz、跟踪误差小于≤±5×10−3的技术要求,采用三组H桥串联拓扑方案,通过移相控制,基于脉宽调制实现技术要求。经仿真与测试结果表明:电源能够输出峰-峰值为 ± 420 A,幅值与频率均连续可调的高精度三角波电流,满足工程应用要求。
以减小直线感应加速器X射线光源横向尺寸为目标,开展轫致辐射转换靶的设计。对聚焦打靶过程中电子束运动轨迹进行分析,指出同一个电子束轨迹分布,既可以描述为电子束在某纵向位置处具有一定的横向展宽,也可以描述为电子束保持较小横向尺寸时的轴向分布展宽,由此提出在束腰附近放置多个小靶片实现聚焦电子束有效阻挡的小尺寸多层靶概念设计。采用EGS4程序对X射线产额进行计算,发现靶厚度在一定范围内改变时X射线产额变化较小,基于这一规律完成了小尺寸多层靶的结构设计。进一步考察了一个设计应用实例,当聚焦电子束最小包络直径3 mm、会聚角100 mrad时,对比大尺寸靶,采用小尺寸多层靶可以获得等效直径减小约50%、产额减小约10%的X射线光源。该设计方法有望在相同的电子束品质和聚焦条件下,获得横向尺寸小于电子束最小束包络直径的X射线光源,具有一定的应用价值。
针对太赫兹直线加速器,开发了基于EPICS分布式系统的横向截面尺寸测量系统。该系统采用束斑检测器完成束斑到光斑的转换,并通过远心镜头将光斑成像到CCD相机,完成对光斑图像的采集,之后基于ADAravis将相机采集的图像数据汇入到EPICS数据库。由于暗电流以及环境辐射的影响,在采集到的图像中会存在椒盐噪声,因此使用卷积神经网络(CNN)对图像中的椒盐噪声进行抑制,最后对图像进行高斯拟合计算出束流截面尺寸。实验结果表明,CNN可以有效地消除椒盐噪声,并且系统的分辨率达到15.8 μm,满足系统设计要求。
过度使用抗生素导致的水污染,对自然环境和人类健康造成了重大威胁。低温等离子体作为一种绿色环保的高级氧化技术,被认为是一种最具前景的抗生素降解方法之一,然而在降解效率和能量效率方面还有待进一步提高。利用纳秒脉冲放电激励针-水结构气液放电,获得了一种能产生高活性等离子体的瞬态火花模式放电,并应用于水中四环素降解,研究了脉冲电压、频率、初始浓度、初始pH值等参数对四环素降解的影响,结果表明初始浓度50 mg/L,脉冲电压9 kV、频率2 kHz,初始pH值为中性的条件下四环素的降解率最高,处理时间10 min时降解率达到了91.6%,能量效率和每阶电能分别为0.165 g·kW−1·h−1和0.78 kW·h·m−3。自由基淬灭实验表明羟基自由基 (·OH) 在四环素降解过程中起主要作用,而H2O2和O3的作用稍弱。细胞毒性实验也表明气液放电处理10 min后的溶液毒性显著下降。
通过调节反向偏置电压可以改善电场渗透对质谱仪的影响,提高质谱仪的分辨率。为了满足质谱仪对脉冲电场的不同要求,提出了一种可以同时输出两路极性相反脉冲电场的脉冲电源,且高压正脉冲叠加幅值可调的直流负偏置电压。该电源只需一个充电源便可以产生正负两路脉冲电场。分析了串联开关同步驱动效果,随后通过增加补偿绕组和并联电阻优化了串联电容的分压不均的问题,并验证一个磁芯加多个副边绕组的方案可进一步降低充电电压不均。最终实现了4个电容器的充电电压与平均电压相差不超过0.1%。搭建了一台4级的电源样机,实验表明,其可以在容性负载上产生一路幅值为0~1.5 kV、脉宽为2~10 µs可调的高压正脉冲且叠加幅值为0~−200 V的反向偏置电压,和一路幅值为0~−1.5 kV、脉宽为2~10 µs可调的高压负脉冲,频率高达10 kHz,正负脉冲的前沿均小于30 ns,脉冲波形平稳。该脉冲电源结构紧凑,并且输出电压、脉宽、频率均连续可调。
伪火花开关已经成功地应用于各种脉冲功率应用,包括欧洲大型强子对撞机、反导雷达系统、航空发动机点火等。对于这样的应用,降低开关的延迟和抖动来提升稳定性是非常重要的。设计了一种激光触发伪火花开关,使用波长532 nm的激光,在不同气压、工作电压和触发能量下,测试激光触发伪火花开关的阳极着火延迟时间和抖动两项参数。测试结果表明,增加激光能量可以降低开关的延迟和抖动,实现开关稳定性的激光能量阈值在1.5 mJ,可以使得开关的抖动小于1 ns,继续增大触发能量,开关的延迟和抖动不再明显变化;此外,增大管内的氢气压强可降低开关的延迟和抖动;当触发能量足够大时,改变阳极电压,开关的延迟和抖动不随开关电压而改变。
为了实现对空间热离子反应堆燃料元件运行期间安全性能的预测,研究开发了一种燃料元件力学性能分析程序,并针对多层圆筒状的TOPAZ-Ⅱ热离子燃料元件开展了应力、应变和几何变形的高精度模拟。程序考虑了核燃料在高温辐照环境下的辐照肿胀,并分析了燃料芯块-发射极在发生接触后的力学响应问题,从而快速且准确地求解燃料芯块和发射极的力学状态,以对空间热离子反应堆运行期间的性能提供准确预测。结果表明:在正常运行情况下,空间热离子反应堆燃料会发生显著的肿胀效应,其造成的变形将导致燃料元件热电转换效率降低、元件失效等安全隐患。
燃料棒是核电厂包容放射性物质的第一道屏障。燃料棒破损会导致冷却剂裂变产物活度升高,严重时机组须在数小时内后撤到停堆。通过取样监测的冷却剂放射化学数据可以一定程度上反映堆芯内装载燃料棒的破损情况。本研究介绍了压水堆核电厂功率运行期间冷却剂内裂变产物的来源,分析了裂变产物通过反冲和扩散方式的产生机理,通过求解迁移方程得到稳态情况下裂变产物活度的解析解。基于最小二乘法对反冲释放和扩散释放的裂变产物释放产生比进行解谱,建立了诊断压水堆燃料棒破损时间、破口程度、锕系核素泄漏、燃耗和燃料批次的定量分析模型。采用某百万千瓦压水堆运行中发生二次氢化的燃料循环的冷却剂裂变产物监测数据进行了验证,理论模型的分析结果也与机组停堆后啜漏检查和热室检查结果相符。
宇称时间(PT)对称原理已经被验证可以作为提高无线电能传输系统自由度的有力工具,但基于PT对称的并联-并联(P-P)拓扑结构无线电能传输(WPT)系统的工作范围仍然受到限制。为解决这一问题,提出了一种基于PT对称原理的并联-串并联(P-SP)补偿WPT系统。通过等效电路法化简系统电路模型,并利用耦合模理论(CMT)分析电容分配比对振荡频率、临界耦合系数、满足系统进入PT对称区域的耦合系数和负载电阻值范围以及传输效率等工作性能的影响。构建样机开展实验,以检验所提方法的适用性,结果表明:可以在仅损失2%系统传输效率的情况下,将传输距离由110 mm扩大到210 mm,该操作可为扩大应用范围、增加应用场景、优化激光无线充电系统中发送模块单元和接收模块单元的工作性能做准备。

Email alert
RSS
